Establishment of the Biotransformation of D-Allulose and D-Allose Systems in Full-Red Jujube Monosaccharides
Abstract
:1. Introduction
2. Results
2.1. Analysis of Sugar Composition in Jujube Fruits of Different Varieties
2.2. Induced Expression and Purification of D-Psicose-3-Epimerase and L-Rhamnose Isomerase
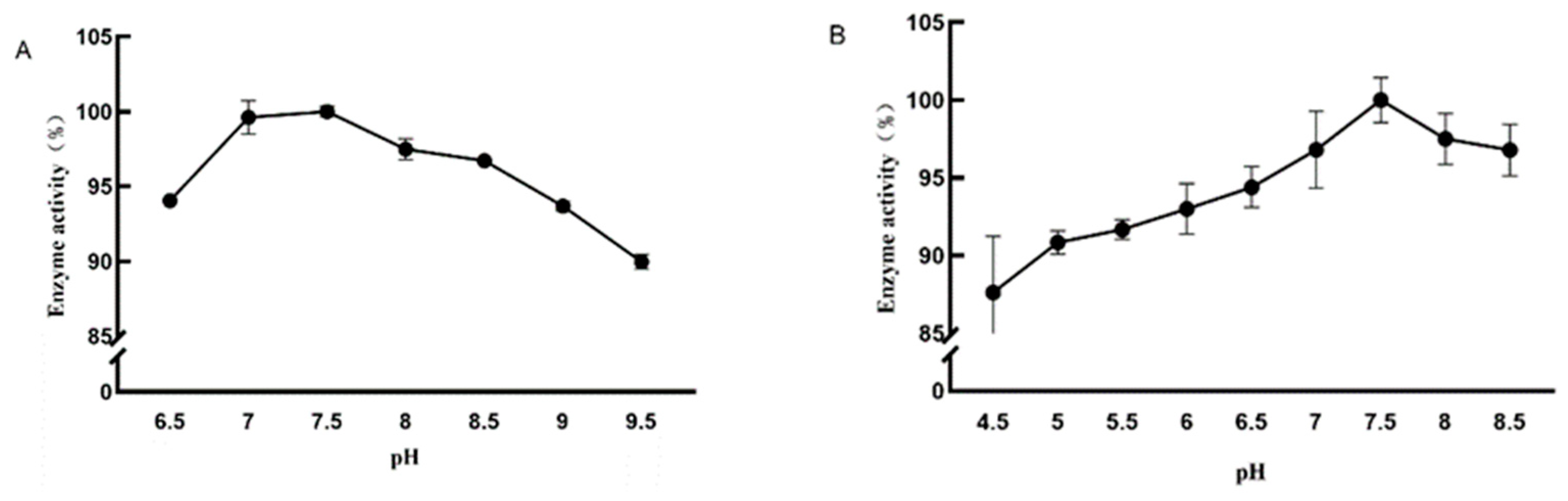
2.3. Effects of Different Reaction Conditions on D-Psicose-3-Epimerase and L-Rhamnose Isomerase Enzyme Activities
2.4. Kinetics of the Reaction of D-Psicose-3-Epimerase and L-Rhamnose Isomerase
2.5. Study of Catalytic Conditions for DPE and L-RI Double Enzyme Coupling
2.6. Sugar Conversion in the Fruit of Different Jujubes
2.7. Catalytic Analysis of DPE and L-RI Double Enzyme Coupling in Jujube Fruit
3. Discussion
4. Materials and Methods
4.1. Materials
4.2. Glucose, Fructose, and Total Sugar Detection
4.3. Recombinant Plasmid Construction and Enzyme Expression and Purification
4.4. Enzyme Assays
4.5. Effect of Temperature, pH and Metal Ions on Enzymatic Reactions
4.6. Effect of Mn2+ Concentration of the Optimal Metal Ion on Enzymatic Reactions
4.7. Kinetic Characterization
4.8. Effects of Temperature, Enzyme Ratio, and pH on DPE and L-RI Double Enzyme Coupling
4.9. Conversion of Glucose, Fructose, and D-Allulose in Jujube Juice
4.10. Conversion of Glucose, Fructose, D-Allulose in Jujube Juice
Author Contributions
Funding
Data Availability Statement
Conflicts of Interest
References
- Lei, C.G.; Chen, J.P.; Lu, D.X. The Nutritive Value and Health Function of Zipiphi Jujube Dates. Prog. Mod. Biomed. 2006, 6, 56–57+62. [Google Scholar]
- Zhou, X.F.; Guo, X.F.; Feng, Y.F.; Wang, Z.Q.; Wu, C.Y. Quality evaluation of functional components in different cultivars jujube. Sci. Technol. Food Ind. 2018, 39, 296–300. [Google Scholar]
- Xue, X.F.; Zhao, A.L.; Ren, H.Y.; Wang, Y.K.; Gong, G.H.; Li, D.K. Research Progress on Identification and Evaluation of Bioactive Substances in Chinese Jujube. J. Shanxi Agric. Sci. 2020, 48, 117–121. [Google Scholar]
- Noorbakhsh, H.; Khorasgani, M. Date (Phoenix dactylifera L.) polysaccharides: A review on Chemical structure and nutritional properties. J. Food Meas. Charact. 2022, 16, 3240–3250. [Google Scholar] [CrossRef]
- Ji, X.; Cheng, Y.; Tian, J.; Zhang, S.; Jing, Y.; Shi, M. Structural Characterization of Polysaccharide from Jujube (Ziziphus jujuba Mill.) Fruit. Chem. Biol. Technol. Agric. 2021, 8, 54. [Google Scholar] [CrossRef]
- Ji, X.; Guo, J.; Ding, D.; Gao, J.; Hao, L.; Guo, X.; Liu, Y. Structural Characterization and Antioxidant Activity of a Novel High-Molecular-Weight Polysaccharide from Ziziphus jujuba Cv. Muzao. J. Food Meas. Charact. 2022, 16, 2191–2200. [Google Scholar] [CrossRef]
- Wang, X.H.; Cui, T.; Liu, M.J.; Zhao, J.; Du, G.S. Analysis of Nutritional Composition of Different Chinese Jujubes. Acta Nutr. Sin. 2002, 2, 206–208. [Google Scholar]
- Zheng, L.J.; Nie, J.Y.; Yan, Z. Advances in research on sugars, organic acids and their effects of fruits. J. Fruit Sci. 2015, 32, 304–312. [Google Scholar]
- Yao, X.; Liu, A.P.; Qian, Y.G.; Wang, P.Y. Current Progress in Risk Factors and Intervention of Diabetes Mellitus. Med. Recapitul. 2014, 20, 1616–1618. [Google Scholar]
- Zhou, F.; Zhou, J.; Wang, W.; Zhang, X.-J.; Ji, Y.-X.; Zhang, P.; She, Z.-G.; Zhu, L.; Cai, J.; Li, H. Unexpected Rapid Increase in the Burden of NAFLD in China From 2008 to 2018: A Systematic Review and Meta-Analysis. Hepatology 2019, 70, 1119–1133. [Google Scholar] [CrossRef]
- Zhang, H.Y.; Zhou, Q.; Xu, L.H.; Cai, H.L.; Sun, H.X. Disease Burden and Risk Factors of Cardiovascular Diseases in China in 1990 and 2019*. Prog. Mod. Biomed. 2022, 22, 3070–3075. [Google Scholar] [CrossRef]
- Izumori, K. Bioproduction Strategies for Rare Hexose Sugars. Naturwissenschaften 2002, 89, 120–124. [Google Scholar] [CrossRef] [PubMed]
- Zhao, A.L.; Xue, X.F.; Wang, Y.K.; Sui, C.L.; Ren, H.Y.; Li, D.K. The Sugars and Organic Acids Composition in Fruits of Different Chinese Jujube Cultivars of Different Development Stages. Acta Hortic. Sin. 2016, 43, 1175–1185. [Google Scholar]
- Takata, M.K.; Yamaguchi, F.; Nakanose, K.; Watanabe, Y.; Hatano, N.; Tsukamoto, I.; Nagata, M.; Izumori, K.; Tokuda, M. Neuroprotective Effect of D-Psicose on 6-Hydroxydopamine-Induced Apoptosis in Rat Pheochromocytoma (PC12) Cells. J. Biosci. Bioeng. 2005, 100, 511–516. [Google Scholar] [CrossRef]
- Suna, S.; Yamaguchi, F.; Kimura, S.; Tokuda, M.; Jitsunari, F. Preventive Effect of D-Psicose, One of Rare Ketohexoses, on Di-(2-Ethylhexyl) Phthalate (DEHP)-Induced Testicular Injury in Rat. Toxicol. Lett. 2007, 173, 107–117. [Google Scholar] [CrossRef]
- Ma, M.Y.; Zhang, Y.M.; Pei, X.C.; Duan, Z.W.; Wang, X. Effects of DEHP and MEHP on secretory function of mouse ovarian granulosa cells. Carcinog. Teratog. Mutagen. 2010, 22, 104–107+111. [Google Scholar]
- Iida, T.; Kishimoto, Y.; Yoshikawa, Y.; Hayashi, N.; Okuma, K.; Tohi, M.; Yagi, K.; Matsuo, T.; Izumori, K. Acute D-Psicose Administration Decreases the Glycemic Responses to an Oral Maltodextrin Tolerance Test in Normal Adults. J. Nutr. Sci. Vitaminol. 2008, 54, 511–514. [Google Scholar] [CrossRef]
- Matsuo, T.; Baba, Y.; Hashiguchi, M.; Takeshita, K.; Izumori, K.; Suzuki, H. Less Body Fat Accumulation with D-Psicose Diet versus D-Fructose Diet. J. Clin. Biochem. Nutr. 2001, 30, 55–65. [Google Scholar] [CrossRef]
- Georg, D.A.; Johannes, K.T.; Birgit, K. Allulose Caramel. DE: EP3334286A1, 23 February 2017. [Google Scholar]
- Kimura, S.; Zhang, G.-X.; Nishiyama, A.; Nagai, Y.; Nakagawa, T.; Miyanaka, H.; Fujisawa, Y.; Miyatake, A.; Nagai, T.; Tokuda, M.; et al. D-Allose, an All-Cis Aldo-Hexose, Suppresses Development of Salt-Induced Hypertension in Dahl Rats. J. Hypertens. 2005, 23, 1887–1894. [Google Scholar] [CrossRef]
- Sui, L.; Nomura, R.; Dong, Y.; Yamaguchi, F.; Izumori, K.; Tokuda, M. Cryoprotective Effects of D-Allose on Mammalian Cells. Cryobiology 2007, 55, 87–92. [Google Scholar] [CrossRef] [PubMed]
- Yamaguchi, F.; Kamitori, K.; Sanada, K.; Horii, M.; Dong, Y.; Sui, L.; Tokuda, M. Rare Sugar D-Allose Enhances Anti-Tumor Effect of 5-Fluorouracil on the Human Hepatocellular Carcinoma Cell Line HuH-7. J. Biosci. Bioeng. 2008, 106, 248–252. [Google Scholar] [CrossRef] [PubMed]
- Sun, Y.; Hayakawa, S.; Chuamanochan, M.; Fujimoto, M.; Innun, A.; Izumori, K. Antioxidant Effects of Maillard Reaction Products Obtained from Ovalbumin and Different D-Aldohexoses. Biosci. Biotechnol. Biochem. 2006, 70, 598–605. [Google Scholar] [CrossRef]
- Yamada, K.; Noguchi, C.; Kamitori, K.; Dong, Y.; Hirata, Y.; Mohammad; Hossain, A.; Tsukamoto, I.; Tokuda, M.; Yamaguchi, F. Rare Sugar D-Allose Strongly Induces Thioredoxin-Interacting Protein and Inhibits Osteoclast Differentiation in Raw264 Cells. Nutr. Res. 2012, 32, 116–123. [Google Scholar] [CrossRef]
- Tao, H. Protective Effects and the Mechanisms of D-Allose Pretreatment against Cerebral Ischemia Injury in Mice. Master’s Thesis, Fourth Military Medical University, Xi’an, China, 2016. [Google Scholar]
- Ling, S.C.; Zong, Z.W.; Yu, H.Y.; Li, X.J. Protective effect of D-allose on acute chemical liver injury in mice. Chin. J. Front. Med. Sci. 2013, 8, 7–8. [Google Scholar]
- Al-Asmari, A.K.; Albalawi, S.M.; Athar, M.T.; Khan, A.Q.; Al-Shahrani, H.; Islam, M. Moringa oleifera as an Anti-Cancer Agent against Breast and Colorectal Cancer Cell Lines. PLoS ONE 2015, 10, e0135814. [Google Scholar] [CrossRef]
- Li, C.; Wu, M.; Gao, X.; Zhu, Z.L.; Lu, F.P.; Qin, H.M. Advances in enzymatic approaches to rare sugar production. Microbiol. China 2021, 48, 606–619. [Google Scholar] [CrossRef]
- Kong, F.Z. Glycochemistry; Science Press: Beijing, China, 2016. [Google Scholar]
- Zhu, J.; Zhao, W.J. Research on Synthesis of Psicose Derivates. Master’s Thesis, Dalian University of Technology, Dalian, China, 2015. [Google Scholar]
- Soengas, R.; Izumori, K.; Simone, M.I.; Watkin, D.J.; Skytte, U.P.; Soetaert, W.; Fleet, G.W.J. Kiliani Reactions on Ketoses: Branched Carbohydrate Building Blocks from D-Tagatose and D-Psicose. Tetrahedron Lett. 2005, 46, 5755–5759. [Google Scholar] [CrossRef]
- Izumori, K.; Rahman, A.K.; Okaya, H.; Tsumura, T. A New Enzyme, D-Ketohexose 3-Epimerase, from Pseudomonas Sp. ST-24. Biosci. Biotechnol. Biochem. 1993, 57, 1037–1039. [Google Scholar] [CrossRef]
- Kim, H.-J.; Hyun, E.-K.; Kim, Y.-S.; Lee, Y.-J.; Oh, D.-K. Characterization of an Agrobacterium tumefaciens D-Psicose 3-Epimerase That Converts D -Fructose to D -Psicose. Appl. Environ. Microb. 2006, 72, 981–985. [Google Scholar] [CrossRef]
- Li, X.B. Expression and Immobilization of D-Psicose 3-Epimerase and Its Application in the Production of D-Psicose. Master’s Thesis, Tianjin University of Science & Technology, Tianjin, China, 2013. [Google Scholar]
- Zhu, X.X. Construction of D-3-Epimerase Gene Engineered Kluyveromyces marxianus. Master’s Thesis, Hefei University of Technology, Hefei, China, 2018. [Google Scholar]
- Seo, M.-J.; Choi, J.-H.; Kang, S.-H.; Shin, K.-C.; Oh, D.-K. Characterization of L-Rhamnose Isomerase from Clostridium stercorarium and Its Application to the Production of D-Allose from D-Allulose (D-Psicose). Biotechnol. Lett. 2018, 40, 325–334. [Google Scholar] [CrossRef] [PubMed]
- Xu, W.; Zhang, W.; Tian, Y.; Zhang, T.; Jiang, B.; Mu, W. Characterization of a Novel Thermostable L-Rhamnose Isomerase from Thermobacillus composti KWC4 and Its Application for Production of d-Allose. Process. Biochem. 2017, 53, 153–161. [Google Scholar] [CrossRef]
- Jia, M.; Mu, W.; Chu, F.; Zhang, X.; Jiang, B.; Zhou, L.L.; Zhang, T. A D-Psicose 3-Epimerase with Neutral PH Optimum from Clostridium Bolteae for d-Psicose Production: Cloning, Expression, Purification, and Characterization. Appl. Microbiol. Biot. 2014, 98, 717–725. [Google Scholar] [CrossRef] [PubMed]
- Zhang, W.; Zhang, T.; Jiang, B.; Mu, W. Biochemical Characterization of a D-Psicose 3-Epimerase from Treponema primitia ZAS-1 and Its Application on Enzymatic Production of D-Psicose. J. Sci. Food Agric. 2016, 96, 49–56. [Google Scholar] [CrossRef] [PubMed]
- Characterization of a Novel Metal-Dependent D-Psicose 3-Epimerase from Clostridium scindens 35704|PLoS ONE. Available online: https://journals.plos.org/plosone/article?id=10.1371/journal.pone.0062987 (accessed on 9 March 2023).
- Yoshihara, A.; Kozakai, T.; Shintani, T.; Matsutani, R.; Ohtani, K.; Iida, T.; Akimitsu, K.; Izumori, K.; Gullapalli, P.K. Purification and Characterization of D-Allulose 3-Epimerase Derived from Arthrobacter globiformis M30, a GRAS Microorganism. J. Biosci. Bioeng. 2017, 123, 170–176. [Google Scholar] [CrossRef]
- Itoh, H.; Okaya, H.; Khan, A.R.; Tajima, S.; Hayakawa, S.; Izumori, K. Purification and Characterization of D-Tagatose 3-Epimerase from Pseudomonas Sp. ST-24. Biosci. Biotechnol. Biochem. 1994, 58, 2168–2171. [Google Scholar] [CrossRef]
- Yoshida, H.; Yamada, M.; Nishitani, T.; Takada, G.; Izumori, K.; Kamitori, S. Crystal Structures of D-Tagatose 3-Epimerase from Pseudomonas cichorii and Its Complexes with d-Tagatose and d-Fructose. J. Mol. Biol. 2007, 374, 443–453. [Google Scholar] [CrossRef]
- Park, C.-S.; Park, C.-S.; Shin, K.-C.; Oh, D.-K. Production of D-Psicose from d-Fructose by Whole Recombinant Cells with High-Level Expression of d-Psicose 3-Epimerase from Agrobacterium tumefaciens. J. Biosci. Bioeng. 2016, 121, 186–190. [Google Scholar] [CrossRef]
- Lee, D.-W.; Choe, E.-A.; Kim, S.-B.; Eom, S.-H.; Hong, Y.-H.; Lee, S.-J.; Lee, H.-S.; Lee, D.-Y.; Pyun, Y.-R. Distinct Metal Dependence for Catalytic and Structural Functions in the L-Arabinose Isomerases from the Mesophilic Bacillus halodurans and the Thermophilic Geobacillus stearothermophilus. Arch. Biochem. Biophys. 2005, 434, 333–343. [Google Scholar] [CrossRef]










Disclaimer/Publisher’s Note: The statements, opinions and data contained in all publications are solely those of the individual author(s) and contributor(s) and not of MDPI and/or the editor(s). MDPI and/or the editor(s) disclaim responsibility for any injury to people or property resulting from any ideas, methods, instructions or products referred to in the content. |
© 2023 by the authors. Licensee MDPI, Basel, Switzerland. This article is an open access article distributed under the terms and conditions of the Creative Commons Attribution (CC BY) license (https://creativecommons.org/licenses/by/4.0/).
Share and Cite
Liu, F.; Chen, S.; Pan, F.; Zhao, Z.; Liu, M.; Wang, L. Establishment of the Biotransformation of D-Allulose and D-Allose Systems in Full-Red Jujube Monosaccharides. Plants 2023, 12, 3084. https://doi.org/10.3390/plants12173084
Liu F, Chen S, Pan F, Zhao Z, Liu M, Wang L. Establishment of the Biotransformation of D-Allulose and D-Allose Systems in Full-Red Jujube Monosaccharides. Plants. 2023; 12(17):3084. https://doi.org/10.3390/plants12173084
Chicago/Turabian StyleLiu, Fawei, Shuangjiang Chen, Fuxu Pan, Zhihui Zhao, Mengjun Liu, and Lili Wang. 2023. "Establishment of the Biotransformation of D-Allulose and D-Allose Systems in Full-Red Jujube Monosaccharides" Plants 12, no. 17: 3084. https://doi.org/10.3390/plants12173084
APA StyleLiu, F., Chen, S., Pan, F., Zhao, Z., Liu, M., & Wang, L. (2023). Establishment of the Biotransformation of D-Allulose and D-Allose Systems in Full-Red Jujube Monosaccharides. Plants, 12(17), 3084. https://doi.org/10.3390/plants12173084
