Euphocactoside, a New Megastigmane Glycoside from Euphorbia cactus Growing in Saudi Arabia
Abstract
:1. Introduction
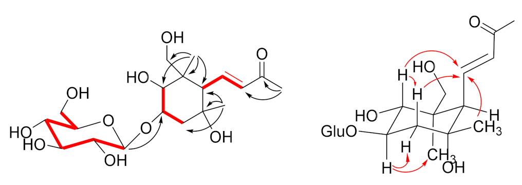
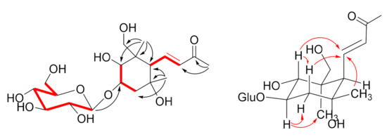
2. Results and Discussion
3. Materials and Methods
3.1. General
3.2. Plant Material
3.3. Extraction and Isolation
3.4. Cytotoxic Activity
4. Conclusions
Supplementary Materials
Author Contributions
Funding
Data Availability Statement
Conflicts of Interest
References
- Batanouny, K.H.; Stichler, W.; Ziegler, H. Phytosynthetic pathways and ecological distribution of Euphorbia species in Egypt. Oecologia 1991, 87, 565–569. [Google Scholar] [CrossRef] [PubMed]
- El-Hawary, S.S.; Mohammed, R.; Lithy, N.M.; AbouZid, S.F.; Mansour, M.A.; Almahmoud, S.A.; Huwaimel, B.; Amin, E. Digalloyl glycoside: A potential inhibitor of trypanosomal PFK from Euphorbia abyssinica J.F. Gmel. Plants 2022, 11, 173. [Google Scholar] [CrossRef] [PubMed]
- Kemboi, D.; Peter, X.; Langat, M.; Tembu, V.J. A Review of the ethnomedicinal uses, biological activities, and triterpenoids of Euphorbia species. Molecules 2020, 25, 4019. [Google Scholar] [CrossRef] [PubMed]
- Kemboi, D.; Siwe-Noundou, X.; Krause, R.W.M.; Langat, M.K.; Tembu, V.J. Euphorbia diterpenes: An update of isolation, structure, pharmacological activities and structure-activity relationship. Molecules 2021, 26, 5055. [Google Scholar] [CrossRef] [PubMed]
- Goel, G.; Makkar, H.P.S.; Francis, G.; Becker, K. Phorbol esters: Structure, biological activity, and toxicity in animals. Int. J. Toxicol. 2007, 26, 279–288. [Google Scholar] [CrossRef] [PubMed]
- Ernst, M.; Grace, O.M.; Saslis-Lagoudakis, C.H.; Nilsson, N.; Simonsen, H.T.; Rønsted, N. Global medicinal uses of Euphorbia L. (Euphorbiaceae). J. Ethnopharmacol. 2015, 176, 90–101. [Google Scholar] [CrossRef] [PubMed]
- Gras, J. Ingenol mebutate: A new option for actinic keratosis treatment. Drugs Today 2013, 49, 15–22. [Google Scholar] [CrossRef] [PubMed]
- de Almeida, A.S.; Bernardes, L.D.B.; Trevisan, G. TRP channels in cancer pain. Eur. J. Pharmacol. 2021, 904, 174185. [Google Scholar] [CrossRef]
- Fattorusso, E.; Lanzotti, V.; Tagliatatela-Scafati, O.; Tron, G.C.; Appendino, G. Bisnorsesquiterpenoids from Euphorbia resinifera Berg. and an expeditious procedure to obtain resiniferatoxin from its fresh latex. Eur. J. Org. Chem. 2002, 2002, 71–78. [Google Scholar] [CrossRef]
- Corea, G.; Fattorusso, E.; Lanzotti, V.; Taglialatela-Scafati, O.; Appendino, G.; Ballero, M.; Simon, P.; Dumontet, C.; Di Pietro, A. Jatrophane diterpenes as P-glycoprotein inhibitors. First insight of structure-activity relationships and discovery of a new powerful lead. J. Med. Chem. 2003, 46, 3395–3402. [Google Scholar] [CrossRef]
- Corea, G.; Fattorusso, E.; Lanzotti, V.; Taglialatela-Scafati, O.; Appendino, G.; Ballero, M.; Simon, P.; Dumontet, C.; Di Pietro, A. Modified Jatrophane Diterpenes as Modulators of Multidrug Resistance from Euphorbia dendroides L. Bioorg. Med. Chem. 2003, 11, 5221–5227. [Google Scholar] [CrossRef] [PubMed]
- Rawal, M.K.; Shokoohinia, Y.; Chianese, G.; Zolfaghari, B.; Appendino, G.; Taglialatela-Scafati, O.; Prasad, R.; Di Pietro, A. Jatrophanes from Euphorbia squamosa as potent inhibitors of Candida albicans multidrug transporters. J. Nat. Prod. 2014, 77, 2700–2706. [Google Scholar] [CrossRef] [PubMed]
- Al-Fatimi, M.; Friedrich, U.; Jenett-Siems, K. Cytotoxicity of plants used in traditional medicine in Yemen. Fitoterapia 2005, 76, 355–358. [Google Scholar] [CrossRef] [PubMed]
- Al-Faif, Z.I. In vitro anticancer, antioxidant and antimicrobial activities of crude methanolic extract of Euphorbia cactus Ehrenb plant. Int. J. Pharmacol. 2019, 15, 907–915. [Google Scholar] [CrossRef]
- Al-Hajj, M.M.A.; Al-Shamahy, H.A.; Alkhatib, B.Y.; Moharram, B.A. In vitro anti leishmanial activity against cutaneous leishmania parasites and preliminary phytochemical analysis of four Yemeni medicinal plants. Univers. J. Pharm. Res. 2018, 3, 48–54. [Google Scholar] [CrossRef] [Green Version]
- Gnoatto, S.C.B.; Dassonville-Klimpt, A.; Da Nascimento, S.; Galera, P.; Boumediene, K.; Gosmann, G.; Sonnet, P.; Moslemi, S. Evaluation of ursolic acid isolated from Ilex paraguariensis and derivatives on aromatase inhibition. Eur. J. Med. Chem. 2008, 43, 1865–1877. [Google Scholar] [CrossRef] [PubMed]
- Ercil, D.; Sakar, M.K.; Del Olmo, E.; San Feliciano, A. Chemical constituents of Linaria aucheri. Turk. J. Chem. 2004, 28, 133–139. [Google Scholar]
- Lopatriello, A.; Previtera, R.; Pace, S.; Werner, M.; Rubino, L.; Werz, O.; Taglialatela-Scafati, O.; Forino, M. NMR-based identification of the major bioactive molecules from an Italian cultivar of Lycium barbarum. Phytochemistry 2017, 144, 52–57. [Google Scholar] [CrossRef]
- Huong, N.T.; Vien, L.T.; Hanh, T.T.H.; Dang, N.H.; Thanh, N.V.; Cuong, N.X.; Nam, N.H.; Truong, L.H.; Ban, N.K.; Kiem, P.V.; et al. Triterpene saponins and megastigmane glucosides from Camellia bugiamapensis. Bioorg. Med. Chem. Lett. 2017, 27, 557–561. [Google Scholar] [CrossRef]
- Ibrahim, L.F.; El-Senousy, W.M.; Hawas, U.W. NMR spectral analysis of flavonoids from coronarium. Chem. Nat. Compd. 2007, 43, 659–662. [Google Scholar] [CrossRef]
- Mezhoud, S.; Aissaoui, H.; Derbre, S.; Mekkiou, R.; Richaume, P.; Benayache, S.; Benayache, F. Flavonoid glycosides from Periploca laevigata (Asclepiadaceae) from Algeria. Der Pharma Chem. 2016, 8, 129–131. [Google Scholar]
- Chen, C.-Y.; Hsieh, S.-L.; Hsieh, M.-M.; Hsieh, S.-F.; Hsieh, T.-J. Substituent chemical shift of rhamnosides from the stems of Cinnamomum osmophloeum. Chin. Pharm. J. 2004, 56, 141–146. [Google Scholar]
- El Hassan, G.O.M.; Adhikari, A.; Abdalla, O.M.; Shukrulla, A.; Khalid, A.; Choudhary, M.I.; Mesaik, M.A.; Yagi, S. Chemical constituents of Euphorbia polyacantha Boiss. and their immunomodulatory properties. Rec. Nat. Prod. 2015, 9, 146–152. [Google Scholar]
- Ernst, M.; Nothias, L.F.; van der Hooft, J.J.J.; Silava, R.R.; Saslis-Lagoudakis, C.H.; Grace, O.M.; Martinez-Swatson, K.; Hassemer, G.; Funez, L.A.; Simonsen, H.T.; et al. Assessing specialized metabolite diversity in the cosmopolitan plant genus Euphorbia L. Front. Plant Sci. 2019, 10, 846. [Google Scholar] [CrossRef] [PubMed]
- El-Halawany, A.M.; Osman, S.M.; Abdallah, H.M. Cytotoxic constituents from Vicia monantha subsp. monantha seeds. Nat. Prod. Res. 2019, 33, 1783–1786. [Google Scholar] [CrossRef] [PubMed]
- Feng, J.H.; Chen, W.; Zhao, Y.; Ju, X.L. Anti-tumor activity of oleanolic, ursolic and glycyrrhetinic acid. Open Nat. Prod. J. 2009, 2, 48–52. [Google Scholar] [CrossRef] [Green Version]
- Kopustinskiene, D.M.; Jakstas, V.; Savickas, A.; Bernatoniene, J. Flavonoids as anticancer agents. Nutrients 2020, 12, 457. [Google Scholar] [CrossRef] [PubMed] [Green Version]
- Nasr, F.A.; Shahat, A.A.; Alqahtani, A.S.; Ahmed, M.Z.; Qamar, W.; Al-Mishari, A.A.; Almoqbil, A.N. Centaurea bruguierana inhibits cell proliferation, causes cell cycle arrest, and induces apoptosis in human MCF-7 breast carcinoma cells. Mol. Biol. Rep. 2020, 47, 6043–6051. [Google Scholar] [CrossRef]



| Position | δH (mult., J in Hz) | δc |
|---|---|---|
| 1 | - | 49.6 |
| 2 | 3.51 (d, 8.3) | 73.0 |
| 3 | 3.68 (ddd, 10.0, 8.3, 6.5) | 81.4 |
| 4a | 2.01 (dd, 13.0, 6.5) | 40.2 |
| 4b | 1.67 (dd, 13.0, 10.0) | |
| 5 | - | 82.4 |
| 6 | 2.36 (d, 10.2) | 59.5 |
| 7 | 6.73 (dd, 15.6, 10.2) | 141.6 |
| 8 | 6.25 (d, 15.6) | 135.7 |
| 9 | - | 198.0 |
| 10 | 2.27 (s) | 27.9 |
| 11° | 3.91 (d, 8.0) | 72.9 |
| 11b | 3.26 (d, 8.0) | |
| 12 | 0.95 (s) | 18.3 |
| 13 | 1.11 (s) | 24.6 |
| 1′ | 4.25 (d, 8.0) | 102.8 |
| 2′ | 3.00 (dd, 8.0, 7.8) | 70.7 |
| 3′ | 3.17 (t, 7.8) | 77.3 |
| 4′ | 3.39, overlapped | 77.0 |
| 5′ | 3.35, overlapped | 73.6 |
| 6′a | 3.71, m | 61.6 |
| 6′b | 3.41, overlapped |
| Compound | Cell Lines and IC50 (µM) | ||
|---|---|---|---|
| A549 | LoVo | MCF-7 | |
| 1 | 49.9 ± 2.7 | 34.4 ± 1.2 | 36.3 ± 1.8 |
| 2 | 53.5 ± 2.4 | 37.2 ± 1.3 | 46.1 ± 1.2 |
| 3 | 26.5 ± 0.4 | 26.4 ± 0.5 | 31.9 ± 2.9 |
| 4 | NA | NA | NA |
| 5 | NA | NA | NA |
| 6 | NA | NA | NA |
| 7 | NA | NA | NA |
| 8 | 19.8 ± 0.3 | 19.0 ± 0.4 | 18.6 ± 0.3 |
| 9 | 52.4 ± 0.7 | 46.3 ± 0.4 | 52.7 ± 0.6 |
| 10 | NA | NA | NA |
| 11 | NA | NA | NA |
| Doxorubicin | 3.2 ± 0.3 | 4.74 ± 0.2 | 5.0 ± 0.7 |
Publisher’s Note: MDPI stays neutral with regard to jurisdictional claims in published maps and institutional affiliations. |
© 2022 by the authors. Licensee MDPI, Basel, Switzerland. This article is an open access article distributed under the terms and conditions of the Creative Commons Attribution (CC BY) license (https://creativecommons.org/licenses/by/4.0/).
Share and Cite
Aati, H.Y.; Perveen, S.; Al-Qahtani, J.; Peng, J.; Al-Taweel, A.; Alqahtani, A.S.; ElGamal, A.; Chianese, G.; Nasr, F.A.; Taglialatela-Scafati, O.; et al. Euphocactoside, a New Megastigmane Glycoside from Euphorbia cactus Growing in Saudi Arabia. Plants 2022, 11, 811. https://doi.org/10.3390/plants11060811
Aati HY, Perveen S, Al-Qahtani J, Peng J, Al-Taweel A, Alqahtani AS, ElGamal A, Chianese G, Nasr FA, Taglialatela-Scafati O, et al. Euphocactoside, a New Megastigmane Glycoside from Euphorbia cactus Growing in Saudi Arabia. Plants. 2022; 11(6):811. https://doi.org/10.3390/plants11060811
Chicago/Turabian StyleAati, Hanan Y., Shagufta Perveen, Jawaher Al-Qahtani, Jiangnan Peng, Areej Al-Taweel, Ali S. Alqahtani, Ali ElGamal, Giuseppina Chianese, Fahd A. Nasr, Orazio Taglialatela-Scafati, and et al. 2022. "Euphocactoside, a New Megastigmane Glycoside from Euphorbia cactus Growing in Saudi Arabia" Plants 11, no. 6: 811. https://doi.org/10.3390/plants11060811
APA StyleAati, H. Y., Perveen, S., Al-Qahtani, J., Peng, J., Al-Taweel, A., Alqahtani, A. S., ElGamal, A., Chianese, G., Nasr, F. A., Taglialatela-Scafati, O., & Parvez, M. K. (2022). Euphocactoside, a New Megastigmane Glycoside from Euphorbia cactus Growing in Saudi Arabia. Plants, 11(6), 811. https://doi.org/10.3390/plants11060811

