28-Homobrassinolide Primed Seed Improved Lead Stress Tolerance in Brassica rapa L. through Modulation of Physio-Biochemical Attributes and Nutrient Uptake
Abstract
:1. Introduction
2. Results
2.1. Estimation of Growth Parameters and Biomass Yield
2.2. Estimation of Gas Exchange Attributes
2.3. Estimation of Photosynthetic Pigments and Carotenoids
2.4. Estimation of Heavy Metal and Nutritional Content
2.5. Assessment of Metal Tolerance Index and Accumulation Coefficient Factor
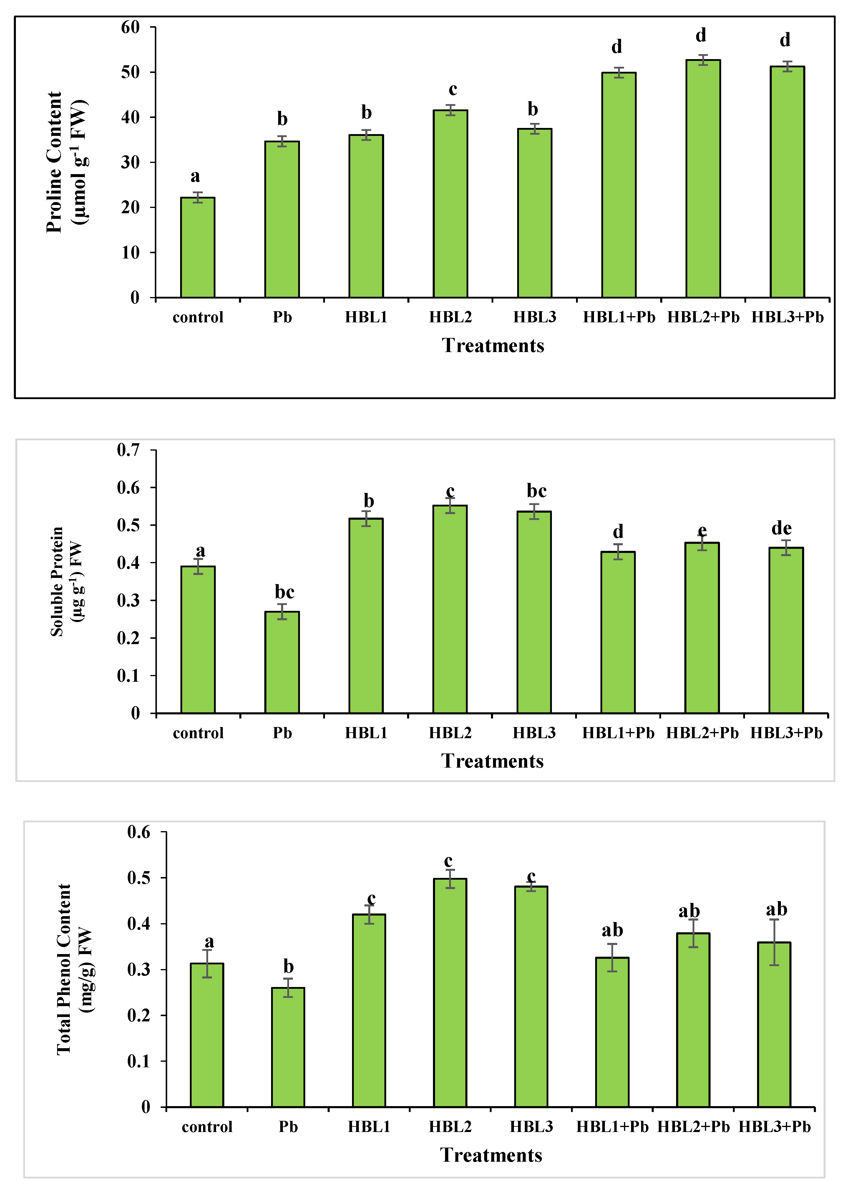
2.6. Estimation of Proline Content
2.7. Estimation of Protein Content
2.8. Estimation of Total Phenol
2.9. 2,2-Diphenylpicrylhydrazyl 0(DPPH) Free Radical Scavenging Activity Test
2.10. Correlation between Various Growth and Physiological Parameters
2.11. Principal Component Analysis (PCA)
3. Material and Methods
3.1. Assessment of Growth Parameters and Biomass Yield
3.2. Assessment of Gas Exchange Attributes
3.3. Estimation of Photosynthetic Pigments
3.4. Estimation of Carotenoid
3.5. Estimation of Heavy Metal and Nutritional Content
3.6. Estimation of Proline Content
3.7. Estimation of Protein Content
3.8. Assessment of Total Phenol
3.9. 2,2-Diphenylpicrylhydrazyl (DPPH) Free Radical Scavenging Activity Test
3.10. Statistical Evaluation
4. Discussion
5. Conclusions
Author Contributions
Funding
Data Availability Statement
Conflicts of Interest
References
- Shabbir, Z.; Sardar, A.; Shabbir, A.; Abbas, G.; Shamshad, S.; Khalid, S.; Natasha; Murtaza, G.; Dumat, C.; Shahid, M. Copper uptake, essentiality, toxicity, detoxification and risk assessment in soil-plant environment. Chemosphere 2020, 259, 127436. [Google Scholar] [CrossRef]
- Khalid, S.; Shahid, M.; Murtaza, B.; Bibi, I.; Natasha; Naeem, M.A.; Niazi, N.K. A critical review of different factors governing the fate of pesticides in soil under biochar application. Sci. Total Environ. 2020, 711, 134645. [Google Scholar] [CrossRef]
- Shahid, M.A.; Balal, R.M.; Pervez, M.A.; Abbas, T.; Aqeel, M.A.; Riaz, A.; Mattson, N.S. Exogenous 24-epibrassinolide elevates the salt tolerance potential of pea (Pisum sativum L.) by improving osmotic adjustment capacity and leaf water relations. J. Plant Nutr. 2015, 38, 1050–1072. [Google Scholar] [CrossRef]
- Khan, M.M.; Islam, E.; Irem, S.; Akhtar, K.; Ashraf, M.Y.; Iqbal, J.; Liu, D. Pb-induced phytotoxicity in para grass (Brachiaria mutica) and Castorbean (Ricinus communis L.): Antioxidant and ultrastructural studies. Chemosphere 2018, 200, 257–265. [Google Scholar] [CrossRef]
- Natasha; Shahid, M.; Niazi, N.K.; Khalid, S.; Murtaza, B.; Bibi, I.; Rashid, M.I. A critical review of selenium biogeochemical behavior in soil-plant system with an inference to human health. Environ. Pollut. 2018, 234, 915–934. [Google Scholar] [CrossRef]
- Rahman, Z.; Singh, V.P. The relative impact of toxic heavy metals (THMs)(arsenic (As), cadmium (Cd), chromium (Cr)(VI), mercury (Hg), and lead (Pb)) on the total environment: An overview. Environ. Monit. Assess. 2019, 191, 419. [Google Scholar] [CrossRef]
- Asgari Lajayer, B.; Khadem Moghadam, N.; Maghsoodi, M.R.; Ghorbanpour, M.; Kariman, K. Phytoextraction of heavy metals from contaminated soil, water and atmosphere using ornamental plants: Mechanisms and efficiency improvement strategies. Environ. Sci. Pollut. 2019, 26, 8468–8484. [Google Scholar] [CrossRef]
- Pratush, A.; Kumar, A.; Hu, Z. Adverse effect of heavy metals (As, Pb, Hg, and Cr) on health and their bioremediation strategies: A review. Int. Microbiol. 2018, 21, 97–106. [Google Scholar] [CrossRef]
- Ahmad, M.; Ahmed, S.; Yasin, N.A.; Wahid, A.; Sardar, R. Exogenous application of glutathione enhanced growth, nutritional orchestration and physiochemical characteristics of Brassica oleracea L. under lead stress. Physiol. Mol. Biol. Plants 2023, 29, 1103–1116. [Google Scholar] [CrossRef]
- Lajayer, B.A.; Ghorbanpour, M.; Nikabadi, S. Heavy metals in contaminated environment: Destiny of secondary metabolite biosynthesis, oxidative status and phytoextraction in medicinal plants. Ecotoxicol. Environ. Saf. 2017, 145, 377–390. [Google Scholar] [CrossRef]
- Sengar, R.S.; Gautam, M.; Sengar, R.S.; Garg, S.K.; Sengar, K.; Chaudhary, R. Lead stress effects on physiobiochemical activities of higher plants. Rev. Environ. Contam. Toxicol. 2008, 196, 73–93. [Google Scholar] [PubMed]
- Pourrut, B.; Shahid, M.; Dumat, C.; Winterton, P.; Pinelli, E. Lead uptake, toxicity, and detoxification in plants. Rev. Environ. Contam. Toxicol. 2011, 213, 113–136. [Google Scholar] [PubMed]
- Ahmed, S.; Khan, M.; Sardar, R. Glutathione primed seed improved lead-stress tolerance in Brassica rapa L. through modulation of physio-biochemical attributes and nutrient uptake. Int. J. Phytoremediat. 2023, 25, 1614–1624. [Google Scholar] [CrossRef] [PubMed]
- Wang, F.; Chen, F.; Cai, Y.; Zhang, G.; Wu, F. Modulation of exogenous glutathione in ultrastructure and photosynthetic performance against Cd stress in the two barley genotypes differing in Cd tolerance. Biol. Trace Elem. Res. 2011, 144, 1275–1288. [Google Scholar] [CrossRef]
- Ahmed, S.; Ahmad, M.; Sardar, R.; Ismail, M.A. Triacontanol priming as a smart strategy to attenuate lead toxicity in Brassica oleracea L. Int. J. Phytoremediat. 2023, 25, 1173–1188. [Google Scholar] [CrossRef]
- Xu, Z.; Jiang, Y.; Zhou, G. Response and adaptation of photosynthesis, respiration, and antioxidant systems to elevated CO2 with environmental stress in plants. Front. Plant Sci. 2015, 6, 701. [Google Scholar] [CrossRef] [PubMed]
- Jakab, G.; Ton, J.; Flors, V.; Zimmerli, L.; Métraux, J.P.; Mauch-Mani, B. Enhancing Arabidopsis salt and drought stress tolerance by chemical priming for its abscisic acid responses. Plant Physiol. 2005, 139, 267–274. [Google Scholar] [CrossRef]
- Gust, C.; Leduc, S.; Vigfusson, R. Trade integration, competition, and the decline in exchange-rate pass-through. J. Monet. Econ. 2010, 57, 309–324. [Google Scholar] [CrossRef]
- Xiong, L.; Zhu, J.K. Molecular and genetic aspects of plant responses to osmotic stress. Plant Cell Environ. 2002, 25, 131–139. [Google Scholar] [CrossRef]
- Shafi, M.; Bakht, J.; Hassan, M.J.; Raziuddin, M.; Zhang, G. Effect of cadmium and salinity stresses on growth and antioxidant enzyme activities of wheat (Triticum aestivum L.). Bull. Environ. Contam. Toxicol. 2009, 82, 772–776. [Google Scholar] [CrossRef]
- Taylor, A.G.; Harman, G.E. Concepts and technologies of selected seed treatments. Annu. Rev. Phytopathol. 1990, 28, 321–339. [Google Scholar] [CrossRef]
- Ashraf, M.; Foolad, M.R. Pre-sowing seed treatment—A shotgun approach to improve germination, plant growth, and crop yield under saline and non-saline conditions. Adv. Agron. 2005, 88, 223–271. [Google Scholar]
- Sasse, J.M. Physiological actions of brassinosteroids: An update. J. Plant Growth Regul. 2003, 22, 276–288. [Google Scholar] [CrossRef] [PubMed]
- Ahmed, S.; Mudassar, S.; Sardar, R.; Yasin, N.A. 28-Homo-Brassinolide Confers Cadmium Tolerance in Vigna radiate L. Through Modulating Minerals Uptake, Antioxidant System and Gas Exchange Attributes. J. Plant Growth Regul. 2023, 21, 1–15. [Google Scholar] [CrossRef]
- Nunez, M.; Mazzafera, P.; Mazorra, L.M.; Siqueira, W.J.; Zullo, M.A.T. Influence of a brassinosteroid analogue on antioxidant enzymes in rice grown in culture medium with NaCl. Biol. Plant. 2003, 47, 67–70. [Google Scholar] [CrossRef]
- Clouse, S.D.; Sasse, J.M. Brassinosteroids: Essential regulators of plant growth and development. Annu. Rev. Plant Biol. 1998, 49, 427–451. [Google Scholar] [CrossRef]
- Arnon, D.I. Copper enzymes in isolated chloroplasts. Polyphenoloxidase in Beta vulgaris. Plant Physiol. 1949, 24, 1–15. [Google Scholar] [CrossRef]
- Kirk, J.T.O.; Allen, R.L. Dependence of chloroplast pigment synthesis on protein synthesis: Effect of actidione. Biochem. Biophys. Res. Commun. 1965, 21, 523–530. [Google Scholar] [CrossRef]
- Davies, B.H. Analysis of carotenoid pigments. In Chemistry and Biochemistry of Plant Pigments; Goodwin, T.W., Ed.; Academic Press: New York, NY, USA, 1965. [Google Scholar]
- Al-Farraj, A.S.; Al-Otabi, T.G.; Al-Wabel, M.I. Accumulation coefficient and translocation factor of heavy metals through Ochradenus baccatus plant grown on mining area at Mahad AD’Dahab, Saudi Arabia. WIT Trans. Ecol. Environ. 2009, 122, 459–468. [Google Scholar]
- Balint, A.F.; Röder, M.S.; Hell, R.; Galiba, G.; Börner, A. Mapping of QTLs affecting copper tolerance and the Cu, Fe, Mn and Zn contents in the shoots of wheat seedlings. Biol. Plant. 2007, 51, 129–134. [Google Scholar] [CrossRef]
- Bates, L.S.; Waldren, R.P.; Teare, I.D. Rapid determination of free proline for water-stress studies. Plant Soil. 1973, 39, 205–207. [Google Scholar] [CrossRef]
- Lowery, O.H.; Roseburg, N.J.; Farr, A.L.; Randall, R.J. Protein measurement with the Folin’s phenol reagent. J. Biol. Chem. 1951, 193, 265–275. [Google Scholar] [CrossRef]
- Zieslin, N.; Ben Zaken, R. Peroxidase activity and presence of phenolic substances in peduncles of rose flowers. Plant Physiol. 1993, 31, 333–339. [Google Scholar]
- Chen, I.N.; Chang, C.C.; Ng, C.C.; Wang, C.Y.; Shyu, Y.T.; Chang, T.L. Antioxidant and antimicrobial activity of Zingiberaceae plants in Taiwan. Plant Foods Hum Nutr. 2008, 63, 15–20. [Google Scholar] [CrossRef]
- Shahid, M.; Pinelli, E.; Dumat, C. Review of Pb availability and toxicity to plants in relation with metal speciation; role of synthetic and natural organic ligands. J. Hazard. Mater. 2012, 219, 1–12. [Google Scholar] [CrossRef] [PubMed]
- Barcelo, J.; Poschenrieder, C. Fast root growth responses, root exudates and internal detoxification as clues to the mechanisms of aluminium toxicity and resistance: A review. Environ. Exp. Bot. 2002, 48, 75–92. [Google Scholar] [CrossRef]
- Ciamporova, M. Morphological and structural responses of plant roots to aluminium at organs, tissue and cellular levels. Biol. Plant. 2002, 45, 161–171. [Google Scholar] [CrossRef]
- Ozdemir, F.; Bor, M.; Demiral, T.; Turkan, I. Effect of 24-epibrasssinolide on seed germination, seedling growth, lipid peroxidation, proline content and antioxidative system of rice (Oryza sativa L.) under salinity stress. J. Plant Growth Regul. 2004, 42, 203–311. [Google Scholar] [CrossRef]
- Ali, B.; Hayat, S.; Ahmad, A. 28-Homobrassinolide ameliorates the saline stress in chickpea (Cicer arietinum L.). Environ. Exp. Bot. 2007, 59, 33–41. [Google Scholar] [CrossRef]
- Li, L.; van Staden, J. Effect of plant growth regulators on the antioxidative system in callus of two maize cultivars subjected to water stress. Plant Growth Regul. 1998, 24, 55–66. [Google Scholar] [CrossRef]
- Wilen, R.W.; Sacco, M.; Gusta, L.V.; Krishna, P. Effect of 24-epibrassinolide on freezing and thermo tolerance of bromegrass (Bromus inernis) cell culture. Physiol. Plant. 1995, 95, 195–202. [Google Scholar] [CrossRef]
- Sairam, R.K. Effect of homobrasssinolide application on plant metabolism and grain yield under irrigated and moisture-stress conditions of two wheat varieties. Plant Growth Regul. 1994, 14, 173–181. [Google Scholar] [CrossRef]
- Hayat, S.; Ali, B.; Hasan, S.A.; Ahmad, A. Brassinosteroid enhanced the level of antioxidants under cadmium stress in Brassica juncea. Environ. Exp. Bot. 2007, 60, 33–41. [Google Scholar] [CrossRef]
- Alam, M.M.; Hayat, S.; Ali, B.; Ahmad, A. Effect of 28-homobrassinolide treatment on nickel toxicity in Brassica juncea. Photosynthetica 2007, 45, 139–142. [Google Scholar] [CrossRef]
- Haung, K.; Vitorello, V. Aluminium coordination to calmodulin: Thermodynamic and kinetic aspects. Coord. Chem. 1996, 149, 113–124. [Google Scholar]
- Sharma, P.; Bhardwaj, R.; Arora, N.; Arora, H.K.; Kumar, A. Effects of 28-homobrassinolide on nickel uptake, protein content and antioxidative defence system in Brassica juncea. Biol. Plant. 2008, 52, 767–770. [Google Scholar] [CrossRef]
- Rao, X.; Dixon, R.A. Brassinosteroid mediated cell wall remodeling in grasses under abiotic stress. Front. Plant Sci. 2017, 8, 806. [Google Scholar] [CrossRef]
- Hamada, K. Brassinolide: Some effects of crop cultivations. Conf. Proc. Int. Seminar Tokyo, Japan. Plant Growth Regul. 1986, 15, 65–69. [Google Scholar]
- Bajguz, A. Effect of brassinosteroids on nucleic acid and protein content in cultured cells of Chlorella vulgaris. Plant Physiol. Biochem. 2000, 38, 209–215. [Google Scholar] [CrossRef]
- Khripach, V.A.; Zhabinski, V.N.; de Groot, A.E. Brassinosteroids: A New Class of Plant Hormones; Academic Press: San Diego, CA, USA, 1999. [Google Scholar]
- Felner, M. Recent progress in brassinosteroid research: Hormone perception and signal transduction. In Brassinosteroids: Bioactivity and Crop Productivity; Hayat, S., Ahmad, A., Eds.; Kluwer Academic Publishers: Dordrecht, The Netherlands, 2003; pp. 69–86. [Google Scholar]
- Ali, B.; Hayat, S.; Hasan, S.A.; Ahmad, A. Effect of root applied 28-homobrassinolide on the performance of Lycopersicon esculentum. Sci. Hort. 2006, 110, 267–273. [Google Scholar] [CrossRef]
- Abdullahi, B.A.; Gu, X.; Gan, Q.; Yang, Y. Brassinolide amelioration of aluminium toxicity in mung bean seedling growth. J. Plant Nutr. 2002, 26, 1725–1734. [Google Scholar] [CrossRef]
- Evans, J.R. Improving photosynthesis. Plant Physiol. 2013, 162, 1780–1793. [Google Scholar] [CrossRef] [PubMed]
- Yu, J.Q.; Huang, L.F.; Hu, W.H.; Zhou, Y.H.; Mao, W.H.; Ye, S.F.; Nogues, S. A role of brassinosteroids in the regulation of photosynthesis in Cucumis sativus. J. Exp. Bot. 2004, 55, 1135–1143. [Google Scholar] [CrossRef] [PubMed]
- Hayat, S.; Ali, B.; Ahmad, A. Response of Brassica juncea to 28-homobrassinolide grown from the seeds exposed to salt stress. J. Plant Biol. 2006, 33, 169–174. [Google Scholar]
- Clemens, S. Toxic metal accumulation, responses to exposure and mechanism of tolerance in plants. Biochimie 2006, 88, 1707–1719. [Google Scholar] [CrossRef]
- Sardar, R.; Ahmed, S.; Yasin, N.A. Role of exogenously applied putrescine in amelioration of cadmium stress in Coriandrum sativum by modulating antioxidant system. Int. J. Phytoremediat. 2021, 24, 955–962. [Google Scholar] [CrossRef]
- Godbold, D.L.; Kettner, C. Use of root elongation studies to determine aluminium and lead toxicity in Picea abies seedlings. J. Plant Physiol. 1991, 138, 231–235. [Google Scholar] [CrossRef]
- Sardar, R.; Ahmed, S.; Akbar, M.; Yasin, N.A.; Li, G. Alleviation of cadmium phytotoxicity in triacontanol treated Coriandrum sativum L. by modulation of physiochemical attributes, oxidative stress biomarkers and antioxidative system. Chemosphere 2022, 295, 133924. [Google Scholar] [CrossRef]
- Zhang, Y.L.; Xing, H.W.; Guo, N. The physiological characteristics of ornamental kale for cold resistance. J. Act. Agric. 2016, 31, 168–176. [Google Scholar]
- Khan, M.T.; Ahmed, S.; Sardar, R.; Shareef, M.; Abbasi, A.; Mohiuddin, M.; Ercisli, S.; Fiaz, S.; Marc, R.A.; Attia, K.; et al. Impression of foliar-applied folic acid on coriander (Coriandrum sativum L.) to regulate aerial growth, biochemical activity, and essential oil profiling under drought stress. Front. Plant Sci. 2022, 13, 1005710. [Google Scholar] [CrossRef]
- Haider, S.; Kanwal, S.; Uddin, F.; Azmat, R. Phytotoxicity of Pb II: Changes in chlorophyll absorption spectrum due to toxic metal Pb stress on Phaseolus mungo and Lens culinaris. Pak. J. Biol. Sci. 2006, 9, 2062–2068. [Google Scholar] [CrossRef]
- Zafar, S.; Perveen, S.; Kamran Khan, M.; Shaheen, M.R.; Hussain, R.; Sarwar, N.; Siddiqui, M.H. Effect of zinc nanoparticles seed priming and foliar application on the growth and physio-biochemical indices of spinach (Spinacia oleracea L.) under salt stress. PLoS ONE 2022, 17, e0263194. [Google Scholar] [CrossRef] [PubMed]
- Sardans, J.; Peñuelas, J. Potassium control of plant functions: Ecological and agricultural implications. Plants 2021, 10, 419. [Google Scholar] [CrossRef] [PubMed]
- Johnson, R.; Vishwakarma, K.; Hossen, M.S.; Kumar, V.; Shackira, A.M.; Puthur, J.T.; Hasanuzzaman, M. Potassium in plants: Growth regulation, signaling, and environmental stress tolerance. Plant Physiol. Biochem. 2022, 172, 56–69. [Google Scholar] [CrossRef]
- Pandey, G.K.; Mahiwal, S. Role of Potassium in Plants; Springer: Cham, Switzerland, 2020. [Google Scholar]
- Dat, J.F.; Van Breusegen, F.; Vondenafeele, S.; Vranova, E.; Van Montagu, M.; Inie, D. Dual action of active oxygen species during plant stress responses. Cell Mol. Life Sci. 2000, 57, 779–795. [Google Scholar] [CrossRef]
- Jain, M.; Mathur, G.; Koul, S.; Sarin, N.B. Ameliorative effects of proline on salt stress-induced lipid peroxidation in cell lines of groundnut (Arachis hypogea L.). Plant Cell Rep. 2001, 20, 463–468. [Google Scholar] [CrossRef]
- Sardar, R.; Zulfiqar, A.; Ahmed, S.; Shah, A.A.; Iqbal, R.K.; Hussain, S.; Danish, S.; Ghafoor, U.; Fahad, S.; Krucky, J.; et al. Proteomic changes in various plant tissues associated with chromium stress in sunflower. Saudi J. Biol. Sci. 2022, 29, 2604–2612. [Google Scholar] [CrossRef]
- Sahreen, S.; Khan, M.R.; Khan, R.A. Phenolic compounds and antioxidant activities of Rumex hastatus D. Don. Leaves. J. Med. Plants Res. 2011, 5, 2755–2765. [Google Scholar]
- Shah, A.; Smith, D.L. Flavonoids in agriculture: Chemistry and roles in, biotic and abiotic stress responses, and microbial associations. Agronomy 2020, 10, 1209. [Google Scholar] [CrossRef]
- Ahmad, M.S.A.; Ashraf, M.; Tabassam, Q.; Hussain, M.; Firdous, H. Lead (Pb)-induced regulation of growth, photosynthesis, and mineral nutrition in maize (Zea mays L.) plants at early growth stages. Biol. Trace Elem. Res. 2011, 144, 1229–1239. [Google Scholar] [CrossRef]
- Shah Abbasi, S.; Latif, H.H.; Elsherbiny, E.A. Effect of 24-epibrassinolide on the physiological and genetic changes on two varieties of pepper under salt stress conditions. Pak. J. Bot. 2013, 45, 1273–1284. [Google Scholar]





| Treatments | Growth Traits | ||||||
|---|---|---|---|---|---|---|---|
| Shoot Length (cm) | Root Length (cm) | Shoot Fresh Weight (g plant−1) | Root Fresh Weight (g plant−1) | Shoot Dry Weight (g plant−1) | Root Dry Weight (g plant−1) | Germination % | |
| C | 24.2 ± 0.25 b | 11.5 ± 0.06 c | 25.8 ± 0.02 c | 4.18 ± 0.04 b | 2.6 ± 0.04 b | 0.38 ± 0.04 c | 90 ± 0.14 bcd |
| Pb | 18.75 ± 0.25 a | 9.28 ± 0.04 a | 8.9 ± 0.02 b | 1.43 ± 0.04 a | 0.79 ± 0.04 a | 0.04 ± 0.004 a | 55 ± 0.125 a |
| HBL1 | 29.4 ± 0.3 de | 11.4 ± 0.07 c | 28.5 ± 0.02 cd | 5.38 ± 0.05 c | 2.68 ± 0.02 c | 0.44 ± 0.01 d | 92.5 ± 0.185 cd |
| HBL2 | 30.49 ± 0.02 e | 18.25 ± 0.4 f | 43.59 ± 0.02 f | 7.21 ± 0.04 f | 5.03 ± 0.04 e | 0.557 ± 0.07 h | 95 ± 0.125 d |
| HBL3 | 29.6 ± 0.4 de | 12.6 ± 0.4 de | 37.73 ± 0.02 d | 6.35 ± 0.04 d | 3.72 ± 0.04 d | 0.483 ± 0.01 f | 94.4 ± 0.14 d |
| HBL1 + Pb | 25.12 ± 0.7 bc | 10.3 ± 0.08 b | 25.7 ± 0.01 a | 3.95 ± 0.2 b | 2.54 ± 0.04 b | 0.307 ± 0.01 b | 75 ± 0.125 b |
| HBL2 + Pb | 28.7 ± 0.4 de | 12.63 ± 0.1 e | 30.56 ± 0.02 e | 6.48 ± 0.04 e | 3.85 ± 0.04 d | 0.417 ± 0.04 g | 79 ± 0.135 bcd |
| HBL3 + Pb | 25.5 ± 0.2 e | 12 ± 0.4 de | 25.78 ± 0.06 cd | 5.28 ± 0.2 b | 3.34 ± 0.06 c | 0.39 ± 0.02 e | 76.5 ± 0.185 bc |
| Treatments | Chl a (mg g−1 FW) | Chl b (mg g−1 FW) | Total Chl (mg g−1 FW) | Carotenoids (mg g−1 FW) | Metal Tolerance Index | Accumulation Coefficient |
|---|---|---|---|---|---|---|
| C | 0.588 ± 0.04 a | 1.404 ± 0.04 | 9.96 ± 0.29 b | 0.34 ± 0.3 d | - | - |
| Pb | 0.311 ± 0.05 b | 0.455 ± 0.1 a | 3.829 ± 0.4 a | 0.31 ± 0.2 a | 28.1 ± 0.02 a | 6.33 ± 0.02 a |
| HBL1 | 0.93 ± 0.06 b | 2.197 ± 0.09 c | 15.65 ± 0.19 c | 0.45 ± 0.2 b | - | - |
| HBL2 | 1.219 ± 0.05 c | 3.88 ± 0.02 e | 25.53 ± 0.1 e | 0.78 ± 0.3 d | - | - |
| HBL3 | 1.11 ± 0.04 c | 3.578 ± 0.05 e | 23.43 ± 0.1 e | 0.72 ± 0.3 d | - | - |
| HBL1 + Pb | 0.53 ± 0.05 b | 1.837 ± 0.09 c | 12.79 ± 0.4 c | 0.71 ± 0.3 d | 94.8 ± 0.09 b | 3.69 ± 0.02 b |
| HBL2 + Pb | 0.86 ± 0.012 b | 2.794 ± 0.06 d | 18.26 ± 0.7 d | 0.79 ± 0.4 d | 141 ± 0.12 d | 4.007 ± 0.02 c |
| HBL3 + Pb | 0.792 ± 0.04 b | 2.241 ± 0.1 c | 15.924 ± 0.6 c | 0.76 ± 0.4 d | 124 ± 0.98 c | 3.17 ± 0.01 a |
| Treatments | Mg+2 (mg g−1 DW) | Zn+2 (mg g−1 DW) | Na+ (mg g−1 DW) | K+ (mg g−1 DW) | DPPH Activity | Pb Uptake in Plant (mg/g) |
|---|---|---|---|---|---|---|
| C | 6.72 ± 0.5 a | 0.402 ± 0.02 b | 437 ± 0.6 c | 29.5 ± 0.35 c | 45.9 ± 1.04 | - |
| Pb | 5.79 ± 0.02 a | 0.237 ± 0.02 a | 397.2 ± 0.55 a | 19.85 ± 0.05 a | 37.4 ± 1.2 | 0.143 ± 0.01 c |
| HBL1 | 8.52 ± 0.02 de | 0.33 ± 0.02 ab | 437 ± 0.7 c | 29.6 ± 0.03 c | 63.5 ± 0.9 | - |
| HBL2 | 8.87 ± 0.02 e | 0.47 ± 0.02 b | 627.2 ± 0.7 g | 41.2 ± 0.2 f | 71.4 ± 0.91 | - |
| HBL3 | 8.79 ± 0.02 e | 0.36 ± 0.02 ab | 517 ± 0.9 f | 34.52 ± 0.03 e | 65.6 ± 1.8 | - |
| HBL1 + Pb | 7.92 ± 0.02 b | 0.31 ± 0.02 ab | 428 ± 0.9 b | 28.12 ± 0.01 b | 55.5 ± 0.7 | 0.11 ± 0.2 b |
| HBL2 + Pb | 8.5 ± 0.02 c | 0.33 ± 0.02 ab | 478 ± 0.6 e | 31.76 ± 0.09 c | 61.5 ± 0.78 | 0.05 ± 0.07 a |
| HBL3 + Pb | 8.29 ± 0.02 bc | 0.32 ± 0.02 ab | 470 ± 0.89 d | 28.7 ± 0.03 bc | 57.8 ± 0.79 | 0.09 ± 0.04 b |
Disclaimer/Publisher’s Note: The statements, opinions and data contained in all publications are solely those of the individual author(s) and contributor(s) and not of MDPI and/or the editor(s). MDPI and/or the editor(s) disclaim responsibility for any injury to people or property resulting from any ideas, methods, instructions or products referred to in the content. |
© 2023 by the authors. Licensee MDPI, Basel, Switzerland. This article is an open access article distributed under the terms and conditions of the Creative Commons Attribution (CC BY) license (https://creativecommons.org/licenses/by/4.0/).
Share and Cite
Khan, M.; Ahmed, S.; Yasin, N.A.; Sardar, R.; Hussaan, M.; Gaafar, A.-R.Z.; Haider, F.U. 28-Homobrassinolide Primed Seed Improved Lead Stress Tolerance in Brassica rapa L. through Modulation of Physio-Biochemical Attributes and Nutrient Uptake. Plants 2023, 12, 3528. https://doi.org/10.3390/plants12203528
Khan M, Ahmed S, Yasin NA, Sardar R, Hussaan M, Gaafar A-RZ, Haider FU. 28-Homobrassinolide Primed Seed Improved Lead Stress Tolerance in Brassica rapa L. through Modulation of Physio-Biochemical Attributes and Nutrient Uptake. Plants. 2023; 12(20):3528. https://doi.org/10.3390/plants12203528
Chicago/Turabian StyleKhan, Mawra, Shakil Ahmed, Nasim Ahmad Yasin, Rehana Sardar, Muhammad Hussaan, Abdel-Rhman Z. Gaafar, and Faish Ullah Haider. 2023. "28-Homobrassinolide Primed Seed Improved Lead Stress Tolerance in Brassica rapa L. through Modulation of Physio-Biochemical Attributes and Nutrient Uptake" Plants 12, no. 20: 3528. https://doi.org/10.3390/plants12203528
APA StyleKhan, M., Ahmed, S., Yasin, N. A., Sardar, R., Hussaan, M., Gaafar, A.-R. Z., & Haider, F. U. (2023). 28-Homobrassinolide Primed Seed Improved Lead Stress Tolerance in Brassica rapa L. through Modulation of Physio-Biochemical Attributes and Nutrient Uptake. Plants, 12(20), 3528. https://doi.org/10.3390/plants12203528

