Olive Oil Sensory Analysis as a Tool to Preserve and Valorize the Heritage of Centenarian Olive Trees
Abstract
:1. Introduction
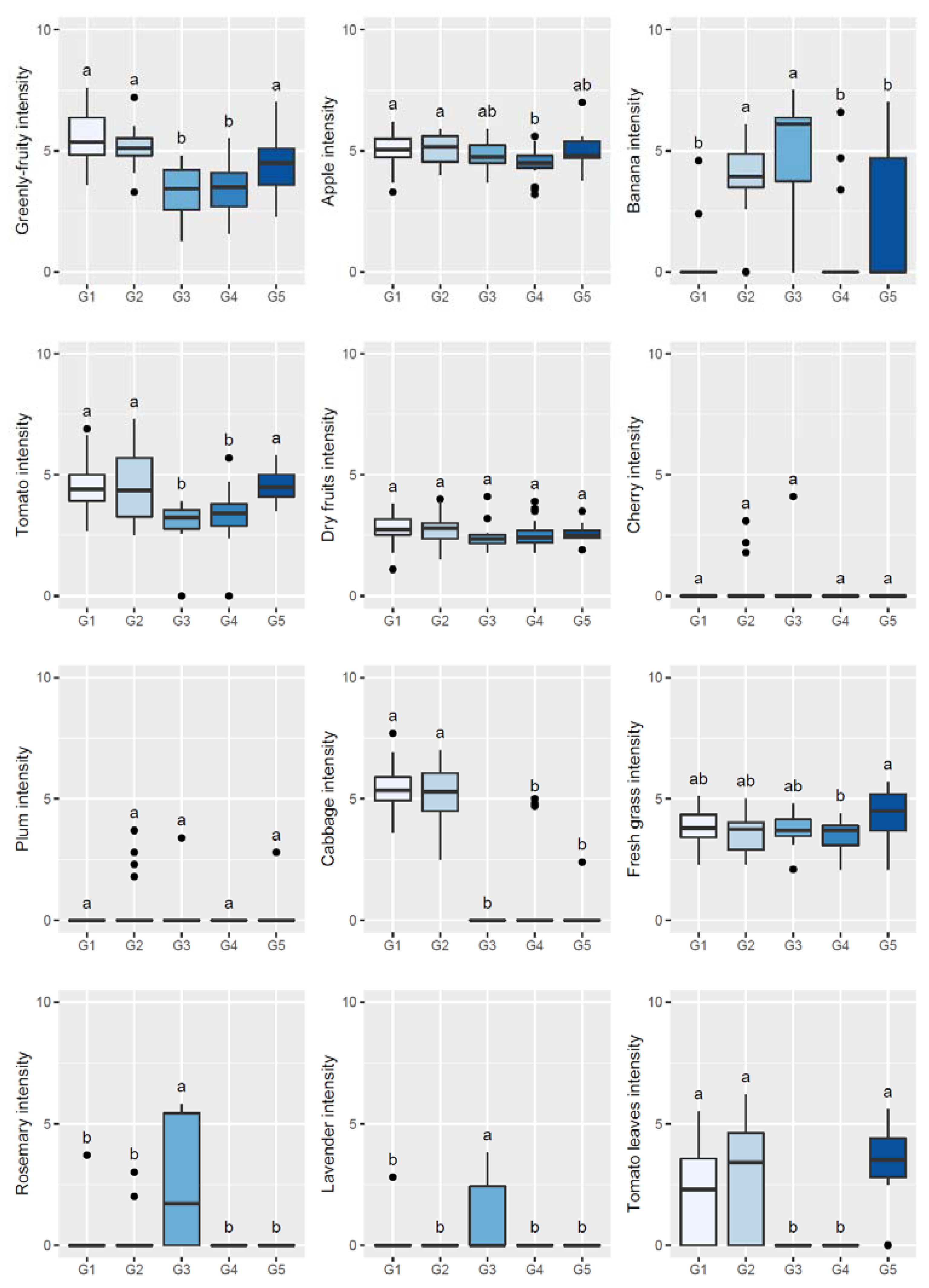
2. Results and Discussion
3. Materials and Methods
3.1. Sampling
3.1.1. Tree Selection and Harvest
3.1.2. Oil Extraction
3.2. Evaluation of Quality Parameters
3.3. Statistical Analysis
4. Conclusions
Author Contributions
Funding
Institutional Review Board Statement
Informed Consent Statement
Data Availability Statement
Conflicts of Interest
References
- Rallo, L.; DíeZ, C.M.; Morales-Sillero, A.; Miho, H.; Priego-Capote, F.; Rallo, P. Quality of olives: A focus on agricultural preharvest factors. Sci. Hortic. 2018, 233, 491–509. [Google Scholar] [CrossRef]
- Rodrigues, N.; Casal, S.; Peres, A.M.; Bento, A.; Baptista, P.; Pereira, J.A. Seeking for sensory differentiated olive oils? The urge to preserve old autochthonous olive cultivars. Food Res. Int. 2020, 128, 108759. [Google Scholar] [CrossRef] [Green Version]
- Rodrigues, N.; Casal, S.; Pinho, T.; Cruz, R.; Peres, A.M.; Baptista, P.; Pereira, J.A. Fatty acid composition from olive oils of portuguese centenarian trees is highly dependent on olive cultivar and crop year. Foods 2021, 10, 496. [Google Scholar] [CrossRef]
- Fernández-Habas, J.; Sánchez-Zamora, P.; Ceña-Delgado, F.; Gallardo-Cobos, R. Assessment of ecosystem services provision: The case of mountain olive groves in los pedroches, southern Spain. New Medit. 2018, 2, 43–60. [Google Scholar] [CrossRef]
- Vicente-Vicente, J.L.; García-Ruiz, R.; Francaviglia, R.; Aguilera, E.; Smith, P. Soil carbon sequestration rates under Mediterranean woody crops using recommended management practices: A meta-analysis. Agric. Ecosyst. Environ. 2016, 235, 204–214. [Google Scholar] [CrossRef] [Green Version]
- Aguilera, E.; Díaz-Gaona, C.; García-Laureano, R.; Reyes-Palomo, C.; Guzmán, G.I.; Ortolani, L.; Sánchez-Rodríguez, M.; Rodríguez-Estévez, V. Agroecology for adaptation to climate change and resource depletion in the Mediterranean region. Agric. Syst. 2020, 181, 102809. [Google Scholar] [CrossRef]
- Cabezas, J.M.; Ruiz-Ramos, M.; Soriano, M.A.; Gabaldón-Leal, C.; Santos, C.; Lorite, I.J. Identifying adaptation strategies to climate change for Mediterranean olive orchards using impact response surfaces. Agric. Syst. 2020, 185, 102937. [Google Scholar] [CrossRef]
- Atienza, S.G.; de la Rosa, R.; Domínguez-García, M.C.; Martín, A.; Kilian, A.; Belaj, A. Use of DArT markers as a means of better management of the diversity of olive cultivars. Food Res. Int. 2013, 54, 2045–2053. [Google Scholar] [CrossRef]
- Cicatelli, A.; Fortunati, T.; De Feis, I.; Castiglione, S. Oil composition and genetic biodiversity of ancient and new olive (Olea europea L.) varieties and accessions of southern Italy. Plant Sci. 2013, 210, 82–92. [Google Scholar] [CrossRef]
- Kassa, A.; Konrad, H.; ThomasGeburek, T. Molecular diversity and gene flow within and among different subspecies of the wild olive (Olea europaea L.): A review. Flora 2019, 250, 18–26. [Google Scholar] [CrossRef]
- INE. 2021—National Statistics Institute. Estatísticas Agrícolas—2020; Ano de Edição: Lisbon, Portugal, 2021; ISBN 978-989-25-0572-5.
- Peres, A.M.; Baptista, P.; Malheiro, R.; Dias, L.G.; Bento, A.; Pereira, J.A. Chemometric classification of several olive cultivars from Trás-os-Montes region (northeast of Portugal) using artificial neural networks. Chemom. Intell. Lab. Syst. 2011, 105, 65–73. [Google Scholar] [CrossRef]
- Belaj, A.; de la Rosa, R.; Lorite, I.J.; Mariotti, R.; Cultrera, N.G.M.; Beuzón, C.R.; González-Plaza, J.J.; Muñoz-Mérida, A.; Trelles, O.; Baldoni, L. Usefulness of a new large set of high throughput est-snp markers as a tool for olive germplasm collection management. Front. Plant Sci. 2018, 9, 1320. [Google Scholar] [CrossRef] [PubMed] [Green Version]
- Belaj, A.; de la Rosa, R.; León, L.; Gabaldón-Leal, C.; Santos, C.; Porras, R.; de la Cruz-Blanco, M.; Lorite, I.J. Phenological diversity in a world olive germplasm bank: Potential use for breeding programs and climate change studies. Span. J. Agric. Res. 2020, 18, e0701. [Google Scholar] [CrossRef] [Green Version]
- Mariotti, R.; Belaj, A.; de La Rosa, R.; Leòn, L.; Brizioli, F.; Baldoni, L.; Mousavi, S. EST–SNP Study of Olea europaea L. Uncovers Functional Polymorphisms between Cultivated and Wild Olives. Genes 2020, 11, 916. [Google Scholar] [CrossRef]
- Díaz-Rueda, P.; Franco-Navarro, J.D.; Messora, R.; Espartero, J.; Rivero-Nunez, C.M.; Aleza, P.; Capote, N.; Cantos, M.; Garcia-Fernandez, J.L.; de Cires, A.; et al. SILVOLIVE, a Germplasm Collection of Wild Subspecies with High Genetic Variability as a Source of Rootstocks and Resistance Genes for Olive Breeding. Front. Plant Sci. 2020, 11, 629. [Google Scholar] [CrossRef] [PubMed]
- López-Yerena, A.; Ninot, A.; Lozano-Castellón, J.; Escribano-Ferrer, E.; Romero-Aroca, A.J.; Belaj, A.; Vallverdú-Queralt, A.; Lamuela-Raventós, R.M. Conservation of native wild ivory-white olives from the Medes islands natural reserve to maintain virgin olive oil diversity. Antioxidants 2020, 9, 1009. [Google Scholar] [CrossRef]
- Sanz, C.; Belaj, A.; Tortosa, J.L.; Pérez, A.G. Comparative study of the content of phenolic compounds in olive fruits and leaves for possible use in breeding programs for the functional selection of olive cultivars. Acta Hortic. 2020, 1282, 11–18. [Google Scholar] [CrossRef]
- Ramírez-Tejero, J.A.; Jiménez-Ruiz, J.; Serrano, A.; Belaj, A.; Leon, L.; de la Rosa, R.; Mercado-Blanco, J.; Luque, F. Verticillium wilt resistant and susceptible olive cultivars express a very different basal set of genes in roots. BMC Genom. 2021, 22, 229. [Google Scholar] [CrossRef]
- Rodrigues, N.; Casal, S.; Pinho, T.; Peres, A.M.; Bento, A.; Baptista, P.; Pereira, J.A. Ancient olive trees as a source of olive oils rich in phenolic compounds. Food Chem. 2019, 276, 231–239. [Google Scholar] [CrossRef] [Green Version]
- Rodrigues, N.; Casal, S.; Cruz, R.; Peres, A.M.; Baptista, P.; Pereira, J.A. GxE Effects on Tocopherol Composition of Oils from Very Old and Genetically Diverse Olive Trees. J. Am. Oil Chem. Soc. 2020, 97, 497–507. [Google Scholar] [CrossRef]
- De La Rosa, R.; Arias-Calderón, R.; Velasco, L.; León, L. Early selection for oil quality components in olive breeding progenies: Olive breeding for oil quality components. Eur. J. Lipid Sci. Technol. 2016, 118, 1160–1167. [Google Scholar] [CrossRef]
- García-Vico, L.; Belaj, A.; Sánchez-Ortiz, A.; Martínez-Rivas, J.; Pérez, A.; Sanz, C. Volatile compound profiling by HS-SPME/GC-MS-FID of a core olive cultivar collection as a tool for aroma improvement of virgin olive oil. Molecules 2017, 22, 141. [Google Scholar] [CrossRef] [PubMed] [Green Version]
- León, L.; de la Rosa, R.; Velasco, L.; Belaj, A. Using wild olives in breeding programs: Implications on oil quality composition. Front. Plant Sci. 2018, 9, 232. [Google Scholar] [CrossRef] [PubMed]
- EU. Comission Delegated Regulation (EU) 2015/1830 of 8th July 2015: Amending Regulation (EEC) No 2568/91 on the characteristics of olive oil and olive-residue oil and on the relevant methods of analysis. Off. J. Eur. Union 2015, L266, 9–13. [Google Scholar]
- Sánchez-Rodríguez, L.; Kranjac, M.; Marijanović, Z.; Jerković, I.; Corell, M.; Moriana, A.; Carbonell-Barrachina, Á.A.; Sendra, E.; Hernández, F. Quality attributes and fatty acid, volatile and sensory profiles of “Arbequina” hydrosostainable olive oil. Molecules 2019, 24, 2148. [Google Scholar] [CrossRef] [Green Version]
- Gharby, S.; Harhar, H.; Jadouali, S.M.; Hajib, A.; Nounah, I.; Farssi, M.; Taleb, A.A. Chemical profiles and Sensory analysis of four varieties of olive oil cultivated in Morocco. Moroc. J. Chem. 2018, 6, 359–366. [Google Scholar]
- Hassine, K.B.; Taamalli, A.; Slama, M.B.; Khouloud, T.; Kiristakis, A.; Benicasa, C.; Perri, E.; Malouche, D.; Hammami, M.; Bornaz, S.; et al. Characterization and preference mapping of autochtonous and introduced olive oil cultivars in Tunisia. Eur. J. Lipid Sci. Technol. 2015, 117, 112–121. [Google Scholar] [CrossRef]
- Kilcast, D. Sensory science. Chem. Br. 2003, 39, 62–64. [Google Scholar]
- Marx, I.M.G.; Rodrigues, N.; Veloso, A.C.A.; Casal, S.; Pereira, J.A.; Peres, A.M. Effect of malaxation temperature on the physicochemical and sensory quality of cv. Cobrançosa olive oil and its evaluation using an electronic tongue. Food Sci. Technol. 2021, 137, 110426. [Google Scholar] [CrossRef]
- International Olive Council. Guide for the Determination of the Characteristics of Oil-Olives; COI/OH/Doc. No 1 November 2011; IOC: Madrid, Spain, 2011; 39p. [Google Scholar]
- International Olive Council. Method for the Organoleptic Assessment of Virgin Olive Oil; COI/T.20/Doc. No 15/Rev. 10 2018; IOC: Madrid, Spain, 2018; 20p. [Google Scholar]
- International Olive Council. Guide for the Selection, Training and Quality Control of Virgin Olive Oil Tasters—Qualifications of Tasters, Panel Leaders and Trainers; COI/T.20/Doc. No 14/Rev. 7 June 2021; IOC: Madrid, Spain, 2021; 24p. [Google Scholar]
- International Olive Council. Sensory Analysis of Olive Oil—Method for the Organoleptic Assessment of Virgin Olive Oil Applying to Use a Designation of Origin; COI/T.20/Doc. No. 22 November 2005; IOC: Madrid, Spain, 2005; 29p. [Google Scholar]





| Sensation | Percentage of Oils with Perceived Sensation | Minimum–Maximum Average Intensities | Average (Minimum–Maximum) CVr% |
|---|---|---|---|
| Olfactory sensations | |||
| Greenly fruity | 100% | 1.3–7.6 | 4.7 (0.0–17.2) |
| Apple | 100% | 3.2–7.0 | 3.3 (0.0–17.1) |
| Banana | 38% | 2.4–7.5 | 3.5 (0.0–12.2) |
| Tomato | 98% | 2.4–7.3 | 3.8 (0.0–15.2) |
| Dry fruits | 100% | 1.1–4.1 | 4.7 (0.0–17.6) |
| Cherry | 4% | 1.8–4.1 | 4.9 (1.9–10.7) |
| Plum | 6% | 1.8–3.7 | 7.0 (3.9–14.5) |
| Cabbage | 56% | 2.4–7.7 | 4.0 (0.0–14.2) |
| Fresh grass | 100% | 2.1–5.7 | 4.1 (0.0–15.1) |
| Rosemary | 9% | 2.0–5.8 | 3.4 (0.6–6.0) |
| Lavender | 6% | 2.1–3.8 | 7.0 (3.9–14.0) |
| Tomato leaves | 44% | 2.2–6.2 | 4.9 (0.0–15.7) |
| Gustatory sensations | |||
| Sweet | 100% | 0.7–8.1 | 4.3 (0.0–14.9) |
| Bitter | 100% | 1.7–6.5 | 3.8 (0.0–17.9) |
| Pungent | 100% | 3.0–7.4 | 3.0 (0.0–11.1) |
| Greenly fruity | 100% | 1.8–7.4 | 3.7 (0.0–15.4) |
| Apple | 100% | 3.0–6.5 | 3.0 (0.0–11.6) |
| Banana | 46% | 2.5–7.6 | 4.1 (0.0–14.0) |
| Tomato | 97% | 1.5–7.3 | 3.8 (0.0–18.0) |
| Dry fruit | 99% | 1.0–5.4 | 4.8 (0.0–14.1) |
| Kiwi | 8% | 2.9–5.2 | 6.2 (0.9–18.1) |
| Cherry | 21% | 2.0–4.9 | 5.5 (0.0–18.5) |
| Apricot | 6% | 1.5–2.9 | 8.3 (2.3–17.5) |
| Strawberry | 7% | 3.0–4.4 | 3.3 (0.0–9.1) |
| Plum | 17% | 2.3–5.2 | 5.1 (2.2–12.3) |
| Cabbage | 64% | 2.6–7.2 | 3.2 (0.0–14.5) |
| Fresh grass | 100% | 2.2–6.6 | 3.9 (0.0–19.4) |
| Olive leaves | 4% | 2.0–4.1 | 5.5 (1.6–14.5) |
| Rosemary | 10% | 2.1–6.1 | 5.0 (0.6–11.4) |
| Lavender | 8% | 2.5–4.4 | 7.1 (1.0–10.5) |
| Tomato leaves | 51% | 1.8–6.7 | 4.9 (0.0–14.0) |
Publisher’s Note: MDPI stays neutral with regard to jurisdictional claims in published maps and institutional affiliations. |
© 2022 by the authors. Licensee MDPI, Basel, Switzerland. This article is an open access article distributed under the terms and conditions of the Creative Commons Attribution (CC BY) license (https://creativecommons.org/licenses/by/4.0/).
Share and Cite
Rodrigues, N.; Peres, A.M.; Baptista, P.; Pereira, J.A. Olive Oil Sensory Analysis as a Tool to Preserve and Valorize the Heritage of Centenarian Olive Trees. Plants 2022, 11, 257. https://doi.org/10.3390/plants11030257
Rodrigues N, Peres AM, Baptista P, Pereira JA. Olive Oil Sensory Analysis as a Tool to Preserve and Valorize the Heritage of Centenarian Olive Trees. Plants. 2022; 11(3):257. https://doi.org/10.3390/plants11030257
Chicago/Turabian StyleRodrigues, Nuno, António M. Peres, Paula Baptista, and José Alberto Pereira. 2022. "Olive Oil Sensory Analysis as a Tool to Preserve and Valorize the Heritage of Centenarian Olive Trees" Plants 11, no. 3: 257. https://doi.org/10.3390/plants11030257
APA StyleRodrigues, N., Peres, A. M., Baptista, P., & Pereira, J. A. (2022). Olive Oil Sensory Analysis as a Tool to Preserve and Valorize the Heritage of Centenarian Olive Trees. Plants, 11(3), 257. https://doi.org/10.3390/plants11030257
