Drought Sensitivity of Spring Wheat Cultivars Shapes Rhizosphere Microbial Community Patterns in Response to Drought
Abstract
:1. Introduction
2. Materials and Methods
2.1. Experimental Materials and Field Experimental Design
2.2. Determination of Soil Mass Water Content
2.3. Sample Collection and Preservation
2.4. Determination of Physiological and Biochemical Characteristics of Plants
2.5. Analysis of Drought Resistance Gene Expression in the Root of Spring Wheat
2.6. Determination of Soil Chemical Properties and Microbiological Properties
2.7. Soil Total DNA Extraction and 16S and ITS rRNA Sequencing
2.8. High-Throughput Sequencing Data Analysis and Statistical Analysis
3. Results
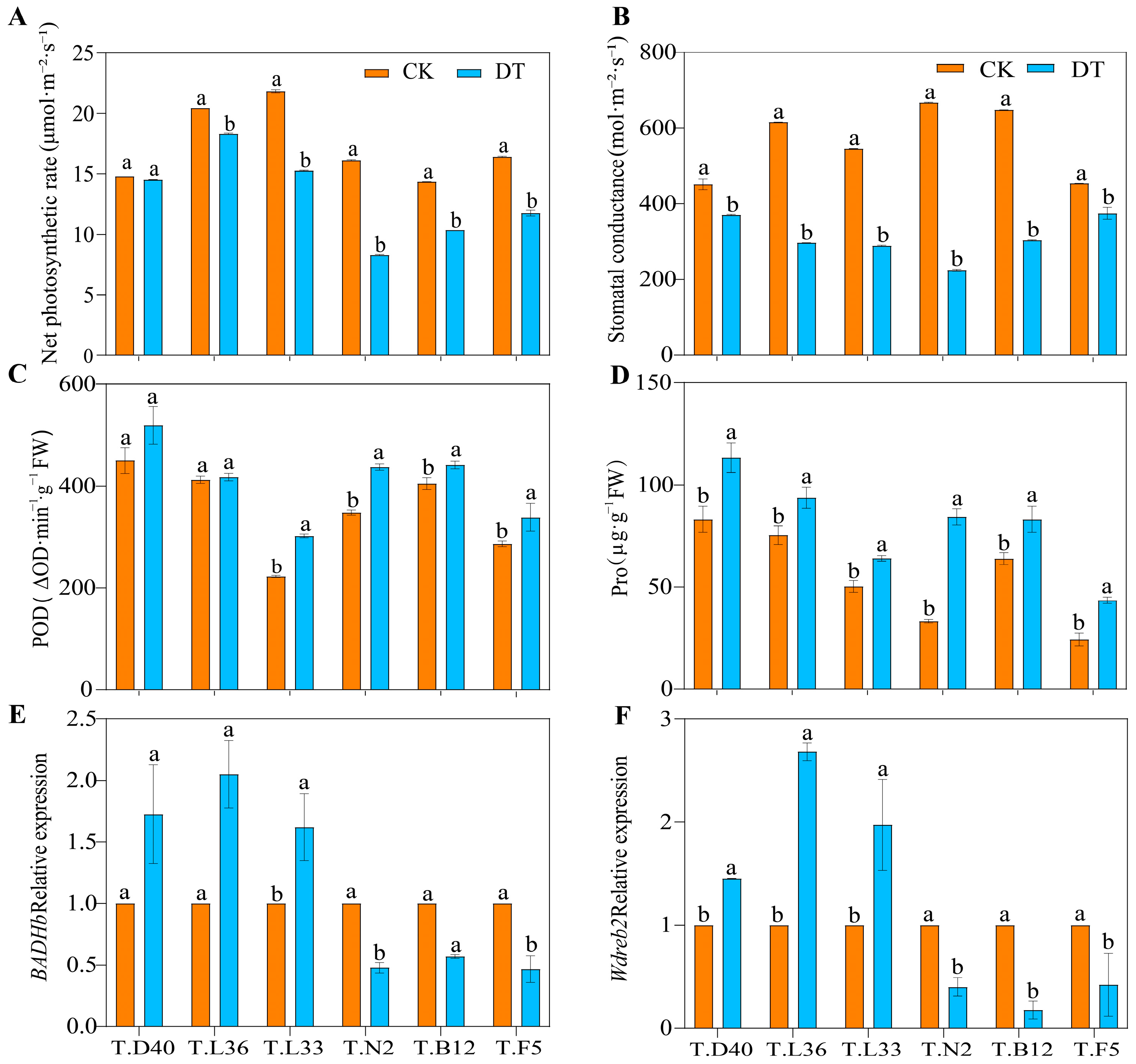
3.1. Response of Physiological Parameters of Spring Wheat Varieties with Different Drought Resistance to Drought
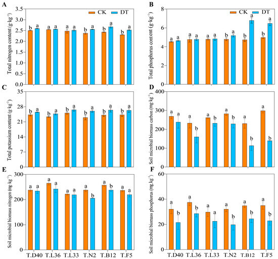
3.2. Effects of Drought Stress on Soil Indices of Spring Wheat Varieties with Different Drought Resistance
3.3. Screening and Selection of Spring Wheat Genotypes for Drought Tolerance and Sensitivity
3.4. Alpha Diversity of Rhizosphere Soil Microorganisms in Spring Wheat
3.5. Microbial Community Composition of Spring Wheat Rhizosphere Soil
3.6. Analysis of Differential Species between Rhizosphere Microorganisms of Spring Wheat under Drought Stress
3.7. Co-Occurrence Network Analysis of Rhizosphere Microorganisms in Spring Wheat under Drought Stress
4. Discussion
4.1. Morphological and Physiological Changes in Spring Wheat under Drought Stress
4.2. Changes in Soil Nutrients and Microbiological Characteristics of Spring Wheat under Drought Stress
4.3. Response of Rhizosphere Microorganisms of Drought-Tolerant Spring Wheat to Drought Stress
5. Conclusions
Supplementary Materials
Author Contributions
Funding
Data Availability Statement
Conflicts of Interest
References
- Zhang, N.; Nunan, N.; Hirsch, P.R.; Sun, B.; Zhou, J.; Liang, Y. Theory of Microbial Coexistence in Promoting Soil–Plant Ecosystem Health. Biol. Fertil. Soils 2021, 57, 897–911. [Google Scholar] [CrossRef]
- Berendsen, R.L.; Pieterse, C.M.J.; Bakker, P.A.H.M. The Rhizosphere Microbiome and Plant Health. Trends Plant Sci. 2012, 17, 478–486. [Google Scholar] [CrossRef]
- van der Heijden, M.G.A.; Bardgett, R.D.; van Straalen, N.M. The Unseen Majority: Soil Microbes as Drivers of Plant Diversity and Productivity in Terrestrial Ecosystems. Ecol. Lett. 2008, 11, 296–310. [Google Scholar] [CrossRef] [PubMed]
- Sun, L.; Gao, J.; Huang, T.; Kendall, J.R.A.; Shen, Q.; Zhang, R. Parental Material and Cultivation Determine Soil Bacterial Community Structure and Fertility. FEMS Microbiol. Ecol. 2015, 91, 1–10. [Google Scholar] [CrossRef] [PubMed]
- Pang, Z.; Dong, F.; Liu, Q.; Lin, W.; Hu, C.; Yuan, Z. Soil Metagenomics Reveals Effects of Continuous Sugarcane Cropping on the Structure and Functional Pathway of Rhizospheric Microbial Community. Front. Microbiol. 2021, 12, 627569. [Google Scholar] [CrossRef] [PubMed]
- Shi, Y.; Pan, Y.; Xiang, L.; Zhu, Z.; Fu, W.; Hao, G.; Geng, Z.; Chen, S.; Li, Y.; Han, D. Assembly of Rhizosphere Microbial Communities in Artemisia Annua: Recruitment of Plant Growth-promoting Microorganisms and Inter-kingdom Interactions between Bacteria and Fungi. Plant Soil 2022, 470, 127–139. [Google Scholar] [CrossRef]
- Delgado-Baquerizo, M.; Oliverio, A.M.; Brewer, T.E.; Benavent-González, A.; Eldridge, D.J.; Bardgett, R.D.; Maestre, F.T.; Singh, B.K.; Fierer, N. A Global Atlas of the Dominant Bacteria Found in Soil. Science 2018, 359, 320–325. [Google Scholar] [CrossRef] [PubMed]
- Soman, C.; Li, D.; Wander, M.M.; Kent, A.D. Long-Term Fertilizer and Crop-Rotation Treatments Differentially Affect Soil Bacterial Community Structure. Plant Soil 2017, 413, 145–159. [Google Scholar] [CrossRef]
- Zhang, X.; Zhang, R.; Gao, J.; Wang, X.; Fan, F.; Ma, X.; Yin, H.; Zhang, C.; Feng, K.; Deng, Y. Thirty-One Years of Rice-Rice-Green Manure Rotations Shape the Rhizosphere Microbial Community and Enrich Beneficial Bacteria. Soil. Biol. Biochem. 2017, 104, 208–217. [Google Scholar] [CrossRef]
- Zhou, X.; Liu, J.; Wu, F. Soil Microbial Communities in Cucumber Monoculture and Rotation Systems and Their Feedback Effects on Cucumber Seedling Growth. Plant Soil 2017, 415, 507–520. [Google Scholar] [CrossRef]
- Badri, D.V.; Chaparro, J.M.; Zhang, R.; Shen, Q.; Vivanco, J.M. Application of Natural Blends of Phytochemicals Derived from the Root Exudates of Arabidopsis to the Soil Reveal That Phenolic-Related Compounds Predominantly Modulate the Soil Microbiome. J. Biol. Chem. 2013, 288, 4502–4512. [Google Scholar] [CrossRef] [PubMed]
- Hu, L.; Robert, C.A.M.; Cadot, S.; Zhang, X.; Ye, M.; Li, B.; Manzo, D.; Chervet, N.; Steinger, T.; van der Heijden, M.G.A.; et al. Root Exudate Metabolites Drive Plant-Soil Feedbacks on Growth and Defense by Shaping the Rhizosphere Microbiota. Nat. Commun. 2018, 9, 2738. [Google Scholar] [CrossRef] [PubMed]
- Mostofa, M.G.; Li, W.; Nguyen, K.H.; Fujita, M.; Tran, L.-S.P. Strigolactones in Plant Adaptation to Abiotic Stresses: An Emerging Avenue of Plant Research. Plant Cell Environ. 2018, 41, 2227–2243. [Google Scholar] [CrossRef] [PubMed]
- Aira, M.; Gómez-Brandón, M.; Lazcano, C.; Bååth, E.; Domínguez, J. Plant Genotype Strongly Modifies the Structure and Growth of Maize Rhizosphere Microbial Communities. Soil. Biol. Biochem. 2010, 42, 2276–2281. [Google Scholar] [CrossRef]
- Babalola, O.O. Beneficial Bacteria of Agricultural Importance. Biotechnol. Lett. 2010, 32, 1559–1570. [Google Scholar] [CrossRef] [PubMed]
- Morton, L.W.; Hobbs, J.; Arbuckle, J.G.; Loy, A. Upper Midwest Climate Variations: Farmer Responses to Excess Water Risks. J. Environ. Qual. 2015, 44, 810–822. [Google Scholar] [CrossRef] [PubMed]
- Lesk, C.; Rowhani, P.; Ramankutty, N. Influence of Extreme Weather Disasters on Global Crop Production. Nature 2016, 529, 84–87. [Google Scholar] [CrossRef] [PubMed]
- Yuan, Y.; Liu, L.; Gao, Y.; Yang, Q.; Dong, K.; Liu, T.; Feng, B. Comparative Analysis of Drought-Responsive Physiological and Transcriptome in Broomcorn Millet (Panicum miliaceum L.) Genotypes with Contrasting Drought Tolerance. Ind. Crops Prod. 2022, 177, 114498. [Google Scholar] [CrossRef]
- Vardharajula, S.; Zulfikar Ali, S.; Grover, M.; Reddy, G.; Bandi, V. Drought-Tolerant Plant Growth Promoting Bacillus spp.: Effect on Growth, Osmolytes, and Antioxidant Status of Maize under Drought Stress. J. Plant Interact. 2011, 6, 1–14. [Google Scholar] [CrossRef]
- Mittler, R. Oxidative Stress, Antioxidants and Stress Tolerance. Trends Plant Sci. 2002, 7, 405–410. [Google Scholar] [CrossRef] [PubMed]
- Yu, H.; Le Roux, J.J.; Jiang, Z.; Sun, F.; Peng, C.; Li, W. Soil Nitrogen Dynamics and Competition during Plant Invasion: Insights from Mikania Micrantha Invasions in China. New Phytol. 2021, 229, 3440–3452. [Google Scholar] [CrossRef] [PubMed]
- Yan, W.; Zhong, Y.; Shangguan, Z. Responses of Different Physiological Parameter Thresholds to Soil Water Availability in Four Plant Species during Prolonged Drought. Agric. For. Meteorol. 2017, 247, 311–319. [Google Scholar] [CrossRef]
- García-Ruiz, R.; Ochoa, V.; Hinojosa, M.B.; Carreira, J.A. Suitability of Enzyme Activities for the Monitoring of Soil Quality Improvement in Organic Agricultural Systems. Soil. Biol. Biochem. 2008, 40, 2137–2145. [Google Scholar] [CrossRef]
- Uroz, S.; Buée, M.; Deveau, A.; Mieszkin, S.; Martin, F. Ecology of the Forest Microbiome: Highlights of Temperate and Boreal Ecosystems. Soil. Biol. Biochem. 2016, 103, 471–488. [Google Scholar] [CrossRef]
- Beckers, B.; Op De Beeck, M.; Weyens, N.; Boerjan, W.; Vangronsveld, J. Structural Variability and Niche Differentiation in the Rhizosphere and Endosphere Bacterial Microbiome of Field-Grown Poplar Trees. Microbiome 2017, 5, 25. [Google Scholar] [CrossRef] [PubMed]
- Ochoa-Hueso, R.; Collins, S.L.; Delgado-Baquerizo, M.; Hamonts, K.; Pockman, W.T.; Sinsabaugh, R.L.; Smith, M.D.; Knapp, A.K.; Power, S.A. Drought Consistently Alters the Composition of Soil Fungal and Bacterial Communities in Grasslands from Two Continents. Glob. Change Biol. 2018, 24, 2818–2827. [Google Scholar] [CrossRef] [PubMed]
- Xu, L.; Naylor, D.; Dong, Z.; Simmons, T.; Pierroz, G.; Hixson, K.K.; Kim, Y.-M.; Zink, E.M.; Engbrecht, K.M.; Wang, Y.; et al. Drought Delays Development of the Sorghum Root Microbiome and Enriches for Monoderm Bacteria. Proc. Natl. Acad. Sci. USA 2018, 115, E4284–E4293. [Google Scholar] [CrossRef] [PubMed]
- Olanrewaju, O.S.; Glick, B.R.; Babalola, O.O. Mechanisms of Action of Plant Growth Promoting Bacteria. World J. Microbiol. Biotechnol. 2017, 33, 197. [Google Scholar] [CrossRef] [PubMed]
- Gontia-Mishra, I.; Sapre, S.; Sharma, A.; Tiwari, S. Amelioration of Drought Tolerance in Wheat by the Interaction of Plant Growth-Promoting Rhizobacteria. Plant Biol. 2016, 18, 992–1000. [Google Scholar] [CrossRef] [PubMed]
- Arzanesh, M.H.; Alikhani, H.A.; Khavazi, K.; Rahimian, H.A.; Miransari, M. Wheat (Triticum aestivum L.) Growth Enhancement by Azospirillum Sp. under Drought Stress. World J. Microbiol. Biotechnol. 2011, 27, 197–205. [Google Scholar] [CrossRef]
- Kwak, M.-J.; Kong, H.G.; Choi, K.; Kwon, S.-K.; Song, J.Y.; Lee, J.; Lee, P.A.; Choi, S.Y.; Seo, M.; Lee, H.J.; et al. Rhizosphere Microbiome Structure Alters to Enable Wilt Resistance in Tomato. Nat. Biotechnol. 2018, 36, 1100–1109. [Google Scholar] [CrossRef] [PubMed]
- Mahmood, T.; Khalid, S.; Abdullah, M.; Ahmed, Z.; Shah, M.K.N.; Ghafoor, A.; Du, X. Insights into Drought Stress Signaling in Plants and the Molecular Genetic Basis of Cotton Drought Tolerance. Cells 2019, 9, 105. [Google Scholar] [CrossRef] [PubMed]
- Zhao, J.; Pu, F.; Li, Y.; Xu, J.; Li, N.; Zhang, Y.; Guo, J.; Pan, Z. Assessing the Combined Effects of Climatic Factors on Spring Wheat Phenophase and Grain Yield in Inner Mongolia, China. PLoS ONE 2017, 12, e0185690. [Google Scholar] [CrossRef] [PubMed]
- Mu, Q.; Dong, M.; Xu, J.; Cao, Y.; Ding, Y.; Sun, S.; Cai, H. Photosynthesis of Winter Wheat Effectively Reflected Multiple Physiological Responses under Short-Term Drought–Rewatering Conditions. J. Sci. Food Agric. 2022, 102, 2472–2483. [Google Scholar] [CrossRef] [PubMed]
- Lotfi, R.; Abbasi, A.; Kalaji, H.M.; Eskandari, I.; Sedghieh, V.; Khorsandi, H.; Sadeghian, N.; Yadav, S.; Rastogi, A. The Role of Potassium on Drought Resistance of Winter Wheat Cultivars under Cold Dryland Conditions: Probed by Chlorophyll a Fluorescence. Plant Physiol. Biochem. 2022, 182, 45–54. [Google Scholar] [CrossRef] [PubMed]
- Yu, M.; Yu, Y.; Guo, S.; Zhang, M.; Li, N.; Zhang, S.; Zhou, H.; Wei, F.; Song, T.; Cheng, J.; et al. Identification of TaBADH-A1 Allele for Improving Drought Resistance and Salt Tolerance in Wheat (Triticum aestivum L.). Front. Plant Sci. 2022, 13, 942359. [Google Scholar] [CrossRef] [PubMed]
- Zhu, M.; He, W.; Liu, Y.; Chen, Z.; Dong, Z.; Zhu, C.; Chen, Y.; Xiong, Y. Characteristics of Soil Erodibility in the Yinna Mountainous Area, Eastern Guangdong Province, China. Int. J. Environ. Res. Public Health 2022, 19, 15703. [Google Scholar] [CrossRef] [PubMed]
- Ji, C.; Tian, H.; Wang, X.; Song, X.; Ju, R.; Li, H.; Gao, Q.; Li, C.; Zhang, P.; Li, J.; et al. Bacillus Subtilis HG-15, a Halotolerant Rhizoplane Bacterium, Promotes Growth and Salinity Tolerance in Wheat (Triticum aestivum). Biomed. Res. Int. 2022, 2022, 9506227. [Google Scholar] [CrossRef] [PubMed]
- Wu, Y.; von Tiedemann, A. Impact of Fungicides on Active Oxygen Species and Antioxidant Enzymes in Spring Barley (Hordeum vulgare L.) Exposed to Ozone. Environ. Pollut. 2002, 116, 37–47. [Google Scholar] [CrossRef] [PubMed]
- Abrahám, E.; Hourton-Cabassa, C.; Erdei, L.; Szabados, L. Methods for Determination of Proline in Plants. Methods Mol. Biol. 2010, 639, 317–331. [Google Scholar] [CrossRef] [PubMed]
- Liu, H.; Lu, Y.; Wang, X.; Wang, X.; Li, R.; Lu, C.; Lan, X.; Chen, Y. Selection and Validation of Reference Genes for RT-qPCR Analysis in Tibetan Medicinal Plant Saussurea Laniceps Callus under Abiotic Stresses and Hormone Treatments. Genes 2022, 13, 904. [Google Scholar] [CrossRef]
- Chu, H.; Grogan, P. Soil Microbial Biomass, Nutrient Availability and Nitrogen Mineralization Potential among Vegetation-Types in a Low Arctic Tundra Landscape. Plant Soil 2010, 329, 411–420. [Google Scholar] [CrossRef]
- Maphuhla, N.G.; Lewu, F.B.; Oyedeji, O.O. The Effects of Physicochemical Parameters on Analysed Soil Enzyme Activity from Alice Landfill Site. Int. J. Environ. Res. Public Health 2020, 18, 221. [Google Scholar] [CrossRef]
- Ren, C.; Zhang, W.; Zhong, Z.; Han, X.; Yang, G.; Feng, Y.; Ren, G. Differential Responses of Soil Microbial Biomass, Diversity, and Compositions to Altitudinal Gradients Depend on Plant and Soil Characteristics. Sci. Total Environ. 2018, 610–611, 750–758. [Google Scholar] [CrossRef]
- Caporaso, J.G.; Lauber, C.L.; Walters, W.A.; Berg-Lyons, D.; Huntley, J.; Fierer, N.; Owens, S.M.; Betley, J.; Fraser, L.; Bauer, M.; et al. Ultra-High-Throughput Microbial Community Analysis on the Illumina HiSeq and MiSeq Platforms. ISME J. 2012, 6, 1621–1624. [Google Scholar] [CrossRef]
- Fouts, D.E.; Szpakowski, S.; Purushe, J.; Torralba, M.; Waterman, R.C.; MacNeil, M.D.; Alexander, L.J.; Nelson, K.E. Next Generation Sequencing to Define Prokaryotic and Fungal Diversity in the Bovine Rumen. PLoS ONE 2012, 7, e48289. [Google Scholar] [CrossRef]
- Adams, R.I.; Miletto, M.; Taylor, J.W.; Bruns, T.D. Dispersal in Microbes: Fungi in Indoor Air Are Dominated by Outdoor Air and Show Dispersal Limitation at Short Distances. ISME J. 2013, 7, 1262–1273. [Google Scholar] [CrossRef]
- Chen, S.; Zhou, Y.; Chen, Y.; Gu, J. Fastp: An Ultra-Fast All-in-One FASTQ Preprocessor. Bioinformatics 2018, 34, i884–i890. [Google Scholar] [CrossRef]
- Magoč, T.; Salzberg, S.L. FLASH: Fast Length Adjustment of Short Reads to Improve Genome Assemblies. Bioinformatics 2011, 27, 2957–2963. [Google Scholar] [CrossRef]
- Edgar, R.C. UPARSE: Highly Accurate OTU Sequences from Microbial Amplicon Reads. Nat. Methods 2013, 10, 996–998. [Google Scholar] [CrossRef]
- Stackebrandt, E.; Goebel, B.M. Taxonomic Note: A Place for DNA-DNA Reassociation and 16S rRNA Sequence Analysis in the Present Species Definition in Bacteriology. Int. J. Syst. Evol. Microbiol. 1994, 44, 846–849. [Google Scholar] [CrossRef]
- Wang, Q.; Garrity, G.M.; Tiedje, J.M.; Cole, J.R. Naïve Bayesian Classifier for Rapid Assignment of rRNA Sequences into the New Bacterial Taxonomy. Appl. Env. Microbiol. 2007, 73, 5261–5267. [Google Scholar] [CrossRef]
- Rustgi, S.; Boex-Fontvieille, E.; Reinbothe, C.; von Wettstein, D.; Reinbothe, S. Serpin1 and WSCP Differentially Regulate the Activity of the Cysteine Protease RD21 during Plant Development in Arabidopsis Thaliana. Proc. Natl. Acad. Sci. USA 2017, 114, 2212–2217. [Google Scholar] [CrossRef]
- Bolyen, E.; Rideout, J.R.; Dillon, M.R.; Bokulich, N.A.; Abnet, C.C.; Al-Ghalith, G.A.; Alexander, H.; Alm, E.J.; Arumugam, M.; Asnicar, F.; et al. Reproducible, Interactive, Scalable and Extensible Microbiome Data Science Using QIIME 2. Nat. Biotechnol. 2019, 37, 852–857. [Google Scholar] [CrossRef]
- Segata, N.; Izard, J.; Waldron, L.; Gevers, D.; Miropolsky, L.; Garrett, W.S.; Huttenhower, C. Metagenomic Biomarker Discovery and Explanation. Genome Biol. 2011, 12, R60. [Google Scholar] [CrossRef]
- Qiu, L.; Kong, W.; Zhu, H.; Zhang, Q.; Banerjee, S.; Ishii, S.; Sadowsky, M.J.; Gao, J.; Feng, C.; Wang, J.; et al. Halophytes Increase Rhizosphere Microbial Diversity, Network Complexity and Function in Inland Saline Ecosystem. Sci. Total Environ. 2022, 831, 154944. [Google Scholar] [CrossRef]
- Barberán, A.; Bates, S.T.; Casamayor, E.O.; Fierer, N. Using Network Analysis to Explore Co-Occurrence Patterns in Soil Microbial Communities. ISME J. 2012, 6, 343–351. [Google Scholar] [CrossRef]
- Bastian, M.; Heymann, S.; Jacomy, M. Gephi: An Open Source Software for Exploring and Manipulating Networks. Proc. Int. AAAI Conf. Web Soc. Media 2009, 3, 361–362. [Google Scholar] [CrossRef]
- Egawa, C.; Kobayashi, F.; Ishibashi, M.; Nakamura, T.; Nakamura, C.; Takumi, S. Differential Regulation of Transcript Accumulation and Alternative Splicing of a DREB2 Homolog under Abiotic Stress Conditions in Common Wheat. Genes. Genet. Syst. 2006, 81, 77–91. [Google Scholar] [CrossRef]
- Niazian, M.; Sadat-Noori, S.A.; Tohidfar, M.; Mortazavian, S.M.M.; Sabbatini, P. Betaine Aldehyde Dehydrogenase (BADH) vs. Flavodoxin (Fld): Two Important Genes for Enhancing Plants Stress Tolerance and Productivity. Front. Plant Sci. 2021, 12, 650215. [Google Scholar] [CrossRef]
- Chaves, M.M.; Flexas, J.; Pinheiro, C. Photosynthesis under Drought and Salt Stress: Regulation Mechanisms from Whole Plant to Cell. Ann. Bot. 2009, 103, 551–560. [Google Scholar] [CrossRef]
- Cramer, G.R.; Urano, K.; Delrot, S.; Pezzotti, M.; Shinozaki, K. Effects of Abiotic Stress on Plants: A Systems Biology Perspective. BMC Plant Biol. 2011, 11, 163. [Google Scholar] [CrossRef]
- Clifton-Brown, J.C.; Lewandowski, I. Water Use Efficiency and Biomass Partitioning of Three Different Miscanthus Genotypes with Limited and Unlimited Water Supply. Ann. Bot. 2000, 86, 191–200. [Google Scholar] [CrossRef]
- Flexas, J.; Bota, J.; Galmés, J.; Medrano, H.; Ribas-Carbó, M. Keeping a Positive Carbon Balance under Adverse Conditions: Responses of Photosynthesis and Respiration to Water Stress. Physiol. Plant. 2006, 127, 343–352. [Google Scholar] [CrossRef]
- Ghannoum, O. C4 Photosynthesis and Water Stress. Ann. Bot. 2009, 103, 635–644. [Google Scholar] [CrossRef]
- Pan, L.; Meng, C.; Wang, J.; Ma, X.; Fan, X.; Yang, Z.; Zhou, M.; Zhang, X. Integrated Omics Data of Two Annual Ryegrass (Lolium multiflorum L.) Genotypes Reveals Core Metabolic Processes under Drought Stress. BMC Plant Biol. 2018, 18, 26. [Google Scholar] [CrossRef]
- Bowne, J.B.; Erwin, T.A.; Juttner, J.; Schnurbusch, T.; Langridge, P.; Bacic, A.; Roessner, U. Drought Responses of Leaf Tissues from Wheat Cultivars of Differing Drought Tolerance at the Metabolite Level. Mol. Plant 2012, 5, 418–429. [Google Scholar] [CrossRef]
- Ghobadi, M.E.; Ghobadi, M.; Zebarjadi, A. Effect of Waterlogging at Different Growth Stages on Some Morphological Traits of Wheat Varieties. Int. J. Biometeorol. 2017, 61, 635–645. [Google Scholar] [CrossRef]
- Zivcak, M.; Brestic, M.; Balatova, Z.; Drevenakova, P.; Olsovska, K.; Kalaji, H.M.; Yang, X.; Allakhverdiev, S.I. Photosynthetic Electron Transport and Specific Photoprotective Responses in Wheat Leaves under Drought Stress. Photosynth. Res. 2013, 117, 529–546. [Google Scholar] [CrossRef]
- de Mezer, M.; Turska-Taraska, A.; Kaczmarek, Z.; Glowacka, K.; Swarcewicz, B.; Rorat, T. Differential Physiological and Molecular Response of Barley Genotypes to Water Deficit. Plant Physiol. Biochem. 2014, 80, 234–248. [Google Scholar] [CrossRef]
- Faghani, E.; Gharechahi, J.; Komatsu, S.; Mirzaei, M.; Khavarinejad, R.A.; Najafi, F.; Farsad, L.K.; Salekdeh, G.H. Comparative Physiology and Proteomic Analysis of Two Wheat Genotypes Contrasting in Drought Tolerance. J. Proteom. 2015, 114, 1–15. [Google Scholar] [CrossRef]
- Stavridou, E.; Webster, R.J.; Robson, P.R.H. Novel Miscanthus Genotypes Selected for Different Drought Tolerance Phenotypes Show Enhanced Tolerance across Combinations of Salinity and Drought Treatments. Ann. Bot. 2019, 124, 653–674. [Google Scholar] [CrossRef]
- Guo, R.; Shi, L.; Jiao, Y.; Li, M.; Zhong, X.; Gu, F.; Liu, Q.; Xia, X.; Li, H. Metabolic Responses to Drought Stress in the Tissues of Drought-Tolerant and Drought-Sensitive Wheat Genotype Seedlings. AoB Plants 2018, 10, ply016. [Google Scholar] [CrossRef]
- Wang, X.; Wang, L.; Shangguan, Z. Leaf Gas Exchange and Fluorescence of Two Winter Wheat Varieties in Response to Drought Stress and Nitrogen Supply. PLoS ONE 2016, 11, e0165733. [Google Scholar] [CrossRef]
- Tambussi, E.A.; Nogués, S.; Araus, J.L. Ear of Durum Wheat under Water Stress: Water Relations and Photosynthetic Metabolism. Planta 2005, 221, 446–458. [Google Scholar] [CrossRef]
- Niu, J.; Zhang, S.; Liu, S.; Ma, H.; Chen, J.; Shen, Q.; Ge, C.; Zhang, X.; Pang, C.; Zhao, X. The Compensation Effects of Physiology and Yield in Cotton after Drought Stress. J. Plant Physiol. 2018, 224–225, 30–48. [Google Scholar] [CrossRef]
- Singh, T.N.; Aspinall, D.; Paleg, L.G. Proline Accumulation and Varietal Adaptability to Drought in Barley: A Potential Metabolic Measure of Drought Resistance. Nat. New Biol. 1972, 236, 188–190. [Google Scholar] [CrossRef]
- Slama, A.; Mallek-Maalej, E.; Ben Mohamed, H.; Rhim, T.; Radhouane, L. A Return to the Genetic Heritage of Durum Wheat to Cope with Drought Heightened by Climate Change. PLoS ONE 2018, 13, e0196873. [Google Scholar] [CrossRef]
- Chen, T.H.H.; Murata, N. Glycinebetaine Protects Plants against Abiotic Stress: Mechanisms and Biotechnological Applications. Plant Cell Env. 2011, 34, 1–20. [Google Scholar] [CrossRef]
- Kobayashi, F.; Ishibashi, M.; Takumi, S. Transcriptional Activation of Cor/Lea Genes and Increase in Abiotic Stress Tolerance through Expression of a Wheat DREB2 Homolog in Transgenic Tobacco. Transgenic Res. 2008, 17, 755–767. [Google Scholar] [CrossRef]
- Fisher, J.B.; Badgley, G.; Blyth, E. Global Nutrient Limitation in Terrestrial Vegetation. Glob. Biogeochem. Cycles 2012, 26, GB3007. [Google Scholar] [CrossRef]
- Henry, H.A.L. Reprint of “Soil Extracellular Enzyme Dynamics in a Changing Climate”. Soil. Biol. Biochem. 2013, 56, 53–59. [Google Scholar] [CrossRef]
- Deng, Q.; Hui, D.; Dennis, S.; Reddy, K.C. Responses of Terrestrial Ecosystem Phosphorus Cycling to Nitrogen Addition: A Meta-Analysis. Glob. Ecol. Biogeogr. 2017, 26, 713–728. [Google Scholar] [CrossRef]
- Duan, D.; Jiang, F.; Lin, W.; Tian, Z.; Wu, N.; Feng, X.; Chen, T.; Nan, Z. Effects of Drought on the Growth of Lespedeza Davurica through the Alteration of Soil Microbial Communities and Nutrient Availability. J. Fungi. 2022, 8, 384. [Google Scholar] [CrossRef]
- Zhu, E.; Cao, Z.; Jia, J.; Liu, C.; Zhang, Z.; Wang, H.; Dai, G.; He, J.-S.; Feng, X. Inactive and Inefficient: Warming and Drought Effect on Microbial Carbon Processing in Alpine Grassland at Depth. Glob. Chang. Biol. 2021, 27, 2241–2253. [Google Scholar] [CrossRef]
- Wang, X.; Zhang, Q.; Zhang, Z.; Li, W.; Liu, W.; Xiao, N.; Liu, H.; Wang, L.; Li, Z.; Ma, J.; et al. Decreased Soil Multifunctionality Is Associated with Altered Microbial Network Properties under Precipitation Reduction in a Semiarid Grassland. iMeta 2023, 2, e106. [Google Scholar] [CrossRef]
- Mariotte, P.; Canarini, A.; Dijkstra, F.A. Stoichiometric N:P Flexibility and Mycorrhizal Symbiosis Favour Plant Resistance against Drought. J. Ecol. 2017, 105, 958–967. [Google Scholar] [CrossRef]
- Fry, E.L.; Johnson, G.N.; Hall, A.L.; Pritchard, W.J.; Bullock, J.M.; Bardgett, R.D. Drought Neutralises Plant-Soil Feedback of Two Mesic Grassland Forbs. Oecologia 2018, 186, 1113–1125. [Google Scholar] [CrossRef]
- Thakur, M.P.; Milcu, A.; Manning, P.; Niklaus, P.A.; Roscher, C.; Power, S.; Reich, P.B.; Scheu, S.; Tilman, D.; Ai, F.; et al. Plant Diversity Drives Soil Microbial Biomass Carbon in Grasslands Irrespective of Global Environmental Change Factors. Glob. Chang. Biol. 2015, 21, 4076–4085. [Google Scholar] [CrossRef]
- van Aarle, I.M.; Plassard, C. Spatial Distribution of Phosphatase Activity Associated with Ectomycorrhizal Plants Is Related to Soil Type. Soil. Biol. Biochem. 2010, 42, 324–330. [Google Scholar] [CrossRef]
- Dodor, D.E.; Tabatabai, M.A. Effect of Cropping Systems on Phosphatases in Soils. J. Plant Nutr. Soil. Sci. 2003, 166, 7–13. [Google Scholar] [CrossRef]
- Sardans, J.; Peñuelas, J. Drought Decreases Soil Enzyme Activity in a Mediterranean Quercus ilex L. Forest. Soil. Biol. Biochem. 2005, 37, 455–461. [Google Scholar] [CrossRef]
- Kang, J.; Peng, Y.; Xu, W. Crop Root Responses to Drought Stress: Molecular Mechanisms, Nutrient Regulations, and Interactions with Microorganisms in the Rhizosphere. Int. J. Mol. Sci. 2022, 23, 9310. [Google Scholar] [CrossRef]
- Edwards, J.A.; Santos-Medellín, C.M.; Liechty, Z.S.; Nguyen, B.; Lurie, E.; Eason, S.; Phillips, G.; Sundaresan, V. Compositional Shifts in Root-Associated Bacterial and Archaeal Microbiota Track the Plant Life Cycle in Field-Grown Rice. PLoS Biol. 2018, 16, e2003862. [Google Scholar] [CrossRef]
- Santos-Medellín, C.; Edwards, J.; Liechty, Z.; Nguyen, B.; Sundaresan, V. Drought Stress Results in a Compartment-Specific Restructuring of the Rice Root-Associated Microbiomes. mBio 2017, 8, e00764-17. [Google Scholar] [CrossRef]
- Wang, Y.; Yang, L.; Xu, J.; Xin, F.; Jiang, L. Applications of Synthetic Microbial Consortia in Biological Control of Mycotoxins and Fungi. Curr. Opin. Food Sci. 2023, 53, 101074. [Google Scholar] [CrossRef]
- Yuan, J.; Li, Y.; Shan, Y.; Tong, H.; Zhao, J. Effect of Magnesium Ions on the Mechanical Properties of Soil Reinforced by Microbially Induced Carbonate Precipitation. J. Mater. Civ. Eng. 2023, 35, 04023413. [Google Scholar] [CrossRef]
- Liu, Q.; Zhao, X.; Liu, Y.; Xie, S.; Xing, Y.; Dao, J.; Wei, B.; Peng, Y.; Duan, W.; Wang, Z. Response of Sugarcane Rhizosphere Bacterial Community to Drought Stress. Front. Microbiol. 2021, 12, 716196. [Google Scholar] [CrossRef]
- Zhang, G.; Zhao, Z.; Yin, X.-A.; Zhu, Y. Impacts of Biochars on Bacterial Community Shifts and Biodegradation of Antibiotics in an Agricultural Soil during Short-Term Incubation. Sci. Total Environ. 2021, 771, 144751. [Google Scholar] [CrossRef]
- Pérez Castro, S.; Cleland, E.E.; Wagner, R.; Sawad, R.A.; Lipson, D.A. Soil Microbial Responses to Drought and Exotic Plants Shift Carbon Metabolism. ISME J. 2019, 13, 1776–1787. [Google Scholar] [CrossRef]
- Allsup, C.M.; George, I.; Lankau, R.A. Shifting Microbial Communities Can Enhance Tree Tolerance to Changing Climates. Science 2023, 380, 835–840. [Google Scholar] [CrossRef]
- Joo, G.-J. Purification and Characterization of an Extracellular Chitinase from the Antifungal Biocontrol Agent Streptomyces halstedii. Biotechnol. Lett. 2005, 27, 1483–1486. [Google Scholar] [CrossRef]
- Fourati-Ben Fguira, L.; Fotso, S.; Ben Ameur-Mehdi, R.; Mellouli, L.; Laatsch, H. Purification and Structure Elucidation of Antifungal and Antibacterial Activities of Newly Isolated Streptomyces sp. Strain US80. Res. Microbiol. 2005, 156, 341–347. [Google Scholar] [CrossRef]
- Sanaullah, M.; Blagodatskaya, E.; Chabbi, A.; Rumpel, C.; Kuzyakov, Y. Drought Effects on Microbial Biomass and Enzyme Activities in the Rhizosphere of Grasses Depend on Plant Community Composition. Appl. Soil. Ecol. 2011, 48, 38–44. [Google Scholar] [CrossRef]
- Kumar, D.; Saraf, M.; Joshi, C.G.; Joshi, M. Host Plant Rhizo-Microbiome Interactions: Seasonal Variation and Microbial Community Structure Analysis Associated with Barleria Prionitis. Ecol. Genet. Genom. 2022, 22, 100109. [Google Scholar] [CrossRef]
- Khan, A.L.; Asaf, S.; Abed, R.M.M.; Ning Chai, Y.; Al-Rawahi, A.N.; Mohanta, T.K.; Al-Rawahi, A.; Schachtman, D.P.; Al-Harrasi, A. Rhizosphere Microbiome of Arid Land Medicinal Plants and Extra Cellular Enzymes Contribute to Their Abundance. Microorganisms 2020, 8, 213. [Google Scholar] [CrossRef]
- de Zelicourt, A.; Al-Yousif, M.; Hirt, H. Rhizosphere Microbes as Essential Partners for Plant Stress Tolerance. Mol. Plant 2013, 6, 242–245. [Google Scholar] [CrossRef]
- Qiao, Q.; Wang, F.; Zhang, J.; Chen, Y.; Zhang, C.; Liu, G.; Zhang, H.; Ma, C.; Zhang, J. The Variation in the Rhizosphere Microbiome of Cotton with Soil Type, Genotype and Developmental Stage. Sci. Rep. 2017, 7, 3940. [Google Scholar] [CrossRef]
- Rousk, J.; Brookes, P.C.; Bååth, E. Fungal and Bacterial Growth Responses to N Fertilization and pH in the 150-Year “Park Grass” UK Grassland Experiment. FEMS Microbiol. Ecol. 2011, 76, 89–99. [Google Scholar] [CrossRef]
- Ren, C.-G.; Chen, F.; Dai, C.-C. Fungal Endophyte Protects Atractylodes Lancea from Root Rot Caused by Fusarium Oxysporum. Plant Pathol. 2017, 66, 223–229. [Google Scholar] [CrossRef]
- Li, X.; de Boer, W.; Zhang, Y.; Ding, C.; Zhang, T.; Wang, X. Suppression of Soil-Borne Fusarium Pathogens of Peanut by Intercropping with the Medicinal Herb Atractylodes Lancea. Soil. Biol. Biochem. 2018, 116, 120–130. [Google Scholar] [CrossRef]
- Kidd, B.N.; Kadoo, N.Y.; Dombrecht, B.; Tekeoglu, M.; Gardiner, D.M.; Thatcher, L.F.; Aitken, E.A.B.; Schenk, P.M.; Manners, J.M.; Kazan, K. Auxin Signaling and Transport Promote Susceptibility to the Root-Infecting Fungal Pathogen Fusarium Oxysporum in Arabidopsis. Mol. Plant Microbe Interact. 2011, 24, 733–748. [Google Scholar] [CrossRef]
- Xiong, W.; Guo, S.; Jousset, A.; Zhao, Q.; Wu, H.; Li, R.; Kowalchuk, G.A.; Shen, Q. Bio-Fertilizer Application Induces Soil Suppressiveness against Fusarium Wilt Disease by Reshaping the Soil Microbiome. Soil. Biol. Biochem. 2017, 114, 238–247. [Google Scholar] [CrossRef]
- Sukweenadhi, J.; Kim, Y.-J.; Kang, C.H.; Farh, M.E.-A.; Nguyen, N.-L.; Hoang, V.-A.; Choi, E.-S.; Yang, D.-C. Sphingomonas panaciterrae sp. Nov., a Plant Growth-Promoting Bacterium Isolated from Soil of a Ginseng Field. Arch. Microbiol. 2015, 197, 973–981. [Google Scholar] [CrossRef]
- Chen, B.; Shen, J.; Zhang, X.; Pan, F.; Yang, X.; Feng, Y. The Endophytic Bacterium, Sphingomonas SaMR12, Improves the Potential for Zinc Phytoremediation by Its Host, Sedum alfredii. PLoS ONE 2014, 9, e106826. [Google Scholar] [CrossRef]
- Wang, F.; Wei, Y.; Yan, T.; Wang, C.; Chao, Y.; Jia, M.; An, L.; Sheng, H. Sphingomonas sp. Hbc-6 Alters Physiological Metabolism and Recruits Beneficial Rhizosphere Bacteria to Improve Plant Growth and Drought Tolerance. Front. Plant Sci. 2022, 13, 1002772. [Google Scholar] [CrossRef]
- Zhang, L.-L.; Gan, L.-Z.; Xu, Z.-B.; Yang, F.; Li, Y.; Fan, X.-L.; Liu, X.-F.; Tian, Y.-Q.; Dai, Y.-M. Pedobacter chitinilyticus sp. Nov., a Chitin-Degrading Bacterium Isolated from Wheat Leaf Tissue. Int. J. Syst. Evol. Microbiol. 2018, 68, 3713–3719. [Google Scholar] [CrossRef]
- Goswami, M.; Deka, S. Plant Growth-Promoting Rhizobacteria—Alleviators of Abiotic Stresses in Soil: A Review. Pedosphere 2020, 30, 40–61. [Google Scholar] [CrossRef]
- Santoyo, G. How Plants Recruit Their Microbiome? New Insights into Beneficial Interactions. J. Adv. Res. 2022, 40, 45–58. [Google Scholar] [CrossRef]
- Khan, N.; Bano, A. Exopolysaccharide Producing Rhizobacteria and Their Impact on Growth and Drought Tolerance of Wheat Grown under Rainfed Conditions. PLoS ONE 2019, 14, e0222302. [Google Scholar] [CrossRef]
- Khan, A.L.; Waqas, M.; Lee, I.-J. Resilience of Penicillium Resedanum LK6 and Exogenous Gibberellin in Improving Capsicum Annuum Growth under Abiotic Stresses. J. Plant Res. 2015, 128, 259–268. [Google Scholar] [CrossRef]
- Wei, D.-P.; Wanasinghe, D.N.; Hyde, K.D.; Mortimer, P.E.; Xu, J.; Xiao, Y.-P.; Bhunjun, C.S.; To-Anun, C. The Genus Simplicillium. MycoKeys 2019, 60, 69–92. [Google Scholar] [CrossRef]








| Category | Sample Name | Shannon Index | |CK-DT| |
|---|---|---|---|
| Bacteria | CK_T.L36 | 7.722 ± 1.738 a | 1.835 |
| DT_T.L36 | 9.557 ± 0.137 a | ||
| CK_T.B12 | 7.619 ± 1.637 a | 1.742 | |
| DT_T.B12 | 9.361 ± 0.157 a | ||
| Fungi | CK_T.L36 | 5.892 ± 1.138 a | 0.180 |
| DT_T.L36 | 6.072 ± 0.100 a | ||
| CK_T.B12 | 4.865 ± 0.472 a | 0.271 | |
| DT_T.B12 | 4.594 ± 1.014 a |
Disclaimer/Publisher’s Note: The statements, opinions and data contained in all publications are solely those of the individual author(s) and contributor(s) and not of MDPI and/or the editor(s). MDPI and/or the editor(s) disclaim responsibility for any injury to people or property resulting from any ideas, methods, instructions or products referred to in the content. |
© 2023 by the authors. Licensee MDPI, Basel, Switzerland. This article is an open access article distributed under the terms and conditions of the Creative Commons Attribution (CC BY) license (https://creativecommons.org/licenses/by/4.0/).
Share and Cite
Fang, J.; Shi, G.; Wei, S.; Ma, J.; Zhang, X.; Wang, J.; Chen, L.; Liu, Y.; Zhao, X.; Lu, Z. Drought Sensitivity of Spring Wheat Cultivars Shapes Rhizosphere Microbial Community Patterns in Response to Drought. Plants 2023, 12, 3650. https://doi.org/10.3390/plants12203650
Fang J, Shi G, Wei S, Ma J, Zhang X, Wang J, Chen L, Liu Y, Zhao X, Lu Z. Drought Sensitivity of Spring Wheat Cultivars Shapes Rhizosphere Microbial Community Patterns in Response to Drought. Plants. 2023; 12(20):3650. https://doi.org/10.3390/plants12203650
Chicago/Turabian StyleFang, Jing, Gongfu Shi, Shuli Wei, Jie Ma, Xiangqian Zhang, Jianguo Wang, Liyu Chen, Ying Liu, Xiaoqing Zhao, and Zhanyuan Lu. 2023. "Drought Sensitivity of Spring Wheat Cultivars Shapes Rhizosphere Microbial Community Patterns in Response to Drought" Plants 12, no. 20: 3650. https://doi.org/10.3390/plants12203650
APA StyleFang, J., Shi, G., Wei, S., Ma, J., Zhang, X., Wang, J., Chen, L., Liu, Y., Zhao, X., & Lu, Z. (2023). Drought Sensitivity of Spring Wheat Cultivars Shapes Rhizosphere Microbial Community Patterns in Response to Drought. Plants, 12(20), 3650. https://doi.org/10.3390/plants12203650

