The Physiological Response of Different Brook Willow (Salix acmophylla Boiss.) Ecotypes to Salinity
Abstract
:1. Introduction
2. Results
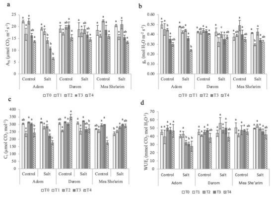
2.1. Gas Exchange Parameters
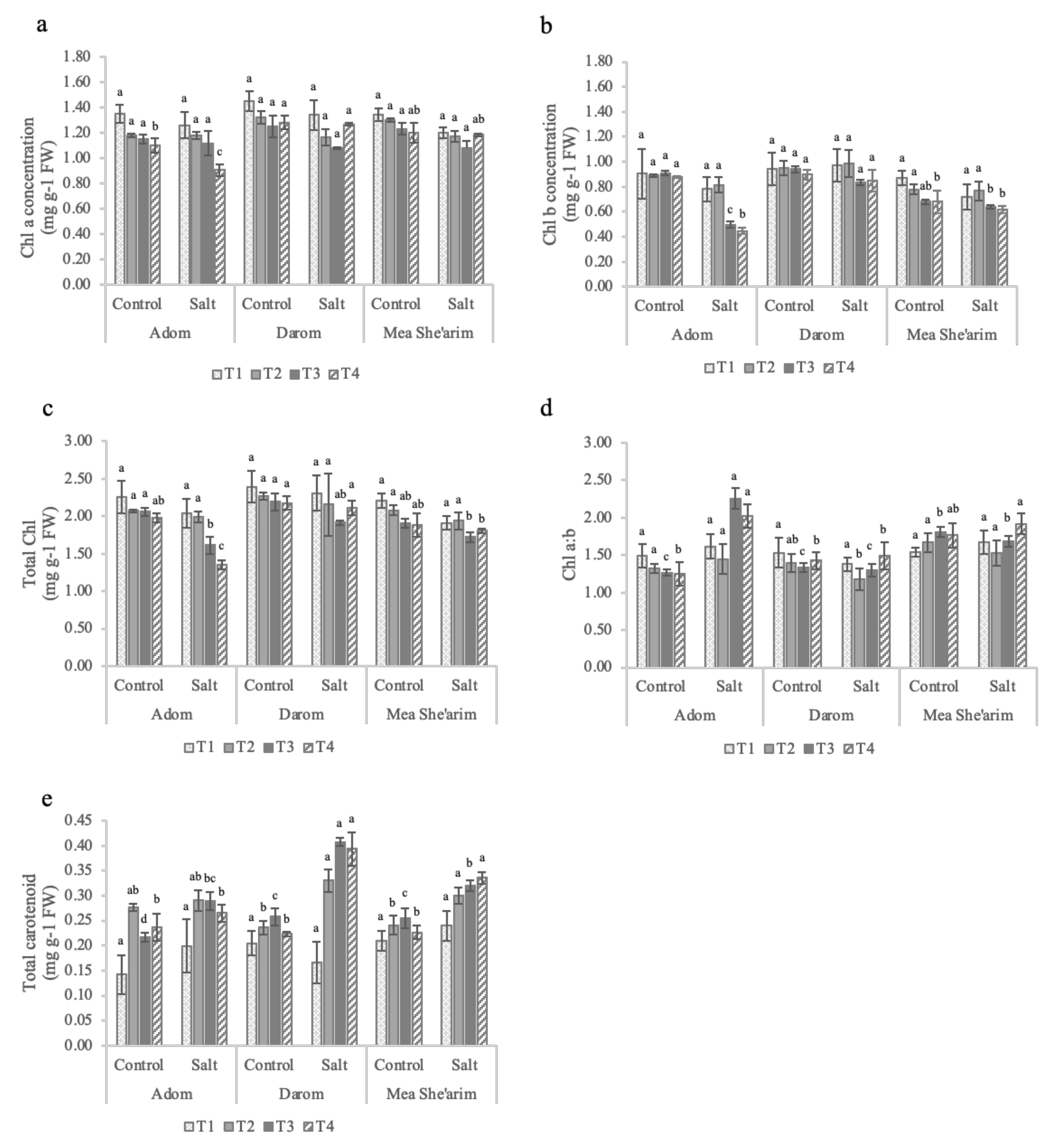
2.2. Pigment Content
2.3. Stomatal Analyses
2.3.1. Stomata Aperture
2.3.2. Stomata Density
2.4. Biomass Response
3. Discussion
Implications for the Use of Salt Tolerant S. acmophylla Hybrids in Phytoremediation
4. Materials and Methods
4.1. Plant Selection and Growing Conditions
4.2. Gas Exchange and Fluorescence Assessment
4.3. Pigment Concentration
4.4. Stomatal Analyses
4.5. Growth Measurements and Biomass
4.6. Statistical Analysis
5. Conclusions
Supplementary Materials
Author Contributions
Funding
Institutional Review Board Statement
Informed Consent Statement
Data Availability Statement
Conflicts of Interest
References
- Mendoza-Ponce, A.; Corona-Núñez, R.O.; Nava, L.F.; Estrada, F.; Calderón-Bustamante, O.; Martínez-Meyer, E.; Carabias, J.; Larralde-Corona, A.H.; Barrios, M.; Pardo-Villegas, P.D. Impacts of land management and climate change in a developing and socienvironmental challenging transboundary region. J. Environ. Manag. 2021, 300, 113748. [Google Scholar] [CrossRef] [PubMed]
- Brice, E.M.; Miller, B.A.; Zhang, H.; Goldstein, K.; Zimmer, S.N.; Grosklos, G.J.; Belmont, P.; Flint, C.G.; Givens, J.E.; Adler, P.B.; et al. Impacts of climate change on multiple use management of Bureau of Land Management land in the Intermountain West, USA. Ecosphere 2020, 11, e03286. [Google Scholar] [CrossRef]
- Feng, S.; Fu, Q. Expansion of global drylands under a warming climate. Atmos. Chem. Phys. 2013, 13, 10081–10094. [Google Scholar] [CrossRef] [Green Version]
- Hassani, A.; Azapagic, A.; Shokri, N. Global predictions of primary soil salinization under changing climate in the 21st century. Nat. Commun. 2021, 12, 6663. [Google Scholar] [CrossRef]
- Severo, E.A.; De Guimarães, J.C.F.; Dellarmelin, M.L. Impact of the COVID-19 pandemic on environmental awareness, sustainable consumption and social responsibility: Evidence from generations in Brazil and Portugal. J. Clean. Prod. 2021, 286, 124947. [Google Scholar] [CrossRef]
- Montanarella, L.; Panagos, P. The relevance of sustainable soil management within the European Green Deal. Land Use Policy 2021, 100, 104950. [Google Scholar] [CrossRef]
- Orgiazzi, A.; Panagos, P.; Yigini, Y.; Dunbar, M.B.; Gardi, C.; Montanarella, L.; Ballabio, C. A knowledge-based approach to estimating the magnitude and spatial patterns of potential threats to soil biodiversity. Sci. Total Environ. 2016, 545–546, 11–20. [Google Scholar] [CrossRef]
- Marmiroli, N.; Marmiroli, M.; Maestri, E. Phytoremediation and Phytotechnologies: A Review for the Present and the future; Springer: Dordrecht, The Netherlands, 2006; pp. 403–416. [Google Scholar]
- Courchesne, F.; Turmel, M.-C.; Cloutier-Hurteau, B.; Constantineau, S.; Munro, L.; Labrecque, M. Phytoextraction of soil trace elements by willow during a phytoremediation trial in Southern Québec, Canada. Int. J. Phytoremediat. 2017, 19, 545–554. [Google Scholar] [CrossRef]
- Herzig, R.; Nehnevajora, E.; Pfistner, C.; Schwitzquebel, J.P.; Ricci, A.; Keller, C. Feasibility of labile Zn phytoextraction using enhanced tobacco and sunflower: Results of 5- and 1-year field scale experiment in Switzerland. Int. J. Phytoremediat. 2014, 16, 735–754. [Google Scholar] [CrossRef]
- Guidi Nissim, W.; Cincinelli, A.; Martellini, T.; Alvisi, L.; Palm, E.; Mancuso, S.; Azzarello, E. Phytoremediation of sewage sludge contaminated by trace elements and organic compounds. Environ. Res. 2018, 164, 356–366. [Google Scholar] [CrossRef]
- Guidi Nissim, W.; Palm, E.; Pandolfi, C.; Mancuso, S.; Azzarello, E. Willow and poplar for the phyto-treatment of landfill leachate in Mediterranean climate. J. Environ. Manag. 2021, 277, 111454. [Google Scholar] [CrossRef]
- Jones, D.L.; Williamson, K.L.; Owen, A.G. Phytoremediation of landfill leachate. Waste Manag. 2006, 26, 825–837. [Google Scholar] [CrossRef]
- Farid, M.; Irshad, M.; Fawad, M.; Ali, Z.; Eneji, A.E.; Aurangzeb, N.; Mohammad, A.; Ali, B. Effect of cyclic phytoremediation with different wetland plants on municipal wastewater. Int. J. Phytoremediat. 2014, 16, 572–581. [Google Scholar] [CrossRef]
- Ceschin, S.; Sgambato, V.; Ellwood, N.T.W.; Zuccarello, V. Phytoremediation performance of Lemna communities in a constructed wetland system for wastewater treatment. Environ. Exp. Bot. 2019, 162, 67–71. [Google Scholar] [CrossRef]
- Mendez, M.O.; Maier, R.M. Phytoremediation of mine tailings in temperate and arid environments. Rev. Environ. Sci. Bio/Technol. 2008, 7, 47–59. [Google Scholar] [CrossRef]
- Orrego, F. Use of Halophytes for the Remediation of Metal-Affected Soils in Arid Environments. In Handbook of Halophytes: From Molecules to Ecosystems towards Biosaline Agriculture; Grigore, M.-N., Ed.; Springer International Publishing: Cham, Switzerland, 2021; pp. 2395–2422. [Google Scholar]
- Manousaki, E.; Kalogerakis, N. Halophytes Present New Opportunities in Phytoremediation of Heavy Metals and Saline Soils. Ind. Eng. Chem. Res. 2011, 50, 656–660. [Google Scholar] [CrossRef]
- Manousaki, E.; Kalogerakis, N. Phytoextraction of Pb and Cd by the Mediterranean saltbrush (Atriplex halimus L.): Metal uptake in relation to salinity. Environ. Sci. Pollut. Res. 2009, 16, 844–854. [Google Scholar] [CrossRef]
- Dickmann, D.I. Silverculture and biology of short-rotation woody crops in temperate regions: Then and now. Biomass Bioenergy 2006, 30, 696–705. [Google Scholar] [CrossRef]
- Kuzovkina, Y.A.; Volk, T.A. The characterization of willow (Salix L.) varieties for use in ecological engineering application: Co-ordination of structure, function and autoecology. Ecol. Eng. 2009, 35, 1178–1189. [Google Scholar] [CrossRef]
- Dimitriou, I.; Mola-Yudego, B.; Aronsson, P.; Eriksson, J. Changes in organic carbon and trace elements in the soil of wil-low short-rotation coppice plantations. Bioenergy Res. 2012, 5, 563–572. [Google Scholar] [CrossRef]
- Matyka, M.; Radzikowski, P. Productivity and Biometric Characteristics of 11 Varieties of Willow Cultivated on Marginal Soil. Agriculture 2020, 10, 616. [Google Scholar] [CrossRef]
- Dickmann, D.I.; Kuzovkina, J. Poplars and willows in the world. In Poplars and Willows in the World, Meeting the Needs of Society and the Environment; Isebrands, J.G., Richardson, J., Eds.; Food and Agricultural Organization of the United States/International Poplar Commission: Rome, Italy, 2008. [Google Scholar]
- Pucholt, P.; Sjödin, P.; Weih, M.; Rönnberg-Wästljung, A.C.; Berlin, S. Genome-wide transcriptional and physiological re-sponses to drought stress in leaves and roots of two willow genotypes. BMC Plant Biol. 2015, 15, 1–16. [Google Scholar]
- Johnson, J.D.; Tognetti, R.; Paris, P. Water relations and gas exchange in poplar and willow under water stress and elevated atmospheric CO2. Physiol. Plant. 2002, 115, 93–100. [Google Scholar] [CrossRef]
- Doffo, G.N.; Monteoliva, S.E.; Rodríguez, M.E.; Luquez, V.M.C. Physiological responses to alternative flooding and drought stress episodes in two willow (Salix spp.) clones. Can. J. For. Res. 2017, 47, 174–182. [Google Scholar] [CrossRef] [Green Version]
- Keita, N.; Bourgeois, B.; Evette, A.; Tisserant, M.; González, E.; Breton, V.; Goulet, C.; Poulin, M. Growth Response of Cuttings to Drought and Intermittent Flooding for Three Salix Species and Implications for Riverbank Soil Bioengineering. Environ. Manag. 2021, 67, 1137–1144. [Google Scholar] [CrossRef]
- Savage, J.A.; Cavender-Bares, J. Habitat specialization and the role of trait lability in structuring diverse willow (genus Salix) communities. Ecology 2012, 93, S138–S150. [Google Scholar] [CrossRef] [Green Version]
- Huang, X.; Soolanayakanahally, R.Y.; Guy, R.D.; Shunmugam, A.S.K.; Mansfield, S.D. Differences in growth and physiological and metabolic responses among Canadian native and hybrid willows (Salix spp.) under salinity stress. Tree Physiol. 2020, 40, 652–666. [Google Scholar] [CrossRef]
- Feng, S.; Ren, L.; Sun, H.; Qiao, K.; Liu, S.; Zhou, A. Morphological and physiological responses of two willow species from different habitats to salt stress. Sci. Rep. 2020, 10, 1–11. [Google Scholar] [CrossRef]
- Ali, M.B.; Vajpayee, P.; Tripathi, R.D.; Rai, U.N.; Singh, S.N.; Singh, S.P. Phytoremediation of lead, nickel and copper by Salix acmophylla Boiss.: Role of antioxidant enzymes and antioxidant substances. Bull. Environ. Contam. Toxicol. 2003, 70, 462–469. [Google Scholar] [CrossRef]
- Dickmann, D.I.; Kuzovkina, J. Poplars and willows of the world, with emphasis on silviculturally important species. In Poplars and Willows: Trees for Society and the Environment; Isebrands, J.G., Richardson, J., Eds.; FAO: Rome, Italy, 2014. [Google Scholar]
- Muklada, H.; Klein, J.; Glasser, T.; Dvash, L.; Azaizeh, H.; Halabi, N.; Davidovich-Rikanati, R.; Lewinsohn, E.; Landau, S. Initial evaluation of willow (Salix acmophylla) irrigated with treated wastewater as a fodder crop for dairy goats. Small Rumin. Res. 2017, 163, 76–83. [Google Scholar] [CrossRef]
- Muklada, H.; Voet, H.; Deutch, T.; Zachut, M.; Kra, G.; Blum, S.; Krifuks, O.; Glasser, T.A.; Klein, J.D.; Davidovich-Rikanati, R.; et al. The effect of willow fodder feeding on immune cell populations in the blood and milk of late-lactating dairy goats. Animal 2020, 14, 2511–2522. [Google Scholar] [CrossRef] [PubMed]
- Ginsberg, D.N.; Klein, J.D. LED pre-exposure shines a new light on drought tolerance complexity in lettuce (Lactuca sativa) and rocket (Eruca sativa). Environ. Exp. Bot. 2020, 180, 104240. [Google Scholar] [CrossRef]
- Lam, E.J.L.; Montofré, Í.L.; Ramírez, Y. Mine tailings phytoremediation in arid and semiarid environments. In Phytorestoration of Abandoned Mining and Oil Drilling Sites; Bauddh, K., Korstad, J., Sharma, P., Eds.; Elsevier: Amsterdam, The Netherlands, 2021; pp. 115–166. [Google Scholar]
- Bożym, M. Assessment of phytotoxicity of leachates from landfilled waste and dust from foundry. Ecotoxicology 2020, 29, 429–443. [Google Scholar] [CrossRef] [PubMed] [Green Version]
- Bialowiec, A.; Randerson, P.F. Phytotoxicity of landfill leachate on willow-Salix amygdalina L. Waste Manag. 2010, 30, 1587–1593. [Google Scholar] [CrossRef] [PubMed]
- Amin, M.; Ghazifard, A.; Salimi, M.; Ebrahimi, A.; Najafi, P. Influence of electrical conductivity on the phytoremediation of contaminated soils to Cd2+ and Zn2+. Int. J. Environ. Health Eng. 2012, 1, 57–62. [Google Scholar] [CrossRef]
- Nouri, J.; Khorasani, N.; Lorestani, B.; Karami, M.; Hassani, A.H.; Yousefi, N. Accumulation of heavy metals in soil and uptake by plant species with phytoremediation potential. Environ. Earth Sci. 2009, 59, 315–323. [Google Scholar] [CrossRef]
- Muklada, H.; Davidovich-Rikanati, R.; Wilkerson, D.G.; Klein, J.D.; Deutch-Traubman, T.; Zou, J.; Awabdeh, S.; Sweidan, R.; Landau, S.Y.; Schwartz, A.; et al. Genotypic diversity in willow (Salix spp.) is associated with chemical and morphological polymorphism, suggesting human-assisted dissemination in the Eastern Mediterranean. Biochem. Syst. Ecol. 2020, 91, 104081. [Google Scholar] [CrossRef]
- Ran, X.; Wang, X.; Gao, X.; Liang, H.; Liu, B.; Huang, X. Effects of salt stress on the photosynthetic physiology and miner-al ion absorption and distribution in white willow. PLoS ONE 2021, 6, e0260086. [Google Scholar]
- Martin-StPaul, N.; Delzon, S.; Cochard, H. Plant resistance to drought depends on timely stomatal closure. Ecol. Lett. 2017, 20, 1437–1447. [Google Scholar] [CrossRef]
- Reef, R.; Lovelock, C.E. Regulation of water balance in mangroves. Ann. Bot. 2015, 115, 385–395. [Google Scholar] [CrossRef] [Green Version]
- Khazaei, H.; Monneveux, P.; Hongbo, S.; Mohammady, S. Variation for stomatal characteristics and water use efficiency among diploid, tetraploid and hexaploid Iranian wheat landraces. Genet. Resour. Crop Evol. 2010, 57, 307–314. [Google Scholar] [CrossRef]
- Hu, H.; Dai, M.; Yao, J.; Xiao, B.; Li, X.; Zhang, Q.; Xiong, L. Overexpressing a NAM, ATAF, and CUC (NAC) transcription factor enhances drought resistance and salt tolerance in rice. Proc. Natl. Acad. Sci. USA 2006, 103, 12987–12992. [Google Scholar] [CrossRef] [Green Version]
- Wang, Y.; Yang, L.; Zheng, Z.; Grumet, R.; Loescher, W.; Zhu, J.-K.; Yang, P.; Hu, Y.; Chan, Z. Transcriptomic and physio-logical variations of three Arabidopsis ecotypes in response to salt stress. PLoS ONE 2013, 8, e69036. [Google Scholar]
- Casson, S.; Gray, J.E. Influence of environmental factors on stomatal development. New Phytol. 2008, 178, 9–23. [Google Scholar] [CrossRef]
- Zhang, Y.P.; Wang, Z.M.; Wu, Y.C.; Zhang, X. Stomatal characteristics of different green organs in wheat under different irrigation regimes. Acta Agron. Sin. 2006, 32, 70–75. [Google Scholar]
- Zhao, R.X.; Zhang, Q.B.; Wu, X.Y.; Wang, Y. The effects of drought on epidermal cells and stomatal density of wheat leaves. Inner Mongolia. Agric. Sci. Technol. 2001, 6, 6–7. [Google Scholar]
- Kronzucker, H.J.; Britto, D.T. Sodium transport in plants: A critical review. New Phytol. 2011, 189, 54–81. [Google Scholar] [CrossRef]
- Shabala, S.; Pottosin, I. Regulation of potassium transport in plants under hostile conditions: Implications for abiotic and biotic stress tolerance. Physiol. Plant. 2014, 151, 257–279. [Google Scholar] [CrossRef]
- Cuin, T.A.; Bose, J.; Stefano, G.; Jha, D.; Tester, M.; Mancuso, S.; Shabala, S. Assessing the role of root plasma membrane and tonoplast Na+/H+ exchanger in salinity tolerance in wheat: In planta quantification methods. Plant Cell Environ. 2011, 34, 947–961. [Google Scholar] [CrossRef]
- Sun, J.; Chen, S.; Dai, S.; Wang, R.; Li, N.; Shen, X.; Zhou, X.; Lu, C.; Zheng, X.; Hu, Z.; et al. NaCl-induced alterations of cellular and tissue ion fluxes in roots of salt-resistant and salt-sensitive poplar species. Plant Physiol. 2009, 149, 1121–1153. [Google Scholar] [CrossRef] [Green Version]
- Hauser, F.; Horie, T. A conserved primary salt tolerance mechanism mediated by HKT transporters: A mechanism for sodium exclusion and maintenance of high K+/Na+ ratio in leaves during salinity stress. Plant Cell Environ. 2010, 33, 552–565. [Google Scholar] [CrossRef] [PubMed]
- Nxele, X.; Klein, A.; Ndimba, B. Drought and salinity stress alters ROS accumulation, water retention, and osmolyte content in sorghum plants. S. Afr. J. Bot. 2017, 108, 261–266. [Google Scholar] [CrossRef]
- Redwan, M.; Spinelli, F.; Marti, L.; Weiland, M.; Palm, E.; Azzarello, E.; Mancuso, S. Potassium fluxes and reactive oxygen species production as potential indicators of salt tolerance in Cucumis sativus seedlings. Funct. Plant Biol. 2016, 43, 1016–1027. [Google Scholar] [CrossRef]
- Sanita Di Toppi, S.; Castagna, A.; Andreozzi, E.; Careri, M.; Predieri, G.; Vurro, E.; Ranieri, A. Occurrence of different inter-varietal and inter-organ defence strategies to- wards supra-optimal zinc concentrations in two cultivars of Triticum aestivum L. Environ. Exp. Bot. 2009, 66, 220–229. [Google Scholar] [CrossRef]
- Simikan, A.J.; Moreau, H.; Kuntz, M.; Pagny, G.; Lin, C.; Tanksley, S.; McCarthy, J. An investigation of carotenoid biosyn-thesis in Coffee canephora and Coffee arabica. J. Plant Physiol. 2008, 165, 1087–1106. [Google Scholar] [CrossRef]
- Brady, N. The Nature and Properties of Soils; Prentice Hall: Upper Saddle River, NJ, USA, 2002. [Google Scholar]
- Zupancic, J.M.; Zupancic, M. Combined purification and reuse of landfill leachate by constructed wetland and irrigation of grass and willows. Desalination 2009, 246, 157–168. [Google Scholar]
- Vadillo, I.; Carrasco, F.; Andreo, B.; de Torres, A.G.; Bosch, C. Chemical composition of landfill leachate in a karst area with a Mediterranean climate (Marbella, southern Spain). Environ. Earth Sci. 1999, 37, 326–332. [Google Scholar] [CrossRef]
- Nissim, W.G.; Palm, E.; Pandolfi, C.; Mancuso, S.; Azzarello, E. Relationship between Leachate Pollution Index and growth response of two willow and poplar hybrids: Implications for phyto-treatment applications. Waste Manag. 2021, 136, 162–173. [Google Scholar] [CrossRef]
- Major, J.E.; Mosseler, A.; Malcolm, J.W.; Heartz, S. Salinity tolerance of three Salix species: Survival, biomass yield and allocation, and biochemical efficiencies. Biomass Bioenergy 2017, 105, 10–22. [Google Scholar] [CrossRef]
- Hoagland, D.R.; Arnon, D.I. The Water-Culture Method for Growing Plants Without Soil, 2nd ed.; Circular 347; The College of Agriculture, University of California: Berkley, CA, USA, 1950; p. 32. [Google Scholar]
- Maxwell, K.; Johnson, G.N. Chlorophyll fluorescence—A practical guide. J. Exp. Bot. 2000, 51, 659–668. [Google Scholar] [CrossRef] [PubMed]
- Zalesny, J.; Zalesny, R., Jr.; Coyle, D.; Hall, R. Growth and biomass of Populus irrigated with landfill leachate. For. Ecol. Manag. 2008, 248, 143–152. [Google Scholar] [CrossRef]
- Hussain, G.; Alshammary, S.F. Effect of Water Salinity on Survival and Growth of Landscape Trees in Saudi Arabia. Arid. Land Res. Manag. 2008, 22, 320–333. [Google Scholar] [CrossRef]
- Ehleringer, J.R.; Hall, A.E.; Farquhar, G.D. (Eds.) Stable Isotopes and Plant Carbon-Water Relations; Academic Press: Cambridge, MA, USA, 1993. [Google Scholar]
- Porra, R.J.; Thompson, W.A.; Kriedemann, P.E. Determination of accurate extinction coefficients and simultaneous equa-tions for assaying chlorophylls a and b extracted with four different solvents: Verification of the concentration of chlorophyll standards by atomic absorption spectroscopy. Biochim. Et Biophys. Acta (BBA)–Bioenerg. 1989, 975, 384–394. [Google Scholar] [CrossRef]
- Wellburn, A.R. The Spectral Determination of Chlorophylls a and b, as well as Total Carotenoids, Using Various Solvents with Spectrophotometers of Different Resolution. J. Plant Physiol. 1994, 144, 307–313. [Google Scholar] [CrossRef]
- Bloom, A.J.; Chapin, F.S., III; Mooney, H.A. Resource limitation in plants-an economic analogy. Annu. Rev. Ecol. Syst. 1985, 16, 363–392. [Google Scholar] [CrossRef]
- Yang, J.; Zhao, H.; Zhang, T. Heat and drought tolerance of two willow species, Salix gordejevii and Salix babylonica: A comparative study. Isr. J. Plant Sci. 2004, 52, 301–306. [Google Scholar] [CrossRef]
- El-Mahrouk, E.-S.M.; Eisa, E.A.-H.; Hegazi, M.A.; Abdel-Gayed, M.E.-S.; Dewir, Y.H.; El-Mahrouk, M.E.; Naidoo, Y. Phytoremediation of Cadmium-, Copper-, and Lead-contaminated Soil by Salix mucronata (Synonym Salix safsaf). HortScience 2019, 54, 1249–1257. [Google Scholar] [CrossRef] [Green Version]
- Rolka, E.; Żołnowski, A.C.; Sadowska, M.M. Assessment of Heavy Metal Content in Soils Adjacent to the DK16-Route in Olsztyn (North-Eastern Poland). Pol. J. Environ. Stud. 2020, 29, 4303–4311. [Google Scholar] [CrossRef]



| Gas Exchange | AN | gs | Ci | WUEi | ||
|---|---|---|---|---|---|---|
| Ecotype (E) | 0.002 | NS | <0.001 | 0.002 | ||
| Treatment (T) | <0.001 | 0.002 | 0.020 | NS | ||
| E × T | 0.004 | NS | 0.001 | 0.001 | ||
| Fluorescence | Fv/Fm | F′v/F′m | ΦPSII | NPQ | ||
| Ecotype (E) | NS | 0.006 | 0.003 | NS | ||
| Treatment (T) | NS | NS | NS | NS | ||
| E × T | NS | NS | NS | 0.044 | ||
| Pigments | Chl a | Chl b | Total Chl | a/b | Carotenoids | |
| Ecotype (E) | <0.001 | <0.001 | NS | NS | <0.001 | |
| Treatment (T) | <0.001 | <0.001 | NS | 0.044 | <0.001 | |
| E × T | NS | NS | NS | NS | NS |
| Ecotype | Treatment | Stomata Aperture (µm2) | ||||||||||||||
|---|---|---|---|---|---|---|---|---|---|---|---|---|---|---|---|---|
| T0 | T1 | T2 | T3 | T4 | ||||||||||||
| Mean | SEM | Mean | SEM | Mean | SEM | Mean | SEM | Mean | SEM | |||||||
| MID | ||||||||||||||||
| Adom | Control | 56.8 | (3.5) | b | 53.5 | (6.3) | b | 61.8 | (3.6) | b | 66.3 | (6.1) | a | 61.5 | (4.5) | a |
| Salt | 61.0 | (2.5) | a | 55.9 | (5.1) | b | 67.9 | (4.9) | ab | 66.9 | (4.6) | a | 55.9 | (2.5) | c | |
| Mean | 58.9 | A | 54.7 | A | 64.9 | A | 66.6 | A | 58.7 | A | ||||||
| Darom | Control | 44.5 | (3.5) | b | 64.0 | (3.9) | a | 70.1 | (6.5) | a | 61.3 | (3.7) | a | 61.8 | (6.7) | a |
| Salt | 47.8 | (3.7) | b | 46.5 | (3.2) | bc | 70.7 | (4.4) | a | 51.6 | (3.7) | b | 44.3 | (3.9) | c | |
| Mean | 46.2 | B | 55.3 | A | 70.4 | A | 56.4 | B | 53.1 | AB | ||||||
| Mea She’arim | Control | 35.3 | (2.9) | c | 37.3 | (2.6) | c | 61.2 | (4.3) | b | 56.4 | (4.4) | b | 50.2 | (4.0) | b |
| Salt | 36.9 | (4.2) | bc | 36.2 | (4.4) | c | 52.5 | (3.1) | c | 38.3 | (1.9) | c | 40.5 | (4.1) | c | |
| Mean | 36.1 | C | 36.8 | B | 56.9 | B | 47.4 | C | 45.3 | B | ||||||
| Ecotype (E) | <0.001 | 0.024 | 0.035 | 0.005 | 0.030 | |||||||||||
| Treatment (T) | NS | NS | NS | NS | 0.029 | |||||||||||
| E × T | NS | 0.045 | 0.023 | 0.043 | 0.040 | |||||||||||
| TIP | ||||||||||||||||
| Adom | Control | 47.4 | (3.7) | 60.3 | (5.6) | 67.7 | (3.7) | 65.6 | (4.3) | a | 49.1 | (4.4) | b | |||
| Salt | 51.8 | (2.6) | 65.7 | (3.7) | 67.2 | (5.5) | 65.0 | (5.3) | a | 65.1 | (4.1) | a | ||||
| Mean | 49.6 | A | 58.0 | A | 67.4 | 65.3 | A | 57.1 | A | |||||||
| Darom | Control | 41.3 | (3.8) | 42.8 | (4.3) | 64.8 | (4.6) | 68.7 | (3.8) | a | 64.2 | (3.0) | a | |||
| Salt | 44.8 | (3.2) | 49.8 | (3.3) | 54.8 | (5.0) | 46.5 | (2.9) | c | 54.3 | (5.0) | b | ||||
| Mean | 43.1 | B | 46.3 | B | 59.8 | 57.6 | B | 59.2 | A | |||||||
| Mea She’arim | Control | 39.3 | (2.4) | 43.5 | (3.6) | 67.5 | (5.4) | 52.9 | (5.5) | b | 49.9 | (3.9) | b | |||
| Salt | 41.2 | (3.2) | 46.5 | (4.1) | 55.2 | (4.0) | 35.0 | (1.2) | d | 42.4 | (4.3) | c | ||||
| Mean | 40.2 | B | 45.0 | B | 61.3 | 44.0 | C | 46.2 | B | |||||||
| Ecotype (E) | 0.0134 | 0.0042 | NS | <0.001 | 0.045 | |||||||||||
| Treatment (T) | NS | NS | NS | 0.001 | NS | |||||||||||
| E × T | NS | NS | NS | 0.045 | 0.023 | |||||||||||
| Ecotype | Treatment | Stomata Density (n cm−2) | |||||||||
|---|---|---|---|---|---|---|---|---|---|---|---|
| T0 | T1 | T2 | T3 | T4 | |||||||
| Mean | SE | Mean | SE | Mean | SE | Mean | SE | Mean | SE | ||
| MID | |||||||||||
| Adom | Control | 173 | (23.0) | 152 | (13.6) | 222 | (22.2) | 226 | (20.5) | 198 | (9.7) |
| Salt | 218 | (14.4) | 186 | (12.8) | 241 | (12.2) | 244 | (0.5) | 243 | (15.7) | |
| Mean | 196 | 169 | 231 | 235 | 221 | ||||||
| Darom | Control | 161 | (23.2) | 190 | (30.1) | 205 | (12.3) | 199 | (14.7) | 192 | (19.0) |
| Salt | 137 | (33.0) | 218 | (11.0) | 198 | (10.9) | 195 | (27.4) | 183 | (3.8) | |
| Mean | 149 | 204 | 201 | 197 | 188 | ||||||
| Mea She’arim | Control | 151 | (9.8) | 173 | (7.2) | 203 | (12.2) | 211 | (25.0) | 193 | (11.8) |
| Salt | 177 | (11.2) | 177 | (15.5) | 213 | (16.1) | 201 | (8.9) | 177 | (23.3) | |
| Mean | 164 | 175 | 208 | 206 | 185 | ||||||
| Ecotype (E) | NS | NS | NS | NS | NS | ||||||
| Treatment (T) | NS | NS | NS | NS | NS | ||||||
| E × T | NS | NS | NS | NS | NS | ||||||
| TIP | |||||||||||
| Adom | Control | 192 | (13.5) | 175 | (11.4) | 203 | (13.5) | 213 | (12.2) | 209 | (11.3) |
| Salt | 232 | (9.4) | 173 | (21.8) | 220 | (24.6) | 248 | (10.0) | 217 | (12.5) | |
| Mean | 212 | 174 | 211 | 231 | 213 | ||||||
| Darom | Control | 158 | (28.6) | 227 | (12.5) | 222 | (13.4) | 161 | (13.1) | 238 | (14.4) |
| Salt | 187 | (13.3) | 174 | (6.8) | 235 | (20.8) | 214 | (22.1) | 198 | (7.9) | |
| Mean | 173 | 201 | 228 | 187 | 218 | ||||||
| Mea She’arim | Control | 173 | (10.9) | 180 | (33.0) | 209 | (11) | 207 | (16) | 222 | (18) |
| Salt | 165 | (18.5) | 171 | (16.8) | 220 | (17) | 180 | (25) | 184 | (16) | |
| Mean | 169 | 175 | 214 | 193 | 203 | ||||||
| Ecotype (E) | NS | NS | NS | NS | NS | ||||||
| Treatment (T) | NS | NS | NS | NS | NS | ||||||
| E × T | NS | NS | NS | NS | NS | ||||||
| Ecotype | Treatment | Plant Biomass (g) | ||||||||||||||||||||||||||
|---|---|---|---|---|---|---|---|---|---|---|---|---|---|---|---|---|---|---|---|---|---|---|---|---|---|---|---|---|
| Leaf | Stem | Root | Total | R:S | ||||||||||||||||||||||||
| FW | DW | FW | DW | FW | DW | FW | DW | |||||||||||||||||||||
| Adom | Control | 38.6 | (4.1) | a | 9.1 | (0.9) | a | 36.9 | (3.9) | a | 10.7 | (0.7) | a | 40.8 | (3.9) | b | 6.2 | (0.4) | b | 119.3 | (3.9) | a | 26.0 | (1.9) | a | 0.32 | (0.01) | c |
| Salt | 29.2 | (2.0) | b | 6.7 | (0.5) | b | 28.8 | (2.3) | ab | 8.7 | (0.9) | b | 33.8 | (2.9) | c | 4.8 | (0.3) | c | 91.7 | (6.2) | c | 20.2 | (1.6) | b | 0.31 | (0.02) | c | |
| Mean | 33.9 | 7.9 | 32.9 | A | 9.7 | 37.3 | B | 5.5 | B | 105.5 | 23.1 | 0.32 | B | |||||||||||||||
| Darom | Control | 38.5 | (2.6) | a | 6.0 | (0.3) | b | 27.4 | (5.1) | b | 10.4 | (0.6) | a | 47.5 | (2.4) | a | 7.4 | (0.2) | a | 109.3 | (2.3) | ab | 23.8 | (0.5) | ab | 0.45 | (0.01) | a |
| Salt | 40.5 | (3.2) | a | 7.9 | (0.7) | ab | 17.2 | (3.1) | c | 8.7 | (0.8) | b | 43.9 | (2.8) | ab | 6.0 | (0.4) | b | 114.1 | (3.6) | a | 24.1 | (0.7) | ab | 0.37 | (0.03) | b | |
| Mean | 39.5 | 7.0 | 22.3 | B | 9.5 | 45.7 | A | 6.7 | A | 111.7 | 24.0 | 0.41 | A | |||||||||||||||
| Mea She’arim | Control | 30.3 | (1.4) | b | 6.8 | (0.2) | b | 34.5 | (3.2) | a | 8.9 | (0.9) | a | 42.3 | (2.1) | ab | 5.2 | (0.2) | c | 102.8 | (4.3) | b | 20.9 | (1.2) | b | 0.34 | (0.02) | bc |
| Salt | 37.9 | (3.0) | ab | 7.5 | (0.3) | b | 30.0 | (1.8) | ab | 7.6 | (0.9) | b | 43.2 | (2.3) | ab | 5.8 | (0.3) | b | 107.1 | (3.9) | ab | 20.8 | (1.1) | b | 0.39 | (0.03) | b | |
| Mean | 34.1 | 7.1 | 32.2 | A | 8.3 | 42.8 | B | 5.5 | B | 105.0 | 20.9 | 0.36 | B | |||||||||||||||
| ANOVA p-values | ||||||||||||||||||||||||||||
| Ecotype (E) | NS | NS | 0.012 | NS | 0.022 | 0.046 | NS | NS | 0.002 | |||||||||||||||||||
| Treatment (T) | NS | NS | NS | 0.019 | NS | 0.003 | 0.091 | NS | NS | |||||||||||||||||||
| E × T | 0.018 | 0.002 | 0.014 | NS | 0.015 | 0.002 | <0.001 | 0.047 | 0.016 | |||||||||||||||||||
Publisher’s Note: MDPI stays neutral with regard to jurisdictional claims in published maps and institutional affiliations. |
© 2022 by the authors. Licensee MDPI, Basel, Switzerland. This article is an open access article distributed under the terms and conditions of the Creative Commons Attribution (CC BY) license (https://creativecommons.org/licenses/by/4.0/).
Share and Cite
Palm, E.; Klein, J.D.; Mancuso, S.; Guidi Nissim, W. The Physiological Response of Different Brook Willow (Salix acmophylla Boiss.) Ecotypes to Salinity. Plants 2022, 11, 739. https://doi.org/10.3390/plants11060739
Palm E, Klein JD, Mancuso S, Guidi Nissim W. The Physiological Response of Different Brook Willow (Salix acmophylla Boiss.) Ecotypes to Salinity. Plants. 2022; 11(6):739. https://doi.org/10.3390/plants11060739
Chicago/Turabian StylePalm, Emily, Joshua D. Klein, Stefano Mancuso, and Werther Guidi Nissim. 2022. "The Physiological Response of Different Brook Willow (Salix acmophylla Boiss.) Ecotypes to Salinity" Plants 11, no. 6: 739. https://doi.org/10.3390/plants11060739
APA StylePalm, E., Klein, J. D., Mancuso, S., & Guidi Nissim, W. (2022). The Physiological Response of Different Brook Willow (Salix acmophylla Boiss.) Ecotypes to Salinity. Plants, 11(6), 739. https://doi.org/10.3390/plants11060739

