Next Article in Journal
A Commercial Arbuscular Mycorrhizal Inoculum Alleviated the Effects of Acid Water on Lupinus angustifolius Grown in a Sterilized Mining Dump
Next Article in Special Issue
Alterations in the Anatomy and Ultrastructure of Leaf Blade in Norway Maple (Acer platanoides L.) Growing on Mining Sludge: Prospects of Using This Tree Species for Phytoremediation
Previous Article in Journal
Rare Earth Elements (REEs) Adsorption and Detoxification Mechanisms in Cell Wall Polysaccharides of Phytolacca americana L.
Previous Article in Special Issue
Phytoremediation as an Effective Remedy for Removing Trace Elements from Ecosystems
 
 
Font Type:
Arial Georgia Verdana
Font Size:
Aa Aa Aa
Line Spacing:
Column Width:
Background:
Article

Spraying Zinc Sulfate to Reveal the Mechanism through the Glutathione Metabolic Pathway Regulates the Cadmium Tolerance of Seashore Paspalum (Paspalum vaginatum Swartz)

College of Agro-Grassland Science, Nanjing Agricultural University, Nanjing 210095, China
*
Authors to whom correspondence should be addressed.
Plants 2023, 12(10), 1982; https://doi.org/10.3390/plants12101982
Submission received: 5 April 2023 / Revised: 30 April 2023 / Accepted: 9 May 2023 / Published: 15 May 2023
(This article belongs to the Special Issue Phytoremediation and Plant Morphophysiology in Contaminated Areas)

Abstract

Cadmium (Cd) is considered to be one of the most toxic metals, causing serious harm to plants’ growth and humans’ health. Therefore, it is necessary to study simple, practical, and environmentally friendly methods to reduce its toxicity. Until now, people have applied zinc sulfate to improve the Cd tolerance of plants. However, related studies have mainly focused on physiological and biochemical aspects, with a lack of in-depth molecular mechanism research. In this study, we sprayed high (40 mM) and low (2.5 mM) concentrations of zinc sulfate on seashore paspalum (Paspalum vaginatum Swartz) plants under 0.5 mM Cd stress. Transcriptome sequencing and physiological indicators were used to reveal the mechanism of Cd tolerance. Compared with the control treatment, we found that zinc sulfate decreased the content of Cd2+ by 57.03–73.39%, and that the transfer coefficient of Cd decreased by 58.91–75.25% in different parts of plants. In addition, our results indicate that the antioxidant capacity of plants was improved, with marked increases in the glutathione content and the activity levels of glutathione reductase (GR), glutathione S-transferase (GST), and other enzymes. Transcriptome sequencing showed that the differentially expressed genes in both the 0.5 Zn and 40 Zn treatments were mainly genes encoding GST. This study suggests that genes encoding GST in the glutathione pathway may play an important role in regulating the Cd tolerance of seashore paspalum. Furthermore, the present study provides a theoretical reference for the regulation mechanism caused by zinc sulfate spraying to improve plants’ Cd tolerance.

1. Introduction

As one of the most toxic heavy metals in the natural environment, cadmium (Cd) pollution has been the focus of attention for decades [1]. Cd comes from various sources, and human activities accelerate the release of Cd into the surrounding environment [2,3]. As a nonessential and potentially toxic element, the sources of Cd include waste generated as a result of rapid industrialization, metal mining, and sewage irrigation [4,5], the excessive use of fertilizers and pesticides, and the mining and burning of fossil fuels [5,6,7]. It is generally believed that Cd content in soil higher than 1 mg·kg−1 indicates that the soil is artificially polluted [8]. According to the Chinese government’s survey on soil pollution in April 2014, Cd ranked first among eight inorganic pollutants [9]. Due to the characteristics of environmental accumulation, Cd has seriously affected the use of cultivated land [10]. Previous studies have shown that the exceedance rate of heavy metals in the cultivated soil of five major grain-producing areas in China is as high as 21.49%, while the Cd pollution rate has increased most significantly from 1.32% to 17.39% in the past 20 years [11]. In China alone, nearly one-fifth of cultivated land (approximately 20 million hectares) has been polluted by Cd, arsenic, and/or lead, resulting in approximately 12 million tons of contaminated grains and an annual economic loss of approximately CNY 20 billion [12]. Cd has a half-life of 10–35 days, cannot be degraded by microorganisms, and exists in soil for a long time. As Cd is a heavy metal pollutant that seriously affects crop production and food security, Cd pollution has attracted a lot of attention [1,13].
Cd accumulates easily in plants, impacting growth. In plants, Cd toxicity can easily lead to physiological damage, such as yellowing, metabolic disorders, a reduction in photosynthesis, the inhibition of transpiration, and a reduction in enzyme activity [14]. Cd also reduces the absorption and transportation of nutrients by plants, such as iron, manganese, zinc, potassium, magnesium, and calcium, resulting in growth retardation [15]. A high concentration of Cd can even cause plant necrosis. Cd is a nonessential nutrient in plants that is easily absorbed by plants and transported to aboveground tissues, such as seeds and fruits, and then enters the food chain via crop production [16]. In the 1990s, Cd was classified as a Class I carcinogen. Due to its high solubility and mobility, Cd easily enters the food chain, and subsequently, causes serious harm to humans’ health [17,18]. Eating agricultural products with a high Cd content may lead to a variety of human diseases, including multiple cancers [19,20], lung injuries, renal tubular diseases [21], and Itai-Itai syndrome [22].
Extensive research has been conducted on the mechanism of Cd tolerance in Arabidopsis plants [23,24]. Researchers have found that endo-beta mannase MAN7 can regulate Cd tolerance by regulating the cell wall binding capacity of Arabidopsis roots [23]. In addition, Cd tolerance can be regulated by regulating calcium signal transduction related to the plasma membrane [24]. These results provide new insights for the molecular breeding of crops for Cd tolerance.
Given the serious harm posed by Cd to human beings, it is urgent and important to develop an effective strategy to reduce the toxicity and accumulation of Cd in crops. Currently, plant growth regulators (PGRs) [25] and cultivation improvement methods [26,27] are widely used. Among them, plant growth regulators mainly include the exogenous spraying of 5-aminolevolinic acid (ALA) [28], jasmonic acid (JA) [29], melatonin (N-acetyl-5-methoxytryptamine) [30], and mineral elements (such as Zn2+) [31]. Cultivation measures include grafting [32,33,34], the intercropping of hyperaccumulator crops [26], and the optimizing of environmental factors, such as carbon dioxide [35] and temperature [27], as well as light quality control [36], which are effective strategies for reducing Cd toxicity and accumulation in crops.
Seashore paspalum (Paspalum vaginatum Swartz) is a perennial herb of the Paspalum genus in Gramineae that is mainly distributed in tropical and subtropical coastal areas, with multiple resistance and adaptation strategies employed in harsh environments. In particular, it has excellent properties such as heavy metal resistance and is widely used for ecological restoration [35]. Studies have shown that the plant toxicity of Cd can be inhibited by the interactions of cations (such as Zn2+) during the root uptake of Cd [36]. In traditional agricultural practices, zinc sulfate (ZnSO4) or zinc chelate of ethylenediamine tetraacetic acid chelate (ZnEDTA) is applied to leaves and the ground [37], while foliar zinc application has been shown to be an effective method for promoting plants’ absorption of zinc [38]. A study on Triticum aestivum cv. Shield plants showed that the proportion of zinc on leaves treated with ZnSO4 was significantly higher than that of leaves treated with ZnEDTA [38]. To further improve the Cd resistance of seashore paspalum, we adopted the method of spraying ZnSO4. As a simple and easy way to improve the Cd tolerance of plants, ZnSO4 spraying has been widely conducted [39]. However, relevant studies only revealed the protective mechanism from a physiological perspective, and the tolerance mechanism of plants was not revealed. Therefore, we used physiological and transcriptome sequencing methods to reveal the mechanism controlling the Cd tolerance of seashore paspalum by spraying different concentrations of zinc sulfate.

2. Results

2.1. Effect of Zinc Sulfate on the Accumulation of Zn and Cd in Different Organs of Seashore Paspalum under Cadmium Stress

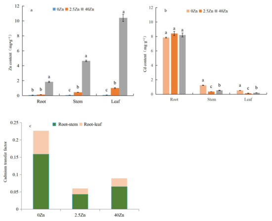
As shown in Figure 1a, under Cd stress, with the increase in the zinc sulfate concentration, the zinc content in different organs (the root, stem, and leaf) of seashore paspalum presented a gradually increasing trend. In general, under the same zinc sulfate concentration conditions, the content of Zn in leaves was significantly higher than that in the stems and roots. The content of Zn in the stems was significantly higher than that in the roots (except in the 0 mM ZnSO4 treatment). The content of Zn in different organs after the 2.5 mM ZnSO4 treatment was 2.08 (roots) and 13.44 (leaves) times higher than that after the 0 mM ZnSO4 treatment; the content of Zn in different organs after the 40 mM ZnSO4 treatment was 29.30 (roots) and 139.28 (leaves) times higher than that after the 0 mM ZnSO4 treatment.
As shown in Figure 1b, compared with the 0 mM ZnSO4 treatment, the 2.5 mM ZnSO4 and 40 mM ZnSO4 treatments significantly reduced the Cd content in the stems and leaves. The Cd content in the stems and leaves decreased by 70.86% and 73.39%, respectively, after the 2.5 mM ZnSO4 treatment. The Cd content in the stems and leaves decreased by 57.03% and 62.97%, respectively, after the 40 mM ZnSO4 treatment.
As shown in Figure 1c, compared with the 0 Zn treatment, the 2.5 Zn and 40 Zn treatments significantly reduced the root–stem and root–leaf Cd transfer coefficients. The Cd transfer coefficients of the root–stem and root–leaf decreased by 72.78% and 75.25%, respectively, after 2.5 mM ZnSO4 was sprayed. The Cd transfer coefficients of the root–stem and root–leaf decreased by 58.91% and 64.48%, respectively, after 40 mM ZnSO4 was sprayed.

2.2. Effect of Zinc Sulfate Spray on the Photosynthetic Parameters of Seashore Paspalum under Cadmium Stress

The effect of zinc sulfate spray on the photosynthetic parameters of seashore paspalum under Cd stress is shown in Table 1. It can be seen that zinc sprayed at a low or high concentration increased the net photosynthetic rate, stomatal conductance value, and transpiration rate. The three photosynthetic parameter values after the 2.5 Zn treatment were significantly higher than those after the 40 Zn and 0 Zn treatments. Compared with the 0 Zn treatment, the net photosynthetic rate, stomatal conductance value, and transpiration rate of the 2.5 Zn treatment increased by 67.92%, 104.29%, and 94.95%, respectively. After the 40 Zn treatment, the net photosynthetic rate, stomatal conductance value, and transpiration rate increased by 4.79%, 16.94%, and 14.29%, respectively.

2.3. Effect of Zinc Sulfate Spray on the Antioxidant Metabolism of Seashore Paspalum under Cadmium Stress

2.3.1. Effect of Zinc Sulfate Spray on the Active Oxygen Content of Seashore Paspalum under Cadmium Stress

The effect of zinc sulfate spray on the active oxygen content in seashore paspalum under Cd stress is shown in Figure 2. It can be seen that, in general, after all treatments, the contents of superoxide anion free radicals and hydrogen peroxide in stems were significantly higher than those in the leaves and roots, and the contents of superoxide anion radicals and hydrogen peroxide in the leaves were significantly higher than those in the roots. The contents of superoxide anion radicals and hydrogen peroxide in different parts (roots, stems, and leaves) of 2.5 Zn- and 40 Zn-treated plants were significantly lower than that of active oxygen in 0 Zn-treated plants. However, there were differences in the extent of the reduction among different treatments. Compared with the 0 Zn treatment, the 2.5 Zn treatment reduced the superoxide anion radicals in the roots, stems, and leaves by 85.85%, 41.31%, and 41.38%, respectively, and the 40 Zn treatment reduced the superoxide anion radicals of the roots, stems, and leaves by 48.51%, 16.93%, and 25.15%, respectively. In addition, compared with the 0 Zn treatment, the 2.5 Zn treatment reduced the hydrogen peroxide content in the roots, stems, and leaves by 31.78%, 16.61%, and 23.62%, respectively, and the 40 Zn treatment reduced the hydrogen peroxide content of the roots, stems, and leaves by 20.87%, 15.78%, and 9.80%, respectively.

2.3.2. Effect of Zinc Sulfate Spray on the Antioxidant Metabolism of Seashore Paspalum under Cadmium Stress

The effect of zinc sulfate spray on the antioxidant metabolism of seashore paspalum under Cd stress is shown in Table 2. It can be seen that, in general, zinc sulfate spraying can significantly increase the SOD activity in different parts (roots, stems, and leaves) of seashore paspalum. Compared with the 0 Zn treatment, the SOD activity levels in different parts (roots, stems, and leaves) after the 2.5 Zn and 40 Zn treatments were 1.11–4.08 times and 1.53–3.22 times higher, respectively. In addition, compared with the 0 Zn treatment, the 2.5 Zn and 40 Zn treatments significantly increased the activity levels of APX, GR, and GST in different parts of seashore paspalum (roots, stems, and leaves). Compared with the 0 Zn treatment, the 2.5 Zn treatment increased the APX, GR, and GST enzyme activity levels in different parts (roots, stems, and leaves) by 42.19–329.41%, 75.00–128.57%, and 188.89–725.00%, respectively; the 40 Zn treatment increased the APX, GR, and GST enzyme activity levels in different parts (roots, stems, and leaves) by 8.87–35.29%, 23.08–60.00%, and 177.78–425.00%, respectively.
In addition, compared with the 0 Zn treatment, the 2.5 Zn and 40 Zn treatments significantly increased the contents of reduced glutathione and oxidized glutathione in different parts (roots, stems, and leaves) of seashore paspalum. Compared with the 0 Zn treatment, the 2.5 Zn treatment increased the content of reduced glutathione in the roots, stems, and leaves by 42.30%, 87.30%, and 58.35%, respectively; the 40 Zn treatment increased the content of reduced glutathione in the roots, stems, and leaves by 37.93%, 68.25%, and 20.82%, respectively. Compared with the 0 Zn treatment, the 2.5 Zn treatment increased the content of oxidized glutathione in the roots, stems, and leaves by 98.06%, 36.08%, and 72.13%, respectively; the 40 Zn treatment reduced the content of oxidized glutathione in the roots, stems, and leaves by 52.20%, 16.65%, and 57.35%, respectively.
In addition, compared with the 0 Zn treatment, the 40 Zn treatment significantly reduced the contents of MDA and PRO in different parts (roots, stems, and leaves) of seashore paspalum. After the 2.5 Zn and 40 Zn treatments, the content of MDA in the roots, stems, and leaves decreased by 38.36–66.40% and 10.33–37.67%, respectively, and the PRO content decreased by 53.12–73.31% and 36.34–63.33%, respectively.
The 2.5 Zn and 40 Zn treatments significantly increased the total antioxidant capacity (T-AOC) of different parts (roots, stems, and leaves) of seashore paspalum. Compared with the 0 Zn treatment, the 2.5 Zn treatment increased the T-AOC of the roots, stems, and leaves by 188.36%, 669.32%, and 138.95%, respectively; the 40 Zn treatment increased the T-AOC of the roots, stems, and leaves by 156.50%, 202.69%, and 112.69%, respectively.

2.3.3. Effect of Zinc Sulfate Spray at Different Concentrations on the Expression of Gene Families Related to Cd Absorption

Through homologous comparison, we found that 12, 7, 6, 4, 5, and 7 members were annotated in the ZRT/IRT-like protein (ZIP), heavy metal transporting ATPases (HMAs), natural resistance-associated macroscopic proteins (NRAMPs), cation exchanger (CAX), yellow strip like transporter (YSL), and metal tolerance protein (MTP) families, respectively, based on the transcriptome data. The effect of different concentrations of zinc sulfate on the expression of genes related to Cd and its chelate-related transporter family is shown in Figure 3. On the whole, the gene family members of Cd and its chelate-related transporters showed a consistent trend regardless of whether there is a low or high concentration of ZnSO4. In particular, the gene expression of the HMA family and NRAMP family members showed a completely consistent trend. The expression levels of ZIP, HMAs, NRAMPs, CAX, YSL, and MTP family members were upregulated in five (TRINITY_DN4422_c0_g1, TRINITY_DN7203_c0_g1, TRINITY_DN13291_c0_g1, TRINITY_DN19156_c0_g1, and TRINITY_DN1784_c0_g1), five (TRINITY_DN5985_c0_g1, TRINITY_DN5981_c2_g1, TRINITY_DN908_c0_g1, TRINITY_DN2529-_c0_g1, and TRINITY_DN1718_c0_g1), five (TRINITY_DN18452_c0_g1, TRINITY_DN4119_c0_g1, TRINITY_DN16917_c0_g1, TRINITY_DN6001_c0_g1, TRINITY_DN7944_c1_g1), two (TRINITY_DN795_c0_g1 and TRINITY_DN13955_c0_g1), three (TRINITY_DN1765_c0_g1, TRINITY_DN11409_c0_g1, and TRINITY_DN1765_c1_g1), and three (TRINITY_DN1421_c0_g1, TRINITY_DN12047_c0_g1, and TRINITY_DN3072_c0_g1) members, respectively. The expression levels of ZIP, HMAs, NRAMPs, YSL, and MTP family members were downregulated in four (TRINITY_DN6170_c0_g1, TRINITY_DN565_c0_g1, TRINITY_DN1646_c2_g1, and TRINITY_DN25501_c0_g1), two (TRINITY_DN9839_c0_g1 and TRINITY_DN10530_c0_g1), one (TRINITY_DN52708_c0_g2), one (TRINITY_DN20917_c0_g1), and one (TRINITY_DN17501_c0_g1) members, respectively. In addition, one member of the ZIP, CAX, YSL, and MTP families (TRINITY_DN43139_c0_g1, TRINITY_DN1080_c0_g1, TRINITY_DN4772_c0_g1, and TRINITY_DN5933_c0_g1, respectively) was upregulated in the low-concentration zinc sulfate treatment and downregulated in the high-concentration treatment. Furthermore, the ZIP, CAX, YSL, and MTP family members each had one member (TRINITY_DN460-03_c0_g1, TRINITY_DN2329_c0_g1, TRINITY_DN4772_c0_g, and TRINITY_ DN8166_ c0_ G1, respectively) whose expression was downregulated after the application of a low concentration of zinc sulfate and upregulated after the application of a high concentration of zinc sulfate. In addition, one member of the ZIP (TRINITY_DN8263_c0_g1) and one member of the MTP (TRINITY_DN5933_c0_g1) families had no change in expression after the application of a low concentration of zinc sulfate, but exhibited a decreased expression after the application of a high concentration of zinc sulfate.

2.4. Transcriptome Analysis of the Mechanism of Improving the Cadmium Tolerance of Seashore Paspalum by Zinc Sulfate Spray

2.4.1. Statistics Showing the Number of Differentially Expressed Genes

Statistics showing the number of genes in the differential expression gene set are shown in Table 3. It can be seen that between 2.5 Zn and 0 Zn, there were 7291 differentially expressed genes, of which 3849 were upregulated and 3442 were downregulated. There were 7781 differentially expressed genes between 40 Zn and 0 Zn, of which 3137 were upregulated and 4644 were downregulated. A Venn diagram of each group of differentially expressed genes was drawn, as required (Figure 4). In addition, the differentially expressed volcano plots between 2.5 Zn and 0 Zn and 40 Zn and 0 Zn are shown in Figure 5. Among them, there were 3343 differentially expressed genes specific to 0.5 Zn vs. 0 Zn, 3863 differentially expressed genes specific to 40 Zn vs. 0 Zn, and 3918 differentially expressed genes specific to 2.5 Zn vs. 0 Zn and 40 Zn vs. 0 Zn.

2.4.2. Enrichment Analysis of the KEGG Pathway of Differentially Expressed Genes

The enrichment analysis results of the KEGG pathway of differentially expressed genes are shown in Figure 6, which shows the first 20 pathways with the least significant Q value. It can be seen from Figure 6 that between 2.5 Zn and 0 Zn and 40 Zn and 0 Zn, differentially expressed genes were enriched in drug metabolism—cytochrome P450; drug metabolism—other enzymes; galactose metabolism; glutathione metabolism; metabolism of xenobiotics by cytochrome P450; ovarian steroidogenesis; pentose and glucuronate interconversions; porphyrin and chlorophyll metabolism; retinol metabolism; starch and sucrose metabolism; steroid hormone biosynthesis; tryptophan metabolism; tyrosine metabolism; vitamin B6 metabolism. In addition, the differentially expressed genes between 2.5 Zn and 0 Zn were also enriched in amino sugar and nucleotide sugar metabolism, biosynthesis of amino acids, carbon metabolism, and glycolysis/gluconeogenesis. Furthermore, the differentially expressed genes between 2.5 Zn and 0 Zn were also enriched in the degradation of aromatic compounds, fatty acid degradation, the neurotrophic signaling pathway, and the prolactin signaling pathway.

2.4.3. Zinc Sulfate Sprayed at Different Concentrations Reveals the Mechanism through Which the Glutathione Pathway Regulates the Cadmium Tolerance of Seashore Paspalum

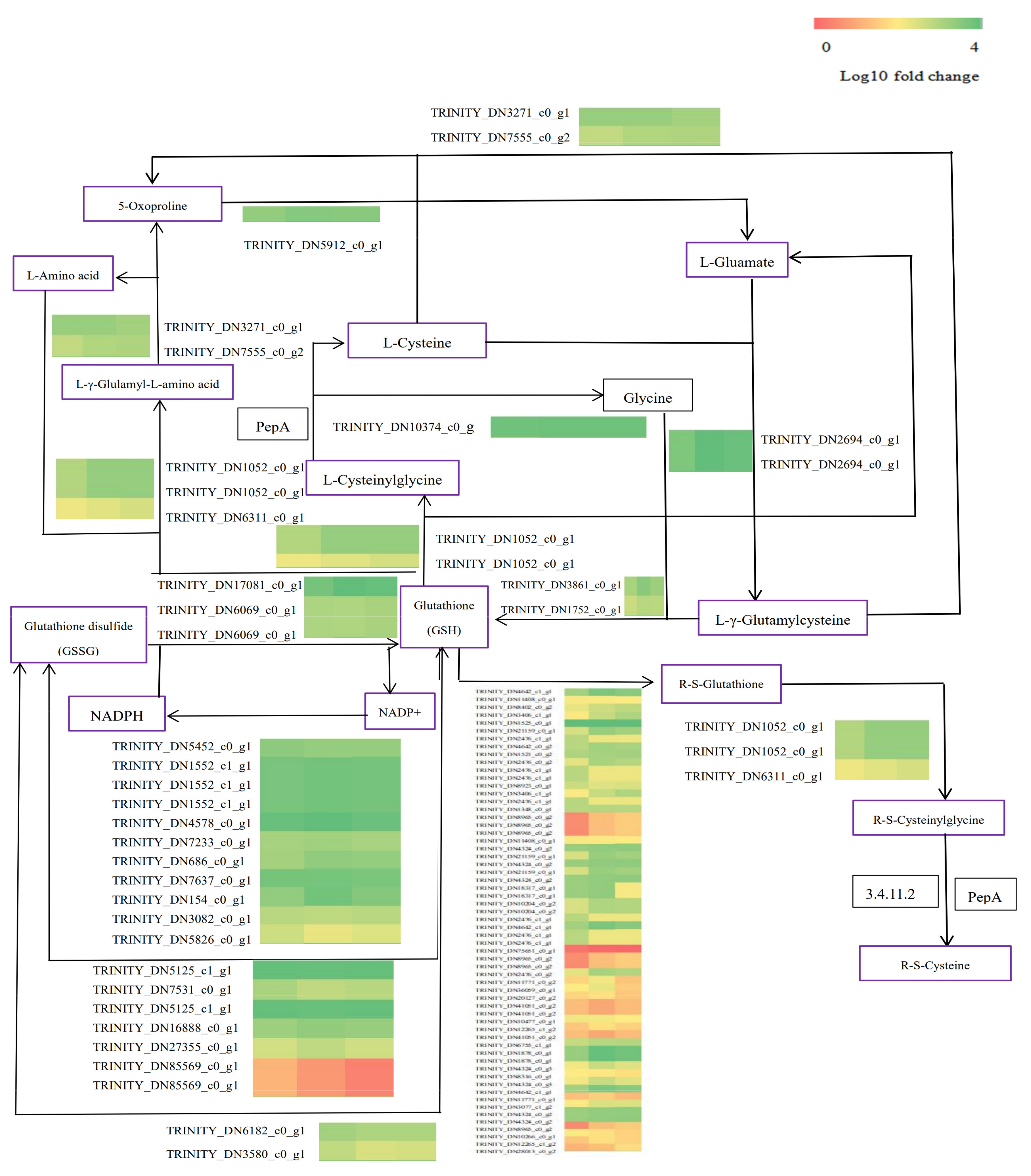
The glutathione pathway refers to a study by Schisler et al. (2015). It can be seen from Figure 7 that zinc sulfate spraying regulated the expression of most glutathione pathway genes. Compared with the 0 Zn treatment, the genes upregulated by the 0.5 Zn and 40 Zn treatments include TRINITY_ DN7555_ c0_ g2 (putative glutathione-specific gamma-glutamyl cyclotransferase 2), TRINITY_ DN5912_ c0_ G1 (5-oxoprolinase), TRINITY_ DN2694_ c0_ G1 (glutamate cysteine ligase A and chloroplastic), and other 36 genes. Furthermore, genes downregulated by the 0.5 Zn and 40 Zn treatments include TRINITY_ DN10266_ c0_ g1 (glutathione transferase GST 23), TRINITY_ DN10477_ c0_ g1 (probably glutathione S-transferase BZ2), TRINITY_ DN11408_ c0_ g1 (probably glutathione S-transferase GSTU1), TRINITY_ DN1560_ c0_ G1 (ribonucleate diphosphate reduce small chain), and TRINITY_ DN176_ c0_ G2 (probably L-APX 8 and chloroplastic), and 24 other genes. The genes downregulated by the 0.5 Zn treatment and upregulated by the 40 Zn treatment include TRINITY_ DN6069_ c0_ G1 (glutamate reductase, chloroplastic) and TRINITY_ DN331_ c1_ G1 (putative L-APX 6). The genes up- and downregulated by the 0.5 Zn treatment include TRINITY_ DN4578_ c0_ g1 (6-phosphogluconate dehydrogenase, decarboxylating 1), TRINITY_ DN7233_ c0_ g1 (6-phosphogluconate dehydrogenase, decarboxylating 2, chloroplastic), TRINITY_ DN7637_ c0_ G1 (glucose-6-phosphate 1-dehydrogenase, cystotropic isoform), and nine other genes. However, under high and low zinc sulfate concentration treatments, the expression of these genes was different from that of the control.

2.5. Mechanism of Cadmium Tolerance of Seashore Paspalum by Zinc Sulfate Spray

The mechanism controlling the Cd tolerance of seashore paspalum as a result of zinc sulfate spraying is shown in Figure 8. It can be seen that a high concentration (40 mM) and a low concentration (2.5 mM) of zinc sulfate regulated the Cd tolerance mechanism via almost the same mechanism. Zinc sulfate spray increased the zinc content in the leaves and stems and reduced the Cd content and Cd transfer coefficients. Further analysis showed that zinc sulfate spraying regulated the Cd tolerance of seashore paspalum via the glutathione pathway. In the glutathione pathway, the expression of glutathione S-transferase-related genes increased the activity of GST, thus increasing the content of GSH; reducing the contents of MDA, PRO, H2O2, and OH•; enhancing the total antioxidant capacity. The plants exhibited a strong photosynthetic capacity, thus enhancing their Cd tolerance.

3. Discussion

As a micronutrient, zinc participates in various physiological functions of plants, and its unbalanced supply will reduce the yield [40]. Zinc is also the main component of plant protein production and ribosome development. It influences pollen tube formation, thus contributing to pollination [41,42]. Plant yield is related to photosynthesis and the chlorophyll content [43]. With the increase in the zinc dosage, photosynthesis and the chlorophyll content decrease, while with a decrease in the zinc concentration, the chlorophyll content increases [44]. Zinc also plays a role in plant hormone metabolisms, such as the biosynthesis of auxin, tryptophan [45,46], indoleacetic acid (IAA), gibberellin, nitrogen metabolism and absorption, chlorophyll synthesis and photosynthesis, and resistance to biotic and abiotic stresses [47].
Cd is a toxic trace element and one of the most toxic heavy metals in the environment; its high mobility causes serious damage to humans’ health and environmental sustainability [48,49,50]. The phytotoxicity of Cd can be inhibited via the interaction of cations (such as Fe3+, Zn2+, and Mn2+) during Cd absorption by the roots [51,52]. The absorption of Cd by plants’ roots is reduced due to external Zn2+ [53]. There are many studies on the Cd tolerance of plants regulated by Zn2+ [48,52,54,55], but the specific molecular mechanism has not been reported

3.1. Effects of Zinc Sulfate Spraying at Different Concentrations on Cadmium and Chelate-and Transporter-Related Gene Family Members in Seashore Paspalum

Essential cations, such as Zn2+, have a protective effect on the toxicity of Cd2+ [56], which is interpreted as a result of competition. Cd2+ and other nonessential metal ions will enter plant cells through the absorption system of essential cations [57]. We found that compared with the 0 Zn treatment, the 2.5 Zn and 40 Zn treatments significantly reduced the Cd content in seashore paspalum plants (stems and leaves). However, the reduction range was different; that caused by the 2.5 Zn treatment was significantly higher than that caused by the 40 Zn treatment in the lower stem (70.86% vs. 57.03%) and leaf (73.39% vs. 62.97%). In addition, we found that the 2.5 Zn and 40 Zn treatments significantly reduced the Cd transfer coefficient in the root–stem and root–leaf. The reduction range of the 2.5 Zn treatment was significantly higher than the that of 40 Zn treatment in the root–stem (72.78% vs. 58.91%) and root–leaf (75.25% vs. 64.48%). From the perspective of inhibiting the Cd content in plants, we suggest spraying 0.5 Zn to improve the Cd tolerance of seashore paspalum.
Our study confirmed that zinc sulfate spraying can alleviate Cd stress and provide Cd tolerance to plants. However, some studies pointed out that zinc-dependent and zinc-binding molecules are good candidates as toxic targets of Cd2+. The chemical similarity of Cd2+ and Zn2+ ions makes it possible for Cd2+ ions to replace Zn2+, thus interfering with many processes that depend on Zn [58]. The indirect evidence for this effect is the presumed transcriptional upregulation of the Zn2+ uptake system [59], which was also observed in fission yeast [60]. This indicates that the Zn2+-sensing molecule may be occupied by Cd2+ due to Cd2+ exposure. These studies show that the interaction mechanism of zinc and Cd among different species is relatively complex, which means further study is needed.
There are three processes of Cd transport in plants: root absorption, long-distance transport to the aboveground parts, and storage in leaves. Cd and its chelate-related transporters mainly include zinc/iron transporters (ZRT/IRT-like protein, ZIP) [61], natural resistance-associated macrophage proteins (NRAMPs) [62], HMAs [63], metal tolerance proteins (MTP), a cation exchanger (CAX) [64], an ATP binding cassette transporter (ABC) transporter [65], and a yellow stripe-like transporter (YSL) [66]. By analyzing the expression of genes related to Cd absorption and transport, we found that the expression level of most members of ZIP, HMAs, NRAMPs, CAX, YSL, and MTP families was upregulated. Combined with the content of Zn2+ and Cd2+ in plants, we speculate that zinc sulfate spray mainly increases the expression of genes related to Cd and its chelate-related transporters, thereby increasing zinc absorption and inhibiting Cd absorption to some extent. These results indicated that these members play an important role in reducing the Cd transport coefficient and improving the Cd tolerance of plants via sulfuric acid spraying. Because there are many upregulated genes in these gene families, which members play a major role needs to be further studied.

3.2. The Cadmium Tolerance of Seashore Paspalum by Zinc Sulfate Spraying via the Glutathione Metabolic Pathway

Currently, the mechanism of the Cd tolerance of plants has been revealed through transcriptomics [38,67] and metabonomics [67]. Via transcriptome sequencing, we found that compared with the 0 Zn treatment, among the thirty-six genes upregulated by 0.5 Zn and 40 Zn, nineteen genes were glutathione S-transferase-related genes, and two genes were glutathione synthase-related genes; eight of the twenty-four genes downregulated by 0.5 Zn and 40 Zn were glutathione S-transferase-related genes. In addition, we found that six of the nine genes up- and downregulated by 0.5 Zn and 40 Zn were glutathione S-transferase-related genes. These genes include TRINITY_DN1348_c0_g1 (glutathione S-transferase T1), TRINITY_DN18317_c0_g1 (probable glutathione S-transferase GSTU6), TRINITY_DN11771_c0_g2 (glutathione S-transferase F12), TRINITY_DN36059_c0_g1 (glutathione S-transferase F11), TRINITY_DN20127_c0_g2 (glutathione S-transferase F10), and TRINITY_DN11771_c0_g1 (glutathione S-transferase APIC). These results suggest that glutathione S-transferase-related genes may play an important role in regulating the Cd tolerance of seashore paspalum. Other studies, such as those on melon root [67], tall fescue [38], and the mechanism of the Cd tolerance of cauliflower seedlings [38], also showed that related genes encoding glutathione S-transferase (GST) play an important role in improving the Cd tolerance of plants. However, clarifying how glutathione S-transferase-related genes regulate Cd tolerance in plants requires further research.
The activities of key enzymes in glutathione metabolism are regulated by genes related to the glutathione pathway. We found that the 2.5 Zn and 40 Zn treatments increased the GR and GST enzyme activities of different parts (roots, stems, and leaves) by 23.08–128.47% and 177.78–725.00%, respectively, which were compared with that of the 0 Zn treatment. In particular, the activity of GST increased significantly. GR catalyzes the reduction of GSH, which is a molecule involved in many metabolic regulations and antioxidant processes in plants. GR catalyzes the NADPH-dependent reaction of the glutathione disulfide bond; so, it is very important to maintain the glutathione pool [68]. GR is involved in the defense against oxidative stress, while GSH plays an important role in the cell system, including participating in the ASH glutathione cycle and maintaining thiol (-SH) and GST substrates [68]. GR and GSH play a crucial role in determining the tolerance of plants under various stresses. Some studies show that GR plays an important role in the regeneration of GSH; so, it also prevents oxidative stress by maintaining ASH [69]. It is well known that plant GST plays a role in hydrogen peroxide detoxification, cell apoptosis regulation, and plants’ response to biotic and abiotic stresses [70]. Our research showed that the activity of GR and GST increased significantly after zinc sulfate spraying. Based on the above research results, zinc sulfate spraying can play an important role in alleviating Cd stress by increasing the activity levels of GR, GST, and other enzymes, and the key genes in its pathway are worth further exploration.
The glutathione content is regulated by GR, GST, and other enzymes [69]. In particular, the contents of reduced GSH and GSSG increased significantly. Compared with the 0 Zn treatment, the 2.5 Zn and 40 Zn treatments increased the content of reduced glutathione by 42.30–87.30% and 20.82–68.25%, respectively. Tripeptide glutathione (γ Glu-cys-gly; GSH) is one of the most important metabolites in plants and is considered to be the most important defense mechanism against reactive oxygen species (ROS)-induced oxidative damage in cells. The balance between GSH and GSSG is the core component to maintaining the redox state of cells [71]. GSH is necessary to maintain the normal reduction state of cells to offset the inhibition of ROS-induced oxidative stress. GSH is a potential scavenger of 1O2, H2O2 [72,73] and the most dangerous ROS, such as OH· [74]. Our results showed that zinc sulfate spraying plays an important role in the process of relieving Cd stress by increasing the glutathione content. The exogenous spraying of strigolactones alleviated the response of melon roots to Cd stress [67], and the key factor of NO regulating the Cd stress adaptation of tall fescue [38] revealed that GSH metabolism plays an important role in regulating the Cd tolerance of plants. These results suggest that GSH metabolism may play an important role in plants under heavy metal stress [75], which is a conservative defense mechanism [76].

4. Materials and Methods

4.1. Plant Materials and Experimental Treatments

Seashore paspalum (Paspalum vaginatum Swartz) plants with the same growth trend were selected and transferred to 96-well plates containing ½-strength Hoagland’s nutrient solution. According to the methods of Chen et al. (2021) [77] and Ma et al. (2001) [78], 1 mM NaOH was used to keep the pH value at 5.5, and the nutrient solution was replaced every 2 days. In the Cd treatment experiment, seedlings growing for 15 days were transferred to a 0.5 μM CdCl2 solution. We sprayed 2.5 mM (2.5 Zn) and 40 mM (40 Zn) ZnSO4 solution from 4:00–4:30 every afternoon until the leaves dripped. Plants grown without zinc sulfate (0 mM ZnSO4; 0 Zn) were used as the control. After 7 days of treatment, seashore paspalum plants grown under different zinc sulfate treatments (0 mM, 2.5 mM, and 40 mM) were divided into three parts: roots, stems, and leaves, for sampling.

4.2. Determination of the Cd Content in Plants

We slightly modified the method of Chen et al. (2021) [77]: First, the roots, stems, and leaves were washed with 20 mM EDTA-Na2 solution for 30 min, and then with deionized water three to five times. The washed samples were dried at 105 °C for 25 min, and then at 80 °C until they were completely dry. Dried plant samples were digested with 100% HNO3. Then, the digest was measured using an inductively coupled plasma optical emission spectrometer (ICP-OES, iCAP 6300, Waltham, MA, USA).
The transfer coefficient (TC) was calculated as the ratio of the metal concentration in the stem or leaf to that in the root, which evaluates the ability of the plant to transport Cd from the root to the aerial part. Refer to the calculation formula of Cao et al. (2019) [79]: TC = ACd/RCd. ACd is the Cd concentration in stems or leaves of seashore paspalum plants; RCd is the concentration of Cd in roots.

4.3. Determination of Plant Photosynthetic Capacity

After 7 days of treatment, we measured the photosynthetic characteristics of plants using an infrared gas analyzer (LI-COR 6400, LICOR GmbH, Lincoln, NE, USA). Among them, the net photosynthetic rate, stomatal conductance, and transpiration rate are variables of interest. The measurement was conducted at 10:30 am, Beijing time. Three measurements were taken.

4.4. Determination of the Active Oxygen Content

The method described by Ma et al. (2016) [80] was slightly modified to determine the content of superoxide anion free radicals (O2−·). The determination of the hydrogen peroxide (H2O2) content was performed according to the methods described by Jiang and Zhang (2001) [81] and Ma et al. (2016) [80].

4.5. Determination of the MDA Content and Proline Content

A malondialdehyde (MDA) assay kit (thiobarbituric acid method) and a proline assay kit (colorimetric method) (Nanjing Jiancheng Bioengineering Research Institute, Nanjing, China) were used to determine the contents of MDA and proline (Pro), respectively.

4.6. Determination of the Total Antioxidant Capacity

A total antioxidant capacity assay kit (Nanjing Jiancheng Bioengineering Research Institute, Nanjing, China) was used to determine the total antioxidant capacity.

4.7. Determination of the Antioxidant Enzyme Activity

A total superoxide dismutase (T-SOD) test kit (hydroxylamine method), a glutathione S-transferase (GST) test kit (colorimetric method), a glutathione reductase (GR) test kit (colorimetric method), and an ascorbate peroxidase (APX) test kit (colorimetric method) (Nanjing Jiancheng Bioengineering Research Institute, Nanjing, China) were used to determine the activity levels of SOD, GST, GR, and APX, respectively.

4.8. Determination of the Total Glutathione (T-GSH)/Oxidized Glutathione (GSSG) Content

The contents of T-GSH and GSSG were determined using a total glutathione (T-GSH)/oxidized glutathione (GSSG) test kit (spectrophotometry) (Nanjing Jiancheng Bioengineering Research Institute; Nanjing, China) following the manufacturer’s instructions. The reduced glutathione (GSH) content was determined according to the following formula: GSH content = T-GSH content − 2 × GSSG content.

4.9. RNA Extraction and Transcriptome Sequencing

According to the manufacturer’s instructions (Sigma-Aldrich, St. Louis, MO, USA), RNA was extracted from the aerial parts of seashore paspalum plants in different treatments using TRIzol reagent. As described by Chen et al. (2015) [82], We checked the purity and quality of total RNA. High-quality total RNA samples were reverse transcribed into cDNA and used for the construction of a cDNA library. Sequencing was performed on Novogene’s Illumina Hiseq platform. Gene function annotation, differential expression analysis, and GO and KEGG pathway enrichment analyses were performed with the sequence information [83,84].

4.10. Statistical Analysis

The data processing system SPSS version 16.0 (IBM, Armonk, NY, USA) and Microsoft Excel 2012 (Redmond, WA, USA) was used to analyze the experimental results, and Scheffe’s test (p < 0.05) was used for analysis of variance (ANOVA).

5. Conclusions

Zinc sulfate spraying can improve the antioxidant capacity of plants to a certain extent and can increase the content of reduced glutathione. Glutathione S-transferase-related genes may be the key genes that regulate the glutathione content in the glutathione pathway, which plays an important role in improving the Cd tolerance of seashore paspalum. Our work provides a theoretical reference for zinc sulfate spraying to alleviate Cd stress in seashore paspalum (Paspalum vaginatum Swartz).

Author Contributions

Z.Y. and Y.C. provided the experimental ideas and designed the research; L.C. specifically implemented the research and performed data analysis; J.L., Q.Z. and L.X. made preliminary revisions to the paper; L.C. and Z.Y. made the final decision on the paper. All authors have read and agreed to the published version of the manuscript.

Funding

This work was supported by the program of Nanjing Agricultural University Hainan Research Institute Achievement Transformation Fund Project (201-6106220006) and National Natural Science Foundation of China NSFC (31872953, 31672193).

Data Availability Statement

The data presented in this study are available on request from the corresponding author.

Conflicts of Interest

The authors declare no conflict of interest.

References

  1. Weissmannová, H.D.; Mihočová, S.; Chovanec, P.; Pavlovský, J. Potential ecological risk and human health risk assessment of heavy metal pollution in industrial affected soils by coal mining and metallurgy in Ostrava, Czech Republic. Int. J. Environ. Res. Public Health 2019, 16, 4495. [Google Scholar] [CrossRef]
  2. Huang, C.L.; Bao, L.J.; Luo, P.; Wang, Z.Y.; Li, S.M.; Zeng, E.Y. Potential health risk for residents around a typical e-waste recycling zone via inhalation of size-fractionated particlebound heavy metals. J. Hazard. Mater. 2016, 317, 449–456. [Google Scholar] [CrossRef]
  3. Luo, J.S.; Huang, J.; Zeng, D.L.; Peng, J.S.; Zhang, G.B.; Ma, H.L.; Guan, Y.; Yi, H.Y.; Fu, Y.L.; Han, B.; et al. A defensin-like protein drives cadmium efflux and allocation in rice. Nat. Commun. 2018, 9, 645. [Google Scholar] [CrossRef]
  4. Nagajyoti, P.C.; Lee, K.D.; Sreekanth, T. Heavy metals, occurrence and toxicity for plants: A review. Environ. Chem. Lett. 2010, 8, 199–216. [Google Scholar] [CrossRef]
  5. Kramer, U. Phytoremediation: Novel approaches to cleaning up polluted soils. Curr. Opin. Biotechnol. 2005, 16, 133–141. [Google Scholar] [CrossRef]
  6. Xu, Y.; Chu, L.; Jin, Q.; Wang, Y.; Chen, X.; Zhao, H.; Xue, Z. Transcriptome-wide identification of miRNAs and their targets from Typha angustifolia by RNA-Seq and their response to cadmium stress. PLoS ONE 2015, 10, e0125462. [Google Scholar] [CrossRef]
  7. Cikili, Y.; Samet, H.; Dursun, S. Cadmium toxicity and its effects on growth and metal nutrient ion accumulation in Solanaceae. Plants J. Agric. Sci. 2016, 22, 576–587. [Google Scholar]
  8. Asgher, M.; Khan, M.I.; Anjum, N.A.; Khan, N.A. Minimising toxicity of cadmium in plants-role of plant growth regulators. Protoplasma 2015, 252, 399–413. [Google Scholar] [CrossRef]
  9. Wang, L.; Cui, X.F.; Cheng, H.G.; Chen, F.; Wang, J.T.; Zhao, X.Y.; Lin, C.Y.; Pu, X. A review of soil cadmium contamination in China including a health risk assessment. Environ. Sci. Pollut. Res. 2015, 22, 16441–16452. [Google Scholar] [CrossRef]
  10. He, Q.H.; Zhou, T.; Sun, J.K.; Wang, P.; Bai, L.; Liu, Z.M. Effect of cadmium stress on transcriptome differences in roots and leaves of Koelreuteria Paniculata seedlings. Acta Sci. Circumstantiae 2022, 42, 467–481. [Google Scholar]
  11. Shang, E.P.; Xu, E.Q.; Zhang, H.Q.; Huang, C.H. Spatial-temporal trends and pollution source analysis for heavy metal contamination of cultivated soils in five major grain producing regions of China. Environ. Sci. 2018, 39, 4670–4683. [Google Scholar]
  12. Chen, H.M. Heavy Metal Pollution in Soil-Plant System; Science Press: Beijing, China, 1996; p. 344. [Google Scholar]
  13. Hou, J.; Liu, X.H.; Cui, B.S.; Bai, J.H.; Wang, X.K. Concentration dependent alterations in gene expression induced by cadmium in Solanum lycopersicum. Environ. Sci. Pollut. Res. Int. 2017, 24, 10528–10536. [Google Scholar] [CrossRef]
  14. Riaz, M.; Kamran, M.; Rizwan, M.; Ali, S.; Parveen, A.; Malik, Z.; Wang, X.R. Cadmium uptake and translocation: Synergetic roles of selenium and silicon in Cd detoxification for the production of low Cd crops: A critical review. Chemosphere 2021, 273, 129690. [Google Scholar] [CrossRef]
  15. Haider, F.U.; Cai, L.Q.; Coulter, J.A.; Cheema, S.A.; Wu, J.; Zhang, R.Z.; Ma, W.J.; Farooq, M. Cadmium toxicity in plants: Impacts and remediation strategies. Ecotoxicol. Environ. Saf. 2021, 211, 111887. [Google Scholar] [CrossRef]
  16. Rabêlo, F.H.S.; Azevedo, R.A.; Monteiro, F.A. The proper supply of S increases amino acid synthesis and antioxidant enzyme activity in Tanzania Guinea grass used for Cd phytoextraction. Water Air Soil Pollut. 2017, 228, 394. [Google Scholar] [CrossRef]
  17. Oono, Y.; Yazawa, T.; Kanamori, H.; Sasaki, H.; Mori, S.; Handa, H.; Matsumoto, T. Genome-wide transcriptome analysis of cadmium stress in rice. Biomed Res. Int. 2016, 2016, 9739505. [Google Scholar] [CrossRef]
  18. Rao, Z.X.; Huang, D.Y.; Wu, J.S.; Zhu, Q.H.; Zhu, H.H.; Xu, C.; Xiong, J.; Wang, H.; Duan, M.M. Distribution and availability of cadmium in profile and aggregates of a paddy soil with 30-year fertilization and its impact on Cd accumulation in rice plant. Environ. Pollut. 2018, 239, 198–204. [Google Scholar] [CrossRef]
  19. Bertin, G.; Averbeck, D. Cadmium: Cellular effects, modifications of biomolecules, modulation of DNA repair and genotoxic consequences (a review). Biochimie 2006, 88, 1549–1559. [Google Scholar] [CrossRef]
  20. Nawrot, T.; Plusquin, M.; Hogervorst, J.; Roels, H.A.; Staessen, J.A.; Nawrot, T.; Plusquin, M.; Hogervorst, J.; Roels, H.A.; Staessen, J.A. Environmental exposure to cadmium and risk of cancer: A prospective population-based study. Lancet Oncol. 2006, 7, 119–126. [Google Scholar] [CrossRef]
  21. Gong, Z.; Xiong, L.; Shi, H.; Yang, S.; Herrera-Estrella, L.R.; Xu, G.; Chao, D.; Li, J.; Wang, P.; Qin, F.; et al. Plant abiotic stress response and nutrient use efficiency. Sci. China Life Sci. 2020, 63, 635–674. [Google Scholar] [CrossRef]
  22. Kazantzis, G. Cadmium, osteoporosis and calcium metabolism. Biometals 2004, 17, 493–498. [Google Scholar] [CrossRef]
  23. Wu, Q.; Meng, Y.T.; Feng, Z.H.; Shen, R.F.; Zhu, X.F. The endo-beta mannase MAN7 contributes to cadmium tolerance by modulating root cell wall binding capacity in Arabidopsis thaliana. J. Integr. Plant Biol. 2023. online ahead of print. [Google Scholar] [CrossRef]
  24. Zhang, Y.; Wang, Z.; Liu, Y.; Zhang, T.; Liu, J.; You, Z.; Huang, P.; Zhang, Z.; Wang, C. Plasma membrane-associated calcium signaling modulates cadmium transport. New Phytol. 2023, 38, 313–331. [Google Scholar] [CrossRef]
  25. Chen, L.; Hu, W.F.; Long, C.; Wang, D. Exogenous plant growth regulator alleviate the adverse effects of U and Cd stress in sunflower (Helianthus annuus L.) and improve the efficacy of U and Cd remediation. Chemosphere 2020, 262, 127809. [Google Scholar] [CrossRef]
  26. Yang, X.; Qin, J.; Li, J.; Lai, Z.; Li, H. Upland rice intercropping with Solanum nigrum inoculated with arbuscular mycorrhizal fungi reduces grain Cd while promoting phytoremediation of Cd-contaminated soil. J. Hazard. Mater. 2021, 406, 124325. [Google Scholar] [CrossRef]
  27. Wang, L.; Gao, Y.; Wang, X.; Qin, Z.; Liu, B.; Zhang, X.; Wang, G. Warming enhances the cadmium toxicity on macrophyte Myriophyllum aquaticum (Vell.) Verd. seedlings. Environ. Pollut. 2021, 268, 115912. [Google Scholar] [CrossRef]
  28. Xu, L.; Li, J.; Najeeb, U.; Li, X.; Pan, J.; Huang, Q.; Zhou, W.; Liang, Z. Synergistic effects of EDDS and ALA on phytoextraction of cadmium as revealed by biochemical and ultrastructural changes in sunflower (Helianthus annuus L.) tissues. J. Hazard. Mater. 2021, 407, 124764. [Google Scholar] [CrossRef]
  29. Li, Y.; Zhang, S.; Bao, Q.; Chu, Y.; Sun, H.; Huang, Y. Jasmonic acid alleviates cadmium toxicity through regulating the antioxidant response and enhancing the chelation of cadmium in rice (Oryza sativa L.). Environ. Pollut. 2022, 304, 119178. [Google Scholar] [CrossRef]
  30. Wu, S.; Wang, Y.; Zhang, J.; Wang, Y. Exogenous melatonin improves physiological characteristics and promotes growth of strawberry seedlings under cadmium stress. Hortic. Plant J. 2021, 7, 10. [Google Scholar] [CrossRef]
  31. Monteiro, M.; Santos, C.; Mann, R.M.; Soares, A.M.V.M.; Lopes, T. Evaluation of cadmium genotoxicity in Lactuca sativa L. using nuclear microsatellites. Environ. Exp. Bot. 2007, 60, 421–427. [Google Scholar] [CrossRef]
  32. Rouphael, Y.; Cardarelli, M.; Rea, E.; Colla, G. Grafting of cucumber as a means to minimize copper toxicity. Environ. Exp. Bot. 2008, 63, 49–58. [Google Scholar] [CrossRef]
  33. Savvas, D.; Ntatsi, G.; Barouchas, P. Impact of grafting and rootstock genotype on cation uptake by cucumber (Cucumis sativus L.) exposed to Cd or Ni stress. Sci. Hortic. 2013, 149, 86–96. [Google Scholar] [CrossRef]
  34. Guo, Z.; Lv, J.; Zhang, H.; Hu, C.; Qin, Y.; Dong, H.; Zhang, T.; Dong, X.; Du, N.; Piao, F. Red and blue light function antagonistically to regulate cadmium tolerance by modulating the photosynthesis, antioxidant defense system and Cd uptake in cucumber (Cucumis sativus L.). J. Hazard. Mater. 2022, 429, 128412. [Google Scholar] [CrossRef] [PubMed]
  35. Lonard, R.I.; Judd, F.W.; Stalter, R. Biological flora of coastal dunes and wetlands: Paspalum vaginatum Sw. J. Coast. Res. 2015, 31, 213–223. [Google Scholar] [CrossRef]
  36. Papoyan, A.; Pineros, M.; Kochian, L.V. Plant Cd2+ and Zn2+ status effects on root and shoot heavy metal accumulation in Thlaspi caerulescens. New Phytol. 2007, 175, 51–58. [Google Scholar] [CrossRef]
  37. Fageria, N.K.; Baligar, V.C.; Clark, R.B. Micronutrients in crop production. Adv. Agron. 2002, 77, 189–272. [Google Scholar]
  38. Doolette, C.L.; Read, T.L.; Li, C.; Scheckel, K.G.; Donner, E.; Kopittke, P.M.; Lombi, E. Foliar application of zinc sulphate and zinc EDTA to wheat leaves: Differences in mobility, distribution, and speciation. J. Exp. Bot. 2018, 69, 4469–4481. [Google Scholar] [CrossRef]
  39. Wu, F.; Zhang, G. Alleviation of cadmium-toxicity by application of zinc and ascorbic acid in barley. J. Plant Nutr. 2002, 25, 2745–2761. [Google Scholar] [CrossRef]
  40. Hafeez, B.; Khanif, Y.M.; Saleem, M. Role of zinc in plant nutrition—A Review. Am. J. Exp. Agric. 2013, 3, 374–391. [Google Scholar] [CrossRef]
  41. Outten, C.E.; O’Halloran, T.V. Femtomolar sensitivity of metalloregulatory proteins controlling zinc homeostasis. Science 2001, 292, 2488–2492. [Google Scholar] [CrossRef]
  42. Pandey, N.; Pathak, G.C.; Sharma, C.P. Zinc is critically required for pollen function and fertilisation in lentil. J. Trace Elem. Med. Bio. 2006, 20, 89–96. [Google Scholar] [CrossRef]
  43. Gitelson, A.A.; Gritz, Y.; Merzlyak, M.N. Relationships between leaf chlorophyll content and spectral reflectance and algorithms for nondestructive chlorophyll assessment in higher plant leaves. J. Plant Physiol. 2003, 160, 271–282. [Google Scholar] [CrossRef]
  44. Sharma, S.; Sharma, P.; Datta, S.P.; Gupta, V. Morphological and biochemical response of Cicer arietinum L. var. pusa-256 towards an excess of zinc concentration. Life Sci. J. 2010, 7, 95–98. [Google Scholar]
  45. Pedler, J.R.; Parker, D.E.; Crowley, D. Zinc deficiency-induced phytosiderophore release by the Triticaceae is not consistently expressed in solution culture. Planta 2000, 211, 120–126. [Google Scholar] [CrossRef]
  46. Brennan, R. Zinc Application and its Availability to Plants. Ph.D. Thesis, Murdoch University, Perth, Australia, 2005. [Google Scholar]
  47. Cakmak, I. Enrichment of cereal grains with zinc: Agronomic or genetic biofortification. Plant Soil. 2008, 302, 1–17. [Google Scholar] [CrossRef]
  48. Arduini, I.; Ercoli, L.; Mariotti, M.; Masoni, A. Response of miscanthus to toxic cadmium applications during the period of maximum growth. Environ. Exp. Bot. 2006, 55, 29–40. [Google Scholar] [CrossRef]
  49. Singh, S.; Eapen, S.; D’Souza, S.F. Cadmium accumulation and its influence on lipid peroxidation and antioxidative system in an aquatic plant, Bacopa monnieri L. Chemosphere 2006, 62, 233–246. [Google Scholar] [CrossRef]
  50. Ashraf, S.; Ali, Q.; Zahir, Z.A.; Ashraf, S.; Asghar, H.N. Phytoremediation: Environmentally sustainable way for reclamation of heavy metal polluted soils. Ecotoxicol. Environ. Saf. 2019, 174, 714–727. [Google Scholar] [CrossRef]
  51. Lux, A.; Martinka, M.; Vaculík, M.; White, P.J. Root responses to cadmium in the rhizosphere: A review. J. Exp. Bot. 2011, 62, 21–37. [Google Scholar] [CrossRef]
  52. Adil, M.F.; Sehar, S.; Chen, G.; Chen, Z.H.; Jilani, G.; Chaudhry, A.N.; Shamsi, I.H. Cadmium-zinc cross-talk delineates toxicity tolerance in rice via differential genes expression and physiological/ultrastructural adjustments. Ecotoxicol. Environ. Saf. 2020, 190, 110076. [Google Scholar] [CrossRef]
  53. Fontanili, L.; Lancilli, C.; Suzui, N.; Dendena, B.; Yin, Y.-G.; Ferri, A.; Ishii, S.; Kawachi, N.; Lucchini, G.; Fujimaki, S.; et al. Kinetic analysis of zinc/cadmium reciprocal competitions suggests a possible Zn-insensitive pathway for root-toshoot cadmium translocation in rice. Rice 2016, 9, 16. [Google Scholar] [CrossRef] [PubMed]
  54. Bochicchio, R.; Sofo, A.; Terzano, R.; Gattullo, C.E.; Amato, M.; Scopa, A. Root architecture and morphometric analysis of Arabidopsis thaliana grown in Cd/Cu/Zn-gradient agar dishes: A new screening technique for studying plant response to metals. Plant Physiol. Biochem. 2015, 91, 20–27. [Google Scholar] [CrossRef] [PubMed]
  55. Saifullah; Javed, H.; Naeem, A.; Rengel, Z.; Dahlawi, S. Timing of foliar Zn application plays a vital role in minimizing Cd accumulation in wheat. Environ. Sci. Pollut. Res. Int. 2016, 23, 16432–16439. [Google Scholar] [CrossRef] [PubMed]
  56. Antonovics, J.; Bradshaw, J.A.D.; Turner, J.R.G. Heavy metal tolerance in plants. Adv. Environ. Sci. Technol. 1971, 7, 1–85. [Google Scholar]
  57. Clemens, S.; Antosiewicz, D.M.; Ward, J.M.; Schachtman, D.P.; Schroeder, J.I. The plant cDNA LCT1 mediates the uptake of calcium and cadmium in yeast. Proc. Natl. Acad. Sci. USA 1998, 95, 12043–12048. [Google Scholar] [CrossRef]
  58. Stohs, S.J.; Bagchi, D. Oxidative mechanisms in the toxicity of metal ions. Free Radic. Biol. Med. 1995, 18, 321–336. [Google Scholar] [CrossRef]
  59. Weber, M.; Trampczynska, A.; Clemens, S. Comparative transcriptome analysis of toxic metal responses in Arabidopsis thaliana and the Cd(2+)-hypertolerant facultative metallophyte Arabidopsis halleri. Plant Cell Environ. 2006, 29, 950–963. [Google Scholar] [CrossRef]
  60. Chen, D.; Toone, W.M.; Mata, J.; Lyne, J.R.; Burns, J.G.; Kivinen, K.; Brazma, A.; Jones, N.; Bähler, J. Global transcriptional responses of fission yeast to environmental stress. Mol. Biol. Cell. 2003, 14, 214–229. [Google Scholar] [CrossRef]
  61. Ye, P.; Wang, M.; Zhang, T.; Liu, X.; Jiang, H.; Sun, Y.; Cheng, X.; Yan, Q. Enhanced Cadmium accumulation and tolerance in transgenic hairy roots of Solanum nigrum L. Expressing Iron-Regulated Transporter Gene IRT1. Life 2020, 10, 324. [Google Scholar] [CrossRef]
  62. Takahashi, R.; Ishimaru, Y.; Senoura, T.; Shimo, H.; Ishikawa, S.; Arao, T.; Nakanishi, H.; Nishizawa, N.K. The OsNRAMP1 iron transporter is involved in Cd accumulation in rice. J. Exp. Bot. 2011, 62, 4843–4850. [Google Scholar] [CrossRef]
  63. Keeran, N.S.; Ganesan, G.; Parida, A.K. A novel heavy metal ATPase peptide from Prosopis juliflora is involved in metal uptake in yeast and tobacco. Transgenic Res. 2017, 26, 247–261. [Google Scholar] [CrossRef]
  64. Pittman, J.K.; Hirschi, K.D. CAX-ing a wide net: Cation/H+, transporters in metal remediation and abiotic stress signalling. Plant Biol. 2016, 18, 741–749. [Google Scholar] [CrossRef]
  65. Song, W.Y.; Park, J.; Mendoza-Cózatl, D.G.; Suter-Grotemeyer, M.; Shim, D.; Hörtensteiner, S.; Geisler, M.; Weder, B.; Rea, P.A.; Rentsch, D.; et al. Arsenic tolerance in Arabidopsis is mediated by two ABCC-type phytochelatin transporters. Proc. Natl. Acad. Sci. USA 2010, 107, 21187–21192. [Google Scholar] [CrossRef] [PubMed]
  66. Gendre, D.; Czernic, P.; Conéjéro, G.; Pianelli, K.; Briat, J.F.; Lebrun, M.; Mari, S. TcYSL3, a member of the YSL gene family from the hyper-accumulator Thlaspi caerulescens, encodes a nicotianamine-Ni/Fe transporter. Plant J. 2007, 49, 1–15. [Google Scholar] [CrossRef]
  67. Chen, X.M.; Shi, X.Y.; Ai, Q.; Han, J.Y.; Wang, H.S.; Fu, Q.S. Transcriptomic and metabolomic analyses reveal that exogenous strigolactones alleviate the response of melon root to cadmium stress. Hortic. Plant J. 2022, 8, 637–649. [Google Scholar] [CrossRef]
  68. Reddy, A.R.; Raghavendra, A.S. Photooxidative stress. In Physiology and Molecular Biology of Stress Tolerance in Plants; Madhava Rao, K.V., Raghavendra, A.S., Reddy, K.J., Eds.; Springer: Dordrecht, The Netherlands, 2006; pp. 157–186. [Google Scholar]
  69. Ding, S.; Lu, Q.; Zhang, Y.; Yang, Z.; Wen, X.; Zhang, L.; Lu, C. Enhanced sensitivity to oxidative stress in transgenic tobacco plants with decreased glutathione reductase activity leads to a decrease in ascorbate pool and ascorbate redox state. Plant Mol. Biol. 2009, 69, 577–592. [Google Scholar] [CrossRef]
  70. Dixon, D.P.; Skipsey, M.; Edwards, R. Roles for glutathione transferases in plant secondary metabolism. Phytochemistry 2010, 71, 338–350. [Google Scholar] [CrossRef]
  71. Foyer, C.H.; Noctor, G. Redox homeostasis and antioxidant signaling: A metabolic interface between stress perception and physiological responses. Plant Cell. 2005, 17, 1866–1875. [Google Scholar] [CrossRef]
  72. Noctor, G.; Foyer, C.H. A re-evaluation of the ATP: NADPH budget during C3 photosynthesis. A contribution from nitrate assimilation and its associated respiratory activity? J. Exp. Bot. 1998, 49, 1895–1908. [Google Scholar] [CrossRef]
  73. Briviba, K.; Klotz, L.O.; Sies, H. Toxic and signaling effects of photochemically or chemically generated singlet oxygen in biological systems. Biol. Chem. 1997, 378, 1259–1265. [Google Scholar]
  74. Larson, R.A. The antioxidants of higher plants. Phytochemistry 1988, 27, 969–978. [Google Scholar] [CrossRef]
  75. Keunen, E.; Schellingen, K.; Vangronsveld, J.; Cuypers, A. Ethylene and metal stress: Small molecule, big impact. Front. Plant Sci. 2016, 7, 23. [Google Scholar] [CrossRef]
  76. Jozefczak, M.; Remans, T.; Vangronsveld, J.; Cuypers, A. Glutathione is a key player in metal-induced oxidative stress defenses. Int. J. Mol. Sci. 2012, 13, 3145–3175. [Google Scholar] [CrossRef] [PubMed]
  77. Chen, J.H.; Wu, X.; Song, J.X.; Xing, G.P.; Liang, L.; Yin, Q.L.; Guo, A.J.; Cui, J. Transcriptomic and physiological comparsion of the short-term responses of two Oryza sativa L. varieties to cadmium. Environ. Exp. Bot. 2021, 181, 104292. [Google Scholar] [CrossRef]
  78. Ma, J.F.; Goto, S.; Ichii, T.M.; Ichii, M. Role of root hairs and lateral roots in silicon uptake by rice. Plant Physiol. 2001, 127, 1773–1780. [Google Scholar] [CrossRef]
  79. Cao, X.R.; Wang, X.Z.; Tong, W.B.; Gurajala, H.K.; Lu, M.; Hamid, Y.; Feng, Y.; He, Z.L.; Yang, X.E. Distribution, availability and translocation of heavy metals in soil-oilseed rape (Brassica napus L.) system related to soil properties. Environ. Pollut. 2019, 252, 733–741. [Google Scholar] [CrossRef]
  80. Ma, L.; Tian, T.; Lin, R.; Deng, X.-W.; Wang, H.; Li, G. Arabidopsis FHY3 and FAR1 regulate light-induced myo-Inositol biosynthesis and oxidative stress responses by transcriptional activation of MIPS1. Mol. Plant. 2016, 9, 541–557. [Google Scholar] [CrossRef]
  81. Jiang, M.Y.; Zhang, J.H. Effect of abscisic acid on active oxygen species, antioxidant defence system and oxidative damage in leaves of maize seedlings. Plant Cell Physiol. 2001, 42, 1265–1273. [Google Scholar] [CrossRef]
  82. Chen, L.; Fan, J.; Hu, L.; Hu, Z.; Xie, Y.; Zhang, Y.; Lou, Y.; Nevo, E.; Fu, J. A transcriptomic analysis of bermudagrass (Cynodon dactylon) provides novel insights into the basis of low temperature tolerance. BMC Plant Biol. 2015, 15, 216. [Google Scholar] [CrossRef]
  83. Zhu, H.; Ai, H.; Cao, L.; Sui, R.; Ye, H.; Du, D.; Sun, J.; Yao, J.; Chen, K.; Chen, L. Transcriptome analysis providing novel insights for Cd-resistant tall fescue responses to Cd stress. Ecotoxicol. Environ. Saf. 2018, 160, 349–356. [Google Scholar] [CrossRef]
  84. Zhu, H.; Ai, H.; Hu, Z.; Du, D.; Sun, J.; Chen, K.; Chen, L. Comparative transcriptome combined with metabolome analyses revealed key factors involved in nitric oxide (NO)-regulated cadmium stress adaptation in tall fescue. BMC Genom. 2020, 21, 601. [Google Scholar] [CrossRef] [PubMed]
Figure 1. Heavy metal accumulation in seashore paspalum treated with Zn (0, 2.5, and 40 µM) under Cd2+ (5 µM) stress. Note: Different lowercase letters represent significant differences within columns at the 0.05 level based on Scheffe’s test. 0 Zn: 0 mM ZnSO4; 2.5 Zn: 2.5 mM ZnSO4; 40 Zn: 40 mM ZnSO4 (the same below).
Figure 1. Heavy metal accumulation in seashore paspalum treated with Zn (0, 2.5, and 40 µM) under Cd2+ (5 µM) stress. Note: Different lowercase letters represent significant differences within columns at the 0.05 level based on Scheffe’s test. 0 Zn: 0 mM ZnSO4; 2.5 Zn: 2.5 mM ZnSO4; 40 Zn: 40 mM ZnSO4 (the same below).
Plants 12 01982 g001
Figure 2. Effect of zinc sulfate spraying on reactive oxygen contents of seashore paspalum under Cd stress. Note: Different lowercase letters represent significant differences within columns at the 0.05 level based on Scheffe’s test.
Figure 2. Effect of zinc sulfate spraying on reactive oxygen contents of seashore paspalum under Cd stress. Note: Different lowercase letters represent significant differences within columns at the 0.05 level based on Scheffe’s test.
Plants 12 01982 g002
Figure 3. Effects of zinc sulfate spray on gene expression of cadmium uptake-related gene family members in seashore paspalum under cadmium stress.
Figure 3. Effects of zinc sulfate spray on gene expression of cadmium uptake-related gene family members in seashore paspalum under cadmium stress.
Plants 12 01982 g003
Figure 4. Venn diagram of differentially expressed genes.
Figure 4. Venn diagram of differentially expressed genes.
Plants 12 01982 g004
Figure 5. Volcano plot of differentially expressed genes. Note: (A) volcano plot of differentially expressed genes between 2.5 Zn and 0 Zn; (B) volcano plot of differentially expressed genes between 40 Zn and 0 Zn.
Figure 5. Volcano plot of differentially expressed genes. Note: (A) volcano plot of differentially expressed genes between 2.5 Zn and 0 Zn; (B) volcano plot of differentially expressed genes between 40 Zn and 0 Zn.
Plants 12 01982 g005
Figure 6. Diagram of KEGG pathway enrichment for differentially expressed genes. Note: Scatter diagram of KEGG pathway enrichment for differentially expressed genes: (A) between 2.5 Zn and 0 Zn; (B) between 40 Zn and 0 Zn.
Figure 6. Diagram of KEGG pathway enrichment for differentially expressed genes. Note: Scatter diagram of KEGG pathway enrichment for differentially expressed genes: (A) between 2.5 Zn and 0 Zn; (B) between 40 Zn and 0 Zn.
Plants 12 01982 g006
Figure 7. Mechanism of cadmium tolerance of seashore paspalum as a result of zinc sulfate spraying via the glutathione metabolic pathway.
Figure 7. Mechanism of cadmium tolerance of seashore paspalum as a result of zinc sulfate spraying via the glutathione metabolic pathway.
Plants 12 01982 g007
Figure 8. Mechanism of controlling the cadmium tolerance of seashore paspalum as a result of zinc sulfate spraying. Note: arrows indicate an increase or a decrease in the content of a substance or enzyme activity.
Figure 8. Mechanism of controlling the cadmium tolerance of seashore paspalum as a result of zinc sulfate spraying. Note: arrows indicate an increase or a decrease in the content of a substance or enzyme activity.
Plants 12 01982 g008
Table 1. Effect of zinc sulfate on the photosynthetic parameters of seashore paspalum under cadmium stress.
Table 1. Effect of zinc sulfate on the photosynthetic parameters of seashore paspalum under cadmium stress.
TreatmentNet Photosynthetic Rate
μmol CO2 m−2·s−1
Stomatal Conductance
mol H2O m−2·s−1
Transpiration Rate
mmol H2O m−2·s−1
0 Zn1.3536 ± 0.0367 b0.0236 ± 0.0011 b0.3204 ± 0.0099 c
2.5 Zn4.2197 ± 0.0646 a0.0482 ± 0.0008 a0.6245 ± 0.0109 a
40 Zn1.4184 ± 0.0510 b0.0276 ± 0.0009 b0.3661 ± 0.0091 b
Note: Different lowercase letters represent significant differences within columns at the 0.05 level based on Scheffe’s test.
Table 2. Effect of zinc sulfate spray on the antioxidant metabolism of seashore paspalum under cadmium stress.
Table 2. Effect of zinc sulfate spray on the antioxidant metabolism of seashore paspalum under cadmium stress.
ParameterPart0 Zn2.5 Zn40 Zn
SOD (U/g FW)Root47.44 ± 4.16 c193.44 ± 4.76 a152.82 ± 7.01 b
Stem46.16 ± 3.36 b71.35 ± 1.59 a83.98 ± 8.34 a
Leaf50.93 ± 3.72 b78.15 ± 6.67 a56.30 ± 3.32 b
APX (U/g FW)Root0.17 ± 0.02 b0.73 ± 0.04 a0.23 ± 0.01 b
Stem0.64 ± 0.02 a0.91 ± 0.08 a0.85 ± 0.08 a
Leaf2.93 ± 0.26 b4.59 ± 0.30 a3.19 ± 0.02 b
GR (U/g FW)Root0.07 ± 0.01 b0.16 ± 0.01 a0.10 ± 0.02 b
Stem0.10 ± 0.00 b0.18 ± 0.02 a0.16 ± 0.03 b
Leaf0.12 ± 0.00 b0.21 ± 0.01 a0.16 ± 0.01 b
GST (U/g FW)Root0.01 ± 0.00 b0.04 ± 0.01 a0.03 ± 0.01 ab
Stem0.04 ± 0.00 c0.33 ± 0.01 a0.21 ± 0.01 b
Leaf0.09 ± 0.00 b0.26 ± 0.01 a0.25 ± 0.02 a
GSH (μmol/g FW)Root106.28 ± 9.40 b151.24 ± 3.58 a146.59 ± 5.52 a
Stem190.91 ± 8.02 b357.58 ± 8.02 a321.21 ± 19.48 a
Leaf785.86 ± 34.34 c1244.44 ± 69.33 a949.49 ± 8.81 b
GSSG (μmol/g FW)Root46.46 ± 2.67 b92.02 ± 7.07 a70.71 ± 3.77 c
Stem111.71 ± 4.10 c152.02 ± 2.61 a130.31 ± 3.72 b
Leaf89.22 ± 4.32 b153.57 ± 7.87 a140.39 ± 5.19 a
T-AOC (U/mL)Root126.10 ± 7.11 b363.62 ± 12.82 a323.45 ± 10.98 a
Stem45.34 ± 2.47 c348.81 ± 13.62 b137.24 ± 6.57 b
Leaf17.10 ± 3.91 b40.86 ± 6.34 a36.37 ± 2.72 ab
MDA (nmol/L)Root6.10 ± 0.34 a3.76 ± 0.08 b5.47 ± 0.18 a
Stem3.69 ± 0.12 a1.24 ± 0.2 c2.30 ± 0.08 b
Leaf2.78 ± 0.19 a1.56 ± 0.12 b2.45 ± 0.25 a
PRO (μg/g FW)Root17.01 ± 0.12 a4.54 ± 0.13 c6.80 ± 0.40 b
Stem756.96 ± 22.87 a354.88 ± 69.18 b481.86 ± 55.12 b
Leaf1960.32 ± 128.02 a714.29 ± 52.29 b718.82 ± 75.45 b
Note: SOD: superoxide dismutase; APX: ascorbate peroxidase; GR: glutathione reductase; GST: glutathione S-transferase; GSH: reduced glutathione; GSSG: glutathiol; T-AOC: total antioxidant capacity; MDA: malondialdehyde; PRO: proline. Different lowercase letters represent significant differences within columns at the 0.05 level based on Scheffe’s test.
Table 3. Statistics showing the number of differentially expressed genes.
Table 3. Statistics showing the number of differentially expressed genes.
DEG SetNo. of DEGsUpregulatedDownregulated
2.5 Zn vs. 0 Zn729138493442
40 Zn vs. 0 Zn778131374644
Disclaimer/Publisher’s Note: The statements, opinions and data contained in all publications are solely those of the individual author(s) and contributor(s) and not of MDPI and/or the editor(s). MDPI and/or the editor(s) disclaim responsibility for any injury to people or property resulting from any ideas, methods, instructions or products referred to in the content.

Share and Cite

MDPI and ACS Style

Cui, L.; Chen, Y.; Liu, J.; Zhang, Q.; Xu, L.; Yang, Z. Spraying Zinc Sulfate to Reveal the Mechanism through the Glutathione Metabolic Pathway Regulates the Cadmium Tolerance of Seashore Paspalum (Paspalum vaginatum Swartz). Plants 2023, 12, 1982. https://doi.org/10.3390/plants12101982

AMA Style

Cui L, Chen Y, Liu J, Zhang Q, Xu L, Yang Z. Spraying Zinc Sulfate to Reveal the Mechanism through the Glutathione Metabolic Pathway Regulates the Cadmium Tolerance of Seashore Paspalum (Paspalum vaginatum Swartz). Plants. 2023; 12(10):1982. https://doi.org/10.3390/plants12101982

Chicago/Turabian Style

Cui, Liwen, Yu Chen, Jun Liu, Qiang Zhang, Lei Xu, and Zhimin Yang. 2023. "Spraying Zinc Sulfate to Reveal the Mechanism through the Glutathione Metabolic Pathway Regulates the Cadmium Tolerance of Seashore Paspalum (Paspalum vaginatum Swartz)" Plants 12, no. 10: 1982. https://doi.org/10.3390/plants12101982

APA Style

Cui, L., Chen, Y., Liu, J., Zhang, Q., Xu, L., & Yang, Z. (2023). Spraying Zinc Sulfate to Reveal the Mechanism through the Glutathione Metabolic Pathway Regulates the Cadmium Tolerance of Seashore Paspalum (Paspalum vaginatum Swartz). Plants, 12(10), 1982. https://doi.org/10.3390/plants12101982

Note that from the first issue of 2016, this journal uses article numbers instead of page numbers. See further details here.

Article Metrics

Back to TopTop