Sustainable Pest Management Using Novel Nanoemulsions of Honeysuckle and Patchouli Essential Oils against the West Nile Virus Vector, Culex pipiens, under Laboratory and Field Conditions
Abstract
1. Introduction
2. Results
2.1. Screening of Larvicidal Activity for 16 Essential Oils
2.2. Larvicidal Activity of Two Effective Oils
2.3. Efficiency of Essential Oils on Adult Mosquitoes
2.4. Adulticidal Activity for Two Effective Oils
2.5. Characterization of Essential Oil Nanoemulsions
- Particle size distribution and polydispersity measurements
- B.
- Charge distribution and stability (zeta potential)
- C.
- Internal morphology via transmission electron microscopy (TEM)
2.6. Phytochemical Analysis of Honeysuckle and Patchouli Essential Oils
- Polyphenol content concentration determination using HPLC
- b.
- GC–MS identification of volatile content
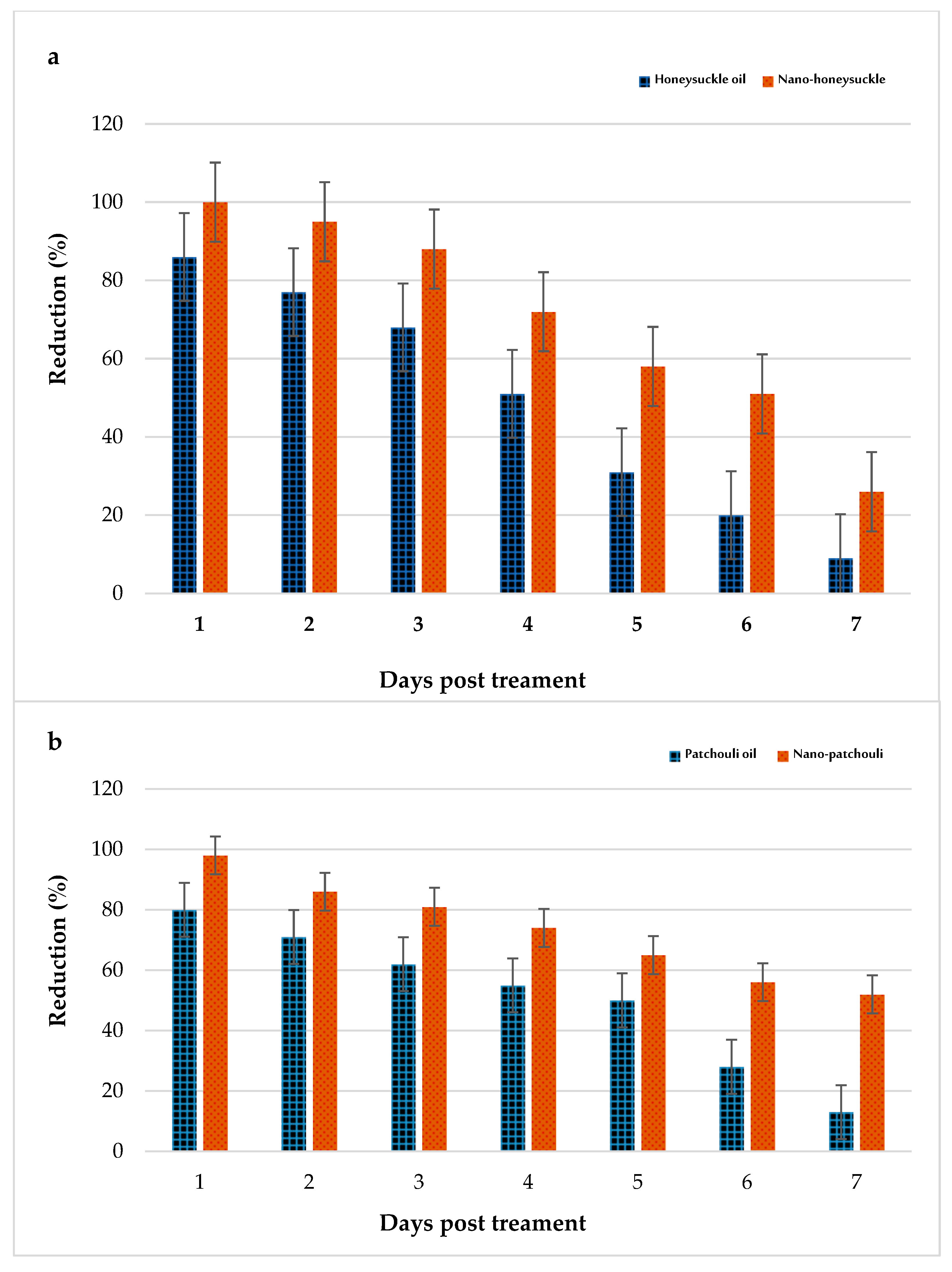
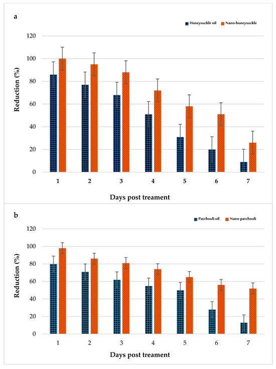
2.7. Larvicidal Field Evaluation
2.8. Adulticidal Field Evaluation
3. Discussion
4. Materials and Methods
4.1. Chemicals and Plant Oils
4.2. Mosquito Colony
4.3. Larvicidal Efficacy In Vitro
4.4. Adulticidal Efficacy In Vitro
4.5. Preparation of the Essential Oil Nanoemulsion
4.6. Phytochemical Analysis
- Polyphenol content concentration determination via HPLC
- b.
- Volatile content identification via GC–MS
4.7. Characterization of Essential Oil Nanoemulsion
- Average droplet size and surface charge
- b.
- Nanoemulsion droplet morphology via Transmission Electron Microscopy (TEM)
4.8. Larvicidal Field Evaluation of Patchouli and Honeysuckle Nanoemulsions
4.9. Adulticidal Field Evaluation of Patchouli and Honeysuckle Nanoemulsions
4.10. Data Analyses
5. Conclusions
Supplementary Materials
Author Contributions
Funding
Data Availability Statement
Acknowledgments
Conflicts of Interest
References
- Harbach, R.E. The Phylogeny and Classification of Anopheles. In Anopheles Mosquitoes—New Insights into Malaria Vectors; InTech: Houston, TX, USA, 2013. [Google Scholar] [CrossRef]
- Ngom, E.H.M.; Virgillito, C.; Manica, M.; Rosà, R.; Pichler, V.; Sarleti, N.; Kassé, I.; Diallo, M.; della Torre, A.; Dia, I.; et al. Entomological Survey Confirms Changes in Mosquito Composition and Abundance in Senegal and Reveals Discrepancies Among Results by Different Host-Seeking Female Traps. Insects 2021, 12, 692. [Google Scholar] [CrossRef] [PubMed]
- Roiz, D.; Ruiz, S.; Soriguer, R.; Figuerola, J. Climatic Effects on Mosquito Abundance in Mediterranean Wetlands. Parasit. Vectors 2014, 7, 333. [Google Scholar] [CrossRef] [PubMed]
- Hol, F.J.; Lambrechts, L.; Prakash, M. BiteOscope, An Open Platform to Study Mosquito Biting Behavior. Elife 2020, 9, e56829. [Google Scholar] [CrossRef]
- Rattanarithikul, R.; Harrison, B.A.; Panthusiri, P.; Coleman, R.E. Illustrated keys to The Mosquitoes of Thailand I. Background; Geographic Distribution; Lists of Genera, Subgenera, and Species; and a Key to The Genera. Southeast Asian J. Trop. Med. Public Health 2005, 36, 1–80. [Google Scholar]
- Bond, J.G.; Casas-Martínez, M.; Quiroz-Martínez, H.; Novelo-Gutiérrez, R.; Marina, C.F.; Ulloa, A.; Orozco-Bonilla, A.; Muñoz, M.; Williams, T. Diversity of Mosquitoes and The Aquatic Insects Associated with Their Oviposition Sites Along the Pacific Coast of Mexico. Parasit. Vectors 2014, 7, 41. [Google Scholar] [CrossRef] [PubMed]
- Hubalek, Z.; Halouzka, J. West Nile Fever-A Reemerging Mosquito-Borne Viral Disease in Europe. Emerg. Infect. Dis. 1999, 5, 650–653. [Google Scholar] [CrossRef]
- Chapagain, B.; Wiesman, Z. Larvicidal Effects of Aqueous Extracts of Balanites aegyptiaca (desert date) against the larvae of Culex pipiens mosquitoes. Afr. J. Biotechnol. 2005, 4, 1351–1354. [Google Scholar]
- Tudi, M.; Daniel Ruan, H.; Wang, L.; Lyu, J.; Sadler, R.; Connell, D.; Chu, C.; Phung, D.T. Agriculture Development, Pesticide Application and Its Impact on The Environment. Int. J. Environ. Res. Public Health 2021, 18, 1112. [Google Scholar] [CrossRef]
- Lengai, G.M.; Muthomi, J.W.; Mbega, E.R. Phytochemical Activity and Role of Botanical Pesticides in Pest Management for Sustainable Agricultural Crop Production. Sci. Afr. 2020, 7, e00239. [Google Scholar] [CrossRef]
- Mostafiz, M.M.; Jhan, P.K.; Shim, J.-K.; Lee, K.-Y. Methyl Benzoate Exhibits Insecticidal and Repellent Activities Against Bemisia tabaci (Gennadius) (Hemiptera: Aleyrodidae). PLoS ONE 2018, 13, e0208552. [Google Scholar] [CrossRef]
- Mostafiz, M.M.; Hassan, E.; Shim, J.-K.; Lee, K.-Y. Insecticidal Efficacy of Three Benzoate Derivatives Against Aphis gossypii and Its Predator Chrysoperla carnea. Ecotoxicol. Environ. Saf. 2019, 184, 109653. [Google Scholar] [CrossRef]
- Hikal, W.M.; Baeshen, R.S.; Said-Al Ahl, H.A.H. Botanical Insecticide as Simple Extractives for Pest Control. Cogent Biol. 2017, 3, 1404274. [Google Scholar] [CrossRef]
- Baz, M.M.; Selim, A.; Radwan, I.T.; Alkhaibari, A.M.; Khater, H.F. Larvicidal and Adulticidal Effects of Some Egyptian Oils against Culex pipiens. Sci. Rep. 2022, 12, 4406. [Google Scholar] [CrossRef]
- Mostafiz, M.M.; Ryu, J.; Akintola, A.A.; Choi, K.S.; Hwang, U.W.; Hassan, E.; Lee, K.-Y. Larvicidal Activity of Methyl Benzoate, a Volatile Organic Compound, Against the Mosquitoes Aedes albopictus and Culex pipiens (Diptera: Culicidae). Med. Entomol. 2022, 59, 788–794. [Google Scholar] [CrossRef]
- Filho, S.A.; dos Santos, M.S.; dos Santos, O.A.L.; Backx, B.P.; Soran, M.L.; Opriş, O.; Lung, I.; Stegarescu, A.; Bououdina, M. Biosynthesis of Nanoparticles Using Plant Extracts and Essential Oils. Molecules 2023, 28, 3060. [Google Scholar] [CrossRef] [PubMed]
- Anwer, M.K.; Jamil, S.; Ibnouf, E.O.; Shakeel, F. Enhanced Antibacterial Effects of Clove Essential Oil by Nanoemulsion. J. Oleo Sci. 2014, 63, 347–354. [Google Scholar] [CrossRef] [PubMed]
- Amiri, N.; Afsharmanesh, M.; Salarmoini, M.; Meimandipour, A.; Hosseini, S.; Ebrahimnejad, H. Nanoencapsulation (In Vitro and In Vivo) as an Efficient Technology to Boost the Potential of Garlic Essential Oil as Alternatives for Antibiotics in Broiler Nutrition. Animal 2021, 15, 100022. [Google Scholar] [CrossRef] [PubMed]
- Hasan, S.K.; Ferrentino, G.; Scampicchio, M. Nanoemulsion as Advanced Edible Coatings to Preserve the Quality of Fresh-Cut Fruits and Vegetables: A Review. Int. J. Food Sci. Technol. 2020, 55, 1–10. [Google Scholar] [CrossRef]
- Paynter, Q.; Konuma, A.; Dodd, S.L.; Hill, R.L.; Field, L.; Gourlay, A.H.; Winks, C.J. Prospects for Biological Control of Lonicera japonica (Caprifoliaceae) in New Zealand. Biol. Control 2017, 105, 56–65. [Google Scholar] [CrossRef]
- Ilies, D.; Radulescu, V.; Dutu, L. Volatile Constituents from the Flowers of Two Species of Honeysuckle (Lonicera japonica and Lonicera caprifolium). Farmacia 2014, 62, 194–201. [Google Scholar]
- Dimitriu, L.; Preda, D.; Constantinescu-Aruxandei, D.; Oancea, F.; Babeanu, N. Optimization of Ultrasound-Assisted Extraction of Polyphenols from Honysuckle (Lonicera caprifolium). AgroLife Sci. J. 2021, 10, 47–55. [Google Scholar] [CrossRef]
- Muturi, E.J.; Doll, K.; Berhow, M.; Flor-Weilera, L.B.; Rooney, A.P. Honeysuckle Essential Oil as a Potential Source of Ecofriendly Larvicides for Mosquito Control. Pest Manag. Sci. 2019, 75, 2043–2048. [Google Scholar] [CrossRef]
- Munda, S.; Dutta, S.; Pandey, S.K.; Sarma, N.; Lal, M. Antimicrobial Activity of Essential Oils of medicinal and Aromatic Plants of the North East India: A biodiversity hot spot. J. Essent. Oil-Bear. Plants 2019, 22, 105–119. [Google Scholar] [CrossRef]
- Jia, J.; Duan, S.; Zhou, X.; Sun, L.; Qin, C.; Li, M.; Ge, F. Long-Term Antibacterial Film Nanocomposite Incorporated with Patchouli Essential Oil Prepared by Supercritical CO2 Cyclic Impregnation for Wound Dressing. Molecules 2021, 26, 5005. [Google Scholar] [CrossRef]
- Fatima, S.; Farzeen, I.; Ashraf, A.; Aslam, B.; Ijaz, M.U.; Hayat, S.; Sarfraz, M.H.; Zafar, S.; Zafar, N.; Unuofin, J.O.; et al. A Comprehensive Review on Pharmacological Activities of Pachypodol: A bioactive Compound of an Aromatic Medicinal Plant Pogostemon cablin Benth. Molecules 2023, 14, 3469. [Google Scholar] [CrossRef] [PubMed]
- Kah, M.; Beulke, S.; Tiede, K.; Hofmann, T. Nanopesticides: State of Knowledge, Environmental Fate, and Exposure Modeling. Crit. Rev. Environ. Sci. Technol. 2013, 43, 1823–1867. [Google Scholar] [CrossRef]
- Tadros, T.; Izquierdo, P.; Esquena, J.; Solans, C. Formation and stability of nano-emulsions. Adv. Colloid Interface Sci. 2004, 108, 303–318. [Google Scholar] [CrossRef]
- Campolo, O.; Cherif, A.; Ricupero, M.; Siscaro, G.; Grissa-Lebdi, K.; Russo, A.; Cucci, L.M.; Di Pietro, P.; Satriano, C.; Desneux, N.; et al. Citrus Peel Essential oil Nanoformulations to Control the Tomato Borer, Tuta absoluta: Chemical properties and biological activity. Sci. Rep. 2017, 7, 13036. [Google Scholar] [CrossRef]
- Werdin González, J.O.; Stefanazzi, N.; Murray, A.P.; Ferrero, A.A.; Fernández Band, B. Novel Nanoinsecticides Based on Essential Oils to Control the German Cockroach. J. Pest Sci. 2015, 88, 393–404. [Google Scholar] [CrossRef]
- Radwan, I.T.; Baz, M.M.; Khater, H.; Selim, A.M. Nanostructured Lipid Carriers (NLC) for Biologically Active Green Tea and Fennel Natural Oils Delivery: Larvicidal and Adulticidal Activities Against Culex pipiens. Molecules 2022, 27, 1939. [Google Scholar] [CrossRef]
- Moser, S.K.; Barnard, M.; Frantz, R.M.; Spencer, J.A.; Rodarte, K.A.; Crooker, I.K.; Bartlow, A.W.; Romero-Severson, E.; Manore, C.A. Scoping Review of Culex mosquito Life History Trait Heterogeneity in Response to Temperature. Parasit. Vectors 2023, 16, 200. [Google Scholar] [CrossRef] [PubMed]
- Patel, K.; Akbari, D.; Pandya, R.V.; Trivedi, J.; Mevada, V.; Wanale, S.G.; Patel, R.; Yadav, V.K.; Tank, J.G.; Sahoo, D.K.; et al. Larvicidal Proficiency of Volatile Compounds Present in Commiphora wightii Gum Extract Against Aedes aegypti (Linnaeus, 1762). Front. Plant Sci. 2023, 14, 1220339. [Google Scholar] [CrossRef] [PubMed]
- Michaelakis, A.; Papachristos, D.; Kimbaris, A.; Koliopoulos, G.; Giatropoulos, A.; Polissiou, M.G. Citrus Essential Oils and Four Enantiomeric Pinenes Against Culex pipiens (Diptera: Culicidae). Parasitol. Res. 2009, 105, 769–773. [Google Scholar] [CrossRef] [PubMed]
- EL-Akhal, F.; Guemmouh, R.; Greche, H.; Lalami, A.E. Valorization as A Bio-Insecticide of Essential oils of Citrus sinensis and Citrus aurantium Cultivated in Center of Morocco. J. Mater. Environ. Sci. 2014, 5, 2319–2324. [Google Scholar]
- Pavela, R.; Govindarajan, M. The Essential Oil From Zanthoxylum Monophyllum a Potential Mosquito Larvicide With Low Toxicity to the non-Target Fish Gambusia affinis. J. Pest Sci. 2017, 90, 369–378. [Google Scholar] [CrossRef]
- El-Akhal, F.; Ramzi, A.; Farah, A.; Zoubi, Y.E.; Benboubker, M.; Taghzouti, K.; El Ouali, A. Chemical Composition and Larvicidal Activity of Lavandula angustifolia Subsp. angustifolia and Lavandula dentata Spp. dentata Essential Oils Against Culex pipiens Larvae, Vector of West Nile Virus. Psyche A J. Entomol. 2021, 2021, 8872139. [Google Scholar] [CrossRef]
- Bosly, H.A. Larvicidal and Adulticidal Activity of Essential Oils from Plants of the Lamiaceae Family Against the West Nile Virus Vector, Culex pipiens (Diptera: Culicidae). Saudi J. Biol Sci. 2022, 29, 103350. [Google Scholar]
- El-Akhal, F.; Lalami, A.E.; Zoubi, Y.E.; Greche, H.; Guemmouh, R. Chemical Composition and Larvicidal Activity of Essential Oil of Origanum majorana (Lamiaceae) Cultivated in Morocco Against Culex pipiens (Diptera: Culicidae). Asian Pac. J. Trop. Biomed. 2014, 4, 746–750. [Google Scholar] [CrossRef]
- Aboelhadid, S.M.; Abdel-Baki, A.S.; Hassan, K.M.; Ibrahium, S.M.; Al-Quraishy, S.; Hassan, A.O.; and Kamel, A.A. Insecticidal Efficacy of Geranium Oil Nanoemulsion and Synergism with Sesame Oil and their Acetylcholinesterase Inhibition. Pak. J. Zool. 2023, 1–17. [Google Scholar] [CrossRef]
- Zeghib, F.; Tine-Djebbar, F.; Zeghib, A.; Bachari, K.; Sifi, K.; Soltani, N. Chemical Composition and Larvicidal Activity of Rosmarinus officinalis Essential Oil Against West Nile Vector Mosquito Culex pipiens (L.). J. Essent. Oil-Bear. Plants 2020, 23, 1463–1474. [Google Scholar] [CrossRef]
- Aouinty, B.; Chenaoui, M.; Mahari, S.; Rihane, A.; Mellouki, F. Larvicidal Effects of Aqueous Extract from Ricinus communis L. Leaves Against Mosquito Culex pipiens: Mortality and Histopathology of Treated Larvae. J. Mater. Environ. Sci. 2018, 9, 619–623. [Google Scholar]
- Wangrawa, D.W.; Kosgei, J.; Machani, M.; Opala, J.; Agumba, S.; Yameogo, F.; Borovsky, D.; Ochomo, E. Larvicidal Activities and Synergistic Effects of Essential Oils Against Anopheles funestus and Culex quinquefasciatus (Diptera: Culicidae) from Kisumu, Kenya. Psyche A J. Entomol. 2022, 2022, 8302696. [Google Scholar] [CrossRef]
- Hamad, Y.K.; Abobakr, Y.; Salem, M.Z.M.; Ali, H.M.; Al-Sarar, A.S.; Al-Zabib, A.A. Activity of Plant Extracts/Essential Oils Against Three Plant Pathogenic Fungi and Mosquito Larvae: GC/MS Analysis of Bioactive Compounds. BioRes 2019, 14, 4489–4511. [Google Scholar]
- Sogan, N.; Kapoor, N.; Singh, H.; Kala, S.; Nayak, A.; Nagpal, B.N. 2018. Larvicidal Activity of Ricinus communis Extract Against Mosquitoes. J. Vector Borne Dis. 2018, 55, 282–290. [Google Scholar] [PubMed]
- Xu, P.; Zeng, F.; Bedoukian, R.H.; Leal, W.S. DEET and Other Repellents are Inhibitors of Mosquito Odorant Receptors for Oviposition Attractants. Insect Biochem. Mol. Biol. 2019, 113, 103224. [Google Scholar] [CrossRef] [PubMed]
- Zeng, F.; Xu, P.; Tan, K.; Zarbin, P.H.G.; Leal, W.S. Methyl Dihydrojasmonate and Lilial are the Constituents with an “off-label” Insect Repellence in Perfumes. PLoS ONE 2018, 13, e0199386. [Google Scholar] [CrossRef] [PubMed]
- Afify, A.; Horlacher, B.; Roller, J.; Galizia, C.G. Different Repellents for Aedes aegypti Against Blood-Feeding and Oviposition. PLoS ONE 2014, 9, e103765. [Google Scholar] [CrossRef]
- Govindarajan, M.; Benelli, G. Artemisia absinthium-Borne Compounds as Novel Larvicides: Effectiveness Against Six Mosquito Vectors and Acute Toxicity on Non-Target Aquatic Organisms. Parasitol. Res. 2016, 115, 4649–4661. [Google Scholar] [CrossRef]
- Theochari, I.; Giatropoulos, A.; Papadimitriou, V.; Karras, V.; Balatsos, G.; Papachristos, D.; Michaelakis, A. Physicochemical Characteristics of Four Limonene-Based Nanoemulsions and Their larvicidal Properties Against Two Mosquito Species, Aedes albopictus and Culex pipiens molestus. Insects 2020, 11, 740. [Google Scholar] [CrossRef]
- Cruz-Castillo, A.U.; Rodríguez-Valdez, L.M.; Correa-Basurto, J.; Nogueda-Torres, B.; Andrade-Ochoa, S.; Nevárez-Moorillón, G.V. Terpenic Constituents of Essential Oils with Larvicidal Activity Against Aedes aegypti: A QSAR and Docking Molecular Study. Molecules 2023, 28, 454. [Google Scholar] [CrossRef]
- Park, H.; Park, I. Larvicidal Activity of Amyris balsamifera, Daucus carota and Pogostemon cablin Essential Oils and Their Components Against Culex pipiens Pallens. J. Asia Pac. Entomol. 2012, 15, 631–634. [Google Scholar] [CrossRef]
- Hazarika, H.; Tyagi, V.; Krishnatreyya, H.; Kishor, S.; Karmakar, S.; Bhattacharyya, D.R.; Chattopadhyay, P. Toxicity of Essential Oils on Aedes aegypti: A Vector of Chikungunya and Dengue Fever. Int. J. Mosq. Res. 2018, 5, 51–57. [Google Scholar]
- Lima Santos, L.; Barreto Brandão, L.; Lopes Martins, R.; de Menezes Rabelo, E.; Lobato Rodrigues, A.B.; da Conceição Vieira Araújo, C.M.; Fernandes Sobral, T.; Ribeiro Galardo, A.K.; Moreira da Silva de Ameida, S.S. Evaluation of the Larvicidal Potential of the Essential Oil Pogostemon cablin (Blanco) Benth in the Control of Aedes aegypti. Pharmaceuticals 2019, 8, 53. [Google Scholar] [CrossRef] [PubMed]
- Deng, W.; Li, M.; Liu, S.; Logan, J.G.; Mo, J. Repellent Screening of Selected Plant Essential Oils Against Dengue Fever Mosquitoes Using Behavior Bioassays. Neotrop. Entomol. 2023, 52, 521–529. [Google Scholar] [CrossRef]
- Feng, Y.; Wang, Y.; You, C.; Guo, S.; Du, Y.; Du, S. Bioactivities of patchoulol and phloroacetophenone from Pogostemon cablin essential oil against three insects. Int. J. Food Prop. 2019, 22, 1365–1374. [Google Scholar] [CrossRef]
- Gavit, A.A.; Gagrani, M.B.; Gurav, S.S.; Ayyanar, M.; Beldar, V.G.; Tatiya, A.U.; Surana, S.J.; Firke, S.D.; Kalaskar, M.G. Chemical Composition and Biological Activities of Lonicera caprifolium L. (Caprifoliaceae) essential oil. Nat. Prod. Res. 2023, 24, 1–8. [Google Scholar] [CrossRef]
- Galovicova, L.; Borotova, P.; Valkova, V.; Duranova, H.; Stefánikova, J.; Vukovic, N.L.; Vukic, M.; Kacaniova, M. Biological Activity of Pogostemon cablin Essential Oil and Its Potential Use for Food Preservation. Agronomy 2022, 12, 387. [Google Scholar] [CrossRef]
- Roshan, A.B.; Dubey, N.K.; Mohana, D.C. Chitosan Nanoencapsulation of Pogostemon cablin (Blanco) Benth. Essential Oil and Its Novel Preservative Effect for Enhanced Shelf Life of Stored Maize kernels During Storage: Evaluation of Its Enhanced Antifungal, Antimycotoxin, Antioxidant Activities and Possible Mode of Action. Int. J. Food Sci. Technol. 2022, 57, 2195–2202. [Google Scholar]
- Said-Al Ahl, H.A.H.; Sabra, A.S.; Alataway, A.; Astatkie, T.; Mahmoud, A.A.; Bloem, E. Biomass Production and Essential Oil Composition of Thymus vulgaris in Response to Water Stress and Harvest Time. J. Essent. Oil Res. 2019, 31, 63–68. [Google Scholar] [CrossRef]
- Hikal, W.M.; Said-Al Ahl, H.A.H. Influence of Plectranthus amboinicus Essential Oil on Potentially Pathogenic Acanthamoeba Isolated from Water tanks in Tabuk, Saudi Arabia. Eco. Env. Cons. 2019, 25, 1137–1145. [Google Scholar]
- Kesraoui, S.; Andrés, M.F.; Berrocal-Lobo, M.; Soudani, S.; Gonzalez-Coloma, A. Direct and Indirect Effects of Essential Oils for Sustainable Crop Protection. Plants 2022, 11, 2144. [Google Scholar] [CrossRef] [PubMed]
- Gupta, I.; Singh, R.; Muthusamy, S.; Sharma, M.; Grewal, K.; Singh, H.P.; Batish, D.R. Plant Essential Oils as Biopesticides: Applications, Mechanisms, Innovations, and Constraints. Plants 2023, 12, 2916. [Google Scholar] [CrossRef] [PubMed]
- Hikal, W.M.; Said-Al Ahl, H.A.H. Cysticidal Activity of Trachyspermum ammi Essential Oil Against Acanthamoeba Isolates from Dental Clinic and Hospital Water Networks. Pak. J. Zool. 2019, 51, 1799–1806. [Google Scholar] [CrossRef]
- Adhavan, P.; Kaur, G.; Princy, A.; Murugan, R. Essential oil Nanoemulsions of Wild Patchouli Attenuate Multi-Drug Resistant Gram-Positive, Gram-Negative and Candida albicans. Ind. Crops Prod. 2017, 100, 106–116. [Google Scholar] [CrossRef]
- Costa, T.L.; Santos, R.C.d.; Santos, A.A.; Pimentel, E.d.S.; Lima, E.; Batista, C.V.; Bacci, L.; Freitas, D.R.d.; Picanço, M.C. 2023. Lethal and Sublethal Effects of an Essential Oil-Based Emulsion of Patchouli, Pogostemon cablin (Lamiaceae), on the Tomato Leafminer. Agriculture 2023, 13, 1540. [Google Scholar] [CrossRef]
- Caballero-Gallardo, K.; Fuentes-Lopez, K.; Stashenko, E.E.; Olivero-Verbel, J. Chemical Composition, Repellent Action, and Toxicity of Essential Oils from Lippia origanoide, Lippia alba Chemotypes, and Pogostemon cablin on adults of Ulomoides dermestoides (Coleoptera: Tenebrionidae). Insects 2023, 14, 41. [Google Scholar] [CrossRef]
- Ríos, N.; Stashenko, E.E.; Duque, J.E. Evaluation of the Insecticidal Activity of Essential Oils and Their Mixtures Against Aedes aegypti (Diptera: Culicidae). Rev. Bras. Entomol. 2017, 61, 307–311. [Google Scholar] [CrossRef]
- Muturi, E.J.; Hay, W.T.; Doll, K.M.; Ramirez, J.L.; Selling, G. Insecticidal Activity of Commiphora erythraea Essential Oil and Its Emulsions Against Larvae of Three Mosquito Species. J. Med. Entomol. 2020, 57, 1835–1842. [Google Scholar] [CrossRef]
- Azmy, D.M.; El Gohary, E.E.; Mahmoud, D.M.; Salem, D.M.; Abdou, M.A.; Salama, M.S. Assessment of Larvicidal Activity of Nanoemulsion from Citrus sinensis Essential Oil on Culex pipiens L. (Diptera: Culicidae). Egypt. J. Aquat. Biol. Fish. 2019, 23, 61–67. [Google Scholar] [CrossRef][Green Version]
- Baz, M.M.; Khater, H.F.; Baeshen, R.S.; Selim, A.; Shaheen, E.S.; El-Sayed, Y.A.; Salama, S.A.; Hegazy, M.M. Novel Pesticidal Efficacy of Araucaria heterophylla and Commiphora molmol Extracts Against Camel and Cattle Blood-Sucking Ectoparasites. Plants 2022, 11, 1682. [Google Scholar] [CrossRef]
- Demirak, M.Ş.Ş.; Canpolat, E. Plant-Based Bioinsecticides for Mosquito Control: Impact on Insecticide Resistance and Disease Transmission. Insects 2022, 13, 162. [Google Scholar] [CrossRef]
- Isman, M.B.; Miresmailli, S.; Machial, C. Commercial Opportunities for Pesticides Based on Plant Essential Oils in Agriculture, Industry and Consumer Products. Phytochem. Rev. 2011, 10, 197–204. [Google Scholar] [CrossRef]
- Kandar, P. Phytochemicals and Biopesticides: Development, Current Challenges and Effects on Human Health and Diseases. J. Biomed Res. 2021, 2, 3–15. [Google Scholar]
- Gnankiné, O.; Bassolé, I.H.N. Essential Oils a s an Alternative to Pyrethroids’ Resistance Against Anopheles Species Complex Giles (Diptera: Culicidae). Molecules 2017, 22, 1321. [Google Scholar] [CrossRef] [PubMed]
- Singh, Y.; Meher, J.G.; Raval, K.; Khan, F.A.; Chaurasia, M.; Jain, N.K.; Chourasia, M.K. Nanoemulsion: Concepts, Development and Applications in Drug Delivery. J. Control. Release 2017, 252, 28–49. [Google Scholar] [CrossRef]
- Palazzolo, S.; Bayda, S.; Hadla, M.; Caligiuri, I.; Corona, G.; Toffoli, G. The Clinical Translation of Organic Nanomaterials for Cancer Therapy: A Focus on Polymeric Nanoparticles, Micelles, Liposomes and Exosomes. Curr. Med. Chem. 2018, 25, 4224–4268. [Google Scholar] [CrossRef]
- Radwan, I.T.; Baz, M.M.; Khater, H.; Alkhaibari, A.M.; Selim, A.M. Mg-LDH nanoclays intercalated fennel and green tea active ingredient: Field and laboratory evaluation of insecticidal activities against Culex pipiens and their non-target organisms. Molecules 2022, 27, 2424. [Google Scholar] [CrossRef]
- Mustafa, I.F.; Hussein, M.Z. Synthesis and Technology of Nanoemulsion-Based Pesticide Formulation. Nanomaterials 2020, 10, 1608. [Google Scholar] [CrossRef] [PubMed]
- Feng, J.; Zhang, Q.; Liu, Q.; Zhu, Z.; McClements, D.J.; Jafari, S.M. Application of Nanoemulsions in Formulation of Pesticides. Nanoemulsions 2018, 379–413. [Google Scholar] [CrossRef]
- Masarudin, M.J.; Cutts, S.M.; Evison, B.J.; Phillips, D.R.; Pigram, P.J. Factors Determining the Stability, Size Distribution, and Cellular Accumulation of Small, Monodisperse Chitosan Nanoparticles As Candidate Vectors For Anticancer Drug Delivery: Application To The Passive Encapsulation of [(14)C]-doxorubicin. Nanotechnol. Sci. Appl. 2015, 8, 67–80. [Google Scholar] [CrossRef]
- Danaei, M.; Dehghankhold, M.; Ataei, S.; Hasanzadeh Davarani, F.; Javanmard, R.; Dokhani, A.; Khorasani, S.; Mozafari, M.R. Impact of Particle Size and Polydispersity Index on the Clinical Applications of Lipidic Nanocarrier Systems. Pharmaceutics 2018, 10, 57. [Google Scholar] [CrossRef] [PubMed]
- Nuchuchua, O.; Sakulku, U.; Uawongyart, N.; Puttipipatkhachorn, S.; Soottitantawat, A.; Ruktanonchai, U. In Vitro Characterization and Mosquito (Aedes aegypti) Repellent Activity of Essential-Oils-Loaded Nanoemulsions. AAPS PharmSciTech 2009, 10, 1234–1242. [Google Scholar] [CrossRef] [PubMed]
- Rodrigues, E.D.C.; Ferreira, A.M.; Vilhena, J.C.; Almeida, F.B.; Cruz, R.A.; Florentino, A.C. Development of a Larvicidal Nanoemulsion with Copaiba (Copaifera duckei) Oleoresin. Rev. Bras. Farmacogn. 2014, 24, 699–705. [Google Scholar] [CrossRef]
- Alipanah, H.; Abdollahi, A.; Firooziyan, S.; Zarenezhad, E.; Jafari, M.; Osanloo, M. Nanoemulsion and Nanogel Containing Eucalyptus globulus Essential Oil; Larvicidal Activity and Antibacterial Properties. Interdiscip. Perspect. Infect. Dis. 2022, 2022, 1616149. [Google Scholar] [CrossRef]
- Turgut, N.H.; Altun, A.; Kara, H.; Tepe, B.; Ergül, M.; Tuncel, N.; Tuncel, N. Anticancer and Antiangiogenic Effects of Methanol Extracts of Lonicera caprifolium L. on C6 Rat Glioma Cells. Cumhur. Med. J. 2016, 38, 6–19. [Google Scholar] [CrossRef][Green Version]
- Wu, Y.G.; Li, X.C.; Yang, D.M.; Hu, X.W.; Zhang, J.F. Isolation and Identification of the Water-Soluble Components of Pogostemon cablin. Chem. Eng. 2013, III, 71–76. [Google Scholar]
- Wang, D.H.; Yin, Z.Q.; Zhang, Q.W.; Ye, W.C.; Zhang, X.Q.; Zhang, J. Nonvolatile Chemical Constituents from Pogostemon cablin. Zhongguo Zhong Yao Za Zhi 2010, 35, 2704–2707. [Google Scholar]
- Tilquin, M.; Meyran, J.C.; Asther, M.; Marigo, G. Hot Extraction and Characterization of a Lignin Like Fraction Involved in Larvicidal Effects of Decomposed Leaf Litter Against Mosquito. J. Chem. Ecol. 2002, 28, 1497–1510. [Google Scholar] [CrossRef]
- Gazim, Z.C.; Valle, J.S.; Carvalho dos Santos, I.; Rahal, I.L.; Silva, G.C.C.; Lopes, A.D.; Ruiz, S.P.; Faria, M.G.I.; Piau Junior, R.; Gonçalves, D.D. Ethnomedicinal, phytochemical and pharmacological investigations of Baccharis dracunculifolia DC. (ASTERACEAE). Front. Pharmacol. 2022, 13, 1048688. [Google Scholar] [CrossRef]
- Deletre, E.; Martin, T.; Campagne, P.; Bourguet, D.; Cadin, A.; Menut, C.; Bonafos, R.; Chandre, F. Repellent, Irritant and Toxic Effects of 20 Plant Extracts on Adults of the Malaria Vector Anopheles gambiae Mosquito. PLoS ONE 2013, 8, e82103. [Google Scholar] [CrossRef]
- Manjesh, K.; Kundu, A.; Dutta, A.; Saha, S.; Neelakanthaiah, B.S. Bio-Insecticidal Nanoemulsions of Essential Oil and Lipid-Soluble Fractions of Pogostemon cablin. Front. Plant Sci. 2022, 13, 874221. [Google Scholar] [CrossRef] [PubMed]
- Wu, W.; Yang, Y.; Feng, Y.; Ren, X.; Li, Y.; Li, W.; Huang, J.; Kong, L.; Chen, X.; Lin, Z.; et al. Study of the Repellent Activity of 60 Essential Oils and Their Main Constituents Against Aedes albopictus, and Nano-Formulation Development. Insects 2022, 13, 1077. [Google Scholar] [CrossRef]
- Abdul Khalil, H.; Muhammad, S.; Yahya, E.B.; Amanda, L.K.M.; Abu Bakar, S.; Abdullah, C. Synthesis and Characterization of Novel Patchouli Essential Oil Loaded Starch-Based Hydrogel. Gels 2022, 8, 536. [Google Scholar] [CrossRef] [PubMed]
- Baz, M. Strategies for Mosquito Control. Ph.D. Thesis, Benha University, Benha, Egypt, 2013. [Google Scholar]
- WHO. Guidelines for Laboratory and Field Testing of Mosquito Larvicides; WHO: Geneva, Switzerland, 2005. [Google Scholar]
- Vatandoost, H.; Abai, M.R.; Akbari, M.; Raeisi, A.; Yousefi, H.; Sheikhi, S.; Bagheri, A. Comparison of CDC Bottle Bioassay with WHO Standard Method for Assessment Susceptibility Level of Malaria Vector, Anopheles stephensi to Three Imagicides. J. Arthropod. Borne Dis. 2019, 13, 17. [Google Scholar] [CrossRef] [PubMed]
- Ashmawy, N.A.; Salem, M.Z.M.; El-Hefny, M. Antibacterial Activity of the Bioactive Compounds Identified in Three Woody Plants Against Some Pathogenic Bacteria. Microb. Pathog. 2018, 121, 331–340. [Google Scholar] [CrossRef]
- WHO. Test Procedures for Insecticide Resistance Monitoring in malaria Vector Mosquitoes; WHO: Geneva, Switzerland, 2016. [Google Scholar]










| Oil Name | Mortality % (Mean ± SD)/h | |||||
|---|---|---|---|---|---|---|
| 0.0 | 3 | 6 | 12 | 24 | 48 | |
| Aloe vera | 0 ± 0 aF | 28.8 ± 4.45 hE | 42.4 ± 5.88 gD | 60.0 ± 4.0 iC | 72.0 ± 2.19 hB | 86.4 ± 3.25 eA |
| Citrus aurantium | 0 ± 0 aF | 40.0 ± 2.83 bcE | 64.8 ± 3.44 cD | 84.0 ± 2.53 cC | 94.4 ± 3.49 bcB | 100 ± 0.00 aA |
| Cymbopogon schoenathus | 0 ± 0 aF | 38.4 ± 2.99 cdE | 62.4 ± 5.15 cdD | 82.4 ± 2.71 cdC | 92.0 ± 2.53 cB | 100 ± 0.00 aA |
| Fragaria virginiana | 0 ± 0 aF | 23.2 ± 2.33 iE | 36.8 ± 3.44 hD | 51.2 ± 3.44 jC | 64.0 ± 3.35 iB | 84.8 ± 1.50 eA |
| Lactuca sativa | 0 ± 0 aF | 15.2 ± 1.50 jE | 27.2 ± 3.44 iD | 42.4 ± 1.60 kC | 60.0 ± 2.19 jB | 74.4 ± 3.49 fA |
| Lavandula angustifolia | 0 ± 0 aF | 35.2 ± 4.08 defE | 56.8 ± 5.28 eD | 80.0 ± 3.79 deC | 88.0 ± 3.35 deB | 95.2 ± 2.94 bcA |
| Lonicera caprifolium | 0 ± 0 aF | 52.8 ± 3.88 agD | 79.2 ± 3.44 aC | 94.4 ± 3.92 aB | 100 ± 0.00 aA | 100 ± 0.00 aA |
| Melissa officinalis | 0 ± 0 aF | 29.6 ± 3.49 ghE | 47.2 ± 2.94 fD | 64.8 ± 1.50 hC | 76.8 ± 3.88 gB | 92.0 ± 2.83 cdA |
| Narcissus tazetta | 0 ± 0 aF | 32.8 ± 5.57 fE | 50.4 ± 7.44 fD | 75.2 ± 2.94 fC | 85.6 ± 3.49 efB | 97.6 ± 2.40 abA |
| Origanum majorana | 0 ± 0 aF | 33.6 ± 2.99 efE | 60.0 ± 2.53 deD | 80.8 ± 2.65 deC | 91.2 ± 2.94 cdB | 100 ± 0.00 aA |
| Pelargonium graveolens | 0 ± 0 aF | 35.2 ± 3.20 defE | 58.4 ± 2.71 eD | 78.4 ± 2.04 efC | 86.4 ± 3.92 efB | 96.8 ± 2.33 abA |
| Plumeria rubra | 0 ± 0 aF | 29.6 ± 5.15 ghE | 47.2 ± 3.88 fD | 64.8 ± 3.44 hC | 78.4 ± 4.12 fB | 94.4 ± 2.71 bcA |
| Pogostemon cablin | 0 ± 0 aF | 50.4 ± 3.49 aE | 76.8 ± 1.50 aD | 92.0 ± 3.79 aC | 100 ± 0.00 aA | 100 ± 0.00 aA |
| Punica granatum | 0 ± 0 aF | 29.6 ± 3.71 ghE | 48.8 ± 2.33 fD | 68.8 ± 2.94 gC | 84.0 ± 3.20 fB | 90.4 ± 2.71 dA |
| Ricinus communis | 0 ± 0 aF | 36.8 ± 4.96 cdeE | 62.4 ± 2.71 cdD | 82.4 ± 3.49 cdC | 90.4 ± 3.49 cB | 100 ± 0.00 aA |
| Rosmarinus officinalis | 0 ± 0 aF | 42.4 ± 2.40 bE | 68.8 ± 4.63 bD | 88.0 ± 4.20 bC | 96.0 ± 3.10 bB | 100 ± 0.00 aA |
| Control | 0 ± 03 aA | 0 ± 0 kA | 0 ± 0 jA | 0 ± 0 lA | 0 ± 0 kA | 0 ± 0 gA |
| Oil Name | Tested Materials | Conc. (ppm) | Mortality (%) | LC50 (Low–Up.) | LC90 (Low–Up.) | LC95 (Low–Up.) | Slope | Chi (Sig.) |
|---|---|---|---|---|---|---|---|---|
| Honeysuckle (Lonicera caprifolium) | Oil | Control | 00.0 ± 00 f | 247.72 (132.64–422.95) | 876.88 (675.72–425.32) | 1254.77 (1046.65–4075.57) | 2.334 ± 0.150 | 31.225 (0.000) |
| 50 | 10.4 ± 2.71 e | |||||||
| 100 | 20.8 ± 1.50 d | |||||||
| 250 | 36.8 ± 2.33 c | |||||||
| 500 | 65.6 ± 2.71 b | |||||||
| 1000 | 100.0 ± 0.00 a | |||||||
| 1500 | 100.0 ± 0.00 a | |||||||
| Nanoemulsion | Control | 00.0 ± 00 e | 88.30 (77.06–100.43) | 241.68 (198.93–317.40) | 282.71 (235.99–359.86) | 2.930 ± 0.301 | 6.266 (0.180) | |
| 50 | 20.8 ± 2.33 d | |||||||
| 100 | 62.4 ± 3.25 c | |||||||
| 250 | 95.2 ± 3.88 b | |||||||
| 500 | 100.0 ± 0.00 a | |||||||
| 1000 | 100.0 ± 0.00 a | |||||||
| 1500 | 100.0 ± 0.00 a |
| Oil Name | Tested Materials | Conc. (ppm) | Mortality (%) | LC50 (Low–Up.) | LC90 (Low–Up.) | LC95 (Low–Up.) | Slope | Chi (Sig.) |
|---|---|---|---|---|---|---|---|---|
| Patchouli (Pogostemon cablin) | Oil | Control | 00.0 ± 00 f | 276.29 (151.59–467.89) | 954.25 (738.87–2569.01) | 1355.99 (1131.15–4260.63) | 2.381 ± 0.153 | 30.745 (0.000) |
| 50 | 8.0 ± 1.26 e | |||||||
| 100 | 18.4 ± 2.04 d | |||||||
| 250 | 34.4 ± 2.71 c | |||||||
| 500 | 60.0 ± 2.83 b | |||||||
| 1000 | 98.4 ± 1.60 a | |||||||
| 1500 | 100.0 ± 0.00 a | |||||||
| Nanoemulsion | Control | 00.0 ± 00 e | 93.05 (82.86–103.93) | 221.18 (189.79–269.92) | 321.52 (254.39–450.00) | 3.408 ± 0.295 | 1.498 (0.827) | |
| 50 | 16.8 ± 2.65 d | |||||||
| 100 | 56.8 ± 4.08 c | |||||||
| 250 | 91.2 ± 4.08 b | |||||||
| 500 | 100.0 ± 0.00 a | |||||||
| 1000 | 100.0 ± 0.00 a | |||||||
| 1500 | 100.0 ± 0.00 a |
| Oil Name | Tested Materials | Conc. (ppm) | Mortality (%) | LC50 (Low–Up.) | LC90 (Low–Up.) | LC95 (Low–Up.) | Slope | Chi (Sig.) |
|---|---|---|---|---|---|---|---|---|
| Honeysuckle (Lonicera caprifolium) | Oil | Control | 00.0 ± 00 f | 130.63 (113.60–149.08) | 431.51 (359.94–541.46) | 605.47 (488.44–797.55) | 2.469 ± 0.186 | 8.163 (0.086) |
| 50 | 16.8 ± 1.50 e | |||||||
| 100 | 41.6 ± 0.98 d | |||||||
| 250 | 66.4 ± 5.31 c | |||||||
| 500 | 98.4 ± 0.98 b | |||||||
| 1000 | 100.0 ± 0.00 a | |||||||
| 1500 | 100.0 ± 0.00 a | |||||||
| Nanoemulsion | Control | 00.0 ± 00 d | 56.22 (49.36–62.34) | 110.87 (96.70–130.48) | 134.40 (113.63–175.49) | 4.346 ± 0.575 | 0.115 (0.998) | |
| 50 | 41.60 ± 2.71 c | |||||||
| 100 | 85.6 ± 4.49 b | |||||||
| 250 | 100.0 ± 0.00 a | |||||||
| 500 | 100.0 ± 0.00 a | |||||||
| 1000 | 100.0 ± 0.00 a | |||||||
| 1500 | 100.0 ± 0.00 a |
| Oil Name | Tested Materials | Conc. (ppm) | Mortality (%) | LC50 (Low–Up.) | LC90 (Low–Up.) | LC95 (Low–Up.) | Slope | Chi (Sig.) |
|---|---|---|---|---|---|---|---|---|
| Patchouli (Pogostemon cablin) | Oil | Control | 0.80 ± 0.80 f | 149.00 (105.78–201.73) | 458.72 (352.75–757.44) | 630.92 (484.37–129.25) | 2.624 ± 0.181 | 12.040 (0.017) |
| 50 | 13.6 ± 2.04 e | |||||||
| 100 | 36.0 ± 1.79 d | |||||||
| 250 | 60.0 ± 3.79 c | |||||||
| 500 | 95.2 ± 3.88 b | |||||||
| 1000 | 100.0 ± 0.00 a | |||||||
| 1500 | 100.0 ± 0.00 a | |||||||
| Nanoemulsion | Control | 00.0 ± 00 d | 61.60 (54.30–68.44) | 128.58 (111.28–158.77) | 158.42 (132.88–206.85) | 4.007 ± 0.481 | 1.369 (0.849) | |
| 50 | 36.8 ± 4.63 c | |||||||
| 100 | 78.4 ± 4.12 b | |||||||
| 250 | 100.0 ± 0.00 a | |||||||
| 500 | 100.0 ± 0.00 a | |||||||
| 1000 | 100.0 ± 0.00 a | |||||||
| 1500 | 100.0 ± 0.00 a |
| Oil Name | 1 h Knockdown % | LT50 (Low.–Up.) | LT95 (Low.–Up.) | RE (LT50) | Slope ± SE | Chi (Sig.) | 24 h Mortality % |
|---|---|---|---|---|---|---|---|
| Aloe vera | 22.22 ± 4.45 e | 168.94 (103.68–452.13) | 1557.55 (54.18–14,099.81) | 1.3 | 1.705 ± 0.312 | 0.693 (0.231) | 42.22 ± 5.88 ef |
| Citrus aurantium | 51.11 ± 4.44 b | 66.37 (51.58–96.58) | 619.03 (323.25–1782.13) | 3.4 | 1.696 ± 0.211 | 3.740 (0.290) | 60.00 ± 3.85 c |
| Cymbopogon schoenathus | 55.55 ± 2.22 a | 58.59 (45.42–85.29) | 708.96 (351.95–2232.64) | 3.8 | 1.519 ± 0.192 | 3.111 (0.374) | 66.67 ± 7.7 b |
| Fragaria virginiana | 24.45 ± 2.22 e | 217.19 (114.01–849.20) | 5703.56 (1260.65–15,676.66) | 1.0 | 1.158 ± 0.223 | 0.592 (0.898) | 37.78 ± 2.22 gh |
| Lactuca sativa | 17.78 ± 2.22 f | 225.56 (122–24-860.77) | 2871.68 (780.99–54562.19) | 1.0 | 1.488 ± 0.296 | 1.100 (0.296) | 35.56 ± 4.44 h |
| Lavandula angustifolia | 37.78 ± 4.45 d | 108.30 (71.61–224.27) | 2044.18 (704.05–14984.66) | 2.1 | 1.289 ± 0.202 | 0.170 (0.982) | 64.44 ± 5.88 b |
| Lonicera caprifolium | 51.11 ± 5.88 b | 69.32 (50.28–124.37) | 1520.20 (568.23–8672.15) | 3.3 | 1.238 ± 0.182 | 2.913 (0.971) | 75.56 ± 4.44 a |
| Melissa officinalis | 33.33 ± 3.85 e | 193.27 (100.26–793.35) | 8939.40 (1650.08–39785.89) | 1.2 | 0.987 ± 0.195 | 1.348 (0.717) | 48.89 ± 2.22 e |
| Narcissus tazetta | 53.33 ± 3.85 ab | 62.02 (47.31–93.30) | 820.26 (388.48–2848.24) | 3.6 | 1.466 ± 0.191 | 2.293 (0.513) | 66.67 ± 7.70 b |
| Origanum majorana | 37.78 ± 2.22 d | 98.33 (66.92–190.18) | 1732.27 (635.23–10,847.22) | 2.3 | 1.320 ± 0.200 | 0.285 (0.962) | 51.11 ± 5.88 e |
| Pelargonium graveolens | 51.11 ± 2.22 b | 64.34 (50.05–93.31) | 628.10 (326.24–1821.33) | 3.5 | 1.662 ± 0.207 | 1.425 (0.699) | 55.55 ± 2.22 d |
| Plumeria rubra | 33.33 ± 3.85 d | 160.80 (89.07–540.98) | 6671.87 (1405.54–19,163.43) | 1.4 | 1.016 ± 0.191 | 0.531 (0.912) | 40.00 ± 3.85 fg |
| Pogostemon cablin | 48.91 ± 5.88 b | 72.77 (52.68–130.66) | 1527.80 (579.23–8681.75) | 3.1 | 1.238 ± 0.182 | 2.913 (0.405) | 73.33 ± 3.85 a |
| Punica granatum | 33.33 ± 3.85 d | 156.41 (87.16–518.08) | 6638.84 (1401.15–18,896.49) | 1.4 | 1.010 ± 0.190 | 0.096 (0.992) | 44.45 ± 2.22 e |
| Ricinus communis | 33.33 ± 3.85 d | 93.46 (58.46–242.73) | 2342.17 (637.70–38,422.49) | 2.4 | 1.175 ± 0.221 | 0.216 (0.072) | 40.00 ± 3.85 fg |
| Rosmarinus officinalis | 42.22 ± 8.01 c | 82.50 (60.27–136.28) | 995.11 (445.22–3970.09) | 2.7 | 1.521 ± 0.209 | 1.1971 (0.753) | 64.44 ± 5.88 b |
| Oil Name | 1 h Knockdown % | LT50 (Low.–Up.) | LT95 (Low.–Up.) | RE (LT50) | Slope ± SE | Chi (Sig.) | 24 h Mortality % |
|---|---|---|---|---|---|---|---|
| Aloe vera | 37.78 ± 4.45 h | 122.78 (74.34–321.71) | 4348.13 (1100.04–71,388.02) | 1.0 | 1.061 ± 0.188 | 0.218 (0.974) | 71.11 ± 4.44 g |
| Citrus aurantium | 91.11 ± 5.88 a | 26.56 (23.07–31.81) | 158.05 (98.16–375.08) | 4.6 | 2.123 ± 0.192 | 26.718 (0.000) | 93.33 ± 6.67 c |
| Cymbopogon schoenathus | 91.11 ± 4.44 a | 24.36 (21.68–27.96) | 160.48 (89.07–540.98) | 5.0 | 2.009 ± 0.184 | 23.150 (0.000) | 86.67 ± 3.85 d |
| Fragaria virginiana | 53.33 ± 3.85 g | 60.51 (45.50–93.69) | 998.78 (439.54–4045.25) | 2.0 | 1.350 ± 0.183 | 2.662 (0.446) | 75.56 ± 5.88 f |
| Lactuca sativa | 55.55 ± 2.22 g | 57.84 (45.60–81.58) | 584.43 (309.33–1623.07) | 2.1 | 1.637 ± 0.199 | 0.730 (0.865) | 73.33 ± 3.85 fg |
| Lavandula angustifolia | 75.56 ± 5.88 d | 30.07 (25.43–36.73) | 276.07 (173.53–550.99) | 4.1 | 1.708 ± 0.178 | 4.465 (0.215) | 95.55 ± 2.22 bc |
| Lonicera caprifolium | 84.45 ± 2.22 b | 22.19 (19.68–26.96) | 183.54 (124.87–319.54) | 5.5 | 1.819 ± 0.177 | 6.765 (0.079) | 100.00 ± 00 a |
| Melissa officinalis | 55.55 ± 2.22 g | 47.01 (36.45–68.13) | 841.66 (384.26–3148.23) | 2.6 | 1.312 ± 0.174 | 0.698 (0.873) | 86.67 ± 3.85 d |
| Narcissus tazetta | 93.33 ± 3.85 a | 21.14 (17.66–24.98) | 130.17 (67.16–355.08) | 5.8 | 2.072 ± 0.184 | 17.977 (0.000) | 97.78 ± 2.22 ab |
| Origanum majorana | 71.11 ± 4.44 e | 36.36 (25.55–82.14) | 330.99 (266.18–4828.75) | 3.4 | 1.714 ± 0.184 | 8.002 (0.046) | 88.89 ± 4.44 d |
| Pelargonium graveolens | 80.00 ± 6.67 c | 28.93 (24.88–32.66) | 270.04 (162.24–880.77) | 4.2 | 1.695 ± 0.177 | 11.292 (0.010) | 93.33 ± 3.85 c |
| Plumeria rubra | 55.55 ± 2.22 g | 56.72 (42.65–87.82) | 1063.70 (454.13–4601.90) | 2.2 | 1.292 ± 0.178 | 2.499 (0.475) | 80.00 ± 3.85 e |
| Pogostemon cablin | 82.22 ± 4.45 bc | 23.15 (20.07–27.81) | 201.63 (134.14–364.77) | 5.3 | 1.760 ± 0.175 | 5.055 (0.167) | 100.00 ± 0 a |
| Punica granatum | 62.22 ± 2.22 f | 42.02 (33.40–57.84) | 645.68 (320.35–2028.58) | 2.9 | 1.386 ± 0.174 | 1.575 (0.665) | 86.67 ± 3.85 d |
| Ricinus communis | 64.44 ± 4.44 f | 39.25 (32.52–50.10) | 372.86 (220.69–830.34) | 3.1 | 1.682 ± 0.185 | 0.915 (0.821) | 82.22 ± 5.88 e |
| Rosmarinus officinalis | 75.56 ± 5.88 d | 37.93 (26.88–85.14) | 355.52 (296.28–4868.11) | 3.2 | 1.692 ± 0.184 | 18.104 (0.000) | 95.56 ± 4.44 bc |
| Oil Name | Tested Materials | 1 h Knockdown% | LT50 (Low.–Up.) | LT95 (Low.–Up.) | Slope ± SE | Chi (Sig.) | 24 h Mortality % |
|---|---|---|---|---|---|---|---|
| Honeysuckle | Oil | 84.45 ± 2.22 | 22.93 (19.70–26.98) | 185.83 (127.55–317.05) | 1.810 ± 0.170 | 6.778 (0.148) | 100.00 ± 0.00 |
| Nano | 100.00 ± 0.00 | 13.04 (11.08–15.14) | 90.06 (65.45–142.53) | 1.959 ± 0.195 | 6.624 (0.157) | 100.00 ± 0.00 | |
| Patchouli | Oil | 82.22 ± 4.45 | 23.93 (20.44–28.37) | 211.42 (141.94–373.36) | 1.738 ± 0.165 | 5.907 (0.206) | 100.00 ± 0.00 |
| Nano | 100.00 ± 0.00 | 14.34 (8.58–21.66) | 76.43 (67.68–257.68) | 2.263 ± 0.189 | 19.397 (0.000) | 100.00 ± 0.00 |
| Polyphenol Contents | Standards | Honeysuckle Oil | Patchouli Oil | |||
|---|---|---|---|---|---|---|
| Conc. (µg/mL) | Area | Conc. (µg/g) | Area | Conc. (µg/g) | Area | |
| Gallic acid | 15 | 171.65 | 70.95 | 32.48 | 47.45 | 21.72 |
| Chlorogenic acid | 50 | 373.44 | 0.00 | 0.00 | 0.00 | 0.00 |
| Catechin | 75 | 291.29 | 60.96 | 9.47 | 0.00 | 0.00 |
| Methyl gallate | 15 | 239.43 | 12.45 | 7.95 | 0.00 | 0.00 |
| Coffeic acid | 18 | 241.80 | 0.00 | 0.00 | 0.00 | 0.00 |
| Syringic acid | 17.2 | 208.30 | 141.62 | 68.61 | 0.00 | 0.00 |
| Pyro catechol | 40 | 523.90 | 8.77 | 4.59 | 0.00 | 0.00 |
| Rutin | 61 | 445.91 | 0.00 | 0.00 | 0.00 | 0.00 |
| Ellagic acid | 120 | 327.76 | 0.00 | 0.00 | 0.00 | 0.00 |
| p-Coumaric acid | 20 | 710.86 | 0.00 | 0.00 | 10.77 | 15.31 |
| Vanillin | 12.9 | 338.87 | 8152.26 | 8566.02 | 6.32 | 6.64 |
| Ferulic acid | 20 | 324.86 | 0.00 | 0.00 | 0.00 | 0.00 |
| Naringenin | 30 | 259.83 | 10.89 | 3.77 | 0.00 | 0.00 |
| Daidzein | 35 | 491.37 | 3116.16 | 1749.93 | 18.66 | 10.48 |
| Quercetin | 40 | 310.98 | 67.97 | 21.14 | 170.25 | 52.94 |
| Cinnamic acid | 10 | 459.44 | 2447.91 | 4498.72 | 1.79 | 3.29 |
| Apigenin | 50 | 619.44 | 0.00 | 0.00 | 174.82 | 86.63 |
| Kaempferol | 60 | 507.81 | 0.00 | 0.00 | 0.00 | 0.00 |
| Hesperetin | 20 | 334.36 | 0.00 | 0.00 | 0.00 | 0.00 |
| No. | RT | Compound Name | Area (%) | R. I. | M. F. | Classification |
|---|---|---|---|---|---|---|
| 1 | 2.02 | Cyclobutane, 1,1-dimethyl-2-octyl | 0.33 | 913 | C14H28 | Cycloalkane |
| 2 | 7.36 | D-Limonene | 0.54 | 1030 | C10H16 | Monoterpene |
| 3 | 9.59 | Linalool | 1.19 | 1099 | C10H18O | Monoterpene |
| 4 | 10.06 | Phenethyl alcohol | 0.62 | 914 | C8H10O | Phenyl |
| 5 | 11.58 | Acetic acid, phenylmethyl ester | 1.53 | 1164 | C9H10O2 | Phenol |
| 6 | 12.75 | Estragole | 0.78 | 1196 | C10H12O | Phenylpropene |
| 7 | 13.35 | 1,3-Dioxolane, 4-ethyl-4-methyl-2-pentadecyl | 0.40 | 1842 | C21H42O2 | Heneicosylic acid |
| 8 | 13.74 | Citronellol | 1.36 | 1135 | C10H20O | Monoterpene |
| 9 | 14.42 | Linalyl acetate | 1.25 | 1257 | C12H20O2 | Monoterpene |
| 10 | 14.52 | Geraniol | 1.17 | 998 | C10H18O | Monoterpene |
| 11 | 21.33 | α- Isomethyl ionone | 3.96 | 1480 | C14H22O | Sesquiterpene |
| 12 | 24.80 | Diethyl phthalate | 24.85 | 1594 | C12H14O4 | Phthalic acid |
| 13 | 26.47 | 1-(4-Isopropylphenyl)-2-methylpropyl acetate | 1.54 | 1578 | C15H22O2 | Flavonoid |
| 14 | 26.69 | β-Ionone, methyl | 15.76 | 1489 | C14H22O | Sesquiterpene |
| 15 | 26.87 | β-Ionone | 3.06 | 1456 | C14H22O | Sesquiterpene |
| 16 | 30.50 | 5,5-Dimethyl-2-(7-hydroxy-n-heptyl)-2-n-hexyl-1,3-dioxane | 2.26 | 1784 | C19H38O3 | Fatty acid |
| 17 | 30.77 | Oxacycloheptadec-8-en-2-one, (8Z) | 5.44 | 1925 | C16H28O2 | Ketone |
| 18 | 31.11 | 9,12-Octadecadienoic acid (Z, Z) | 5.49 | 2133 | C18H32O2 | Methyl ester |
| 19 | 31.28 | i-Propyl 12-methyl-tridecanoate | 0.64 | 1750 | C17H34O2 | Tridecanoic acid |
| 20 | 31.50 | 7-Acetyl-6-ethyl-1,1,4,4-tetramethyltetralin | 21.69 | 1851 | C18H26O | Phenol |
| 21 | 35.54 | Ethylene brassylate | 4.67 | 1989 | C15H26O4 | Ketone |
| No | RT | Compound Name | Area (%) | R. I. | M. F. | Classification |
|---|---|---|---|---|---|---|
| 1 | 5.93 | β-Pinene | 0.18 | 937 | C10H16 | Monoterpene |
| 2 | 18.35 | α-Copaene | 0.21 | 1419 | C15H24 | Sesquiterpene |
| 3 | 18.57 | β-Patchoulene | 3.80 | 1419 | C15H24 | Sesquiterpene |
| 4 | 18.82 | β-Elemene | 1.45 | 1419 | C15H24 | Sesquiterpene |
| 5 | 19.50 | Cycloseychellene | 0.90 | 1419 | C15H24 | Sesquiterpene |
| 6 | 19.68 | β-Caryophyllene | 3.44 | 1351 | C15H24 | Sesquiterpene |
| 7 | 20.23 | α-Guaiene | 15.80 | 1419 | C15H24 | Sesquiterpene |
| 8 | 20.53 | Seychellene | 9.34 | 1419 | C15H24 | Sesquiterpene |
| 9 | 20.78 | α-Humulene | 0.42 | 1419 | C15H24 | Sesquiterpene |
| 10 | 20.91 | Levo-alpha-cedrene | 6.73 | 1419 | C15H24 | Sesquiterpene |
| 11 | 20.99 | Valencene | 1.70 | 1419 | C15H24 | Sesquiterpene |
| 12 | 21.80 | γ -Gurjunene | 0.56 | 1419 | C15H24 | Sesquiterpene |
| 13 | 22.05 | Aciphyllene | 3.31 | 1419 | C15H24 | Sesquiterpene |
| 14 | 22.24 | α-Bulnesene | 16.88 | 1419 | C15H24 | Sesquiterpene |
| 15 | 22.70 | α-Selinene | 0.40 | 1419 | C15H24 | Sesquiterpene |
| 16 | 24.11 | Norpatchoulenol | 0.82 | 1480 | C14H22O | Sesquiterpene |
| 17 | 24.26 | Diepicedrene-1-oxide | 0.41 | 1496 | C15H24O | Sesquiterpene |
| 18 | 24.50 | Caryophellene oxide | 0.63 | 1496 | C15H24O | Sesquiterpene |
| 19 | 24.67 | Spathulenol | 0.57 | 1496 | C15H24O | Sesquiterpene |
| 20 | 25.57 | Ledene oxide-(II) | 0.65 | 1496 | C15H24O | Sesquiterpene |
| 21 | 25.86 | Globulol | 0.96 | 1583 | C15H26O | Phenol |
| 22 | 26.71 | Pogostole | 2.58 | 1583 | C15H26O | Phenol |
| 23 | 26.94 | Patchouli alcohol | 26.62 | 1660 | C15H26O | Phenol |
| 24 | 28.28 | Pogostone | 0.98 | 1787 | C12H16O4 | Ketone |
| No. | Oil Name | Plant Oils | |||
|---|---|---|---|---|---|
| Order | Family | English Name | Part Used | ||
| 1 | Aloe vera L. | Asparagales | Xanthorrhoeaceae | Mediterranean aloe | Leaf |
| 2 | Citrus aurantium L. | Sapindales | Rutaceae | Bitter orange | Flower |
| 3 | Cymbopogon schoenanthus L. | Poales | Poaceae | Camel grass | Leaf |
| 4 | Fragaria virginiana D. | Rosale | Rosaceae | Wild strawberry | Leaf/fruit |
| 5 | Lactuca sativa L. | Asterales | Asteraceae | Lettuce | Leaf |
| 6 | Lavandula angustifolia M | Lamiales | Lamiaceae | English lavender | Leaf |
| 7 | Lonicera caprifolium L. | Dipsacales | Caprifoliaceae | Honeysuckle | Flower |
| 8 | Melissa officinalis L. | Lamiales | Lamiaceae | Common balm | Leaf/flower |
| 9 | Narcissus tazetta L. | Asparagales | Amaryllidaceae | Cream narcissus | Flower |
| 10 | Origanum majorana L. | Lamiales | Lamiaceae | Sweet marjoram | Leaf |
| 11 | Pelargonium graveolens | Geraniales | Geraniaceae | Scented geranium | Leaf |
| 12 | Plumeria rubra L. | Gentianales | Apocynaceae | Frangipani | Flower |
| 13 | Pogostemon cablin B. | Lamiales | Lamiaceae | Patchouli | Leaf |
| 14 | Punica granatum L. | Myrtales | Lythraceae | Pomegranate | Flower |
| 15 | Ricinus communis L. | Malpighiales | Euphorbiaceae | Castor bean | Seed |
| 16 | Rosmarinus officinalis L. | Lamiales | Lamiaceae | Rosemary | Flower |
Disclaimer/Publisher’s Note: The statements, opinions and data contained in all publications are solely those of the individual author(s) and contributor(s) and not of MDPI and/or the editor(s). MDPI and/or the editor(s) disclaim responsibility for any injury to people or property resulting from any ideas, methods, instructions or products referred to in the content. |
© 2023 by the authors. Licensee MDPI, Basel, Switzerland. This article is an open access article distributed under the terms and conditions of the Creative Commons Attribution (CC BY) license (https://creativecommons.org/licenses/by/4.0/).
Share and Cite
Hikal, W.M.; Baz, M.M.; Alshehri, M.A.; Bahattab, O.; Baeshen, R.S.; Selim, A.M.; Alhwity, L.; Bousbih, R.; Alshourbaji, M.S.; Ahl, H.A.H.S.-A. Sustainable Pest Management Using Novel Nanoemulsions of Honeysuckle and Patchouli Essential Oils against the West Nile Virus Vector, Culex pipiens, under Laboratory and Field Conditions. Plants 2023, 12, 3682. https://doi.org/10.3390/plants12213682
Hikal WM, Baz MM, Alshehri MA, Bahattab O, Baeshen RS, Selim AM, Alhwity L, Bousbih R, Alshourbaji MS, Ahl HAHS-A. Sustainable Pest Management Using Novel Nanoemulsions of Honeysuckle and Patchouli Essential Oils against the West Nile Virus Vector, Culex pipiens, under Laboratory and Field Conditions. Plants. 2023; 12(21):3682. https://doi.org/10.3390/plants12213682
Chicago/Turabian StyleHikal, Wafaa M., Mohamed M. Baz, Mohammed Ali Alshehri, Omar Bahattab, Rowida S. Baeshen, Abdelfattah M. Selim, Latifah Alhwity, Rabaa Bousbih, Maha Suleiman Alshourbaji, and Hussein A. H. Said-Al Ahl. 2023. "Sustainable Pest Management Using Novel Nanoemulsions of Honeysuckle and Patchouli Essential Oils against the West Nile Virus Vector, Culex pipiens, under Laboratory and Field Conditions" Plants 12, no. 21: 3682. https://doi.org/10.3390/plants12213682
APA StyleHikal, W. M., Baz, M. M., Alshehri, M. A., Bahattab, O., Baeshen, R. S., Selim, A. M., Alhwity, L., Bousbih, R., Alshourbaji, M. S., & Ahl, H. A. H. S.-A. (2023). Sustainable Pest Management Using Novel Nanoemulsions of Honeysuckle and Patchouli Essential Oils against the West Nile Virus Vector, Culex pipiens, under Laboratory and Field Conditions. Plants, 12(21), 3682. https://doi.org/10.3390/plants12213682

