New Finds and Ecology of the Rare Liverworts Scapania apiculata, Scapania carinthiaca, and Scapania scapanioides in Austria
Abstract
1. Introduction
2. Results
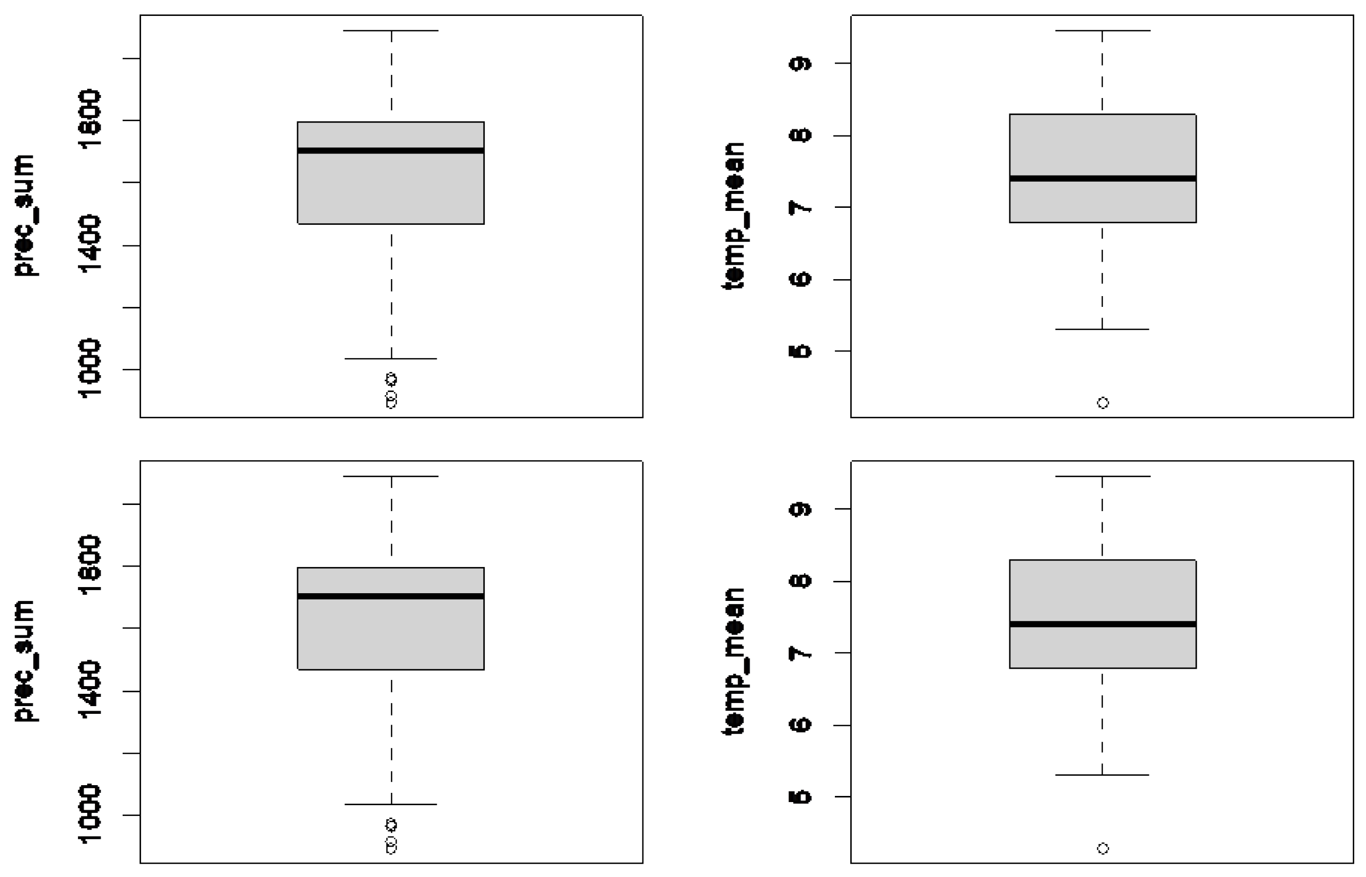
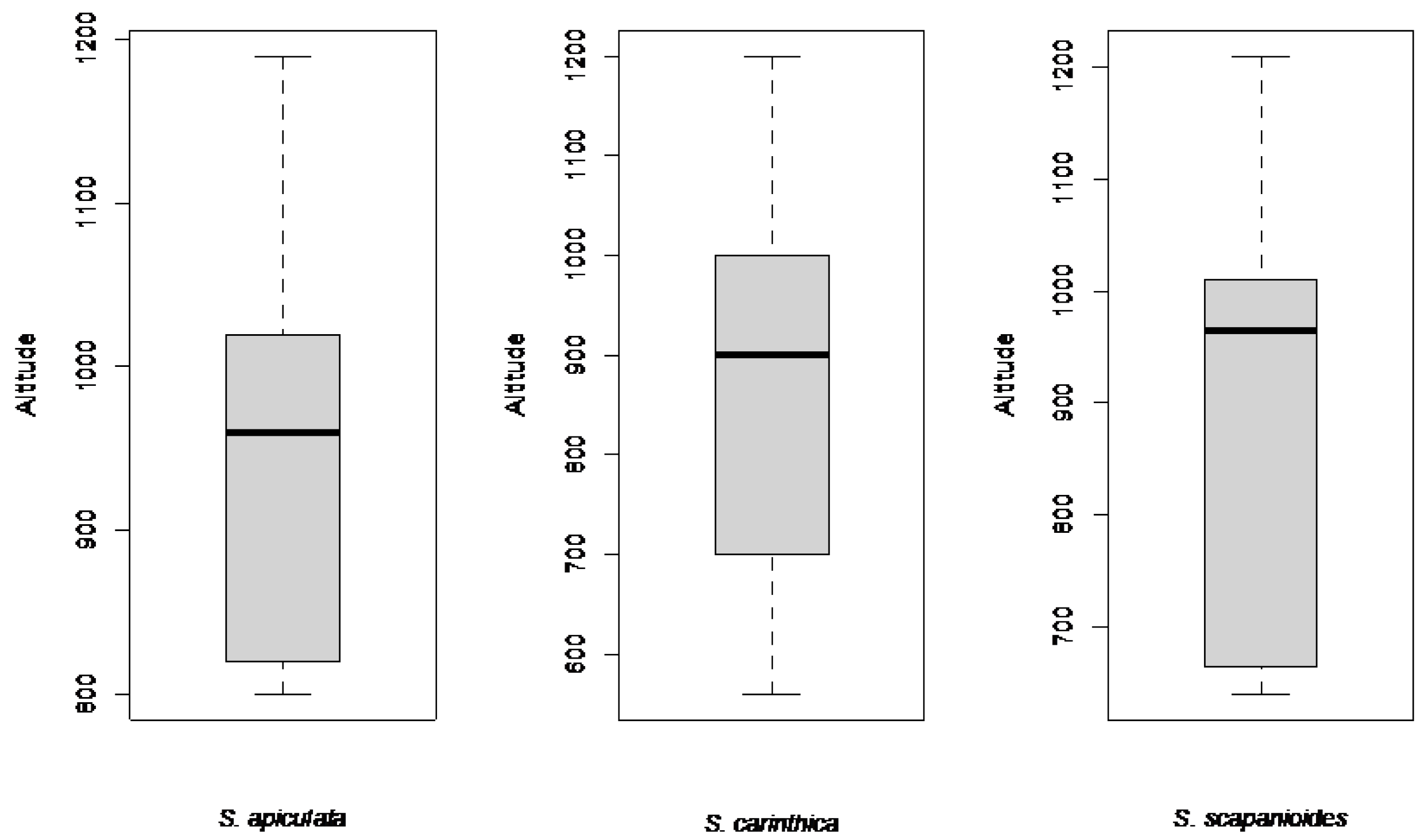
2.1. Distribution and Ecology
2.2. Characteristics of the Target Species
3. Discussion
3.1. Distribution and Ecology
3.2. Implications for Management and Conservation
4. Materials and Methods
Author Contributions
Funding
Data Availability Statement
Acknowledgments
Conflicts of Interest
Appendix A
| Species | Finder | Site | N | P | Quad | Date | |
|---|---|---|---|---|---|---|---|
| 1 | S. apiculata | HZ | Rothwald, Kleiner Urwald * | 1 | L | 82562 | 6 August 2012 |
| 2 | S. apiculata | MK and HZ | Hintere Saigerin * | 1 | U | 82533 | 18 July 2017 |
| 3 | S. apiculata | MK and HZ | Toplitzsee * | 1 | St | 83492 | 28 July 2017 |
| 4 | S. apiculata | MK and HZ | Rothwald, Großer Urwald * | 4 | L | 82562 | 10 July 2019 |
| 5 | S. apiculata | MK and HZ | Lahnsattel | 2 | L | 82591 | 20 June 2019 |
| 6 | S. apiculata | MK and HZ | Brutgern * | 1 | S | 83452 | 7 July 2020 |
| 7 | S. apiculata | MK and HZ | Grießbachkessel * | 1 | S | 82453 | 8 July 2020 |
| 8 | S. apiculata | MK and HZ | Zellerbrunnbach * | 1 | St | 82562 | 16 July 2020 |
| 9 | S. apiculata | MK and HZ | Zellerbrunn-Dürradmer * | 2 | St | 82562 | 17 July 2020 |
| 10 | S. apiculata | MK and HZ | Josefsgraben * | 3 | St | 83534 | 4 July 2022 |
| 1 | S. carinthiaca | MK and HZ | Rothwald, Großer Urwald * | 3 | L | 82562 | 9 July 2019 |
| 2 | S. carinthiaca | MK and HZ | Groißnalm, Kalkalpen * | 1 | U | 82523 | 18 July 2016 |
| 3 | S. carinthiaca | MK and HZ | Kulisse, Kalkalpen * | 1 | U | 82521 | 17 August 2016 |
| 4 | S. carinthiaca | MK and HZ | Rettenbachtal * | 1 | St | 83482 | 3 June 2017 |
| 5 | S. carinthiaca | MK and HZ | Mitterwand * | 1 | St | 83482 | 5 June 2017 |
| 6 | S. carinthiaca | MK and HZ | Koppentraun left bank | 1 | St | 84481 | 23 July 2019 |
| 7 | S. carinthiaca | MK and HZ | Kammersee * | 1 | St | 83494 | 25 July 2017 |
| 8 | S. carinthiaca | MK and HZ | Toplitzsee * | 1 | St | 83492 | 28 July 2017 |
| 9 | S. carinthiaca | MK and HZ | Krumme Steyerling * | 2 | U | 82521 | 7 June 2019 |
| 10 | S. carinthiaca | MK and HZ | Lahnsattel | 1 | L | 82591 | 21 June 2019 |
| 11 | S. carinthiaca | MK and HZ | Grimmingbach N Gnanitzalm * | 1 | St | 84501 | 24 July 2019 |
| 12 | S. carinthiaca | MK and HZ | Haselschlucht, Kalkalpen * | 1 | U | 82522 | 7 June 2020 |
| 13 | S. carinthiaca | MK and HZ | Brutgern * | 1 | S | 83452 | 7 July 2020 |
| 14 | S. carinthiaca | MK and HZ | Grießbachkessel * | 3 | S | 82453 | 8 July 2020 |
| 15 | S. carinthiaca | MK and HZ | Ufer des Schallerbachs * | 3 | St | 82564 | 13 July 2020 |
| 16 | S. carinthiaca | MK and HZ | Salza, Prescenyriegel * | 1 | St | 83564 | 13 July 2020 |
| 17 | S. carinthiaca | MK and HZ | Zellerbrunnbach * | 3 | St | 82562 | 16 July 2020 |
| 18 | S. carinthiaca | MK and HZ | Josefsgraben, S Kropfbründl, Gesäuse * | 1 | St | 83534 | 4 July 2022 |
| 19 | S. carinthiaca | MK and HZ | Wasserfallweg, Gesäuse * | 1 | St | 84532 | 5 July 2022 |
| 20 | S. carinthiaca | MK and HZ | Ebner-Klamm: Schlucht 1, Gesäuse * | 1 | St | 84534 | 7 July 2022 |
| 1 | S. scapanioides | MK and HZ | Groißnalm, Kalkalpen * | 1 | U | 82523 | 16 July 2016 |
| 2 | S. scapanioides | MK and HZ | Krumme Steyerling * | 1 | U | 82521 | 7 June 2019 |
| 3 | S. scapanioides | MK and HZ | Geißlucke, Kalkalpen * | 1 | U | 82522 | 10 June 2019 |
| 4 | S. scapanioides | MK and HZ | Lahnsattel | 1 | L | 82591 | 21 June 2019 |
| 5 | S. scapanioides | MK and HZ | Wasserlochklammm, Wildalpen * | 1 | St | 82553 | 13 July 2019 |
| 6 | S. scapanioides | MK and HZ | Ufer des Schallerbachs, Wildalpen * | 1 | St | 82564 | 13 July 2020 |
| 7 | S. scapanioides | MK and HZ | Zellerbrunnbach, Wildalpen * | 1 | St | 82562 | 16 July 2020 |
| 8 | S. scapanioides | MK and HZ | Ebner-Klamm: Schlucht 1, Gesäuse * | 2 | St | 84534 | 7 July 2022 |
| 9 | S. scapanioides | MK and HZ | Ebner-Klamm: Schlucht 2, Gesäuse * | 1 | St | 84534 | 7 July 2022 |
| 10 | S. scapanioides | MK and HZ | Rohr-Bach, Gesäuse * | 1 | St | 84532 | 8 July 2022 |
| Species | Finder | Site | P | Published in | |
|---|---|---|---|---|---|
| 1 | S. apiculata | GS | Molln, Bodinggraben | U | [64] |
| 2 | S. apiculata | HK and AS | Stubalpe, Waldensteiner Graben | C | [6] |
| 3 | S. apiculata | HK and AS | Saualpe, Woisbachgraben | C | [6] |
| 4 | S. apiculata | K and K | Gailtaler Alpen, W Greifenburg | C | [6] |
| 5 | S. apiculata | HK | Karnische Alpen, Garnitzenklamm | C | [6] |
| 6 | S. apiculata | HK and AS | Karawanken, Strugarzagraben | C | [6] |
| 7 | S. apiculata | K and K | Zinkenbachgraben | S | [6] |
| 8 | S. apiculata | CS | Königsbachtal S Wolfgangsee | S | [6] |
| 9 | S. apiculata | B | Tannheim, Haldensee | T | [6] |
| 10 | S. apiculata | MR | Kleinwalsertal, Breitachtal | V | [6] |
| 1 | S. carinthiaca | GS | Haselschlucht | U | [64] |
| 2 | S. carinthiaca | HK | Ladritscher Tobel, | V | [65] |
| 3 | S. carinthiaca | HK | Vermielbach St. Gallenkirch | V | [65] |
| 4 | S. carinthiaca | HK | Hohe Tauern, Gößnitzfall | C | [6] |
| 5 | S. carinthiaca | HK and HvM | Kolmitzgraben bei Mörtschach | C | [6] |
| 6 | S. carinthiaca | HK | Lodronsteig im Maltatal | C | [6] |
| 7 | S. carinthiaca | HKandHvM | Lamnitzgraben | C | [6] |
| 8 | S. carinthiaca | HK | Fuggeralm, Flattnitz | C | [6] |
| 9 | S. carinthiaca | HK | Sommeraugraben, Reichenfels | C | [6] |
| 10 | S. carinthiaca | HK | Fraßgraben, Koralm | C | [6] |
| 11 | S. carinthiaca | HK | Kirchbachgraben N Kirchbach | C | [6] |
| 12 | S. carinthiaca | HK and HvM | Grießbachschlucht S Würmlach | C | [6] |
| 13 | S. carinthiaca | HK and MS | Kuplitzklamm SE Eisenkappl | C | [6] |
| 14 | S. carinthiaca | CS | Königsbachtal S Wolfgangsee | S | [6] |
| 15 | S. carinthiaca | K and K | Schwarzwand bei Hüttschlag | S | [6] |
| 16 | S. carinthiaca | HK | Gragger Schlucht SW Neumarkt | St | [6] |
| 1 | S. scapanioides | GS | Höllenleitenbachgraben/Großraming | U | [64] |
| 2 | S. scapanioides | HK and HvM | Marchgraben E Weißensee | C | [6] |
| 3 | S. scapanioides | HK and AS | Karawanken, Strugarzagraben | C | [6] |
| 4 | S. scapanioides | HK and AS | Eselgraben im Loibltal | C | [6] |
| 5 | S. scapanioides | HK and MS | Kuplitzklamm SE Eisenkappl | C | [6] |
References
- Potemkin, A.D. Phylogenetic system and classification of the family Scapaniaceae Mig. emend. Potemkin (Hepaticae). Ann. Bot. Fenn. 2002, 39, 309–334. [Google Scholar]
- Heinrichs, J.; Bombosch, A.; Feldberg, K.; Kreier, H.P.; Hentschel, J.; Eckstein, J.; Long, D.; Zhu, R.L.; Schafer-Verwimp, A.; Schmidt, A.R.; et al. A phylogeny of the northern temperate leafy liverwort genus Scapania (Scapaniaceae, Jungermanniales). Mol. Phylogenetics Evol. 2012, 62, 973–985. [Google Scholar] [CrossRef]
- Hodgetts, N.; Cálix, M.; Englefield, E.; Fettes, N.; Criado, G.M.; Patin, L.; Nieto, A.; Bergamini, A.; Bisang, I.; Baisheva, E.; et al. A Miniature World in Decline: European Red List of Mosses, Liverworts and Hornworts; IUCN: Gland, Switzerland, 2019. [Google Scholar] [CrossRef]
- Müller, K. Die Lebermoose Europas: Eine Gesamtdarstellung der Europäischen Arten; Johnson Reprint Corporation: New York, NY, USA; London, UK, 1957. [Google Scholar]
- Schuster, R.M. The Hepaticae and Anthocerotae of North America East of The Hundredth Meridian; Columbia University Press: New York, NY, USA; London, UK, 1974. [Google Scholar]
- Köckinger, H. Die Horn- und Lebermoose Österreichs (Anthocerotophyta und Marchantiophyta). Catalogus Florae Austriae, II. Teil, Heft 2; Austrian Acamdemy of Sciences: Vienna, Austria, 2017. [Google Scholar]
- Hodgetts, N.; Lockhart, N. Checklist and Country Status of European Bryophytes—Update 2020; National Parks and Wildlife Service: Dublin, Ireland, 2020; pp. 1393–6670. [Google Scholar]
- Kucera, J.; Vána, J.; Hradílek, Z. Bryophyte flora of the Czech Republic: Updated checklist and Red List and a brief analysis. Preslia 2012, 84, 813–850. [Google Scholar]
- Martincic, A. Updated Red List of Bryophytes of Slovenia. Hacquetia 2016, 15, 107–126. [Google Scholar] [CrossRef]
- Mišíková, K.; Godovičová, K.; Širka, P.; Šoltés, R. Checklist and red list of hornworts (Anthocerotophyta) and liverworts (Marchantiophyta) of Slovakia. Biologia 2021, 76, 2093–2103. [Google Scholar] [CrossRef]
- Caspari, S.; Dürhammer, O.; Sauer, M.; Schmidt, C. Rote Liste und Gesamtartenliste der Moose (Anthocerotophyta, Marchantiophyta und Bryophyta) Deutschlands. In Rote Liste Gefahrdeter Tiere, Pflanzen und Pilze Deutschlands. Band 7: Pflanzen; Metzing, D., Hofbauer, N., Ludwig, G., Matzke-Hajek, G., Eds.; Naturschutz und Biologische Vielfalt: Münster, Germany, 2013; pp. 361–489. [Google Scholar]
- Senn, H. Die Moose des Furstentums Liechtenstein. In Naturkundliche Forschung im Furstentum Liechtenstein; Lehrmittelverlag, A., Ed.; Regierung des Fürstentums Liechtenstein: Vaduz, Liechtenstein, 2000. [Google Scholar]
- Konstantinova, N. Scapania Apiculata (Europe Assessment). 2019. Available online: https://www.iucnredlist.org/species/87522879/87758862 (accessed on 10 June 2023).
- Schröck, C.; Bisang, I.; Caspari, S.; Hedenäs, L.; Hodgetts, N.; Kiebacher, T.; Kučera, J.; Ştefănuţ, S.; Vana, J. Scapania Carinthiaca (Europe Assessment). 2019. Available online: https://www.iucnredlist.org/species/87523480/87741209 (accessed on 10 June 2023).
- Schröck, C.; Bisang, I.; Caspari, S.; Hedenäs, L.; Hodgetts, N.; Kiebacher, T.; Kučera, J.; Ştefănuţ, S.; Vana, J. Scapania Scapanioides (Europe Assessment). 2019. Available online: https://www.iucnredlist.org/species/88289151/88382772 (accessed on 10 June 2023).
- Hassel, K.; Jordal, J.B.; Gaarder, G. Scapania apiculata, S. carinthiaca and S. glaucocephala, three rare liverworts (Marchantiophyta) on decaying logs in stream crevices and small watercourses. Blyttia 2006, 64, 143–154. [Google Scholar]
- Kropik, M.; Zechmeister, H.G.; Moser, D.; Bernhardt, K.G.; Dullinger, S. Deadwood volumes matter in epixylic bryophyte conservation, but precipitation limits the establishment of substrate-specific communities. For. Ecol. Manag. 2021, 493, 119285. [Google Scholar] [CrossRef]
- Qiao, Y.; Zheng, H.; Li, L.; Zhang, J.; Li, Y.; Li, S.; Zhu, R.; Zhou, J.; Zhao, S.; Jiang, Y.; et al. Terpenoids with vasorelaxant effects from the Chinese liverwort Scapania carinthiaca. Bioorganic Med. Chem. 2018, 26, 4320–4328. [Google Scholar] [CrossRef]
- Peters, K.; Treutler, H.; Döll, S.; Kindt, A.S.D.; Hankemeier, T.; Neumann, S. Chemical diversity and classification of secondary metabolites in nine bryophyte species. Metabolites 2019, 9, 222. [Google Scholar] [CrossRef]
- Proctor, M.C.F. Physiological Ecology: Water Relations, Light and Temperature Responses, Carbon Balance. In Bryophyte Ecology; Smith, A.J.E., Ed.; Chapman and Hall: London, UK, 1982; pp. 333–381. [Google Scholar]
- Proctor, M.C.F.; Oliver, M.J.; Wood, A.J.; Alpert, P.; Stark, L.R.; Cleavitt, N.L.; Mishler, B.D. Desiccation-tolerance in bryophytes: A review. Bryologist 2007, 110, 595–621. [Google Scholar] [CrossRef]
- Kropik, M.; Zechmeister, H.G.; Moser, D. Climate Variables Outstrip Deadwood Amount: Desiccation as the Main Trigger for Buxbaumia viridis Occurrence. Plants 2021, 10, 61. [Google Scholar] [CrossRef]
- Dilks, T.J.K.; Proctor, M.C.F. Pattern of recovery of bryophytes after desiccation. J. Bryol. 1974, 8, 97–115. [Google Scholar] [CrossRef]
- Köckinger, H.; Schröck, C. Rote Liste der Moose Kärntens; Verlag des Naturwissenschaftlichen Vereins für Kärnten: Klagenfurt am Wörthersee, Austria, 2017. [Google Scholar]
- Zechmeister, H.G.; Hagel, H.; Gendo, A.; Osvaldik, V.; Patek, M.; Prinz, M.; Schröck, C.; Köckinger, H. Die Rote Liste der Moose Niederösterreichs. Wiss. Mitteilungen Des Niederösterreichischen Landesmus. 2013, 24, 7–126. [Google Scholar]
- Schröck, C.; Köckinger, H.; Schlüsselmayr, G. Katalog und Rote Liste der Moose Oberösterreichs. Stapfia 2014, 100, 1–247. [Google Scholar]
- Schröck, C.; Köckinger, H.; Amann, G.; Zechmeister, H.G. Rote Liste gefährdeter Moose Vorarlbergs; Inatura Erlebnis Naturschau: Dornbirn, Austria, 2013. [Google Scholar]
- Taborska, M.; Privetivy, T.; Vrska, T.; Odor, P. Bryophytes associated with two tree species and different stages of decay in a natural fir-beech mixed forest in the Czech Republic. Preslia 2015, 87, 387–401. [Google Scholar]
- Odor, P.; Van Hees, A.F.M. Preferences of Dead Wood Inhabiting Bryophytes for Decay Stage, Log Size and Habitat Types in Hungarian Beech Forests. J. Bryol. 2004, 26, 79–95. [Google Scholar] [CrossRef]
- Hassel, K. What is the effect of small-scale hydroelectric power plants on bryophytes growing on lying decaying wood? A population study of Scapania apiculata. Blyttia 2018, 76, 127–133. [Google Scholar]
- Hofmeister, J.; Hosek, J.; Brabec, M.; Dvorak, D.; Beran, M.; Deckerova, H.; Burel, J.; Kriz, M.; Borovicka, J.; Bet’ak, J.; et al. Value of old forest attributes related to cryptogam species richness in temperate forests: A quantitative assessment. Ecol. Indic. 2015, 57, 497–504. [Google Scholar] [CrossRef]
- Sabatini, F.M.; Burrascano, S.; Keeton, W.S.; Levers, C.; Lindner, M.; Potzschner, F.; Verkerk, P.J.; Bauhus, J.; Buchwald, E.; Chaskovsky, O.; et al. Where are Europe’s last primary forests? Divers. Distrib. 2018, 24, 1426–1439. [Google Scholar] [CrossRef]
- Lassauce, A.; Paillet, Y.; Jactel, H.; Bouget, C. Deadwood as a surrogate for forest biodiversity: Meta-analysis of correlations between deadwood volume and species richness of saproxylic organisms. Ecol. Indic. 2011, 11, 1027–1039. [Google Scholar] [CrossRef]
- Paillet, Y.; Berges, L.; Hjalten, J.; Odor, P.; Avon, C.; Bernhardt-Romermann, M.; Bijlsma, R.J.; De Bruyn, L.; Fuhr, M.; Grandin, U.; et al. Biodiversity Differences between Managed and Unmanaged Forests: Meta-Analysis of Species Richness in Europe. Conserv. Biol. 2010, 24, 101–112. [Google Scholar] [CrossRef] [PubMed]
- Müller, J.; Bütler, R. A review of habitat thresholds for dead wood: A baseline for management recommendations in European forests. Eur. J. For. Res. 2010, 129, 981–992. [Google Scholar] [CrossRef]
- Moning, C.; Held, M.; Moshammer, R.; Muller, J. Okologische Schwellenwerte in Bergmischwaldern als Basis fur forstliche Naturschutzkonzepte. Naturschutz Und Landschaftsplanung 2010, 42, 165–170. [Google Scholar]
- Longton, R.E.; Schuster, R.M. Reproductive biology. In New Manual of Bryology; Schuster, R.M., Ed.; Hattori Botanical Laboratory: Nichinan, Japan, 1983. [Google Scholar]
- Kimmerer, R.W. Reproductive ecology of Tetraphis pellucida 2—Differential success of sexual and asexual propagules. Bryologist 1991, 94, 284–288. [Google Scholar] [CrossRef]
- Niklas, K.J.; Cobb, E.D. The evolutionary ecology (evo-eco) of plant asexual reproduction. Evol. Ecol. 2017, 31, 317–332. [Google Scholar] [CrossRef]
- Hanski, I. Single-species metapopulation dynamics—Concepts, models and observations. Biol. J. Linn. Soc. 1991, 42, 17–38. [Google Scholar] [CrossRef]
- Söderström, L.; Herben, T. Dynamics of Bryophyte Metapopulations. In Population Studies; Longton, R.E., Ed.; Cramer: Stuttgart, Germany, 1997; pp. 205–240. [Google Scholar]
- Laaka-Lindberg, S.; Korpelainen, H.; Pohjamo, M. Dispersal of asexual propagules in bryophytes. J. Hattori Bot. Lab. 2003, 93, 319–330. [Google Scholar]
- Löbel, S.; Rydin, H. Dispersal and life history strategies in epiphyte metacommunities: Alternative solutions to survival in patchy, dynamic landscapes. Oecologia 2009, 161, 569–579. [Google Scholar] [CrossRef]
- Chmielewski, M.W.; Eppley, S.M. Forest Passerines as a Novel Dispersal Vector of Viable Bryophyte Propagules. Proc. R. Soc. B Biol. Sci. 2019, 286, 20182253. [Google Scholar] [CrossRef]
- Kropik, M.; Zechmeister, H.G.; Fuxjager, C. The Fate of Bryophyte Sporophytes-Phenology and Vectors of Buxbaumia viridis in the Kalkalpen National Park, Austria. Plants 2020, 9, 1320. [Google Scholar] [CrossRef]
- Zechmeister, H.G.; Köckinger, H.; Kropik, M. Erfassung ausgewählter Moose im Anhang II der FFH-Richtlinie in der Steiermark. Endbericht. 2019. Available online: https://www.verwaltung.steiermark.at/cms/dokumente/12104065_110669261/7be7d067/FFH_Moose_Steiermark_2021.pdf (accessed on 28 June 2023).
- Zechmeister, H.G.; Kropik, M. Erfassung der FFH-Moose Mannia Triandra und Scapania Carinthiaca im Nationalpark Gesause. Endbericht. 2022. Available online: https://www.parcs.at/npg/pdf_public/2022/51257_20220919_115159_Endbericht_FFH-Moose_Zechmeister_2022_inkl.Metadaten_frParcs.pdf (accessed on 28 June 2023).
- Zechmeister, H.G.; Kropik, M.; Schröck, C. Erfassung der Moose im Anhang II Der FFH-Richtlinie im Nationalpark Kalkalpen. 2017. Available online: https://www.kalkalpen.at/de/Erfassung_der_FFH_Moose_im_Nationalpark_Kalkalpen (accessed on 4 September 2020).
- Kropik, M. Bryophytes on Deadwood—Drivers of Diversity and Distribution. Ph.D. Thesis, University of Natural Resources and Life Sciences, Vienna, Austria, 2021. [Google Scholar]
- Köckinger, H.; Schröck, C.; Krisai, R.; Zechmeister, H.G. Checkliste der Moose Österreichs. 2020. Available online: http://cvl.univie.ac.at/projekte/moose (accessed on 13 May 2023).
- Damsholdt, K. Illustrated Flora of Nordic Liverworts and Hornworts; Nord Bryol Soc: Lund, Sweden, 2002. [Google Scholar]
- Paton, J.A. The Liverwort Flora of the British Isles; Harley Books: Colchester, UK, 1999. [Google Scholar]
- Buch, H. Die Scapanien Nordeuropas und Sibiriens. II. Systematischer Teil. Comment. Biol. Soc. Sci. Fenn. 1928, 3, 1–177. [Google Scholar]
- Crandall-Stotler, B.; Stotler, R.E.; Long, D.G. Phylogeny and classification of the Marchantiophyta. Edinb. J. Bot. 2009, 66, 155–198. [Google Scholar] [CrossRef]
- Potemkin, A.D. An analysis of the practical taxonomy of some critical northern species of Scapania (Scapaniaceae, Hepaticae). Bryologist 1999, 102, 32–38. [Google Scholar] [CrossRef]
- Hiebl, J.; Frei, C. Daily temperature grids for Austria since 1961—Concept, creation and applicability. Theor. Appl. Climatol. 2016, 124, 161–178. [Google Scholar] [CrossRef]
- Hiebl, J.; Frei, C. Daily precipitation grids for Austria since 1961—Development and evaluation of a spatial dataset for hydroclimatic monitoring and modelling. Theor. Appl. Climatol. 2018, 132, 327–345. [Google Scholar] [CrossRef]
- Proctor, M.C.F.; Tuba, Z. Poikilohydry and homoihydry: Antithesis or spectrum of possibilities? New Phytol. 2002, 156, 327–349. [Google Scholar] [CrossRef]
- He, X.L.; He, K.S.; Hyvonen, J. Will bryophytes survive in a warming world? Perspect. Plant Ecol. Evol. Syst. 2016, 19, 49–60. [Google Scholar] [CrossRef]
- Wood, A.J. Invited essay: New frontiers in bryology and lichenology—The nature and distribution of vegetative desiccation-tolerance in hornworts, liverworts and mosses. Bryologist 2007, 110, 163–177. [Google Scholar] [CrossRef]
- Düggelin, C.; Kellner, M. Schweizerisches Forstinventar. Feldaufnahme-Anleitung 2017. 2017. Available online: https://www.dora.lib4ri.ch/wsl/islandora/object/wsl:16234 (accessed on 13 May 2023).
- Lachat, T.; Brang, P.; Bolliger, M.; Bollmann, K.; Brändli, U.; Bütler, R.; Herrmann, S.; Schneider, O.; Wermelinger, B. Totholz im Wald. Entstehung, Bedeutung und Förderung. Merkbl. FÜR Die Prax. 2019, 51, 1–12. [Google Scholar]
- R: A Language and Environment for Statistical Computing; R Foundation for Statistical Computing: Vienna, Austria, 2023.
- Schlüsselmayr, G. Soziologische Moosflora des südöstlichen Oberösterreich. Stapfia 2005, 84, 1–695. [Google Scholar]
- Amann, G.; Köckinger, H.; Reimann, M.; Schröck, C.; Zechmeister, H.G. Bryofloristische Ergebnisse der Mooskartierung in Vorarlberg. Stapfia 2013, 99, 87–140. [Google Scholar]








| S. apiculata | S. scapanioides | S. carinthiaca | |
|---|---|---|---|
| Cell corners | Strikingly triangular thickened | Not thickened | Not thickened |
| Gemmae | Unicellular reddish to black | Bicellular brown | Unicellular brown |
| Carinthia | Lower Austria | Upper Austria | Vorarlberg | Austria | Europe | |
|---|---|---|---|---|---|---|
| S. apiculata | EN | CR | EN | - | VU | NT |
| S. carinthiaca | VU | CR | EN | CR | ° | EN |
| S. scapanioides | EN | - | EN | - | VU | CR |
Disclaimer/Publisher’s Note: The statements, opinions and data contained in all publications are solely those of the individual author(s) and contributor(s) and not of MDPI and/or the editor(s). MDPI and/or the editor(s) disclaim responsibility for any injury to people or property resulting from any ideas, methods, instructions or products referred to in the content. |
© 2023 by the authors. Licensee MDPI, Basel, Switzerland. This article is an open access article distributed under the terms and conditions of the Creative Commons Attribution (CC BY) license (https://creativecommons.org/licenses/by/4.0/).
Share and Cite
Kropik, M.; Zechmeister, H.G. New Finds and Ecology of the Rare Liverworts Scapania apiculata, Scapania carinthiaca, and Scapania scapanioides in Austria. Plants 2023, 12, 2753. https://doi.org/10.3390/plants12152753
Kropik M, Zechmeister HG. New Finds and Ecology of the Rare Liverworts Scapania apiculata, Scapania carinthiaca, and Scapania scapanioides in Austria. Plants. 2023; 12(15):2753. https://doi.org/10.3390/plants12152753
Chicago/Turabian StyleKropik, Michaela, and Harald G. Zechmeister. 2023. "New Finds and Ecology of the Rare Liverworts Scapania apiculata, Scapania carinthiaca, and Scapania scapanioides in Austria" Plants 12, no. 15: 2753. https://doi.org/10.3390/plants12152753
APA StyleKropik, M., & Zechmeister, H. G. (2023). New Finds and Ecology of the Rare Liverworts Scapania apiculata, Scapania carinthiaca, and Scapania scapanioides in Austria. Plants, 12(15), 2753. https://doi.org/10.3390/plants12152753

