Abstract
The community composition of epiphytic macrolichens from two tree species (Araucaria araucana and Nothofagus antarctica) was conducted in temperate forests in the Conguillío National Park, Chile. The composition of lichen biota is influenced by phorophyte species, bark pH, and microclimatic conditions. A total of 31 species of macrolichens were found on A. araucana and N. antarctica. Most of the species showed phorophyte preference, with nine being exclusive to A. araucana and 10 to N. antarctica. The detrended correspondence analysis (DCA) indicated the formation of three communities: one representing macrolichens growing on N. antarctica and two others growing chiefly on A. araucana, either with north or south exposure. More work is needed to study the lichen biota of the forests of the Chilean Andes, which are under multiple threats, including clearing and climate change. In order to counteract such risks to native forests and to the biodiversity of the associated epiphytic lichens, conservation plans should be established that consider the factors that influence the composition of the lichen community.
1. Introduction
Lichens are symbiotic and poikilohydric organisms [1,2] and are among the most sensitive organisms to environmental change [3,4,5,6,7]. Many studies on epiphytic lichens show a close phorophyte-lichen relationship [8,9,10]. The diversity and distribution of epiphytic lichens respond to different factors, such as the nature of the cortex of the phorophytes [11,12,13], the age of the phorophyte, or the architecture of the tree canopy [14,15,16,17,18,19]. As they contribute to biological diversity and provide important ecosystem services to forests, epiphytic lichens are an important biological group in these ecosystems [20,21,22,23,24].
In addition, the microclimatic variation from the upper part of the canopy to the interior of the forest involves the intensity and direction of light received, the uptake of humidity from the air, and air temperature, which affects their physiology and determines the distribution of epiphytes [25,26,27]. Thus, for example, in the same tree, it is possible to find variable richness and coverage values for epiphytic lichens depending on north-south exposure, as observed by [28] regarding Nothofagus pumilio in Isla Navarino (Chile). On the other hand, rain interception by hair lichens growing in the forest canopy could be crucial for the water cycle in rainforests [29]. Anthropic intervention and forest fragmentation internally homogenize forest ecosystems, resulting in less structural heterogeneity [30], with consequences for the diversity of epiphytic lichen communities [31,32]. This may cause local and regional extinctions, including the loss of species that is still unknown to science [33,34,35,36].
In south-central Chile and particularly in the Araucanía region, few studies on the diversity and the structure of lichens communities have been carried out [24,37]. The name of the region stems from the Araucaria araucana tree, a relict conifer of the temperate rain forests of South America [38,39,40]. Approximately 75% of the total population of A. araucana is found in Chile, mainly in the Araucanía region. Another tree species native to Chile and Argentina is the deciduous Nothofagus antarctica, which has the widest ecological range within the genus Nothofagus in Chile [41]. Araucaria araucana is classified as Endangered [42] and N. antarctica as Least Concern [43], in both cases mainly due to anthropogenic disturbances [40,44]. Thus, the present study aimed to characterize the diversity and composition of macrolichens on these two phorophyte species of the native forest of the Andean zone and to assess potential phorophyte preferences and their impact on conservation measures.
2. Results
2.1. Diversity of Macrolichens
A total of 31 species of macrolichens were found for both phorophyte species (Table 1). The families with the highest number of species recorded were Parmeliaceae, with 16 species (52%), and Peltigeraceae (subfamily Lobarioideae), with seven species (23%). The genera Pseudocyphellaria, Parmelia, and Protousnea had five, four, and three species, respectively. We found 21 species of macrolichens on Araucaria araucana and 22 on Nothofagus antarctica. According to the Shannon-Wiener diversity index (H′), A. araucana showed higher lichen diversity values than N. antarctica (Mann–Whitney test: U = 2107; z-score = 2.649; p = 0.008). We did not find significant differences relative to the vertical distribution of the subsamples (A. araucana: F = 0.09; gl = 2; p = 0.917; N. antarctica: F = 0.12; gl = 2; p = 0.887).
Table 1.
List of lichens registered in Araucaria araucana and Nothofagus antarctica in Conguillío National Park, Chile. The table shows growth form, family, main photobiont type, and geographical distribution according to the bibliography of the species sampled in this work.
Foliose lichens were dominant in both tree species in terms of the number of species (62% in A. araucana; 60% in N. antarctica). The main photobiont type was green algae on both tree species, representing 74% of the species. Specifically, A. araucana photobiont green-type algae represent 86% of the species and 64% of the species on N. antarctica. Regarding the inferred geographical distribution of the identified lichens, both phorophytes endemic species have a higher representation than other distribution types, with 38.1% in A. araucana and 36.4% in N. antarctica (Table 1).
The coverage percentage of the macrolichens studied did not show differences with respect to the phorophyte (t = 0.00179; p = 0.998). Platismatia glauca and Protousnea poeppigii presented higher coverage (14.1–19.2%) on A. araucana. Pseudocyphellaria coriifolia (38.6%) and Pseudocyphellaria citrina (12.7%) presented higher coverage on N. antarctica. Nine and 10 species were exclusive to A. araucana and N. antarctica, respectively, and 12 species were shared by the two phorophyte species (Table 2).
Table 2.
Mean values (±standard error) of coverage percentage data of the macrolichens on the two studied phorophytes and for the two exposure conditions (separately) in A. araucana. Asterisks (*) indicate significant differences between the percentages of the nine shared species (n = 75).
2.2. Assembly of Species
The DCA (Figure 1) showed three groups of species: one group, including Pseudocyphellaria coriifolia, P. citrina, Nephroma cellulosum, and Podostictina scabrosa, with higher coverage for Nothofagus antarctica (group 1 in Figure 1), and two groups of species with higher coverage for Araucaria araucana: one with higher coverage for north exposure, like Protousnea poeppigii, Platismatia glauca, and Coelopogon epiphorellus (group 2 in Figure 1), and the other with higher coverage for south exposure, like Nephroma antarcticum, Podostictina flavicans, Parmelia saxatilis, and Pseudocyphellaria granulata (group 3 in Figure 1).
Figure 1.
Detrended correspondence analysis (DCA) figure. Lichen surveys are plotted on two axes forming three groups: group 1: species from Nothofagus antarctica; group 2: species for north exposure on A. araucana; group 3: species for south exposure on A. araucaria. Text in blue are the species names.
2.3. Change in Lichens Community in North vs. South Exposure on Araucaria araucana
The south (S) exposure on A. araucana showed a higher number of species (17) reaching a higher coverage percentage (75%), and the dominant biotype was foliose, while for north (N) exposure, the number of species (14) and coverage percentage (59%) was lower, and the dominant biotype was fruticose. Ten species were present in both exposures (Table 2). Some of these showed higher coverage percentage for S exposure: Nephroma antarcticum (Mann–Whitney test: U = 398; z-score = 3.626; p < 0.001), Parmelia saxatilis (U = 403; z-score = 3.65; p < 0.001), Platismatia glauca (U = 409; z-score = 3.00; p < 0.001), and Pseudocyphellaria granulata (U = 514; z-score = 2.27; p = 0.023). On the other hand, Protousnea poeppigii (U = 211; z-score = 5.313; p < 0.001) and Coelopogon epiphorellus (U = 175; z-score = 5.742; p < 0.001) presented a higher coverage percentage for N exposure.
2.4. Microclimate
The microclimatic parameters (mean temperature and humidity) at the different sites during the research period showed significant differences in the southern and northern exposures of A. araucana (p < 0.05; Table 3).
Table 3.
Annual mean temperature and relative humidity from microclimatic sensors.
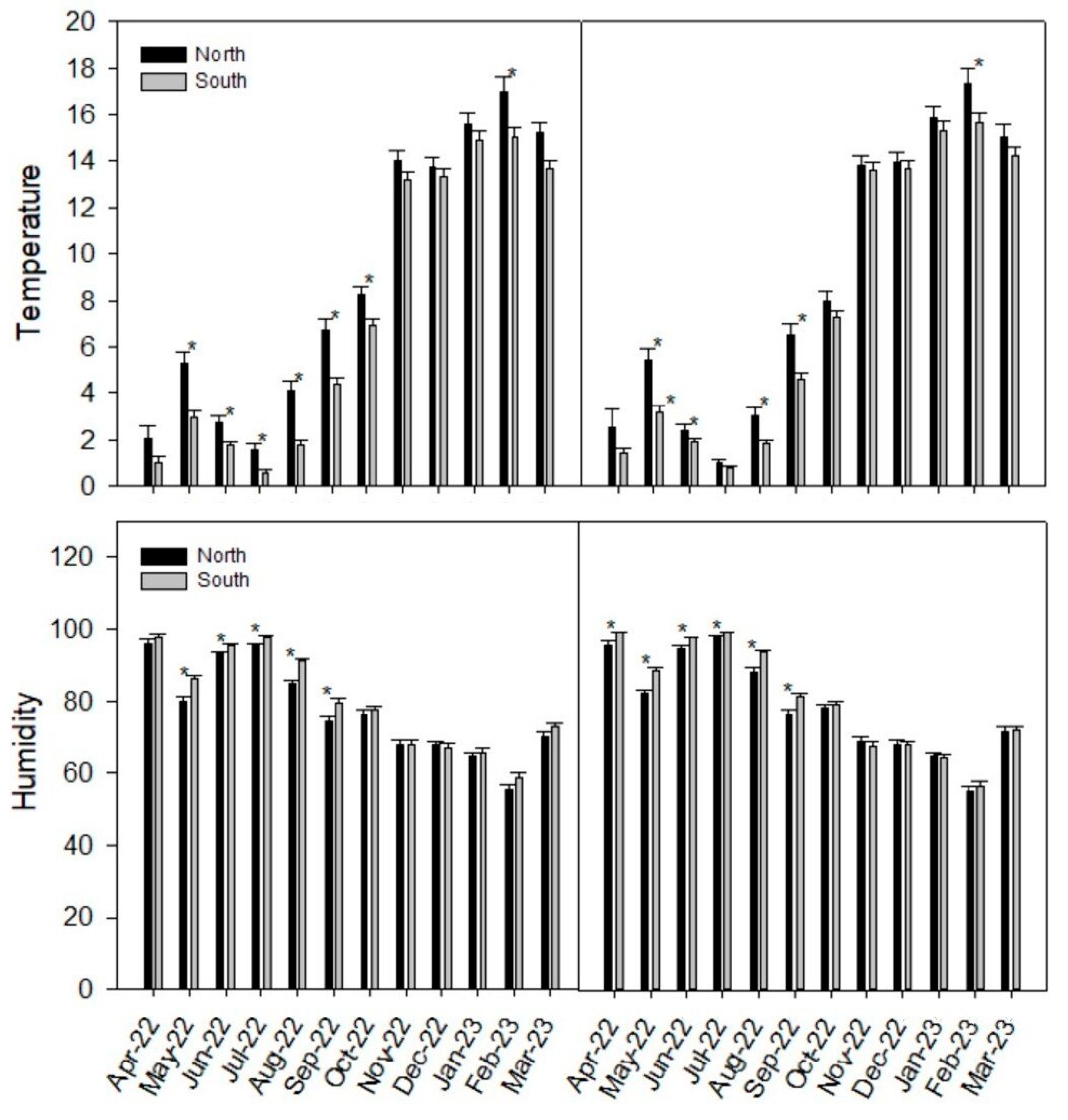
The higher differences in average temperature and monthly relative humidity are detailed in Figure 2. Significant differences were observed mainly in the southern, autumn-winter months and also in February for the average temperature. The maximal temperatures (Tmax) were significantly different, and no significant differences were found between the minimal temperatures (Tmin), maximal H (%), and minimal humidity.
Figure 2.
Monthly temperature and humidity values. Temperature (upper case) and relative humidity (lower case) were measured at two sites (left and right panels) with four data loggers (n = 2). Significant differences are marked by an asterisk.
2.5. Bark pH
The mean value and statistical error of bark pH were 4.62 ± 0.03 in A. araucana and 5.79 ± 0.04 in N. antarctica. These results showed statistical differences between the two tree species (p < 0.001; t = 21.821) and more acidic bark in A. araucana than in N. antarctica.
3. Discussion
This study characterized three communities of macrolichens in a mixed forest of Araucaria araucana and N. antarctica. More than a half of the species were exclusive to one of the phorophytes species; however, the richness of the species was similar between both phorophytes. The sampling was restricted to tree trunks; therefore, the number of species may be an underestimate and the percentages of exclusive/shared species may have differed if the tree branches were sampled as well.
The lichen community found on Nothofagus antarctica (Group 1) is characterized by a higher abundance of cyanolichens, such as Pseudocyphellaria coriifolia, Pseudocyphellaria citrina, Nephroma cellulosum, Podostictina scabrosa, coinciding with previous works that also suggest that deciduous trees are favorable for the establishment of cyanolichens [46,47,48]. The majority of cyanolichens are usually found in environments with low light intensities, high humidity, and requiring water in liquid form to carry out photosynthesis [49,50]. According to Kussinen [51] and Hedenâs and Ericson [52], the cyanolichens can be used as indicators of habitat stability; therefore, it could be that the higher frequency of the cyanolichens is an indicator of better habitat conservation and forest health.
We found a higher degree of richness for the macrolichen species in the south-facing trunks, showing that the higher temperatures and humidity from a previous study in a Nothofagus pumilio forest on Navarino Island (the Magellan and Chilean Antarctic Region) [28] coincide with our findings. The lichen communities found on A. araucana are dominated by the fruticose species Protousnea poeppigii for N exposure and by foliose species Nephroma antarcticum and Podostictina flavicans for S exposure. The differences between the S and N exposures in A. araucana was attributed to the microclimatic variables evaluated (temperature and humidity), which coincide with previous studies that have shown how these variables determine the structure of lichen communities [15,17,53].
On the other hand, the N exposure of A. araucana showed more fruticose lichens, a result which is in accordance with Woda et al. [54], who found abundant fruticose lichens in young Fitzroyetum forests in the temperate rainforests of southern Chile’s coastal range Cordillera Pelada, suggesting that fruticose lichens may prefer microhabitats with greater exposure to light, and also showing a higher abundance in stands with higher luminosity. Other abiotic conditions are important to lichens in cold and mountainous habitats, such as hoarfrost and snow, which can negatively affect lichens [55] more in the south than in the north, which receives more sunlight and reaches higher temperatures (Figure 2). These factors affect fruiting lichens more; because of their shape, they accumulate more frost and snow and can become detached or break.
The differences showed in the DCA analysis are primarily attributable to the phorophyte species and, secondly, to exposure. The differences in lichen species composition, depending on phorophyte and phorophyte preferences, were also reported in other studies with Populus tremula in Sweden [52], oak forests in Costa Rica [56], alpine spruce forests [57], and also one work in which the different tree species in Conguillío National Park were analyzed [24]. We can infer that some species, such as Protousnea fibrillata, Protousnea magellanica, Podostictina flavicans, Pseudocyphellaria faveolata, or P. glabra, prefer rough bark and the higher radiation typical of A. araucana forests, while other species, such as Collema glaucophthalmum, Pannaria farinosa, Pseudocyphellaria hirsuta, or Podostictina scabrosa, have a higher affinity with less compact bark and greater protection through the canopy of N. antarctica. This suggests that the microenvironment is associated with bark trees, as the physical and chemical properties of the phorophyte surface may determine the composition of lichen species on A. araucana and N. antarctica. One of these factors could be the pH of the tree bark, which we measured as being different between A. araucana and N. antarctica by more than one pH point, and this has been found to be a determinant in studies in Atlantic Brazilian rainforests, premontane Colombian forests [9], and even in the Nothofagus trees from Central Chile [13]. Both phorophyte species studied here have rough bark, but the bark of A. araucana is much thicker, reaching up to 20 cm [40], showing higher grooves between the bark plaques and allowing for specialized microenvironments.
This work represents a contribution in terms of a contribution to mitigating the scarcity of knowledge on lichens and other epiphytes, which are of great importance to the conservation of biodiversity in Chile [58,59,60,61,62,63]. It is necessary to better understand the hidden diversity of epiphytic lichens to assess the real diversity of the forests of Chile, as well as to have well-founded data on the structure and function of these communities. Therefore, it is necessary to carry out more integrated studies of the diversity of epiphytic lichens in order to conserve the maximum diversity of species through the development of management plans in natural forested areas.
4. Materials and Methods
4.1. Study Area
The lichen biota was studied in a mixed stand of Araucaria araucana (Mol.) K. Koch. and Nothofagus antarctica (G. Forst.) Oerst. in the Conguillío National Park (38°39′05.62″ S and 71°38′51.68″ W), located in the pre-mountain range of Los Andes in the province of Cautín, Araucanía Region, Chile (Figure 3). Araucaria araucana is a native conifer that is native to Chile and Argentina, with a very restricted distribution [40,64] and its range being affected by climate change in the Araucanía Region [65]. The climate of the study area is temperate-cold, with marked contrasts between prolonged winters with low temperatures and dry summers with high temperatures. The average annual temperature is 8.6 °C, with an average of 15.1 °C in January (warmest month) and 1.9 °C in July (coldest month) [66]. The average annual precipitation ranges from 2500 to 3000 mm [67], even though much of the precipitation is in the form of snow (from May to September).
Figure 3.
Mixed forest of A. araucana (righ upper side) and N. antarctica (left and botton side) at Coguillío National Park. In the image we can appreciate snow at summit of the Llaima.
4.2. Sampling Methodology
Five 30 × 30 m plots, each 150 m apart, were located in the stands of A. araucana-N. antarctica. Within each plot, we selected five old trees per phorophyte species, for a total of 50 trees. For A. araucana, we sampled trees with a trunk perimeter no lower than 180 cm, and for N. antarctica, we sampled trees with a perimeter of at least 40 cm for the trunk diameter. The richness, coverage, and vertical distribution of the lichen communities were evaluated by applying 30 × 20 cm quadrats directly to the trunk at 20, 80, and 150 cm heights, respectively, thus obtaining 75 subsamples for each phorophyte species. A total of 38 subsamples were conducted on the S side and 37 subsamples on the N side of the trees. We evaluated the assemblage of macrolichens present in the two different phorophyte species.
4.3. Taxonomic Determination
The identification of the lichen species was conducted using specific literature, including Galloway [68,69,70], White and James [71], Stenroos [72], Wedin [73], Bjerke et al. [74,75], Calvelo et al. [76], Boluda et al. [33], and Passo et al. [77]. The material was observed under a stereomicroscope (Leica Wild M8) and a microscope (Nikon Eclipse 80i). The identification of the species included chemical tests. The reagents used were K (10% saturated KOH solution), C (5% aqueous sodium hypochlorite solution), and KC (application of K followed by C). The vouchers of representative individuals were deposited in the MAF-Lich herbarium of the Faculty of Pharmacy in Madrid (number: MAF25054-MAF25103).
4.4. Biogeographic Distribution Categories
Biogeographic distribution categories are indicated according to a simplification of [45]. We used five categories: Endemic (present only in southern South America); Austral (species with Paleoaustral distribution: lichens are thought to represent primitive Gondwanan groups. These would date from the Cretaceous or earlier and Neoaustral distribution: lichens are taxa dispersed after the fragmentation of Gondwanaland, mainly between post-Oligocene and the present); Cosmopolitan (species with worldwide distribution); Tropical (includes Neotropical species and tropical species with a wider distribution); South American-African.
4.5. Microclimate Evaluation
Microclimatic data were obtained for two different sites and were recorded for 2 h each over 333 days from 25 April 2022 to 24 March 2023 using four data loggers (iButton® temperature logger model DS1922). Data Loggers were placed directly on the trunk of Araucaria araucana (n = 2). Each of them was placed on the southern and northern exposure of this tree species.
4.6. Measurement of Bark pH
Five trees of each species (A. araucana and N. antarctica) were sampled, and three replicates were taken from each tree. The 10 × 10 cm bark samples were air-dried and stored in paper bags until analysis in the laboratory. For the determination of bark surface pH, the methodology of [13], which is based on that of [78], was used. For each sample, we crushed 2 g of bark and left it to soak in 30 mL of distilled water, adjusting the pH to 7.0. After 24 h, the pH was measured with an Elmetron CX 701 pH meter.
4.7. Statistical Analyses
For richness, coverage, and vertical distribution, a community diversity analysis of the lichen was undertaken using the program PAST 4,11. For each subsample studied, species richness was registered, and the Shannon–Wiener diversity index (H′) was calculated according to the formula:
where pi = relative proportion (coverage) of the i species.
A detrended correspondence analysis (DCA) was performed in order to evaluate the influence of the habitats on the distribution of the species according to their abundance. This analysis allows for spatially ordering species according to the habitats studied, excluding species with coverage below 1%.
The vertical distribution of the lichen species for each phorophyte species (based on relative abundance per subsample) was analyzed using a two-way ANOVA.
Author Contributions
Conceptualization, J.V. and D.A.; methodology, J.V.; formal analysis, J.V.; data curation, L.G.S.; writing—original draft preparation and writing, J.V. and D.A.; writing—review and editing, J.V., D.A. and L.G.S.; funding acquisition, J.V. All authors have read and agreed to the published version of the manuscript.
Funding
The study was funded by ANID under the FONDECYT postdoctoral project N° 3210256 to Johana Villagra.
Data Availability Statement
The vouchers of lichen samples were deposited in MAF-Lich herbarium of the Faculty of Pharmacy in Madrid (numbers MAF25054-MAF25103).
Acknowledgments
The authors thank Robert Lücking for his helpful comments. Thanks are due to Corporación Nacional Forestal for the permission to collect specimens. The authors thank Camilo Garcia Sanhueza for their technical support regarding pH measurement.
Conflicts of Interest
The authors declare no conflict of interest.
References
- Green, T.G.A.; Sancho, L.G.; Pintado, A. Ecophysiology of Desiccation/Rehydration Cycles in Mosses and Lichens. In Plant Desiccation Tolerance; Lüttge, U., Beck, E., Bartels, D., Eds.; Ecological Studies; Springer: Berlin, Heidelberg, 2011; pp. 89–120. ISBN 978-3-642-19106-0. [Google Scholar]
- Nash, I.; Thomas, H. Lichen Biology, 2nd ed.; Cambridge University Press: Cambridge, UK, 2008; ISBN 978-0-521-87162-4. [Google Scholar]
- Łubek, A.; Kukwa, M.; Jaroszewicz, B.; Czortek, P. Shifts in Lichen Species and Functional Diversity in a Primeval Forest Ecosystem as a Response to Environmental Changes. Forests 2021, 12, 686. [Google Scholar] [CrossRef]
- Pinho, P.; Bergamini, A.; Carvalho, P.; Branquinho, C.; Stofer, S.; Scheidegger, C.; Máguas, C. Lichen Functional Groups as Ecological Indicators of the Effects of Land-Use in Mediterranean Ecosystems. Ecol. Indic. 2012, 15, 36–42. [Google Scholar] [CrossRef]
- Ellis, C.J. A Risk-Based Model of Climate Change Threat: Hazard, Exposure, and Vulnerability in the Ecology of Lichen Epiphytes. Botany 2013, 91, 1–11. [Google Scholar] [CrossRef]
- Branquinho, C.; Matos, P.; Pinho, P. Lichens as Ecological Indicators to Track Atmospheric Changes: Future Challenges. In Indicators and Surrogates of Biodiversity and Environmental Change; Lindenmayer, D., Barton, P., Pierson, J., Eds.; CRC Press: London, UK, 2015; pp. 77–87. [Google Scholar]
- Saiz, H.; Dainese, M.; Chiarucci, A.; Nascimbene, J. Networks of Epiphytic Lichens and Host Trees along Elevation Gradients: Climate Change Implications in Mountain Ranges. J. Ecol. 2021, 109, 1122–1132. [Google Scholar] [CrossRef]
- Benítez, Á.; Aragón, G.; Prieto, M. Lichen Diversity on Tree Trunks in Tropical Dry Forests Is Highly Influenced by Host Tree Traits. Biodivers. Conserv. 2019, 28, 2909–2929. [Google Scholar] [CrossRef]
- Soto Medina, E.; Lücking, R.; Bolaños Rojas, A. Especificidad de forófito y preferencias microambientales de los líquenes cortícolas en cinco forófitos del bosque premontano de finca Zíngara, Cali, Colombia. Revista de Biología Tropical 2012, 60, 843–856. [Google Scholar] [CrossRef]
- Rosabal, D.; Burgaz, A.R.; Reyes, O.J. Substrate Preferences and Phorophyte Specificity of Corticolous Lichens on Five Tree Species of the Montane Rainforest of Gran Piedra, Santiago de Cuba. Bryologist 2013, 116, 113–121. [Google Scholar] [CrossRef]
- Calviño-Cancela, M.; Neumann, M.; López de Silanés, M.E. Contrasting Patterns of Lichen Abundance and Diversity in Eucalyptus Globulus and Pinus Pinaster Plantations with Tree Age. For. Ecol. Manag. 2020, 462, 117994. [Google Scholar] [CrossRef]
- Rambo, T.R. Structure and Composition of Corticolous Epiphyte Communities in a Sierra Nevada Old-Growth Mixed-Conifer Forest. Bryologist 2010, 113, 55–71. [Google Scholar] [CrossRef]
- Pereira, I.; Müller, F.; Moya, M. Influence of Nothofagus Bark pH on the Lichen and Bryophytes Richness, Central Chile. Gayana Botánica 2014, 71, 120–130. [Google Scholar] [CrossRef]
- Gauslaa, Y.; Goward, T.; Pypker, T. Canopy Settings Shape Elemental Composition of the Epiphytic Lichen Lobaria pulmonaria in Unmanaged Conifer Forests. Ecol. Indic. 2020, 113, 106294. [Google Scholar] [CrossRef]
- Belinchón, R.; Martínez, I.; Otálora, M.A.G.; Aragón, G.; Dimas, J.; Escudero, A. Fragment Quality and Matrix Affect Epiphytic Performance in a Mediterranean Forest Landscape. Am. J. Bot. 2009, 96, 1974–1982. [Google Scholar] [CrossRef] [PubMed]
- Nascimbene, J.; Marini, L.; Motta, R.; Nimis, P.L. Influence of Tree Age, Tree Size and Crown Structure on Lichen Communities in Mature Alpine Spruce Forests. Biodivers. Conserv. 2009, 18, 1509–1522. [Google Scholar] [CrossRef]
- Aragón, G.; Martínez, I.; Izquierdo, P.; Belinchón, R.; Escudero, A. Effects of Forest Management on Epiphytic Lichen Diversity in Mediterranean Forests. Appl. Veg. Sci. 2010, 13, 183–194. [Google Scholar] [CrossRef]
- Arsenault, A.; Goward, T. Macrolichen Diversity as an Indicator of Stand Age and Ecosystem Resilience along a Precipitation Gradient in Humid Forests of Inland British Columbia, Canada. Ecol. Indic. 2016, 69, 730–738. [Google Scholar] [CrossRef]
- Bäcklund, S.; Jönsson, M.; Strengbom, J.; Frisch, A.; Thor, G. A Pine Is a Pine and a Spruce Is a Spruce—The Effect of Tree Species and Stand Age on Epiphytic Lichen Communities. PLOS ONE 2016, 11, e0147004. [Google Scholar] [CrossRef]
- Asplund, J.; Wardle, D.A. How Lichens Impact on Terrestrial Community and Ecosystem Properties. Biol. Rev. 2017, 92, 1720–1738. [Google Scholar] [CrossRef]
- Kuusinen, M.; Siitonen, J. Epiphytic Lichen Diversity in Old-Growth and Managed Picea abies Stands in Southern Finland. J. Veg. Sci. 1998, 9, 283–292. [Google Scholar] [CrossRef]
- Pharo, E.J.; Beattie, A.J.; Binns, D. Vascular Plant Diversity as a Surrogate for Bryophyte and Lichen Diversity. Conserv. Biol. 1999, 13, 282–292. [Google Scholar] [CrossRef]
- Quilhot, W.; Cuellar, M.; Díaz, R.; Riquelme, F.; Rubio, C. Estudio Preliminar de La Flora Liquénica de Isla Mocha, Sur de Chile. Gayana. Botánica 2010, 67, 206–212. [Google Scholar] [CrossRef]
- Rubio, C.; Saavedra, M.; Cuéllar, M.; Díaz, R.; Quilhot, W. Epiphytic Lichens of Conguillío National Park, Soutern Chile. Gayana Botánica 2013, 70, 66–81. [Google Scholar] [CrossRef]
- Li, S.; Liu, W.-Y.; Li, D.-W. Bole Epiphytic Lichens as Potential Indicators of Environmental Change in Subtropical Forest Ecosystems in Southwest China. Ecol. Indic. 2013, 29, 93–104. [Google Scholar] [CrossRef]
- Barkman, J.J. Phytosociology and Ecology of Cryptogamic Epiphytes (Including a Taxonomic Survey and Description of Their Vegetation Units in Europe); Van Gorcum & Comp. N.V.: Assen, The Netherlands, 1969; 628p. [Google Scholar]
- Meinzer, F.C.; Goldstein, G. Scaling up from Leaves to Whole Plants and Canopies for Photosynthetic Gas Exchange. In Tropical Forest Plant Ecophysiology; Mulkey, S.S., Chazdon, R.L., Smith, A.P., Eds.; Springer: Boston, MA, USA, 1996; pp. 114–138. ISBN 978-1-4613-1163-8. [Google Scholar]
- Bustamante, R.; Serey, I.; Guzmán, G. Distribución y Abundancia de Epífitos En Bosques de Lenga (Nothofagus pumilio), Isla Navarino, Región de Magallanes y de La Antártica Chilena. Ser. Científica—Inst. Antártico Chil. 1989, 39, 59–67. [Google Scholar]
- Esseen, P.A.; Rönnqvist, M.; Gauslaa, Y.; Coxson, D.S. Externally Held Water—A Key Factor for Hair Lichens in Boreal Forest Canopies. Fungal Ecol. 2017, 30, 29–38. [Google Scholar] [CrossRef]
- Jonsson, B.G.; Jonsell, M. Exploring Potential Biodiversity Indicators in Boreal Forests. Biodivers. Conserv. 1999, 8, 1417–1433. [Google Scholar] [CrossRef]
- Boudreault, C.; Gauthier, S.; Bergeron, Y. Epiphytic Lichens and Bryophytes on Populus tremuloides Along a Chronosequence in the Southwestern Boreal Forest of Québec, Canada. Bryologist 2000, 103, 725–738. [Google Scholar] [CrossRef]
- Gignac, L.D.; Dale, M.R.T. Effects of Fragment Size and Habitat Heterogeneity on Cryptogam Diversity in the Low-Boreal Forest of Western Canada. Bryologist 2005, 108, 50–66. [Google Scholar] [CrossRef]
- Boluda, C.G.; Divakar, P.K.; Hawksworth, D.L.; Villagra, J.; Rico, V.J. Molecular Studies Reveal a New Species of Bryoria in Chile. Lichenologist 2015, 47, 387–394. [Google Scholar] [CrossRef]
- Lücking, R.; Forno, M.D.; Moncada, B.; Coca, L.F.; Vargas-Mendoza, L.Y.; Aptroot, A.; Arias, L.J.; Besal, B.; Bungartz, F.; Cabrera-Amaya, D.M.; et al. Turbo-Taxonomy to Assemble a Megadiverse Lichen Genus: Seventy New Species of Cora (Basidiomycota: Agaricales: Hygrophoraceae), Honouring David Leslie Hawksworth’s Seventieth Birthday. Fungal Divers. 2017, 84, 139–207. [Google Scholar] [CrossRef]
- Lücking, R.; Moncada, B.; McCune, B.; Farkas, E.; Goffinet, B.; Parker, D.; Chaves, J.L.; Lőkös, L.; Nelson, P.R.; Spribille, T.; et al. Pseudocyphellaria Crocata (Ascomycota: Lobariaceae) in the Americas Is Revealed to Be Thirteen Species, and None of Them Is P. Crocata. Bryologist 2017, 120, 441–500. [Google Scholar] [CrossRef]
- Rodriguez-Flakus, P. Palicella lueckingii (Lecanorales, Ascomycota), a new lichen species inhabiting Araucaria from the extratropical South America. Phytotaxa 2018, 344, 24–30. [Google Scholar] [CrossRef]
- Rundel, P.W. Corticolous Lichen Communities of Nothofagus Dombeyi on Volcán Villarica in Southern Chile. Bryologist 1980, 83, 82–84. [Google Scholar] [CrossRef]
- Veblen, T.T. Regeneration Patterns in Araucaria araucana Forests in Chile. J. Biogeogr. 1982, 9, 11–28. [Google Scholar] [CrossRef]
- Bekessy, S.; Lara, A.; González, M.; Cortés, M.; Gallo, L.; Premoli, A.; Newton, A. Variación En Araucaria araucana (Molina) K. Koch (Araucaria o Pehuén). In Variación Intraespecífica en Especies Arbóreas de los Bosques Templados de Chile y Argentina; Donoso, C., Premoli, A., Gallo, L., Ipinza, R., Eds.; Editorial Universitaria: Santiago, Chile, 2004; pp. 215–231. [Google Scholar]
- González, M.E.; Cortes, M.; Izquierdo, F.; Gallo, L.; Echeverria, C.; Bekkesy, S.; Montaldo, P. Araucaria Araucana (Molina) K. Koch.; Araucaria(o), Pehuén, Piñonero, Pino Araucaria, Pino Chileno, Pino Del Neuquén, Monkey Puzzle Tree. In Las Especies Arbóreas de los Bosques Templados de Chile y Argentina: Autoecología, 1st ed.; Donoso, C., Ed.; Marisa Cuneo Ediciones: Valdivia, Chile, 2006; pp. 36–53. [Google Scholar]
- Ramírez, C.; Correa, M.; Figueroa, H.; San Martin, J. Variación del habito y hábitat de Nothofagus antarctica en el centro sur de Chile. Bosque 1985, 6, 55–73. [Google Scholar] [CrossRef]
- Premoli, A.; Quiroga, P.; Gardner, M. Araucaria araucana. IUCN Red List. Threat. Species 2013, e.T31355A2805113. [Google Scholar] [CrossRef]
- Baldwin, H. Red List of Threatened Species: Nothofagus antarctica. IUCN Red List. Threat. Species 2018, e.T96477198A96479935. [Google Scholar] [CrossRef]
- Urrutia-Estrada, J.; Fuentes-Ramírez, A.; Hauenstein, E. Diferencias en la composición florística en bosques de Araucaria-Nothofagus afectados por distintas severidades de fuego. Gayana Botánica 2018, 75, 625–638. [Google Scholar] [CrossRef]
- Galloway, D.J. Lichen Biogeography. In Lichen Biology; Nash, I., Thomas, H., Eds.; Cambridge University Press: Cambridge, UK, 2008; pp. 315–335. ISBN 978-0-521-87162-4. [Google Scholar]
- Goward, T.; Arsenault, A. Cyanolichens and Conifers: Implications for Global Conservation. For. Snow Landsc. Res. 2000, 75, 303–318. [Google Scholar]
- Jüriado, I.; Paal, J.; Liira, J. Epiphytic and Epixylic Lichen Species Diversity in Estonian Natural Forests. Biodivers. Conserv. 2003, 12, 1587–1607. [Google Scholar] [CrossRef]
- Rolstad, J.; Gjerde, I.; Storaunet, K.O.; Rolstad, E. Epiphytic Lichens in Norwegian Coastal Spruce Forest: Historic Logging and Present Forest Structure. Ecol. Appl. 2001, 11, 421–436. [Google Scholar] [CrossRef]
- Hawksworth, D.L. The Variety of Fungal-Algal Symbioses, Their Evolutionary Significance, and the Nature of Lichens. Bot. J. Linn. Soc. 1988, 96, 3–20. [Google Scholar] [CrossRef]
- Rikkinen, J. Cyanolichens: An Evolutionary Overview. In Cyanobacteria in Symbiosis; Rai, A.N., Bergman, B., Rasmussen, U., Eds.; Kluwer Academic Publishers: Dordrecht, The Netherlands, 2003; pp. 31–72. ISBN 978-1-4020-0777-4. [Google Scholar]
- Kuusinen, M. Epiphyte Flora and Diversity on Basal Trunks of Six Old-Growth Forest Tree Species in Southern and Middle Boreal Finland. Lichenologist 1996, 28, 443–463. [Google Scholar] [CrossRef]
- Hedenås, H.; Ericson, L. Epiphytic Macrolichens as Conservation Indicators: Successional Sequence in Populus tremula Stands. Biol. Conserv. 2000, 93, 43–53. [Google Scholar] [CrossRef]
- McCune, B.; Amsberry, K.A. Vertical Profile of Epiphytes in a Pacific Northwest Old-Growth Forest. Northwest Sci. 1997, 71, 145–152. [Google Scholar]
- Woda, C.; Huber, A.; Dohrenbusch, A. Vegetación Epifita y Captación de Neblina En Bosques Siempreverdes En La Cordillera Pelada, Sur de Chile. Bosque 2006, 27, 231–240. [Google Scholar] [CrossRef]
- Bokhorst, S.; Bjerke, J.W.; Phoenix, G.K.; Jaakola, L.; Mæhre, H.K.; Tømmervik, H. Sub-Arctic Mosses and Lichens Show Idiosyncratic Responses to Combinations of Winter Heatwaves, Freezing and Nitrogen Deposition. Physiol. Plant. 2023, 175, e13882. [Google Scholar] [CrossRef]
- Holz, I.; Gradstein, R. Cryptogamic Epiphytes in Primary and Recovering Upper Montane Oak Forests of Costa Rica—Species Richness, Community Composition and Ecology. Plant Ecol. 2005, 178, 89–109. [Google Scholar] [CrossRef]
- Nascimbene, J.; Thor, G.; Nimis, P.L. Effects of Forest Management on Epiphytic Lichens in Temperate Deciduous Forests of Europe—A Review. For. Ecol. Manag. 2013, 298, 27–38. [Google Scholar] [CrossRef]
- Parra, M.J.; Acuña, K.; Corcuera, L.J.; Saldaña, A. Vertical Distribution of Hymenophyllaceae Species among Host Tree Microhabitats in a Temperate Rain Forest in Southern Chile. J. Veg. Sci. 2009, 20, 588–595. [Google Scholar] [CrossRef]
- Díaz, I.A.; Sieving, K.E.; Peña-Foxon, M.E.; Larraín, J.; Armesto, J.J. Epiphyte Diversity and Biomass Loads of Canopy Emergent Trees in Chilean Temperate Rain Forests: A Neglected Functional Component. For. Ecol. Manag. 2010, 259, 1490–1501. [Google Scholar] [CrossRef]
- Saldaña, A.; Parra, M.J.; Flores-Bavestrello, A.; Corcuera, L.J.; Bravo, L.A. Effects of Forest Successional Status on Microenvironmental Conditions, Diversity, and Distribution of Filmy Fern Species in a Temperate Rainforest. Plant Species Biol. 2014, 29, 253–262. [Google Scholar] [CrossRef]
- Parra, M.J.; Acuña, K.I.; Sierra-Almeida, A.; Sanfuentes, C.; Saldaña, A.; Corcuera, L.J.; Bravo, L.A. Photosynthetic Light Responses May Explain Vertical Distribution of Hymenophyllaceae Species in a Temperate Rainforest of Southern Chile. PLOS ONE 2015, 10, e0145475. [Google Scholar] [CrossRef] [PubMed]
- Mellado-Mansilla, D.; León, C.A.; Ortega-Solís, G.; Godoy-Güinao, J.; Moreno, R.; Díaz, I.A. Vertical Patterns of Epiphytic Bryophyte Diversity in a Montane Nothofagus Forest in the Chilean Andes. New Zealand J. Bot. 2017, 55, 514–529. [Google Scholar] [CrossRef]
- Etayo, J.; Sancho, L.G.; Gómez-Bolea, A.; Sochting, U.; Aguirre, F.; Rozzi, R. Catálogo de líquenes (y algunos hongos relacionados) de la isla Navarino, Reserva de la Biosfera Cabo de Hornos, Chile. Anales del Instituto de la Patagonia 2021, 49. [Google Scholar] [CrossRef]
- Aguilera-Betti, I.; Muñoz, A.A.; Stahle, D.; Figueroa, G.; Duarte, F.; González-Reyes, Á.; Christie, D.; Lara, A.; González, M.E.; Sheppard, P.R.; et al. The First Millennium-Age Araucaria araucana in Patagonia. Tree-Ring Res. 2017, 73, 53–56. [Google Scholar] [CrossRef]
- Gipoulou-Zúñiga, T. Pérdida de Vigorosidad de Individuos de Araucaria araucana (Molina) K. Koch Por La Megasequía Del Período 2010–2015—Sécheresse Info; Universidad Austral de Chile: Valdivia, Chile, 2017; p. 17. [Google Scholar]
- Di Castri, F.; Hajek, E.R. Bioclimatología de Chile; Universidad Católica de Chile: Santiago, Chile, 1976; p. 128. [Google Scholar]
- Pollmann, W. Stand Structure and Dendroecology of an Old-Growth Nothofagus Forest in Conguillío National Park, South Chile. For. Ecol. Manag. 2003, 176, 87–103. [Google Scholar] [CrossRef]
- Galloway, D.J. Flora of New Zealand: Lichens; Hassellberg, P.D., Ed.; Government Printer: Wellington, New Zealand, 1985; p. 662. ISBN 978-0-477-01266-9. [Google Scholar]
- Galloway, D.J. Studies in Pseudocyphellaria (Lichens) III. The South American Species. Bibl. Lichenol. 1992, 46, 275. [Google Scholar] [CrossRef]
- Galloway, D.J. Studies on the Lichen Genus Sticta (Schreber) Ach.: I. Southern South American Species. Lichenologist 1994, 26, 223–282. [Google Scholar] [CrossRef]
- White, F.J.; James, P.W. Studies on the Genus Nephroma II. The Southern Temperate Species. Lichenologist 1988, 20, 103–166. [Google Scholar] [CrossRef]
- Stenroos, S. Cladoniaceae (Lecanorales, lichenized Ascomycotina) in the flora of Chile. Gayana Botánica 1995, 52, 89–131. [Google Scholar]
- Wedin, M. Lichen family Sphaerophoracae (Caliciales, Ascomycotina) in temperate areas of the Southern Hemisphere. Symb. Bot. Ups. 1995, 31, 1–102. [Google Scholar]
- Bjerke, J.W.; Elvebakk, A.; Quilhot, W. Distribution and Habitat Ecology of the Sorediate Species of Menegazzia (Parmeliaceae, Lichenized Ascomycota) in Chile. Revista Chilena de Historia Natural 2003, 76, 79–98. [Google Scholar] [CrossRef][Green Version]
- Bjerke, J.W. Synopsis of the Lichen Genus Menegazzia (Parmeliaceae, Ascomycota) in South America. Mycotaxon 2005, 91, 423–454. [Google Scholar]
- Calvelo, S.; Stocker-Wörgötter, E.; Liberatore, S.; Elix, J.A. Protousnea (Parmeliaceae, Ascomycota), a Genus Endemic to Southern South America. Bryologist 2005, 108, 1–15. [Google Scholar] [CrossRef]
- Passo, A.; Díaz Domínguez, R.E.; Rodríguez, J.M. El Género Pannaria (Pannariaceae) En La Argentina: Nuevos Registros y Actualización Del Conocimiento. Boletín de la Sociedad Argentina de Botánica 2020, 55, 1–10. [Google Scholar] [CrossRef]
- Mezger, U. Biomonitoring mit epilithischen und epiphytischen Flechten in einem Belastungsgebiet (Berlin). Bibl. Lichenol. 1996, 63, 1–164. [Google Scholar]
Disclaimer/Publisher’s Note: The statements, opinions and data contained in all publications are solely those of the individual author(s) and contributor(s) and not of MDPI and/or the editor(s). MDPI and/or the editor(s) disclaim responsibility for any injury to people or property resulting from any ideas, methods, instructions or products referred to in the content. |
© 2023 by the authors. Licensee MDPI, Basel, Switzerland. This article is an open access article distributed under the terms and conditions of the Creative Commons Attribution (CC BY) license (https://creativecommons.org/licenses/by/4.0/).


