Inter-Species Investigation of Biological Traits among Eight Echinochloa Species
Abstract
1. Introduction
2. Results
2.1. Differences in 1000-Grain Weight and Spikelet Number among Barnyardgrass Species
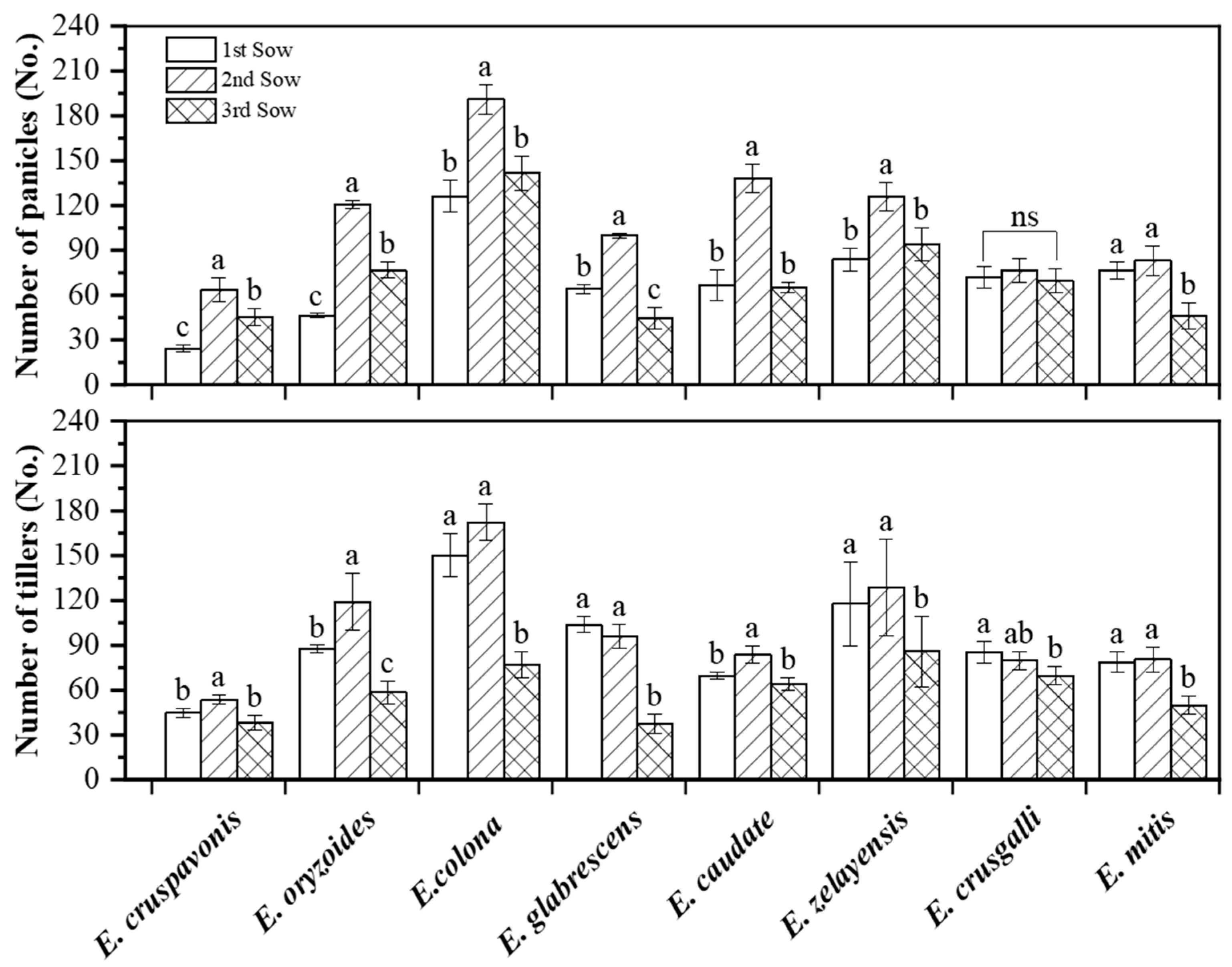
2.2. Number of Tillers and Panicles of Barnyardgrass Species under Different Sowing Conditions
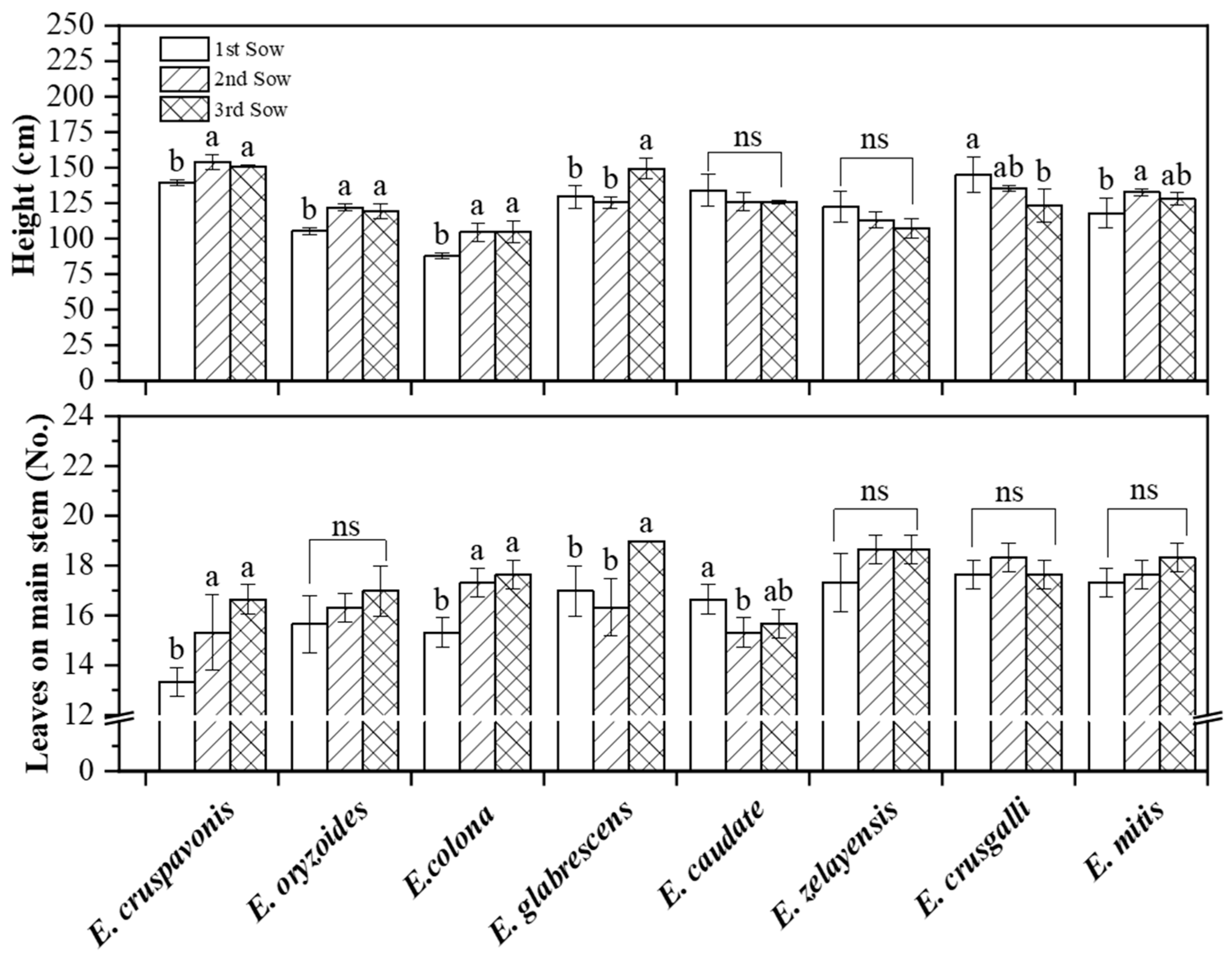
2.3. Plant Height and Number of Leaves on the Main Stem of Barnyardgrass Species under Different Sowing Conditions
2.4. Duration of the Growth Period
2.5. Differences in Photosynthesis between Rice and Barnyardgrass and Key Morphological Indicators under Field Competition
3. Discussion
3.1. 1000-Grain Weight and Spikelet Number Per Panicle
3.2. The Biological Traits of Barnyardgrass Exhibit Optimal Performance in the Second Sowing Period
3.3. The Length of the Barnyardgrass Growth Period Is Shortened with a Delayed Sowing Period
3.4. Photosynthetic Competition between Rice and Barnyardgrass Is Highly Asymmetric
4. Materials and Methods
4.1. Plant Materials and Growth Conditions
4.2. 1000-Grain Weight and Spikelet Number
4.3. Biological Characteristics of Barnyardgrass
4.4. Whole Growth Period
4.5. Field Competition Experiment
4.6. Data Analysis
5. Conclusions
Supplementary Materials
Author Contributions
Funding
Data Availability Statement
Conflicts of Interest
References
- Fang, J.; He, Z.; Liu, T.; Li, J.; Dong, L. A novel mutation Asp-2078-Glu in ACCase confers resistance to ACCase herbicides in barnyardgrass (Echinochloa crus-galli). Pestic. Biochem. Physiol. 2020, 168, 104634. [Google Scholar] [CrossRef] [PubMed]
- Kaya Altop, E.; Mennan, H. Genetic and morphologic diversity of Echinochloa crus-galli populations from different origins. Phytoparasitica 2010, 39, 93–102. [Google Scholar] [CrossRef]
- Yang, X.; Han, H.; Cao, J.; Li, Y.; Yu, Q.; Powles, S.B. Exploring quinclorac resistance mechanisms in Echinochloa crus-pavonis from China. Pest Manag. Sci. 2021, 77, 194–201. [Google Scholar] [CrossRef] [PubMed]
- Holm, L.G.; Plucknett, D.L.; Pancho, J.V.; Herberger, J.P. The World’s Worst Weeds; East-West Center: Honolulu, HI, USA, 1977. [Google Scholar]
- Zhang, Z.; Cao, J.; Gu, T.; Yang, X.; Peng, Q.; Bai, L.; Li, Y. Co-planted barnyardgrass reduces rice yield by inhibiting plant above- and belowground-growth during post-heading stages. Crop J. 2021, 9, 1198–1207. [Google Scholar] [CrossRef]
- Peng, Q.; Han, H.; Yang, X.; Bai, L.; Yu, Q.; Stephen, B.P. Quinclorac Resistance in Echinochloa crus-galli from China. Rice Sci. 2019, 26, 300–308. [Google Scholar]
- Zhu, J.; Wang, J.; DiTommaso, A.; Zhang, C.; Zheng, G.; Liang, W.; Islam, F.; Yang, C.; Chen, X.; Zhou, W. Weed research status, challenges, and opportunities in China. Crop Prot. 2020, 134, 104449. [Google Scholar] [CrossRef]
- Chen, G.; Tang, W.; Li, J.; Lu, Y.; Dong, L. Distribution characteristics of Echinocloa species in rice fields in China: A case survey on 73 sites from nine provincial administrative regions. Chin. J. Rice Sci. 2019, 33, 368–376. [Google Scholar]
- Lu, Y.; Liu, D.; Yu, L.; Liu, D.; Guo, S. Classification and diversity of Echinochloa in paddy fields of main agricultural regions in China. Plant Sci. J. 2014, 32, 435–445. [Google Scholar]
- Smith, R.J. Weed thresholds in southern US rice, Oryza sativa. Weed Technol. 1988, 2, 232–241. [Google Scholar] [CrossRef]
- Zhang, Z.; Gu, T.; Zhao, B.; Yang, X.; Peng, Q.; Li, Y.; Bai, L. Effects of common Echinochloa varieties on grain yield and grain quality of rice. Field Crop. Res. 2017, 203, 163–172. [Google Scholar] [CrossRef]
- Ottis, B.V.; Talbert, R.E. Barnyardgrass (Echinochloa crus-galli) Control and Rice Density Effects on Rice Yield Components. Weed Technol. 2017, 21, 110–118. [Google Scholar] [CrossRef]
- Chauhan, B.S.; Johnson, D.E. Responses of Rice Flatsedge (Cyperus iria) and Barnyardgrass (Echinochloa crus-galli) to Rice Interference. Weed Sci. 2010, 58, 204–208. [Google Scholar] [CrossRef]
- Tang, J.; Xie, J.; Chen, X.; Yu, L. Can rice genetic diversity reduce Echinochloa crus-galliinfestation? Weed Res. 2009, 49, 47–54. [Google Scholar] [CrossRef]
- Wu, H.; Walker, S.R.; Osten, V.A.; Robinson, G. Competition of sorghum cultivars and densities with Japanese millet (Echinochloa esculenta). Weed Biol. Manag. 2010, 10, 185–193. [Google Scholar] [CrossRef]
- de Vida, F.B.P.; Laca, E.A.; Mackill, D.J.; Fernández, G.M.; Fischer, A.J. Relating rice traits to weed competitiveness and yield: A path analysis. Weed Sci. 2006, 54, 1122–1131. [Google Scholar] [CrossRef]
- Moshatati, A.; Gharineh, M. Effect of grain weight on germination and seed vigor of wheat. Int. J. Agric. Crop Sci. 2012, 4, 458–460. [Google Scholar]
- Norris, R.F. Relationship between inflorescence size and seed production in barnyardgrass (Echinochloa crus-galli). Weed Sci. 1992, 40, 74–78. [Google Scholar] [CrossRef]
- Swanton, C.J.; Huang, J.Z.; Shrestha, A.; Tollenaar, M.; Deen, W.; Rahimian, H. Effects of temperature and photoperiod on the phenological development of barnyardgrass. Agron. J. 2000, 92, 1125–1134. [Google Scholar] [CrossRef]
- Klingaman, T.E.; Oliver, L.R. Existence of ecotypes among populations of entireleaf morningglory (Ipomoea hederacea var integriuscula). Weed Sci. 1996, 44, 540–544. [Google Scholar] [CrossRef]
- Sastroutomo, S.K.S.; Juraimi, A.S.; Kadir, J.B.; Napis, S.; Tasrif, A. Morphological variation of the ecotypes of echinochloa crus-galli var crus-galli (L). Beauv (barnyard grass: Poaceae) in malaysia and indonesia. Biotropia SEA J. Trop. Biol. 2004, 22, 1–14. [Google Scholar]
- Yabuno, T. Biology of Echinochloa species. In Proceedings of the Conference on Weed Control in Rice, Los Baños, Philippines, 31 August–4 September 1983. [Google Scholar]
- Lopez-Martinez, N.; Salva, A.P.; Finch, R.P.; Marshall, G.; De Prado, R. Molecular markers indicate intraspecific variation in the control of Echinochloa spp. with quinclorac. Weed Sci. 1999, 47, 310–315. [Google Scholar] [CrossRef]
- Chauhan, B.S.; Johnson, D.E. Ecological studies on Echinochloa crus-galli and the implications for weed management in direct-seeded rice. Crop Prot. 2011, 30, 1385–1391. [Google Scholar] [CrossRef]
- Baskin, C.C.; Baskin, J.M. Seeds: Ecology, Biogeography, and, Evolution of Dormancy and Germination; Elsevier: Amsterdam, The Netherlands, 1998. [Google Scholar]
- Moon, B.-C.; Park, S.-T.; Kim, S.-C.; Kwon, S.-J.; Mortimer, A.M.; Piggin, C. Weed emergence as affected by burying depth and water management. Korean J. Med. Crop Sci. 1999, 44, 32–37. [Google Scholar]
- Sadeghloo, A.; Asghari, J.; Ghaderi-Far, F. Seed germination and seedling emergence of velvetleaf (Abutilon theophrasti) and barnyardgrass (Echinochloa crus-galli). Planta Daninha 2013, 31, 259–266. [Google Scholar] [CrossRef]
- Zhang, Z.C.; Wang, H.C.; Cao, J.J.; Li, G.; Chauhan, B.S. Seed biology of alkali barnyardgrass (Echinochloa crus-galli var. zelayensis) and junglerice (Echinochloa colona) for improved management in direct-seeded rice. Weed Sci. 2023, 71, 112–123. [Google Scholar] [CrossRef]
- Lai, L.; Tian, Y.; Wang, Y.; Zhao, X.; Jiang, L.; Baskin, J.M.; Baskin, C.C.; Zheng, Y. Distribution of three congeneric shrub species along an aridity gradient is related to seed germination and seedling emergence. AoB Plants 2015, 7, plv071. [Google Scholar] [CrossRef]
- Hager, A.-S.; Mäkinen, O.E.; Arendt, E.K. Amylolytic activities and starch reserve mobilization during the germination of quinoa. Eur. Food Res. Technol. 2014, 239, 621–627. [Google Scholar] [CrossRef]
- Alhadi Fatima, A.; Al-Asbahi Adnan, A.S.; Alhammadi Arif, S.A.; Abdullah Qais, A.A. The effects of free amino acids profiles on seeds germination/dormancy and seedlings development of two genetically different cultivars of Yemeni Pomegranates. J. Stress Physiol. Biochem. 2012, 8, 114–137. [Google Scholar]
- Suda, C.N.; Giorgini, J.F. Seed reserve composition and mobilization during germination and initial seedling development of Euphorbia heterophylla. Rev. Bras. Fisiol. Veg. 2000, 12, 226–245. [Google Scholar] [CrossRef]
- Abdipour, M.; Ebrahimi, M.; Izadi-Darbandi, A.; Mastrangelo, A.M.; Najafian, G.; Arshad, Y.; Mirniyam, G. Association between Grain Size and Shape and Quality Traits, and Path Analysis of Thousand Grain Weight in Iranian Bread Wheat Landraces from Different Geographic Regions. Not. Bot. Horti Agrobot. Cluj-Napoca 2016, 44, 228–236. [Google Scholar] [CrossRef][Green Version]
- Wu, D.; Shen, E.; Jiang, B.; Feng, Y.; Tang, W.; Lao, S.; Jia, L.; Lin, H.Y.; Xie, L.; Weng, X.; et al. Genomic insights into the evolution of Echinochloa species as weed and orphan crop. Nat. Commun. 2022, 13, 689. [Google Scholar] [CrossRef] [PubMed]
- Bagavathiannan, M.V.; Norsworthy, J.K.; Jha, P.; Smith, K. Does Resistance to Propanil or Clomazone Alter the Growth and Competitive Abilities of Barnyardgrass (Echinochloa crus-galli)? Weed Sci. 2017, 59, 353–358. [Google Scholar] [CrossRef]
- Panozzo, S.; Scarabel, L.; Rosan, V.; Sattin, M. A New Ala-122-Asn Amino Acid Change Confers Decreased Fitness to ALS-Resistant Echinochloa crus-galli. Front. Plant Sci. 2017, 8, 2042. [Google Scholar] [CrossRef]
- Counce, P.A.; Siebenmorgen, T.J.; Poag, M.A.; Holloway, G.E.; Kocher, M.F.; Lu, R.F. Panicle emergence of tiller types and grain yield of tiller order for direct-seeded rice cultivars. Field Crop. Res. 1996, 47, 235–242. [Google Scholar] [CrossRef]
- Necajeva, J.; Royo-Esnal, A.; Loddo, D.; Jensen, P.; Taab, A.; Synowiec, A.; Uludag, A.; Uremis, I.; Murdoch, A.; Bochenek, A.; et al. Phenological development of barnyard grass plants originating from different geographical locations. Agron. J. 2022, 114, 3407–3419. [Google Scholar] [CrossRef]
- Major, D.J.; Kiniry, J.R. Predicting Daylength Effects on Phenological Processes; CRC Press: Boston, MA, USA, 1991. [Google Scholar]
- Patterson, D.T. Effects of Temperature and Photoperiod on Growth and Development of Sicklepod (Cassia obtusifolia). Weed Sci. 1993, 41, 574–582. [Google Scholar] [CrossRef]
- Ghersa, C.M.; Holt, J.S. Using phenology prediction in weed management: A review. Weed Res. 1995, 35, 461–470. [Google Scholar] [CrossRef]
- Bajwa, A.A.; Jabran, K.; Shahid, M.; Ali, H.H.; Chauhan, B.S.; Ehsanullah. Eco-biology and management of Echinochloa crus-galli. Crop Prot. 2015, 75, 151–162. [Google Scholar] [CrossRef]
- Wang, X.L.; Zhang, Z.Y.; Xu, X.M.; Li, G. The density of barnyard grass affects photosynthesis and physiological characteristics of rice. Photosynthetica 2019, 57, 705–711. [Google Scholar] [CrossRef]
- Guo, L.; Qiu, J.; Ye, C.; Jin, G.; Mao, L.; Zhang, H.; Yang, X.; Peng, Q.; Wang, Y.; Jia, L.; et al. Echinochloa crus-galli genome analysis provides insight into its adaptation and invasiveness as a weed. Nat. Commun. 2017, 8, 1031. [Google Scholar] [CrossRef]





| Echinochloa spp. | Tiller (No.) | Height (cm) | Node No. of the Main Stem | Shoot Dry Weight (g) |
|---|---|---|---|---|
| E. cruspavonis | 12.67 ± 0.58 e | 200.67 ± 10.97 b | 8.00 ± 0.58 c | 204.67 ± 23.46 a |
| E. oryzoides | 14.67 ± 0.58 de | 148.00 ± 6.24 d | 6.00 ± 0.58 d | 49.00 ± 14.42 c |
| E. colona | 48.67 ± 5.51 a | 171.67 ± 10.41 c | 9.00 ± 0.58 c | 154.67 ± 19.40 b |
| E. glabrescens | 32.00 ± 3.61 b | 183.33 ± 2.89 c | 9.00 ± 0.58 c | 140.67 ± 19.22 b |
| E. caudate | 22.33 ± 2.52 c | 217.67 ± 2.52 a | 9.00 ± 0.58 c | 141.00 ± 25.51 b |
| E. zelayensis | 32.00 ± 4.00 b | 198.00 ± 2.65 b | 9.00 ± 0.00 c | 233.33 ± 6.66 a |
| E. crusgalli | 19.00 ± 3.46 cd | 212.67 ± 14.19 ab | 12.00 ± 1.53 a | 165.00 ± 28.62 b |
| E. mitis | 20.33 ± 2.52 cd | 209.00 ± 7.94 ab | 11.00 ± 0.58 b | 128.00 ± 15.13 b |
Disclaimer/Publisher’s Note: The statements, opinions and data contained in all publications are solely those of the individual author(s) and contributor(s) and not of MDPI and/or the editor(s). MDPI and/or the editor(s) disclaim responsibility for any injury to people or property resulting from any ideas, methods, instructions or products referred to in the content. |
© 2023 by the authors. Licensee MDPI, Basel, Switzerland. This article is an open access article distributed under the terms and conditions of the Creative Commons Attribution (CC BY) license (https://creativecommons.org/licenses/by/4.0/).
Share and Cite
Hu, X.; Liu, R.; Mao, H.; Xu, Y.; Chen, B.; Li, Y.; Yang, X. Inter-Species Investigation of Biological Traits among Eight Echinochloa Species. Plants 2023, 12, 3085. https://doi.org/10.3390/plants12173085
Hu X, Liu R, Mao H, Xu Y, Chen B, Li Y, Yang X. Inter-Species Investigation of Biological Traits among Eight Echinochloa Species. Plants. 2023; 12(17):3085. https://doi.org/10.3390/plants12173085
Chicago/Turabian StyleHu, Xuli, Runqiang Liu, Honghao Mao, Yong Xu, Bin Chen, Yongfeng Li, and Xia Yang. 2023. "Inter-Species Investigation of Biological Traits among Eight Echinochloa Species" Plants 12, no. 17: 3085. https://doi.org/10.3390/plants12173085
APA StyleHu, X., Liu, R., Mao, H., Xu, Y., Chen, B., Li, Y., & Yang, X. (2023). Inter-Species Investigation of Biological Traits among Eight Echinochloa Species. Plants, 12(17), 3085. https://doi.org/10.3390/plants12173085
