Quantification of Glucose Metabolism and Nitrogen Utilization in Two Brassicaceae Species under Bicarbonate and Variable Ammonium Soil Conditions
Abstract
:1. Introduction
2. Materials and Methods
2.1. Bicarbonate and Ammonium Treatment
2.2. Sample Collection for Biomass Estimation
2.3. Photosynthesis Measurement
2.4. C/N Concentration of Leaves
2.5. Carbon and Nitrogen Metabolism Enzymes
2.6. Evaluation of the Glycolysis Pathway and the Pentose Phosphate Pathway Activities
2.7. Measurement of δ15 N Values
2.8. Utilization of NO3−/NH4+ in Plants
2.9. Total Nitrogen Assimilation Capacity of Plants
2.10. The Contribution of NO3−/NH4+ to Nitrogen Accumulation Capacity
2.11. The ATP Consumption of NO3−, NH4+, and Total Nitrogen Assimilation
2.12. Statistical Analysis
3. Results
3.1. Plant Growth
3.2. Effects of Bicarbonate and Ammonium on Photosynthesis
3.3. Inorganic Carbon and Nitrogen Contents in Leaves
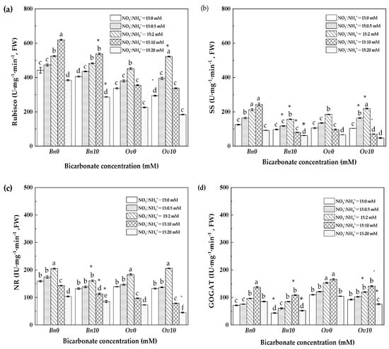
3.4. Carbon and Nitrogen Metabolism Enzymes
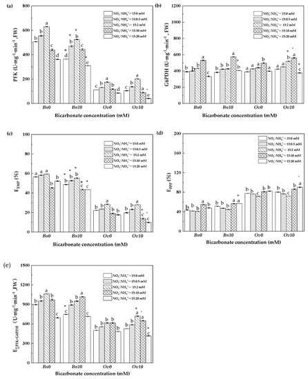
3.5. Effects of Bicarbonate and Ammonium on the Glycolysis and Pentose Phosphate Pathways
3.6. The Growth Capacity and the Regeneration Capacity of RUBP
3.7. The Post-Treatment Nitrogen Isotope Values in the Leaves
3.8. The NO3−/NH4+ Utilization of Leaves at Different Bicarbonate and Ammonium Treatments
3.9. The ATP Consumption of Leaves at Different Bicarbonate and Ammonium Treatments
4. Discussion
4.1. Glucose Metabolism (EMP and PPP) and Growth in Bn and Ov Plants at Different Bicarbonate and Ammonium Levels
4.2. Differential Responses of Inorganic NO3− and NH4+ to Bicarbonate and Ammonium in Bn and Ov Plants
4.3. NH4+/NO3− Utilization Determines Plant Growth Rather Than the Absolute Ammonium Levels or the Variable Sources of Total Nitrogen
4.4. Correlation of Glucose Metabolism and Nitrogen Utilization in Bn and Ov Plants under Bicarbonate and Variable Ammonium
5. Conclusions
Author Contributions
Funding
Data Availability Statement
Conflicts of Interest
References
- Márton, V. Karst types and their karstification. J. Earth Sci. 2020, 31, 621–634. [Google Scholar]
- Yin, Z.; Zhang, H.; Zhao, Q.; Yoo, M.; Zhu, N.; Yu, J.; Yu, J.; Guo, S.; Miao, Y.; Chen, S.; et al. Physiological and comparative proteomic analyses of saline-alkali NaHCO3− responses in leaves of halophyte Puccinellia tenuiflora. Plant Soil 2019, 437, 137–158. [Google Scholar] [CrossRef]
- Zhang, H.; Huo, Y.; Xu, Z.; Guo, K.; Wang, Y.; Zhang, X.; Xu, N.; Sun, G. Physiological and proteomics responses of nitrogen assimilation and glutamine/glutamine family of amino acids metabolism in mulberry (Morus alba L.) leaves to NaCl and NaHCO3− stress. Plant Signal. Behav. 2020, 15, e1798108. [Google Scholar] [CrossRef] [PubMed]
- Ashraf, M.; Shahzad, S.; Imtiaz, M.; Rizwan, M. Salinity effects on nitrogen metabolism in plants—Focusing on the activities of nitrogen metabolizing enzymes: A review. J. Plant Nutr. 2018, 41, 1065–1081. [Google Scholar] [CrossRef]
- Xia, A.; Wu, Y. Joint interactions of carbon and nitrogen metabolism dominated by bicarbonate and nitrogen in Orychophragmus violaceus and Brassica napus under simulated karst habitats. BMC Plant Biol. 2022, 22, 264. [Google Scholar] [CrossRef]
- Rao, S.; Wu, Y. Root-derived bicarbonate assimilation in response to variable water deficit in Camptotheca acuminate seedlings. Photosynth. Res. 2017, 134, 59–70. [Google Scholar] [CrossRef]
- Fang, L.; Wu, Y. Bicarbonate uptake experiment show potential karst carbon sinks transformation into carbon sequestration by terrestrial higher plants. J. Plant Interact. 2022, 17, 419–426. [Google Scholar] [CrossRef]
- Stemler, A.; Radmer, R. Source of photosynthetic oxygen in bicarbonate-stimulated hill reaction. Science 1975, 190, 457–458. [Google Scholar] [CrossRef]
- Dismukes, G.; Klimov, V.; Baranov, S.; Kozlov, Y.; DasGupta, J.; Tyryshkin, A. The origin of atmospheric oxygen on earth: The innovation of oxygenic photosynthesis. Proc. Natl. Acad. Sci. USA 2001, 98, 2170–2175. [Google Scholar] [CrossRef] [PubMed]
- Wu, Y. Combined effect of bicarbonate and water in photosynthetic oxygen evolution and carbon neutrality. Acta Geochim. 2022, 42, 77–88. [Google Scholar] [CrossRef]
- Wu, Y. Is bicarbonate directly used as substrate to participate in photosynthetic oxygen evolution. Acta Geochim. 2021, 40, 650–658. [Google Scholar] [CrossRef]
- Yao, K.; Wu, Y. Rhizospheric bicarbonate improves glucose metabolism and stress tolerance of Broussonetia papyrifera L. seedlings under simulated drought stress. Russ. J. Plant Physiol. 2021, 68, 126–135. [Google Scholar] [CrossRef]
- Wu, Y.; Xing, D.; Hang, H.; Zhao, K. Principles Technology of Determination on Plants’ Adaptation to Karst Environment; Science Press Beijing China: Beijing, China, 2018; ISBN 978-7-03-059386-3. (In Chinese) [Google Scholar]
- Lu, Y.; Wu, Y. Does bicarbonate affect the nitrate utilization and photosynthesis of Orychophragmus violaceus? Acta Geochim. 2018, 7, 875–885. [Google Scholar] [CrossRef]
- Xia, A.; Wu, Y. Differential Responses of nitrate/ammonium use to bicarbonate supply in two Brassicaceae species under simulated karst habitat. Agronomy 2022, 12, 2080. [Google Scholar] [CrossRef]
- Hachiya, T.; Inaba, J.; Wakazaki, M.; Sato, M.; Toyooka, K.; Miyagi, A.; Yamada, M.; Sugiura, D.; Nakagawa, T.; Kiba, T.; et al. Excessive ammonium assimilation by plastidic glutamine synthetase causes ammonium toxicity in Arabidopsis thaliana. Nat. Commun. 2021, 2, 4944. [Google Scholar] [CrossRef] [PubMed]
- Zhang, K.; Wu, Y.; Hang, H. Differential contributions of NO3−/NH4+ to nitrogen use in response to a variable inorganic nitrogen supply in plantlets of two Brassicaceae species in vitro. Plant Methods 2019, 31, 86. [Google Scholar] [CrossRef]
- Tcherkez, G.; Farquhar, G. Viewpoint: Isotopic fractionation by plant nitrate reductase, twenty years later. Funct. Plant Biol. 2006, 33, 531–537. [Google Scholar] [CrossRef] [PubMed]
- Hu, Y.; Guy, R. Isotopic composition and concentration of total nitrogen and nitrate in xylem sap under near steady-state hydroponics. Plant Cell Environ. 2020, 43, 2112–2123. [Google Scholar] [CrossRef]
- Wang, J.; Chen, J.; Jin, Z.; Guo, J.; Yang, H.; Zeng, Y.; Liu, Y. Simultaneous removal of phosphate and ammonium nitrogen from agricultural runoff by amending soil in lakeside zone of karst area, Southern China. Agric. Ecosyst. Environ. 2020, 289, 106745. [Google Scholar] [CrossRef]
- Salsac, L.; Chaillou, S.; Morot, G.; Lesaint, C.; Jolivet, E. Nitrate and ammonium nutrition in plants. Plant Physiol. Biochem. 1987, 25, 805–812. [Google Scholar]
- Jing, J.; Rui, Y.; Zhang, F.; Rengel, Z.; Shen, J. Localized application of phosphorus and ammonium improves growth of maize seedlings by stimulating root proliferation and rhizosphere acidification. Field Crops Res. 2010, 119, 355–364. [Google Scholar] [CrossRef]
- Wang, R.; Wu, Y.; Liu, Y.; Xie, T.; Zhang, K.; Li, H. Orychophragmus violaceus L., a marginal land-based plant for biodiesel feedstock: Heterogeneous catalysis, fuel properties, and potential. Plant Physiol. Biochem. 2014, 84, 497–502. [Google Scholar] [CrossRef]
- Hang, H.; Wu, Y. Quantification of photosynthetic inorganic carbon utilisation via a bidirectional stable carbon isotope tracer. Acta Geochim. 2016, 35, 130–137. [Google Scholar] [CrossRef]
- Zhang, H.; Xu, N.; Wu, X.; Li, J.; Ma, S.; Li, X.; Sun, G. Effects of four types of sodium salt stress on plant growth and photosynthetic apparatus in sorghum leaves. J. Plant Interact. 2018, 13, 506–513. [Google Scholar] [CrossRef]
- Li, C.; Zhang, X.; Gao, X.; Li, C.; Jiang, C.; Lin, G.; Zhang, X.; Fang, J.; Ma, L.; Zhang, X. Spatial and temporal evolution of groundwater chemistry of baotu karst water system at northern China. Minerals 2022, 12, 348. [Google Scholar] [CrossRef]
- Gao, C.; Wang, M.; Ding, L.; Chen, Y.; Lu, Z.; Hu, J.; Guo, S. High water uptake ability was associated with root aerenchyma formation in rice: Evidence from local ammonium supply under osmoticstress conditions. Plant Physiol. Biochem. 2020, 150, 171–179. [Google Scholar] [CrossRef]
- Poucet, T.; Beauvoit, B.; González, M.; Cabasson, C.; Pétriacq, P.; Flandin, A.; Gibon, Y.; Marino, D.; Noubhani, M. Impaired cell growthin ammonium stress explained by modelling the energy cost of vacuole expansion in tomato leaves. Plant J. 2022, 112, 1014–1028. [Google Scholar] [CrossRef]
- Moseley, R.C.; Tuskan, G.A.; Yang, X. Comparative genomics analysis provides new insight into molecular basis of stomatal movement in Kalanchoë fedtschenkoi. Front. Plant Sci. 2019, 10, 292. [Google Scholar] [CrossRef]
- Kaiser, E.; Morales, A.; Harbinson, J. High stomatal conductance in the tomato flacca mutant allows for faster photosynthetic induction. Front. Plant Sci. 2020, 11, 1317. [Google Scholar] [CrossRef] [PubMed]
- Souza, A.P.; Wang, Y.; Orr, D.J.; Silva, E.; Long, S. Photosynthesis across African cassava germplasm is limited by Rubisco and mesophyll conductance at steady state, but by stomatal conductance in fluctuating light. New Phytol. 2020, 225, 2498–2512. [Google Scholar] [CrossRef]
- Gujjar, R.S.; Banyen, P.; Chuekong, W.; Worakan, P.; Roytrakul, S.; Supaibulwatana, K. A Synthetic cytokinin improves photosynthesis in rice under drought stress by modulating the abundance of proteins related to stomatal conductance, chlorophyll contents, and Rubisco activity. Plants 2020, 27, 1106. [Google Scholar] [CrossRef]
- Luo, C.; Ju, Y.; Dong, P.; Gonzalez, E.; Wang, A. Risk assessment for PPP waste-to-energy incineration plant projects in china based on hybrid weight methods and weighted multigranulation fuzzy rough sets. Sustain. Cities Soc. 2021, 74, 103120. [Google Scholar] [CrossRef]
- Cole, T.C.; Hartmut, H.H.; Bachwlier, J.B. Spanning the globe-the plant phylogenyposter(PPP) project. Ukr. Bot. J. 2021, 78, 235–241. [Google Scholar] [CrossRef]
- Jiang, Z.; Wang, M.; Nicolas, M.; Ogé, L.; Garcia, M.; Crespel, L.; Li, G.; Ding, Y.; Gourrierec, J.; Grappin, P.; et al. Glucose-6-Phosphate Dehydrogenases: The hidden players of plant physiology. Int. J. Mol. Sci. 2020, 23, 16128. [Google Scholar] [CrossRef]
- Lei, D.; Lin, Y.; Zhao, B.; Tang, H.; Zhou, X.; Yao, W.; Zhang, Y.; Wang, Y.; Li, M.; Chen, Q.; et al. Genome-wide investigation of G6PDH gene in strawberry: Evolution and expression analysis during development and stress. Int. J. Mol. Sci. 2022, 23, 4728. [Google Scholar] [CrossRef]
- Holá, D.; Frimlová, K.; Kocová, M.; Markova, H.; Rothova, O.; Tumova, L. Effect of exogenously applied 20-hydroxyecdysone on the efficiency of primary photosynthetic processes substantially differs across plant species. Photosynthetica 2020, 58, 961–973. [Google Scholar] [CrossRef]
- Coleto, I.; Vega, M.; Glauser, G.; Moro, M.; Marino, D.; Ariz, I. New Insights on arabidopsis thaliana root adaption to ammonium nutrition by the use of a quantitative proteomic approach. Int. J. Mol. Sci. 2021, 20, 814. [Google Scholar] [CrossRef] [PubMed]
- Qin, S.; Sun, X.; Hu, C.; Hao, J.; Liu, C.; Xin, J.; Fan, S. Effect of NO3−:NH4+ ratios on growth, root morphology and leaf metabolism of oilseed rape (Brassica napus L.) seedlings. Acta Physiol. Plant. 2017, 39, 198. [Google Scholar] [CrossRef]
- Zhu, X.; Yang, R.; Han, Y.; Hao, J.; Liu, C.; Fan, S. Effects of different NO3−:NH4+ ratios on the photosynthesis and ultrastructure of lettuce seedlings. Hortic. Environ. Biotechnol. 2020, 61, 459–472. [Google Scholar] [CrossRef]
- Song, W.; Loik, M.; Cui, H.; Fan, M.; Sun, W. Effect of nitrogen addition on leaf photosynthesis and water use efficiency of the dominant species Leymus chinensis (Trin.) Tzvelev in a semi-arid meadow steppe. Plant Growth Regul. 2022, 98, 91–102. [Google Scholar] [CrossRef]
- Britto, D.; Herbert, J. Review NH4+ toxicity in higher plants: A critical review. J. Plant Physiol. 2002, 159, 564–584. [Google Scholar] [CrossRef]
- Colpaert, H. Nitrogen availability and colonization by mycorrhizal fungi correlate withnitrogen isotope patterns in plants. New Phytol. 2003, 157, 115–126. [Google Scholar]
- Gauthier, P.; Lamothe, M.; Mahé, A.; Molero, G.; Nogués, S.; Hodges, M.; Tcherkez, G. Metabolic origin of δ15N values in nitrogenous compounds from Brassica napus L. leaves. Plant Cell Environ. 2013, 36, 128–137. [Google Scholar] [CrossRef] [PubMed]
- Cui, J.; Lamade, E.; Fourel, F.; Tcherkez, G. δ15N values in plants are determined by both nitrate assimilation and circulation. New Phytol. 2020, 226, 1696–1707. [Google Scholar] [CrossRef]
- Roosta, H.; Schjoerring, J. Root carbon enrichment alleviates ammonium toxicity in cucumber plants. J. Plant Nutr. 2008, 31, 941–958. [Google Scholar] [CrossRef]
- Ganz, P.; Ijato, T.; Porras, M.; Stührwohldt, N.; Ludewig, U.; Neuhäuser, B. A twin histidine motif is the core structure for high-affinity substrate selection in plant ammonium transporters. J. Biol. Chem. 2020, 295, 3362–3370. [Google Scholar] [CrossRef]






| Group | Reagent | Content |
|---|---|---|
| B0 | bicarbonate | 0 mM |
| B10 | bicarbonate | 10 mM |
| NO3−:NH4+ | δ15NH:22.72‰; δ15NL:12.7‰ | 15:0 mM |
| NO3−:NH4+ | δ15NH:22.72‰; δ15NL:12.7‰ | 15:0.5 mM |
| NO3−:NH4+ | δ15NH:22.72‰; δ15NL:12.7‰ | 15:2 mM |
| NO3−:NH4+ | δ15NH:22.72‰; δ15NL:12.7‰ | 15:10 mM |
| NO3−:NH4+ | δ15NH:22.72‰; δ15NL:12.7‰ | 15:20 mM |
| pH | KOH | 8.30 ± 0.05 |
| Simulated drought | PEG6000 | 10 g·L−1, −0.21 Mpa |
| (a) | ||||||
|---|---|---|---|---|---|---|
| Group | Plant | Bn (mg·Plant−1, DW) | ||||
| NO3−:NH4+ | 15 mM:0 mM | 15 mM:0.5 mM | 15 mM:2 mM | 15 mM:10 mM | 15 mM:20 mM | |
| Root Dw:mg | B0 | 212.01 ± 1.49 d | 223.13 ± 1.13 d | 296.63 ± 4.86 b | 322.53 ± 4.17 a | 105.35 ± 1.75 d |
| B10 | 180.34 ± 5.12 d | 196.89 ± 4.9 d | 205.97 ± 5.18 c | 266.83 ± 4.48 c | 73.23 ± 1.14 e | |
| Stem Dw:mg | B0 | 335.36 ± 4.28 c | 352.56 ± 1.95 c | 418.54 ± 4.65 b | 465.58 ± 7.68 a | 154.59 ± 2.53 d |
| B10 | 301.07 ± 1.13 d | 299.23 ± 1.45 d | 324.73 ± 4.77 c | 477.68 ± 3.1 a | 101.1 ± 1.88 f | |
| Leaves DW:mg | B0 | 528.4 ± 2.43 e | 562.46 ± 2.3 d | 692.95 ± 4.73 b | 744.15 ± 4.54 a | 493.24 ± 2.1 f |
| B10 | 460.48 ± 3.22 f | 534.45 ± 4.28 e | 605.94 ± 3.83 c | 700.63 ± 5.43 b | 406.82 ± 2.36 g | |
| Biomass Dw:mg | B0 | 1075.76 ± 6.72 c | 1139.15 ± 3.17 c | 1459.32 ± 11.47 a | 1481.05 ± 13.88 a | 753.19 ± 5.8 e |
| B10 | 941.89 ± 6.3 d | 1030.57 ± 11.44 c | 1065.16 ± 12.16 c | 1350.45 ± 6.37 b | 581.15 ± 4.25 f | |
| (b) | ||||||
| Group | Plant | Ov (mg·Plant−1, DW) | ||||
| NO3−:NH4+ | 15 mM:0 mM | 15 mM:0.5 mM | 15 mM:2 mM | 15 mM:10 mM | 15 mM:20 mM | |
| Root Dw:mg | B0 | 91.67 ± 0.95 c | 112.35 ± 2.45 b | 159.14 ± 2.59 a | 74.85 ± 2.09 d | 51.42 ± 0.57 e |
| B10 | 101.69 ± 1.36 c | 124.35 ± 2.25 b | 179.97 ± 3.62 a | 59.63 ± 0.58 e | 32.33 ± 0.8 f | |
| Stem Dw:mg | B0 | 160.44 ± 9.81 d | 202.31 ± 2.6 c | 278.31 ± 4.48 b | 138.45 ± 3.02 e | 92.88 ± 1.53 g |
| B10 | 162.28 ± 2.02 d | 208.94 ± 2.02 c | 317.99 ± 0.83 a | 113.13 ± 2.44 f | 62.87 ± 2.79 h | |
| Leaves DW:mg | B0 | 468.69 ± 4.73 d | 502.92 ± 2.43 bc | 588.41 ± 6.84 b | 451.29 ± 9.8 d | 360.02 ± 3.28 f |
| B10 | 447.47 ± 5.65 d | 538.68 ± 1.42 b | 643.08 ± 6.63 a | 409.65 ± 2.55 e | 280.66 ± 1.58 g | |
| Biomass Dw:mg | B0 | 720.8 ± 8.09 d | 818.58 ± 7.85 c | 1025.85 ± 9.15 a | 664.59 ± 14.82 e | 504.32 ± 4.59 g |
| B10 | 711.45 ± 7 d | 871.96 ± 1.23 b | 1141.05 ± 10.98 a | 582.4 ± 5.3 f | 375.86 ± 2.67 h | |
| (a) | ||||||
|---|---|---|---|---|---|---|
| NO3−:NH4+ | 15 mM:0 mM | 15 mM:0.5 mM | 15 mM:2 mM | 15 mM:10 mM | 15 mM:20 mM | |
| δ15NNEW (H, ‰) | Bn0 | 20.37 ± 0.66 b | 21.05 ± 0.4 b | 19.12 ± 0.13 b | 13.92 ± 0.11 c | 28.64 ± 0.88 a |
| Bn10 | 29.16 ± 1.76 a | 23.34 ± 0.4 b | 18.96 ± 0.15 b | 24.36 ± 1.32 b | −48.8 ± 3.72 d | |
| Ov0 | 22.91 ± 0.58 c | 20.51 ± 0.22 c | 16.34 ± 0.07 d | 16.03 ± 0.1 d | 49.08 ± 2.84 a | |
| Ov10 | 30.25 ± 1.31 b | 17.98 ± 0.2 c | 15.72 ± 0.55 d | 19.97 ± 0.42 c | −31.8 ± 2.32 e | |
| (b) | ||||||
| NO3−:NH4+ | 15 mM:0 mM | 15 mM:0.5 mM | 15 mM:2 mM | 15 mM:10 mM | 15 mM:20 mM | |
| δ15NNEW (L, ‰) | Bn0 | 10.41 ± 0.6 b | 9.22 ± 0.13 b | 7.11 ± 0.06 c | 5.71 ± 0.21 c | 18.05 ± 0.6 a |
| Bn10 | 18.81 ± 1.44 a | 12.23 ± 0.41 b | 8.27 ± 0.16 c | 13.77 ± 0.54 b | −38.66 ± 2.72 d | |
| Ov0 | 12.68 ± 0.3 c | 10.75 ± 0.46 c | 7.41 ± 0.15 d | 7.28 ± 0.12 d | 29.16 ± 1.58 a | |
| Ov10 | 16.43 ± 0.65 b | 8.98 ± 0.23 d | 7.13 ± 0.08 d | 8.42 ± 0.33 d | −25.44 ± 1.73 e | |
| (c) | ||||||
| NO3−:NH4+ | 15 mM:0 mM | 15 mM:0.5 mM | 15 mM:2 mM | 15 mM:10 mM | 15 mM:20 mM | |
| Δ15NNEW (H, ‰) | Bn0 | −12.29 ± 0.66 c | −12.97 ± 0.4 c | −11.04 ± 0.13 c | −5.84 ± 0.11 b | −20.56 ± 0.88 e |
| Bn10 | −21.08 ± 1.76 e | −15.26 ± 0.4 d | −10.88 ± 0.15 c | −16.28 ± 1.32 c | 56.88 ± 3.72 a | |
| Ov0 | −14.83 ± 0.58 d | −12.43 ± 0.22 c | −8.26 ± 0.07 b | −7.95 ± 0.1 b | −41 ± 2.84 f | |
| Ov10 | −22.17 ± 1.31 e | −9.9 ± 0.2 c | −7.64 ± 0.55 b | −11.89 ± 0.42 d | 39.88 ± 2.32 a | |
| (d) | ||||||
| NO3−:NH4+ | 15 mM:0 mM | 15 mM:0.5 mM | 15 mM:2 mM | 15 mM:10 mM | 15 mM:20 mM | |
| Δ15NNEW (L, ‰) | Bn0 | −2.33 ± 0.6 f | −1.14 ± 0.13 e | 0.97 ± 0.06 c | 2.37 ± 0.21 b | −9.97 ± 0.6 h |
| Bn10 | −10.73 ± 1.44 h | −4.15 ± 0.41 g | −0.19 ± 0.16 d | −5.69 ± 0.54 g | 46.74 ± 2.72 a | |
| Ov0 | −4.6 ± 0.3 e | −2.67 ± 0.46 b | 0.67 ± 0.15 b | 0.8 ± 0.12 b | −21.08 ± 1.58 g | |
| Ov10 | −8.35 ± 0.65 f | −0.9 ± 0.23 c | 0.95 ± 0.08 b | −0.34 ± 0.33 c | 33.52 ± 1.73 a | |
| (a) | ||||||
|---|---|---|---|---|---|---|
| NO3−:NH4+ | 15 mM:0 mM | 15 mM:0.5 mM | 15 mM:2 mM | 15 mM:10 mM | 15 mM:20 mM | |
| fA (NO3−, %) | Bn0 | 100 b | 119 ± 2 a | 121 ± 3 a | 82 ± 2 c | 106 ± 4 b |
| Bn10 | 100 b | 108 ± 5 b | 103 ± 3 b | 102 ± 3 b | −98 ± 11 d | |
| Ov0 | 100 b | 95 ± 5 b | 87 ± 3 b | 86 ± 2 b | 195 ± 16 a | |
| Ov10 | 100 b | 65 ± 4 c | 62 ± 6 c | 84 ± 6 b | −46 ± 4 d | |
| (b) | ||||||
| NO3−:NH4+ | 15 mM:0 mM | 15 mM:0.5 mM | 15 mM:2 mM | 15 mM:10 mM | 15 mM:20 mM | |
| fB (NH4+, %) | Bn0 | 0 c | −19 ± 2 e | −21 ± 0.3 e | 18 ± 2 b | −6 ± 4 d |
| Bn10 | 0 c | −8 ± 5 d | −3 ± 0.3 c | −2 ± 0.3 c | 198 ± 11 a | |
| Ov0 | 0 e | 5 ± 0.5 d | 13 ± 0.3 c | 14 ± 2 c | −95 ± 16 f | |
| Ov10 | 0 e | 35 ± 4 b | 38 ± 0.6 b | 16 ± 6 c | 146 ± 4 a | |
| (c) | ||||||
| NO3−:NH4+ | 15 mM:0 mM | 15 mM:0.5 mM | 15 mM:2 mM | 15 mM:10 mM | 15 mM:20 mM | |
| NACA (NO3−, %) | Bn0 | 33.64 ± 1.25 c | 44.79 ± 0.82 b | 74.48 ± 1.22 a | 44.52 ± 0.83 b | 17.3 ± 0.57 e |
| Bn10 | 23.51 ± 0.91 d | 30.5 ± 1.93 c | 47.85 ± 0.99 b | 21.54 ± 0.44 e | −6.86 ± 0.91 f | |
| Ov0 | 14.27 ± 0.26 b | 17.18 ± 1.12 b | 30.66 ± 1.41 a | 14.84 ± 0.57 b | 15.54 ± 1.19 b | |
| Ov10 | 12.4 ± 0.4 b | 14.4 ± 0.79 b | 31.01 ± 2.79 a | 11.29 ± 0.72 b | −1.97 ± 0.22 c | |
| (d) | ||||||
| NO3−:NH4+ | 15 mM:0 mM | 15 mM:0.5 mM | 15 mM:2 mM | 15 mM:10 mM | 15 mM:20 mM | |
| NACB (NH4+, %) | Bn0 | 0 c | −7.09 ± 0.53 h | −12.71 ± 1.52 i | 9.47 ± 1.07 b | −1.04 ± 0.67 e |
| Bn10 | 0 c | −2.15 ± 1.52 g | −1.54 ± 1.32 f | −0.46 ± 0.7 d | 13.84 ± 1.03 a | |
| Ov0 | 0 f | 0.81 ± 0.09 e | 4.41 ± 0.09 c | 2.51 ± 0.32 d | −7.57 ± 1.24 g | |
| Ov10 | 0 f | 7.69 ± 0.84 b | 18.79 ± 3.32 a | 2.19 ± 0.76 d | 6.26 ± 0.31 b | |
| (a) | ||||||
|---|---|---|---|---|---|---|
| NO3−:NH4+ | 15 mM:0 mM | 15 mM:0.5 mM | 15 mM:2 mM | 15 mM:10 mM | 15 mM:20 mM | |
| ATPA (NO3−, mM) | Bn0 | 0 c | −7.09 ± 0.53 h | −12.71 ± 1.52 i | 9.47 ± 1.07 b | −1.04 ± 0.67 e |
| Bn10 | 0 c | −2.15 ± 1.52 g | −1.54 ± 1.32 f | −0.46 ± 0.7 d | 13.84 ± 1.03 a | |
| Ov0 | 0 f | 0.81 ± 0.09 e | 4.41 ± 0.09 c | 2.51 ± 0.32 d | −7.57 ± 1.24 g | |
| Ov10 | 0 f | 7.69 ± 0.84 b | 18.79 ± 3.32 a | 2.19 ± 0.76 d | 6.26 ± 0.31 b | |
| (b) | ||||||
| NO3−:NH4+ | 15 mM:0 mM | 15 mM:0.5 mM | 15 mM:2 mM | 15 mM:10 mM | 15 mM:20 mM | |
| ATPB (NH4+, mM) | Bn0 | 0 c | −0.95 ± 0.03 d | −1.05 ± 0.08 d | 0.9 ± 0.05 b | −0.3 ± 0.03 c |
| Bn10 | 0 c | −0.4 ± 0.08 c | −0.15 ± 0.07 c | −0.1 ± 0.04 c | 9.9 ± 0.05 a | |
| Ov0 | 0 d | 0.25 ± 0 d | 0.65 ± 0 c | 0.7 ± 0.02 c | −4.75 ± 0.06 e | |
| Ov10 | 0 d | 1.75 ± 0.04 b | 1.9 ± 0.17 b | 0.8 ± 0.04 c | 7.3 ± 0.02 a | |
| (c) | ||||||
| NO3−:NH4+ | 15 mM:0 mM | 15 mM:0.5 mM | 15 mM:2 mM | 15 mM:10 mM | 15 mM:20 mM | |
| ATP (A + B, mM) | Bn0 | 33.64 ± 1.25 c | 44.79 ± 0.82 b | 74.48 ± 1.22 a | 44.52 ± 0.83 b | 17.3 ± 0.57 e |
| Bn10 | 23.51 ± 0.91 d | 30.5 ± 1.93 c | 47.85 ± 0.99 b | 21.54 ± 0.44 d | −6.86 ± 0.91 f | |
| Ov0 | 14.27 ± 0.26 b | 17.18 ± 1.12 b | 30.66 ± 1.41 a | 14.84 ± 0.57 b | 15.54 ± 1.19 b | |
| Ov10 | 12.4 ± 0.4 c | 14.4 ± 0.79 b | 31.01 ± 2.79 a | 11.29 ± 0.72 c | −1.97 ± 0.22 d | |
| (d) | ||||||
| NO3−:NH4+ | 15 mM:0 mM | 15 mM:0.5 mM | 15 mM:2 mM | 15 mM:10 mM | 15 mM:20 mM | |
| ΔATP (A + B, mM) | Bn | 0 b | −1.65 c | −2.70 d | 3.00 a | −30.60 f |
| Ov | 0 b | −4.50 e | −3.75 e | −0.30 b | −36.15 g | |
Disclaimer/Publisher’s Note: The statements, opinions and data contained in all publications are solely those of the individual author(s) and contributor(s) and not of MDPI and/or the editor(s). MDPI and/or the editor(s) disclaim responsibility for any injury to people or property resulting from any ideas, methods, instructions or products referred to in the content. |
© 2023 by the authors. Licensee MDPI, Basel, Switzerland. This article is an open access article distributed under the terms and conditions of the Creative Commons Attribution (CC BY) license (https://creativecommons.org/licenses/by/4.0/).
Share and Cite
Xia, A.; Wu, Y.; Xiang, J.; Yin, H.; Ming, J.; Qin, Z. Quantification of Glucose Metabolism and Nitrogen Utilization in Two Brassicaceae Species under Bicarbonate and Variable Ammonium Soil Conditions. Plants 2023, 12, 3095. https://doi.org/10.3390/plants12173095
Xia A, Wu Y, Xiang J, Yin H, Ming J, Qin Z. Quantification of Glucose Metabolism and Nitrogen Utilization in Two Brassicaceae Species under Bicarbonate and Variable Ammonium Soil Conditions. Plants. 2023; 12(17):3095. https://doi.org/10.3390/plants12173095
Chicago/Turabian StyleXia, Antong, Yanyou Wu, Jiqian Xiang, Hongqing Yin, Jiajia Ming, and Zhanghui Qin. 2023. "Quantification of Glucose Metabolism and Nitrogen Utilization in Two Brassicaceae Species under Bicarbonate and Variable Ammonium Soil Conditions" Plants 12, no. 17: 3095. https://doi.org/10.3390/plants12173095
APA StyleXia, A., Wu, Y., Xiang, J., Yin, H., Ming, J., & Qin, Z. (2023). Quantification of Glucose Metabolism and Nitrogen Utilization in Two Brassicaceae Species under Bicarbonate and Variable Ammonium Soil Conditions. Plants, 12(17), 3095. https://doi.org/10.3390/plants12173095

