Olive Bud Dormancy Release Dynamics and Validation of Using Cuttings to Determine Chilling Requirement
Abstract
1. Introduction
2. Results
2.1. Natural and Forced Budburst Following Chilling in the Field
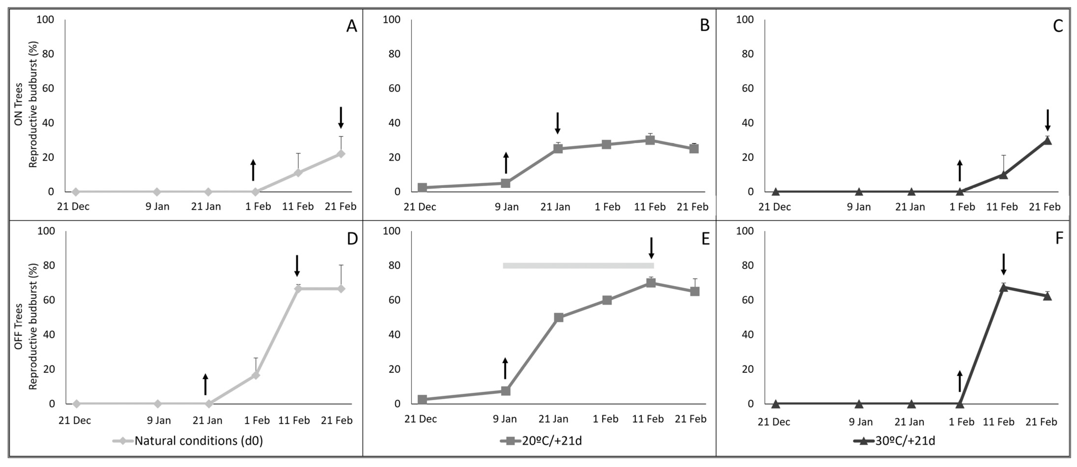
2.2. Forced Budburst on Cuttings and Potted Trees Following Cold Accumulation under Artificial Chilling
3. Discussion
3.1. Reproductive Budburst Following Chilling Accumulation
3.2. The Effect of Tree Bearing Condition on Reproductive Budburst
3.3. High Temperature Inhibition of Reproductive Budburst and Later Stimulation of Differentiation and Growth
3.4. Olive Bud Initial Reproductive Differentiation and Its Relation to Budburst
3.5. An Interpretive Scheme for Dormancy Release and Budburst Dynamics in Olive Bud
3.6. Validity of Using Cuttings to Determine Dormancy Release in Reproductive Buds
4. Materials and Methods
4.1. Experiment 1: Bud Behavior Following Cold Accumulation of Trees under Field Conditions
4.1.1. Organization of Experiment 1
4.1.2. Histological Preparation and Observations
4.2. Experiment 2: Bud Behavior in Potted Trees Following Cold Accumulation under Artificial Chilling and Comparison with the Use of Cuttings
4.3. Statistical Analysis
5. Conclusions
Author Contributions
Funding
Institutional Review Board Statement
Informed Consent Statement
Data Availability Statement
Acknowledgments
Conflicts of Interest
References
- Hamze, L.M.; Trentacoste, E.R.; Searles, P.S.; Rousseaux, M.C. Spring Reproductive and Vegetative Phenology of Olive (Olea Europaea L.) Cultivars at Different Air Temperatures along a Latitudinal-Altitudinal Gradient in Argentina. Sci. Hortic. 2022, 304, 111327. [Google Scholar] [CrossRef]
- Campoy, J.A.; Ruiz, D.; Egea, J. Dormancy in Temperate Fruit Trees in a Global Warming Context: A Review. Sci. Hortic. 2011, 130, 357–372. [Google Scholar] [CrossRef]
- Fadón, E.; Fernández, C.E.; Behn, H.; Luedeling, E. A Conceptual Framework for Winter Dormancy in Deciduous Trees. Agronomy 2020, 10, 241. [Google Scholar] [CrossRef]
- Faust, M.; Erez, A.; Rowland, L.J.; Wang, S.Y.; Norman, H.A. Bud Dormancy in Perennial Fruit Trees: Physiological Basis for Dormancy Induction, Maintenance, and Release. HortScience 1997, 32, 623–629. [Google Scholar] [CrossRef]
- Saure, M.C. Dormancy Release in Deciduous Fruit Trees. In Horticultural Reviews; John Wiley & Sons, Inc.: Korbeek-Lo, Belgium, 1985; pp. 239–300. [Google Scholar] [CrossRef]
- Lang, G. Dormancy: A New Universal Terminology. HortScience 1987, 22, 817–820. [Google Scholar] [CrossRef]
- Haberman, A.; Bakhshian, O.; Cerezo-Medina, S.; Paltiel, J.; Adler, C.; Ben-Ari, G.; Mercado, J.A.; Pliego-Alfaro, F.; Lavee, S.; Samach, A. A Possible Role for FT-Encoding Genes in Interpreting Environmental and Internal Cues Affecting Olive (Olea europaea L.) Flower Induction. Plant. Cell Environ. 2017, 40, 1263–1280. [Google Scholar] [CrossRef] [PubMed]
- Ramos, A.; Rapoport, H.F.; Cabello, D.; Rallo, L. Chilling Accumulation, Dormancy Release Temperature, and the Role of Leaves in Olive Reproductive Budburst: Evaluation Using Shoot Explants. Sci. Hortic. 2018, 231, 241–252. [Google Scholar] [CrossRef]
- Almeida, F. Safra e Contra Safra Na Oliveira. Bol. Minist. Agric. Port. 1940, 7, 154. [Google Scholar]
- de la Rosa, R.; Rallo, L.; Rapoport, H.V. Olive Floral Bud Growth and Starch Content during Winter Rest and Spring Budbreak. HortScience 2000, 35, 1223–1227. [Google Scholar] [CrossRef]
- Fabbri, A.; Alerci, L. Reproductive and Vegetative Bud Differentiation in Olea europaea L. J. Hortic. Sci. Biotechnol. 1999, 74, 522–527. [Google Scholar] [CrossRef]
- Caballero, J.; Del Río, C. Métodos de Multiplicación. In El Cultivo del Olivo, 7th ed.; Barranco, D., Fernández-Escobar, R., Rallo, L., Eds.; Ediciones Mundi-Prensa: Barcelona, Mexico, 2017; pp. 97–144. [Google Scholar]
- Hartmann, H.T. The Use of Root-Promoting Substances in the Propagation of Olives by Soft-Wood Cuttings. Proc. Am. Soc. Hortic. Sci. 1946, 48, 303–308. [Google Scholar]
- Hartmann, H.T.; Kester, D.E.; Davies, F.T.; Geneve, L.; Wilson, S.B. Hartmann and Kester’s Plant Propagation Principles and Practices, 9th ed.; Prentice Hall Englewood Cliffs, Ed.; Pearson Education, Inc.: New York, NY, USA, 2017. [Google Scholar]
- Hartmann, H.T.; Loretti, F. Seasonal Variation in the Rooting of Olive Cuttings. Proc. Am. Soc. Hortic. Sci. 1965, 87, 194–198. [Google Scholar]
- Rallo, L.; Martin, G.C. The Role of Chilling in Releasing Olive Floral Buds from Dormancy. J. Am. Soc. Hortic. Sci. 1991, 116, 1058–1062. [Google Scholar] [CrossRef]
- Hackett, W.P.; Hartmann, H.T. The Influence of Temperatura on Floral Initiation in the Olive. Physiol. Plant. 1967, 20, 430–436. [Google Scholar] [CrossRef]
- Hartmann, H.T.; Porlingis, I. Effect of Different Amounts of Winter Chilling on Fruitfulness of Several Olive Varieties. Bot. Gaz. 1957, 119, 102–104. [Google Scholar] [CrossRef]
- Troncoso, A. Riseche Sulla Differenziazione Delle Gemme a Fiore Nell’olivo (Olea europea L.). Rev. Fruttic. 1967, 10, 535–544. [Google Scholar]
- De Melo-Abreu, J.; Barranco, D.; Cordeiro, A.M.; Tous, J.; Rogado, B.M.; Villalobos, F.J. Modelling Olive Flowering Date Using Chilling for Dormancy Release and Thermal Time. Agric. For. Meteorol. 2004, 125, 117–127. [Google Scholar] [CrossRef]
- Rohde, A.; Bhalerao, R. Plant Dormancy in the Perennial Context. Trends Plant Sci. 2007, 12, 217–223. [Google Scholar] [CrossRef] [PubMed]
- Dag, A.; Bustan, A.; Avni, A.; Tzipori, I.; Lavee, S.; Riov, J. Timing of Fruit Removal Affects Concurrent Vegetative Growth and Subsequent Return Bloom and Yield in Olive (Olea europaea L.). Sci. Hortic. 2010, 123, 469–472. [Google Scholar] [CrossRef]
- Fernández-Escobar, R.; Benlloch, M.; Navarro, C.; Martín, G.C. The Time of Floral Induction in the Olive. J. Am. Soc. Hortic. Sci. 1992, 117, 304–307. [Google Scholar] [CrossRef]
- Rallo, L.; Suarez, M.P. Seasonal Distribution of Dry Matter within the Olive Fruit-Bearing Limb. Adv. Hortic. Sci 1989, 3, 55–59. [Google Scholar]
- Stutte, G.W.; Martin, G.C. Effect of Light-Intensity and Carbohydrate Reserves on Flowering in Olive. J. Am. Soc. Hortic. Sci. 1986, 111, 27–31. [Google Scholar] [CrossRef]
- Dennis, F.G., Jr. Two Methods Od Studying Rest: Temperature Alternation and Genetic Analysis. HortScience 1987, 22, 820–824. [Google Scholar] [CrossRef]
- Erez, A.; Lavee, S. The Effect of Climatic Conditions on Dormancy Development of Peach Buds. I. Temperature. J. Am. Soc. Hortic. Sci. 1971, 96, 711–714. [Google Scholar] [CrossRef]
- Fishman, S.; Erez, A.; Couvillon, G.A. The Temperature Dependence of Dormancy Breaking in Plants: Computer Simulation of Processes Studied under Controlled Temperatures. J. Theor. Biol. 1987, 126, 309–321. [Google Scholar] [CrossRef]
- Pope, K.S.; Da Silva, D.; Brown, P.H.; DeJong, T.M. A Biologically Based Approach to Modeling Spring Phenology in Temperate Deciduous Trees. Agric. For. Meteorol. 2014, 198–199, 15–23. [Google Scholar] [CrossRef]
- Fadón, E.; Herrera, S.; Guerrero, B.I.; Guerra, M.E.; Rodrigo, J. Chilling and Heat Requirements of Temperate Stone. Agronomy 2020, 10, 409. [Google Scholar] [CrossRef]
- Prevey, J.; Harrington, C. Effectiveness of Winter Temperatures for Satisfying Chilling Requirements for Reproductive Budburst of Red Alder (Alnus rubra). PeerJ 2018, 6, e5221. [Google Scholar] [CrossRef]
- Rallo, L.; Torreño, P.; Vargas, A.; Alvarado, J. Dormancy and Alternate Bearing in Olive. Acta Hortic. 1994, 356, 127–136. [Google Scholar] [CrossRef]
- Jensen, W.A. Botanical Histochemistry-Principles and Practice; Whitaker, D.M., Emerson, R., Kennedy, D., Beadle, G.W., Eds.; W. H. Freeman and Company: San Francisco, CA, USA, 1962. [Google Scholar]
- Sanz-Cortés, F.; Martínez-Calvo, J.; Badenes, M.L.; Bleiholder, H.; Hack, H.; Llácer, G.; Meier, U. Phenological Growth Stages of Olive Trees (Olea europaea). Ann. Appl. Biol. 2002, 140, 151–157. [Google Scholar] [CrossRef]







Publisher’s Note: MDPI stays neutral with regard to jurisdictional claims in published maps and institutional affiliations. |
© 2022 by the authors. Licensee MDPI, Basel, Switzerland. This article is an open access article distributed under the terms and conditions of the Creative Commons Attribution (CC BY) license (https://creativecommons.org/licenses/by/4.0/).
Share and Cite
Rubio-Valdés, G.; Cabello, D.; Rapoport, H.F.; Rallo, L. Olive Bud Dormancy Release Dynamics and Validation of Using Cuttings to Determine Chilling Requirement. Plants 2022, 11, 3461. https://doi.org/10.3390/plants11243461
Rubio-Valdés G, Cabello D, Rapoport HF, Rallo L. Olive Bud Dormancy Release Dynamics and Validation of Using Cuttings to Determine Chilling Requirement. Plants. 2022; 11(24):3461. https://doi.org/10.3390/plants11243461
Chicago/Turabian StyleRubio-Valdés, Guillermo, Diego Cabello, Hava F. Rapoport, and Luis Rallo. 2022. "Olive Bud Dormancy Release Dynamics and Validation of Using Cuttings to Determine Chilling Requirement" Plants 11, no. 24: 3461. https://doi.org/10.3390/plants11243461
APA StyleRubio-Valdés, G., Cabello, D., Rapoport, H. F., & Rallo, L. (2022). Olive Bud Dormancy Release Dynamics and Validation of Using Cuttings to Determine Chilling Requirement. Plants, 11(24), 3461. https://doi.org/10.3390/plants11243461

