Aqueous Extracts of Three Herbs Allelopathically Inhibit Lettuce Germination but Promote Seedling Growth at Low Concentrations
Abstract
1. Introduction
2. Results
2.1. Effects of Aqueous Herb Extracts on Lettuce Seed Germination
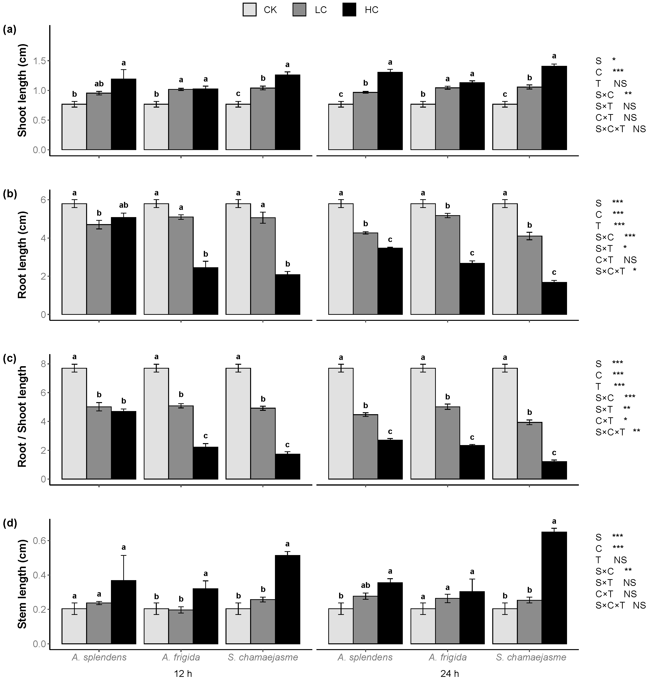
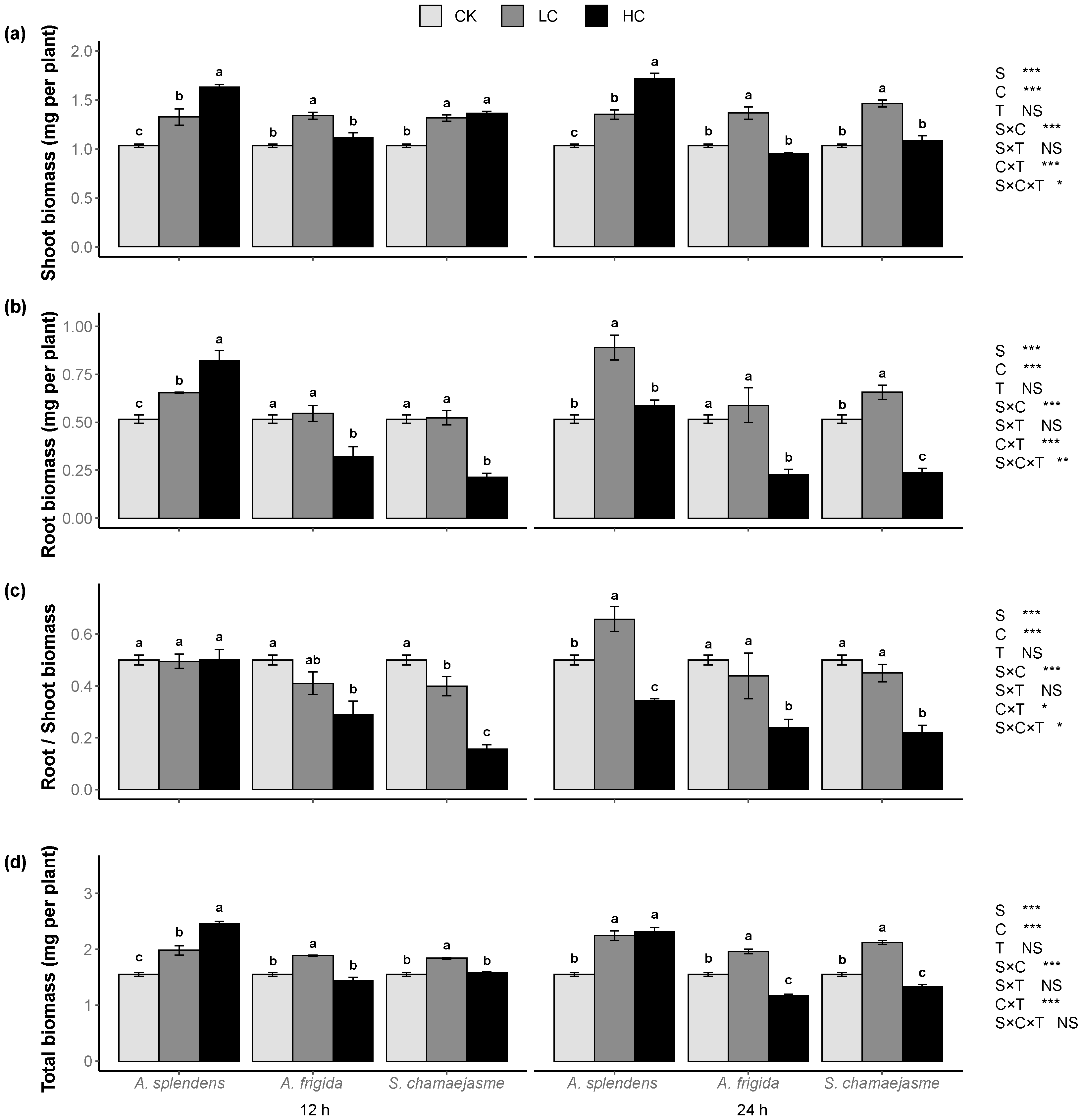
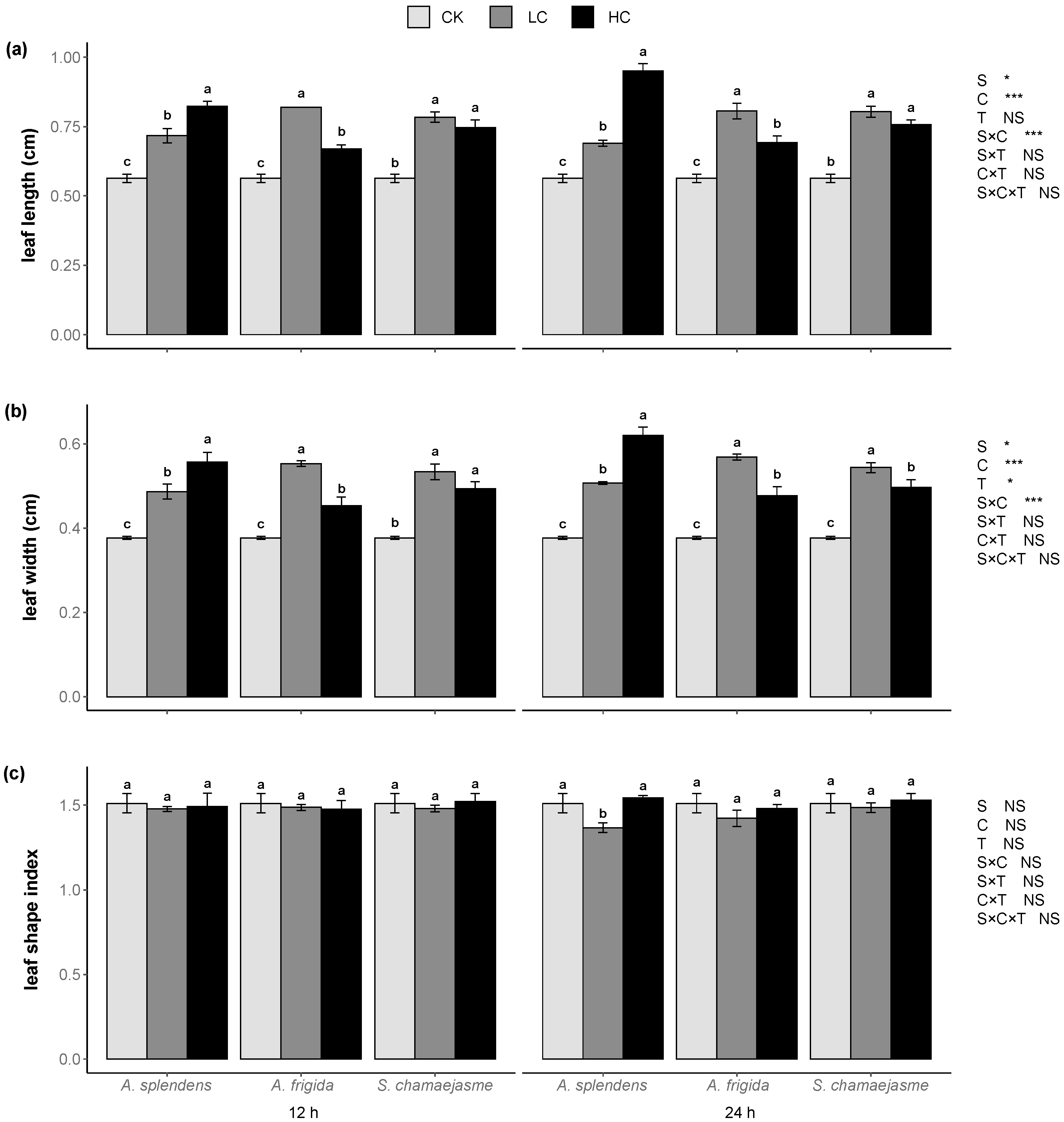
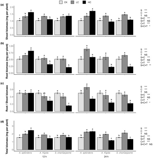
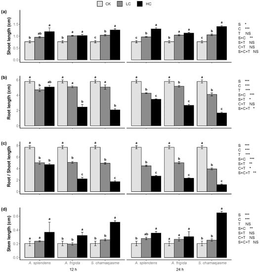
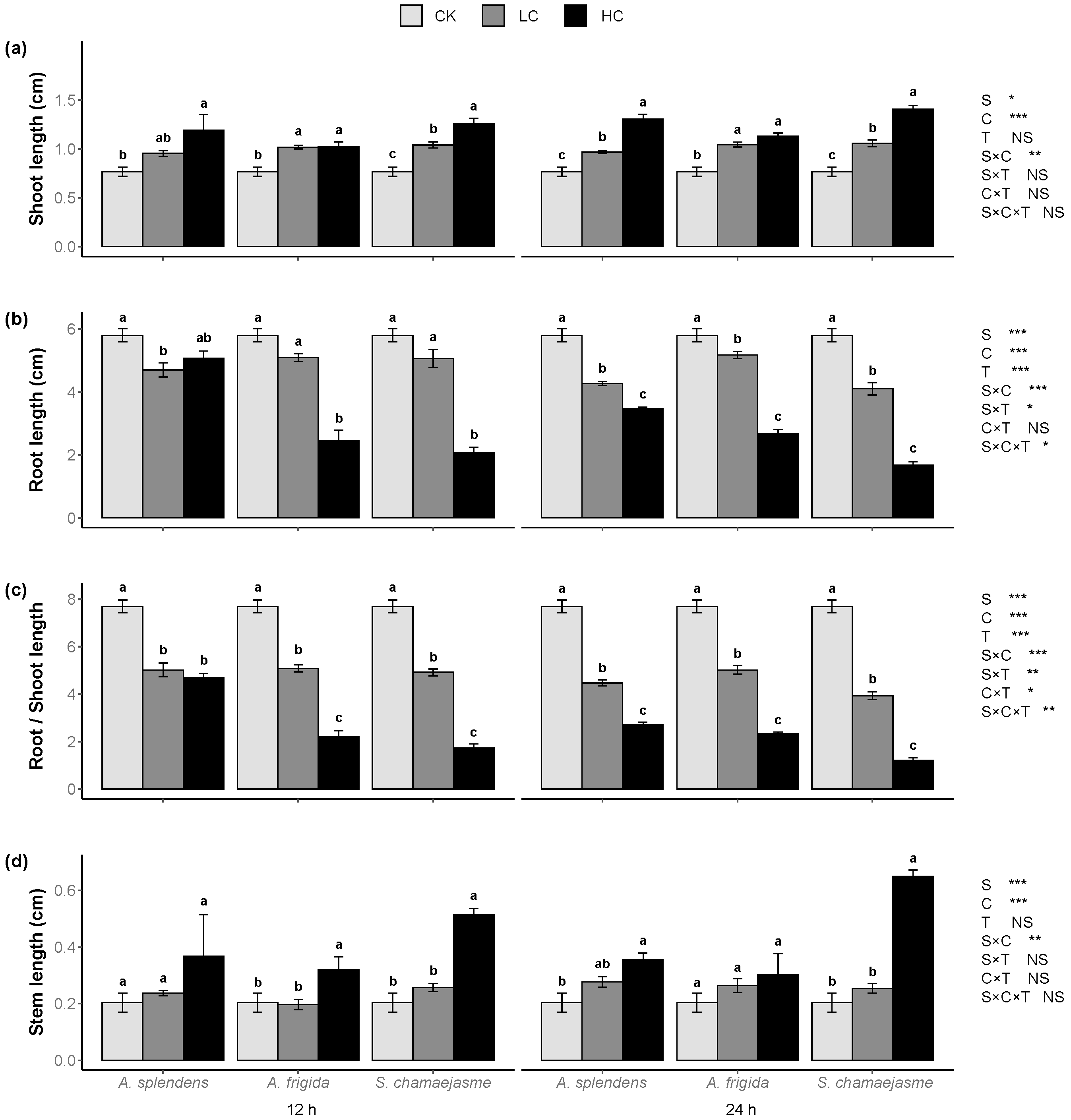
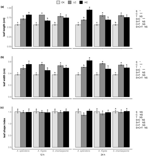
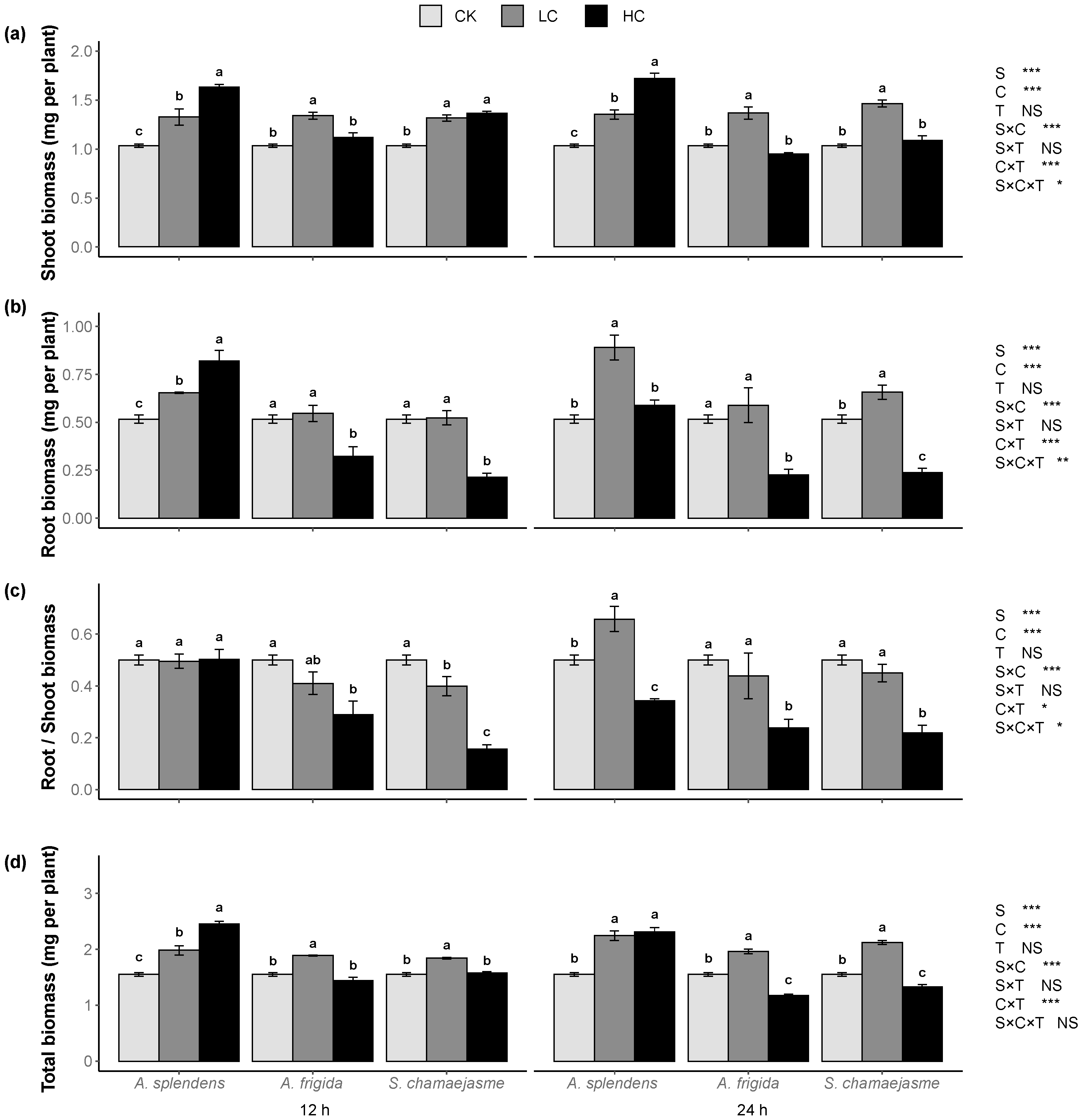
2.2. Effects of Aqueous Herb Extracts on Lettuce Seedling Growth
2.3. Allelopathic Potential of Aqueous Herb Extracts on Lettuce Seed Germination
2.4. Vital Germination Characteristics
3. Discussion
3.1. Effects of Extract Concentration
3.2. Species-Specific Effects
3.3. Vital Germination Characteristics
4. Materials and Methods
4.1. Plant Materials
4.2. Allelopathy Bioassays
4.3. Allelopathic Potential Determination
4.4. Statistical Analyses
5. Conclusions
Supplementary Materials
Author Contributions
Funding
Institutional Review Board Statement
Informed Consent Statement
Data Availability Statement
Acknowledgments
Conflicts of Interest
References
- Rice, E.L. Allelopathy, 2nd ed.; Academic Press: New York, NY, USA, 1984. [Google Scholar]
- Zheng, Y.; Feng, Y.; Zhang, L.; Callaway, R.M.; Valiente-Banuet, A.; Luo, D.; Liao, Z.; Lei, Y.; Barclay, G.F.; Silva-Pereyra, C. Integrating Novel Chemical Weapons and Evolutionarily Increased Competitive Ability in Success of a Tropical Invader. New Phytol. 2015, 205, 1350–1359. [Google Scholar] [CrossRef] [PubMed]
- Ning, L.; Yu, F.; van Kleunen, M. Allelopathy of a native Grassland Community as a Potential Mechanism of Resistance against Invasion by Introduced Plants. Biol. Invasions 2016, 18, 3481–3493. [Google Scholar] [CrossRef]
- Huang, F.; Lankau, R.; Peng, S. Coexistence Via Coevolution Driven by Reduced Allelochemical Effects and Increased Tolerance to Competition between Invasive and Native Plants. New Phytol. 2018, 218, 357–369. [Google Scholar] [CrossRef] [PubMed]
- Ens, E.J.; French, K.; Bremner, J.B. Evidence for Allelopathy as a Mechanism of Community Composition Change by an Invasive Exotic Shrub, Chrysanthemoides Monilifera Spp. Rotundata. Plant Soil 2009, 316, 125–137. [Google Scholar] [CrossRef]
- Macías, F.A.; Mejías, F.J.; Molinillo, J.M. Recent advances in allelopathy for weed control: From knowledge to applications. Pest Manag. Sci. 2019, 75, 2413–2436. [Google Scholar] [CrossRef] [PubMed]
- Zhao, H.; Kong, C.; Xu, X. Herbicidal Efficacy and Ecological Safety of an Allelochemical-Based Benzothiazine Derivative. Pest Manag. Sci. 2019, 75, 2690–2697. [Google Scholar] [CrossRef]
- Uesugi, A.; Kessler, A. Herbivore Exclusion Drives the Evolution of Plant Competitiveness via Increased Allelopathy. New Phytol. 2013, 198, 916–924. [Google Scholar] [CrossRef]
- Inderjit; Wardle, D.A.; Karban, R.; Callaway, R.M. The ecosystem and evolutionary contexts of allelopathy. Trends Ecol. Evol. 2011, 26, 655–662. [Google Scholar] [CrossRef]
- Metlen, K.L.; Aschehoug, E.T.; Callaway, R.M. Competitive outcomes between two exotic invaders are modified by direct and indirect effects of a native conifer. Oikos 2013, 122, 632–640. [Google Scholar] [CrossRef]
- De Kroon, H.; Hendriks, M.; van Ruijven, J.; Ravenek, J.; Padilla, F.M.; Jongejans, E.; Visser, E.J.W.; Mommer, L. Root Responses to Nutrients and Soil Biota: Drivers of Species Coexistence and Ecosystem Productivity. J. Ecol. 2012, 100, 6–15. [Google Scholar] [CrossRef]
- Hierro, J.L.; Callaway, R.M. The Ecological Importance of Allelopathy. Annu. Rev. Ecol. Evol. S. 2021, 52, 25–45. [Google Scholar] [CrossRef]
- Singh, A.A.; Rajeswari, G.; Nirmal, L.A.; Jacob, S. Synthesis and extraction routes of allelochemicals from plants and microbes: A review. Rev. Anal. Chem. 2021, 40, 293–311. [Google Scholar] [CrossRef]
- Lipinska, H.; Harkot, W. Allelopathic Activity of Grassland Species. Allelopath. J. 2007, 19, 3–36. [Google Scholar]
- Muller, C.H.; Haines, B.L.; Muller, W.H. Volatile Growth Inhibitors Produced by Aromatic Shrubs. Science 1964, 143, 471. [Google Scholar] [CrossRef] [PubMed]
- Muller, C.H. Role of Chemical Inhibition (Allelopathy) in Vegetational Composition. Bull. Torrey Bot. Club 1966, 93, 332–351. [Google Scholar] [CrossRef]
- Da Silva, E.R.; Overbeck, G.E.; Soares, G.L.G. Something old, something new in allelopathy review: What grassland ecosystems tell us. Chemoecology 2017, 27, 217–231. [Google Scholar] [CrossRef]
- He, N.; Yu, Q.; Wu, L.; Wang, Y.; Han, X. Carbon and nitrogen store and storage potential as affected by land-use in a Leymus chinensis grassland of northern China. Soil Biol. Biochem. 2008, 40, 2952–2959. [Google Scholar] [CrossRef]
- Gang, C.; Zhou, W.; Chen, Y.; Wang, Z.; Sun, Z.; Li, J.; Qi, J.; Odeh, I. Quantitative assessment of the contributions of climate change and human activities on global grassland degradation. Environ. Earth Sci. 2014, 72, 4273–4282. [Google Scholar] [CrossRef]
- Li, X.F.; Wang, J.; Huang, D.; Wang, L.X.; Wang, K. Allelopathic Potential of Artemisia Frigida and Successional Changes of Plant Communities in the Northern China Steppe. Plant Soil 2011, 341, 383–398. [Google Scholar] [CrossRef]
- Zhang, R.M.; Zuo, Z.J.; Gao, P.J.; Hou, R.; Wen, G.S.; Gao, Y. Allelopathic Effects of VOCs of Artemisia Frigida Willd. On the Regeneration of Pasture Grasses in Inner Mongolia. J. Arid Environ. 2012, 87, 212–218. [Google Scholar] [CrossRef]
- Guo, H.R.; Zeng, L.M.; Yan, Z.Q.; Jin, H.; Li, X.Z.; Guan, J.F.; Qin, B. Allelochemical from the Root Exudates of Stellera Chamaejasme L. And Its Degradation. Allelopath. J. 2016, 38, 103–112. [Google Scholar]
- Zhu, X.; Li, X.; Xing, F.; Chen, C.; Huang, G.; Gao, Y. Interaction between Root Exudates of the Poisonous Plant Stellera Chamaejasme L. And Arbuscular Mycorrhizal Fungi on the Growth of Leymus Chinensis (Trin.) Tzvel. Microoganisms 2020, 8, 364. [Google Scholar] [CrossRef] [PubMed]
- Yan, Z.; Wang, D.; Cui, H.; Zhang, D.; Sun, Y.; Jin, H.; Li, X.; Yang, X.; Guo, H.; He, X.; et al. Phytotoxicity Mechanisms of Two Coumarin Allelochemicals From Stellera Chamaejasme in Lettuce Seedlings. Acta Physiol. Plant. 2016, 38, 71–78. [Google Scholar] [CrossRef]
- Yan, Z.; Guo, H.; Yang, J.; Liu, Q.; Jin, H.; Xu, R.; Cui, H.; Qin, B. Phytotoxic Flavonoids from Roots of Stellera Chamaejasme L. (Thymelaeaceae). Phytochemistry 2014, 106, 61–68. [Google Scholar] [CrossRef]
- Wu, Z.; Lu, S. On Geographical Distribution of Achnatherum Beauv. (Gramineae). Acta Phytotaxon. Sin. 1996, 34, 152–161. [Google Scholar]
- Zhu, X.; Jin, G.; An, S.; Huang, G.; Taiwaikuli, S. The Allelopathic Effect of Achnatherum Inebrians at the Returning Green Stage on Seed Germination of Several Species. Pratacultural Sci. 2016, 33, 1757–1763. [Google Scholar]
- Samirakiz, T.; Jin, G.; An, S.; Liu, X. The Allelopathic Effect of Achnatherum Inebrians Keng on the Seed Germination of Bromus Inermis. Acta Agrestia Sin. 2014, 22, 1143–1146. [Google Scholar]
- Harper. Population Biology of Plants; Academic Press: London, UK, 1977. [Google Scholar]
- Prati, D.; Bossdorf, O. Allelopathic Inhibition of Germination by Alliaria Petiolata (Brassicaceae). Am. J. Bot. 2004, 91, 285–288. [Google Scholar] [CrossRef]
- Zhang, Z.; Liu, Y.; Yuan, L.; Weber, E.; van Kleunen, M. Effect of allelopathy on plant performance: A meta-analysis. Ecol. Lett. 2021, 24, 348–362. [Google Scholar] [CrossRef]
- Inderjit; Dakshini, K. On Laboratory Bioassays in Allelopathy. Bot. Rev. 1995, 61, 28–44. [Google Scholar] [CrossRef]
- Bewley, J.D.; Black, M. Seeds: Physiology of Development and Germination; Plenum Press: New York, NY, USA, 1994. [Google Scholar]
- Wang, C.; Wu, B.; Jiang, K. Allelopathic Effects of Canada Goldenrod Leaf Extracts on the Seed Germination and Seedling Growth of Lettuce Reinforced under Salt Stress. Ecotoxicology 2019, 28, 103–116. [Google Scholar] [CrossRef] [PubMed]
- Wang, X.; Wang, J.; Zhang, R.; Huang, Y.; Feng, S.; Ma, X.; Zhang, Y.; Sikdar, A.; Roy, R. Allelopathic Effects of Aqueous Leaf Extracts from Four Shrub Species On Seed Germination and Initial Growth of Amygdalus Pedunculata Pall. Forests 2018, 9, 711. [Google Scholar] [CrossRef]
- Lei, W.; Chen, Q.; Chen, K.; Liu, J.; Guo, L.; Jin, J.; Cheng, J.; Li, W. Allelopathy of Common Artemisia Plants on Seed Germination and Seedling Growth of Four Excellent Legumes in the Loess Plateau. Chin. J. Grassl. 2020, 42, 21–30. [Google Scholar]
- Chen, L.; Yang, X.G.; Wang, L.; Song, N.P. Allelopathic Effects of Caragana Intermedia On Monocot and Dicot Plant Species and Identification of Allelochemicals. Allelopath. J. 2017, 42, 251–262. [Google Scholar] [CrossRef]
- Meiners, S.J. Functional Correlates of Allelopathic Potential in a Successional Plant Community. Plant Ecol. 2014, 215, 661–672. [Google Scholar] [CrossRef]
- Herranz, J.M.; Ferrandis, P.; Copete, M.A.; Duro, E.M.; Zalacaín, A. Effect of Allelopathic Compounds Produced by Cistus Ladanifer on Germination of 20 Mediterranean Taxa. Plant Ecol. 2006, 184, 259–272. [Google Scholar] [CrossRef]
- Zhang, S.; Liu, J.; Bao, X.; Niu, K. Seed-To-Seed Potential Allelopathic Effects between Ligularia Virgaurea and Native Grass Species of Tibetan Alpine Grasslands. Ecol. Res. 2011, 26, 47–52. [Google Scholar] [CrossRef]
- Wang, X.; Zhang, R.; Wang, J.; Di, L.; Wang, H.; Sikdar, A. The Effects of Leaf Extracts of Four Tree Species on Amygdalus Pedunculata Seedlings Growth. Front. Plant Sci. 2021, 11, 587579. [Google Scholar] [CrossRef]
- Greer, M.J.; Wilson, G.W.T.; Hickman, K.R.; Wilson, S.M. Experimental Evidence that Invasive Grasses Use Allelopathic Biochemicals as a Potential Mechanism for Invasion: Chemical Warfare in Nature. Plant Soil 2014, 385, 165–179. [Google Scholar] [CrossRef]
- Dai, Z.; Wang, X.; Qi, S.; Cai, H.; Sun, J.; Huang, P.; Du, D. Effects of Leaf Litter on Inter-Specific Competitive Ability of the Invasive Plant Wedelia Trilobata. Ecol. Res. 2016, 31, 367–374. [Google Scholar] [CrossRef]
- Cheng, H.; Wang, S.; Wei, M.; Yu, Y.; Wang, C. Effect of Leaf Water Extracts of Four Asteraceae Alien Invasive Plants on Germination Performance of Lactuca Sativa L. under Acid Deposition. Plant Ecol. 2021, 222, 433–443. [Google Scholar] [CrossRef]
- Siri-Udom, S.; Suwannarach, N.; Lumyong, S. Applications of Volatile Compounds Acquired from Muscodor Heveae against White Root Rot Disease in Rubber Trees (Hevea Brasiliensis Mull. Arg.) and Relevant Allelopathy Effects. Fungal Biol. 2017, 121, 573–581. [Google Scholar] [CrossRef] [PubMed]
- Kato-Noguchi, H.; Kobayashi, A.; Ohno, O.; Kimura, F.; Fujii, Y.; Suenaga, K. Phytotoxic Substances with Allelopathic Activity May be Central to the Strong Invasive Potential of Brachiaria Brizantha. J. Plant Physiol. 2014, 171, 525–530. [Google Scholar] [CrossRef] [PubMed]
- Bazzaz, F.A. Plant Species-Diversity in Old-Field Successional Ecosystems in Southern Illinois. Ecology 1975, 56, 485–488. [Google Scholar] [CrossRef]
- Zuo, Z.; Zhang, R.; Gao, P.; Wen, G.; Hou, P.; Gao, Y. Allelopathic Effects of Artemisia Frigida Willd. On Growth of Pasture Grasses in Inner Mongolia, China. Biochem. Syst. Ecol. 2011, 39, 377–383. [Google Scholar] [CrossRef]
- Quan, X.; Qiao, Y.; Chen, M.; Duan, Z.; Shi, H. Comprehensive Evaluation of the Allelopathic Potential of Elymus Nutans. Ecol. Evol. 2021, 11, 12389–12400. [Google Scholar] [CrossRef]
- Zhang, Y.; Tang, S.; Liu, K.; Li, X.; Huang, D.; Wang, K. The Allelopathic Effect of Potentilla Acaulis on the Changes of Plant Community in Grassland, Northern China. Ecol. Res. 2015, 30, 41–47. [Google Scholar] [CrossRef]
- Seal, A.N.; Pratley, J.E.; Haig, T. Can Results from a Laboratory Bioassay be Used as an Indicator of Field Performance of Rice Cultivars with Allelopathic Potential Against Damasonium Minus (Starfruit)? Aust. J. Agric. Res. 2008, 59, 183–188. [Google Scholar] [CrossRef]
- Quayyum, H.A.; Mallik, A.U.; Lee, P.F. Allelopathic potential of aquatic plants associated with wild rice (Zizania palustris): I. Bioassay with plant and lake sediment samples. J. Chem. Ecol. 1999, 25, 209–220. [Google Scholar] [CrossRef]
- Zhang, Y.; Huang, D.; Tang, S.; Zhang, Y.; Wang, K. Research on Allelopathy of Ethanol Extract of Potentilla Acaulis. Acta Agrestia Sin. 2012, 20, 711–717. [Google Scholar] [CrossRef]
- Ding, J.; Kong, D.; Zhang, Z.; Cai, Q.; Xiao, J.; Liu, Q.; Yin, H. Climate and Soil Nutrients Differentially Drive Multidimensional Fine Root Traits in Ectomycorrhizal–Dominated Alpine Coniferous Forests. J. Ecol. 2020, 108, 2544–2556. [Google Scholar] [CrossRef]
- Inderjit; Pollock, J.L.; Callaway, R.M.; Holben, W. Phytotoxic Effects of (+/−)-Catechin in Vitro, in Soil, and in the Field. PLoS ONE 2008, 3, e2536. [Google Scholar] [CrossRef] [PubMed]
- Zandi, P.; Barabasz-Krasny, B.; Stachurska-Swakon, A.; Pula, J.; Mozdzen, K. Allelopathic Effect of Invasive Canadian Goldenrod (Solidago Canadensis L.) on Early Growth of Red Clover (Trifolium Pratense L.). Not. Bot. Horti Agrobo. 2020, 48, 2060–2071. [Google Scholar] [CrossRef]
- Schmer, M.R.; Xue, Q.; Hendrickson, J.R. Salinity Effects on Perennial, Warm-Season (C-4) Grass Germination Adapted to the Northern Great Plains. Can. J. Plant Sci. 2012, 92, 873–881. [Google Scholar] [CrossRef][Green Version]
- Hou, Q.; Chen, B.; Peng, S.; Chen, L. Effects of Extreme Temperature on Seedling Establishment of Nonnative Invasive Plants. Biol. Invasions 2014, 16, 2049–2061. [Google Scholar] [CrossRef]
- Jeong, N.; Moon, J.; Kim, H.S.; Kim, C.; Jeong, S. Fine Genetic Mapping of the Genomic Region Controlling Leaflet Shape and Number of Seeds Per Pod in the Soybean. Theor. Appl. Genet. 2011, 122, 865–874. [Google Scholar] [CrossRef] [PubMed]
- Wang, Z.; Zhang, L. Leaf Shape Alters the Coefficients of Leaf Area Estimation Models for Saussurea Stoliczkai in Central Tibet. Photosynthetica 2012, 50, 337–342. [Google Scholar] [CrossRef]
- Williamson, G.B.; Richardson, D. Bioassays for Allelopathy: Measuring Treatment Responses with Independent Controls. J. Chem. Ecol. 1988, 14, 181–187. [Google Scholar] [CrossRef]
- Zhang, X.; Liu, Z.; Tian, N.; Nhu, T.L.; Zhu, B.; Bing, Y. Allelopathic Effects of Decomposed Leaf Litter from Intercropped Trees on Rape. Turk. J. Agric. For. 2015, 39, 898–908. [Google Scholar] [CrossRef]






Publisher’s Note: MDPI stays neutral with regard to jurisdictional claims in published maps and institutional affiliations. |
© 2022 by the authors. Licensee MDPI, Basel, Switzerland. This article is an open access article distributed under the terms and conditions of the Creative Commons Attribution (CC BY) license (https://creativecommons.org/licenses/by/4.0/).
Share and Cite
Wang, K.; Wang, T.; Ren, C.; Dou, P.; Miao, Z.; Liu, X.; Huang, D.; Wang, K. Aqueous Extracts of Three Herbs Allelopathically Inhibit Lettuce Germination but Promote Seedling Growth at Low Concentrations. Plants 2022, 11, 486. https://doi.org/10.3390/plants11040486
Wang K, Wang T, Ren C, Dou P, Miao Z, Liu X, Huang D, Wang K. Aqueous Extracts of Three Herbs Allelopathically Inhibit Lettuce Germination but Promote Seedling Growth at Low Concentrations. Plants. 2022; 11(4):486. https://doi.org/10.3390/plants11040486
Chicago/Turabian StyleWang, Kaili, Ting Wang, Cheng Ren, Pengpeng Dou, Zhengzhou Miao, Xiqiang Liu, Ding Huang, and Kun Wang. 2022. "Aqueous Extracts of Three Herbs Allelopathically Inhibit Lettuce Germination but Promote Seedling Growth at Low Concentrations" Plants 11, no. 4: 486. https://doi.org/10.3390/plants11040486
APA StyleWang, K., Wang, T., Ren, C., Dou, P., Miao, Z., Liu, X., Huang, D., & Wang, K. (2022). Aqueous Extracts of Three Herbs Allelopathically Inhibit Lettuce Germination but Promote Seedling Growth at Low Concentrations. Plants, 11(4), 486. https://doi.org/10.3390/plants11040486

