Effects of Application of Pig Manure on the Accumulation of Heavy Metals in Rice
Abstract
:1. Introduction
2. Results
2.1. Effects of Application of PM and FCR on Soil Nutrients
2.1.1. Organic Matter (OM) Content
2.1.2. Total N (TN) and Alkaline Hydrolyzed N (AN) Contents
2.1.3. Total P (TP) and Available P (AP) Contents
2.1.4. Total K (TK) and Available K (AK) Contents
2.2. Effects of Application of PM and FCR on Rice Yield
2.3. Effects of Application of PM and FCR on the Accumulation of Heavy Metals in the Soil Plant System
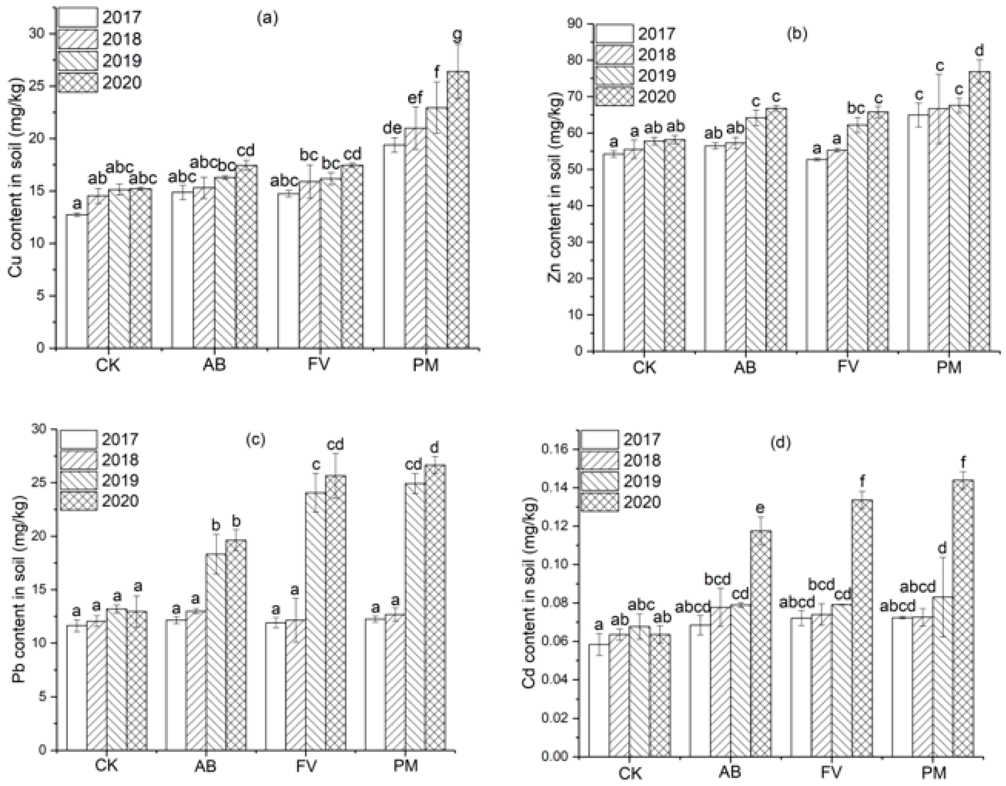
2.3.1. Heavy Metal Contents in the Soils
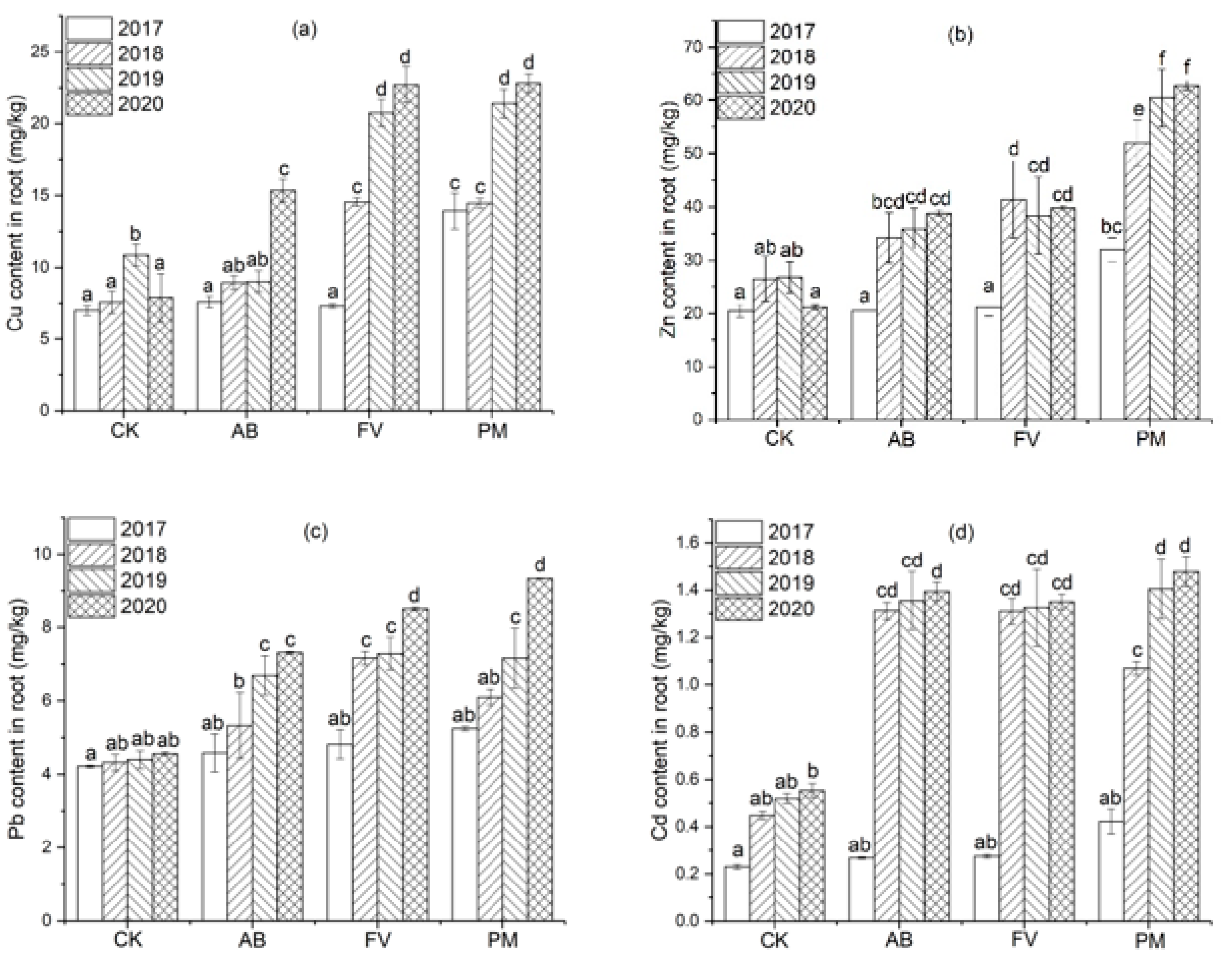
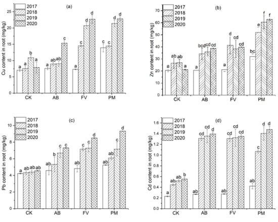
2.3.2. Heavy Metal Contents in the Rice Roots
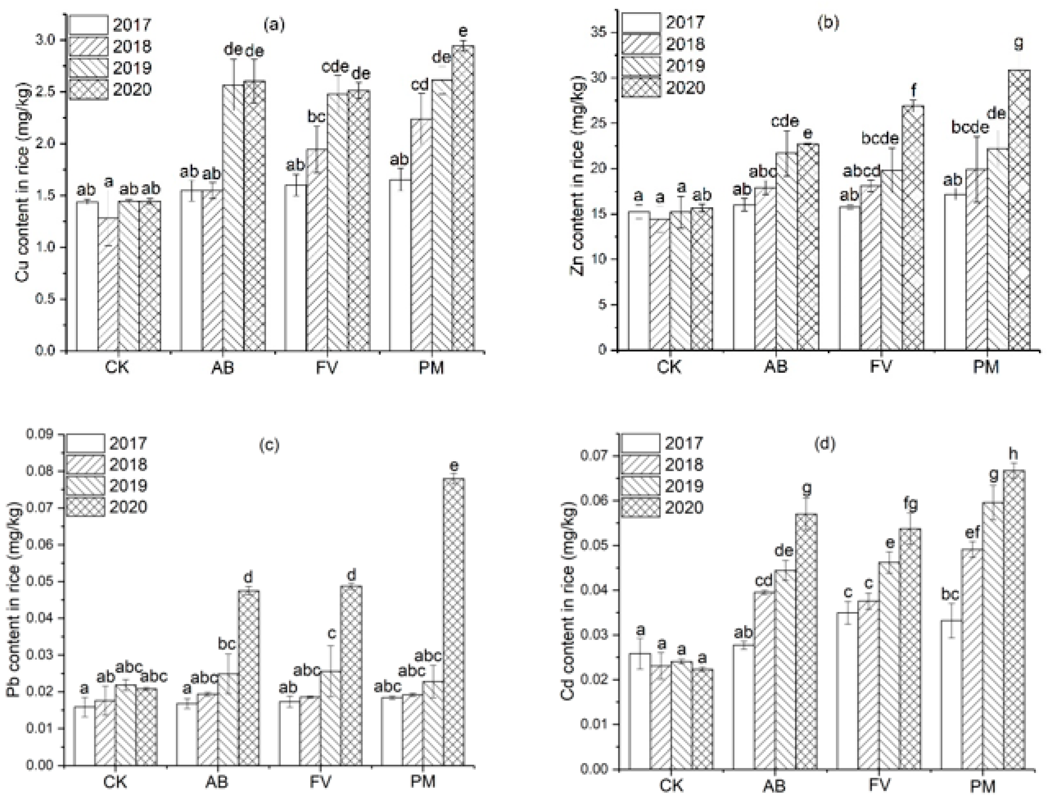
2.3.3. Heavy Metal Content in the Rice Grains
2.3.4. Distribution of Heavy Metals in the Rice Plants
3. Discussion
3.1. Enhancements of Soil Nutrients by Application of PM and FCR
3.2. Accumulation of Heavy Metals in the Soils Caused by Application of PM and FCR
3.3. Distribution of Heavy Metals in Rice Plants
3.4. Risk of Heavy Metal Contamination in Rice Grain Caused by Application of PM and FCR
4. Materials and Methods
4.1. Study Area
4.2. Field Experiment
4.3. Investigation and Sampling
4.4. Sample Analyses
4.5. Statistical Analysis
5. Conclusions
Author Contributions
Funding
Institutional Review Board Statement
Informed Consent Statement
Data Availability Statement
Conflicts of Interest
References
- Uphoff, N.; Dazzo, F.B. Making Rice Production More Environmentally-Friendly. Environments 2016, 3, 12. [Google Scholar] [CrossRef] [Green Version]
- Qian, X.; Wang, Z.; Shen, G.; Chen, X.; Tang, Z.; Guo, C.; Gu, H.; Fu, K. Heavy metals accumulation in soil after 4 years of continuous land application of swine manure: A field-scale monitoring and modeling estimation. Chemosphere 2018, 210, 1029–1034. [Google Scholar] [CrossRef]
- Onwosi, C.O.; Igbokwe, V.C.; Odimba, J.N.; Eke, I.E.; Nwankwoala, M.O.; Iroh, I.N.; Ezeogu, L.I. Composting technology in waste stabilization: On the methods, challenges and future prospects. J. Environ. Manag. 2017, 190, 140–157. [Google Scholar] [CrossRef]
- Cai, A.; Xu, M.; Wang, B.; Zhang, W.; Liang, G.; Hou, E.; Luo, Y. Manure acts as a better fertilizer for increasing crop yields than synthetic fertilizer does by improving soil fertility. Soil Tillage Res. 2019, 189, 168–175. [Google Scholar] [CrossRef]
- Stroppa, N.; Onelli, E.; Hejna, M.; Rossi, L.; Gagliardi, A.; Bini, L.; Baldi, A.; Moscatelli, A. Typha latifolia and Thelypteris palustris behavior in a pilot system for the refinement of livestock wastewaters: A case of study. Chemosphere 2020, 240, 14. [Google Scholar] [CrossRef]
- Jin, H.; Chang, Z. Distribution of heavy metal contents and chemical fractions in anaerobically digested manure slurry. Appl. Biochem. Biotechnol. 2011, 164, 268–282. [Google Scholar] [CrossRef]
- Huang, H.; Li, B.; Li, J.; Zhang, P.; Yu, W.; Zhao, N.; Guo, G.; Young, B. Influence of process parameters on the heavy metal (Zn(2+), Cu(2+) and Cr(3+)) content of struvite obtained from synthetic swine wastewater. Environ. Pollut. 2019, 245, 658–665. [Google Scholar] [CrossRef] [PubMed]
- Mu, H.Y.; Zhuang, Z.; Li, Y.M.; Qiao, Y.H.; Chen, Q.; Xiong, J.; Guo, L.L.; Jiang, R.F.; Li, H.-F. Heavy Metal Contents in Animal Manure in China and the Related Soil Accumulation Risks. Huan Jing Ke Xue 2020, 41, 986–996. [Google Scholar] [CrossRef] [PubMed]
- Franco, A.; Schuhmacher, M.; Roca, E.; Luis, D.J. Application of cattle manure as fertilizer in pastureland: Estimating the incremental risk due to metal accumulation employing a multicompartment model. Environ. Int. 2006, 32, 724–732. [Google Scholar] [CrossRef] [PubMed]
- Yang, X.; Li, Q.; Tang, Z.; Zhang, W.; Yu, G.; Shen, Q.; Zhao, F.J. Heavy metal concentrations and arsenic speciation in animal manure composts in China. Waste Manag. 2017, 64, 333–339. [Google Scholar] [CrossRef] [PubMed]
- Sager, M. Trace and nutrient elements in manure, dung and compost samples in Austria. Soil Biol. Biochem. 2007, 39, 1383–1390. [Google Scholar] [CrossRef]
- Shi, J.; Yu, X.; Zhang, M.; Lu, S.; Wu, W.; Wu, J.; Xu, J. Potential Risks of Copper, Zinc, and Cadmium Pollution due to Pig Manure Application in a Soil-Rice System under Intensive Farming: A Case Study of Nanhu, China. J. Environ. Qual. 2011, 40, 1695–1704. [Google Scholar] [CrossRef] [PubMed]
- Zhang, F.; Li, Y.; Yang, M.; Li, W. Content of Heavy Metals in Animal Feeds and Manures from Farms of Different Scales in Northeast China. Int. J. Environ. Res. Public Health 2012, 9, 2658–2668. [Google Scholar] [CrossRef] [Green Version]
- Xu, Y.; Yu, W.; Ma, Q.; Zhou, H. Accumulation of copper and zinc in soil and plant within ten-year application of different pig manure rates. Plant. Soil Environ. 2013, 59, 492–499. [Google Scholar] [CrossRef] [Green Version]
- Zhao, Y.; Yan, Z.; Qin, J.; Xiao, Z. Effects of long-term cattle manure application on soil properties and soil heavy metals in corn seed production in Northwest China. Environ. Sci. Pollut. Res. 2014, 21, 7586–7595. [Google Scholar] [CrossRef] [PubMed]
- Liang, X.; Jin, Y.; He, M.; Liu, Y.; Hua, G.; Wang, S.; Tian, G. Composition of phosphorus species and phosphatase activities in a paddy soil treated with manure at varying rates. Agric. Ecosyst. Environ. 2017, 237, 173–180. [Google Scholar] [CrossRef]
- Liang, Y.G.; Li, X.J.; Zhang, J.; Zhang, L.G.; Cheng, B. Effect of microscale ZVI/magnetite on methane production and bioavailability of heavy metals during anaerobic digestion of diluted pig manure. Environ. Sci. Pollut. Res. 2017, 24, 12328–12337. [Google Scholar] [CrossRef]
- Cang, L.; Wang, Y.J.; Zhou, D.M.; Dong, Y.H. Heavy metals pollution in poultry and livestock feeds and manures under intensive farming in Jiangsu Province, China. J. Environ. Sci. 2004, 16, 371–374. [Google Scholar]
- Peng, S.; Wang, Y.; Zhou, B.; Lin, X. Long-term application of fresh and composted manure increase tetracycline resistance in the arable soil of eastern China. Sci. Total Environ. 2015, 506–507, 279–286. [Google Scholar] [CrossRef]
- Meng, J.; Liang, S.; Tao, M.; Liu, X.; Brookes, P.C.; Xu, J. Chemical speciation and risk assessment of Cu and Zn in biochars derived from co-pyrolysis of pig manure with rice straw. Chemosphere 2018, 200, 344–350. [Google Scholar] [CrossRef]
- Muthayya, S.; Sugimoto, J.D.; Montgomery, S.; Maberly, G.F. An overview of global rice production, supply, trade, and consumption. Ann. N. Y. Acad. Sci. 2014, 1324, 7–14. [Google Scholar] [CrossRef] [PubMed]
- Gu, J.F.; Zhou, H.; Tang, H.L.; Yang, W.T.; Zeng, M.; Liu, Z.M.; Peng, P.Q.; Liao, B.H. Cadmium and arsenic accumulation during the rice growth period under in situ remediation. Ecotoxicol. Environ. Saf. 2019, 171, 451–459. [Google Scholar] [CrossRef]
- Zhou, H.; Zhu, W.; Yang, W.T.; Gu, J.F.; Gao, Z.X.; Chen, L.W.; Du, W.Q.; Zhang, P.; Peng, P.Q.; Liao, B.H. Cadmium uptake, accumulation, and remobilization in iron plaque and rice tissues at different growth stages. Ecotoxicol. Environ. Saf. 2018, 152, 91–97. [Google Scholar] [CrossRef] [PubMed]
- Shan, H.; Su, S.; Liu, R.; Li, S. Cadmium availability and uptake by radish (Raphanus sativus) grown in soils applied with wheat straw or composted pig manure. Environ. Sci. Pollut. Res. 2016, 23, 15208–15217. [Google Scholar] [CrossRef]
- Qian, X.; Shen, G.; Wang, Z.; Zhang, X.; Hong, Z. Effect of swine liquid manure application in paddy field on water quality, soil fertility and crop yields. Paddy Water Environ. 2018, 16, 15–22. [Google Scholar] [CrossRef]
- Demelash, N.; Bayu, W.; Tesfaye, S.; Ziadat, F.; Sommer, R. Current and residual effects of compost and inorganic fertilizer on wheat and soil chemical properties. Nutr. Cycl. Agroecosyst. 2014, 100, 357–367. [Google Scholar] [CrossRef]
- Carpenter, S.R.; Caraco, N.F.; Correll, D.L.; Howarth, R.W.; Sharpley, A.N.; Smith, V.H. Nonpoint pollution of surface waters with phosphorus and nitrogen. Ecol. Appl. 1998, 8, 559–568. [Google Scholar] [CrossRef]
- Li, F.; Li, Z.; Mao, P.; Li, Y.; Li, Y.; McBride, M.B.; Wu, J.; Zhuang, P. Heavy metal availability, bioaccessibility, and leachability in contaminated soil: Effects of pig manure and earthworms. Environ. Sci. Pollut. Res. 2019, 26, 20030–20039. [Google Scholar] [CrossRef]
- Antonious, G.F.; Kochhar, T.S.; Coolong, T. Yield, quality, and concentration of seven heavy metals in cabbage and broccoli grown in sewage sludge and chicken manure amended soil. J. Environ. Sci. Health Part A—Toxic/Hazard. Subst. Environ. Eng. 2012, 47, 1955–1965. [Google Scholar] [CrossRef]
- Liu, D.Y.; Zhang, W.; Pang, L.L.; Zhang, Y.Q.; Wang, X.Z.; Liu, Y.M.; Chen, X.P.; Zhang, F.S.; Zou, C.Q. Effects of zinc application rate and zinc distribution relative to root distribution on grain yield and grain Zn concentration in wheat. Plant Soil 2017, 411, 167–178. [Google Scholar] [CrossRef]
- Liu, D.Y.; Zhang, W.; Yan, P.; Chen, X.P.; Zhang, F.S.; Zou, C.Q. Soil application of zinc fertilizer could achieve high yield and high grain zinc concentration in maize. Plant Soil 2017, 411, 47–55. [Google Scholar] [CrossRef]
- Wei, W.; Yan, Y.; Cao, J.; Christie, P.; Zhang, F.; Fan, M. Effects of combined application of organic amendments and fertilizers on crop yield and soil organic matter: An integrated analysis of long-term experiments. Agric. Ecosyst. Environ. 2016, 225, 86–92. [Google Scholar] [CrossRef] [Green Version]
- Hu, N.; Wang, B.; Gu, Z.; Tao, B.; Zhang, Z.; Hu, S.; Zhu, L.; Meng, Y. Effects of different straw returning modes on greenhouse gas emissions and crop yields in a rice-wheat rotation system. Agric. Ecosyst. Environ. 2016, 223, 115–122. [Google Scholar] [CrossRef]
- Zhang, L.; Zheng, J.; Chen, L.; Shen, M.; Zhang, X.; Zhang, M.; Bian, X.; Zhang, J.; Zhang, W. Integrative effects of soil tillage and straw management on crop yields and greenhouse gas emissions in a rice-wheat cropping system. Eur. J. Agron. 2015, 63, 47–54. [Google Scholar] [CrossRef]
- Irshad, M.; Malik, A.H.; Shaukat, S.; Mushtaq, S.; Ashraf, M. Characterization of Heavy Metals in Livestock Manures. Pol. J. Environ. Stud. 2013, 22, 1257–1262. [Google Scholar]
- Li, Y.X.; Li, W.; Wu, J.; Xu, L.C.; Su, Q.H.; Xiong, X. Contribution of additives Cu to its accumulationin pig feces: Study in Beijing and Fuxin of China. J. Environ. Sci. 2007, 19, 610–615. [Google Scholar] [CrossRef]
- Dach, J.; Starmans, D. Heavy metals balance in Polish and Dutch agronomy: Actual state and previsions for the future. Agric. Ecosyst. Environ. 2005, 107, 309–316. [Google Scholar] [CrossRef]
- Tan, C.Y.; Wu, L.H.; Luo, Y.M.; Xu, J.M.; Han, X.Z.; Qiao, Y.F. Cadmium accumulation and its development tendency in black soil under long-term fertilization. J. Appl. Ecol. 2008, 19, 2738–2744. [Google Scholar]
- Karami, M.; Amini, M.; Afyuni, M.; Khoshgoftarmanesh, A.H.; Keller, A.; Abdi, A.; Schulin, R. Agricultural zinc fluxes into soils and crops of central Iran at regional scale. Arch. Agron. Soil Sci. 2014, 60, 437–456. [Google Scholar] [CrossRef]
- McBride, M.B.; Spiers, G. Trace element content of selected fertilizers and dairy manures as determined by ICP-MS. Commun. Soil Sci. Plant Anal. 2001, 32, 139–156. [Google Scholar] [CrossRef]
- Luo, L.; Ma, Y.; Zhang, S.; Wei, D.; Zhu, Y.G. An inventory of trace element inputs to agricultural soils in China. J. Environ. Manag. 2009, 90, 2524–2530. [Google Scholar] [CrossRef]
- Wu, L.; Tan, C.; Liu, L.; Zhu, P.; Peng, C.; Luo, Y.; Christie, P. Cadmium bioavailability in surface soils receiving long-term applications of inorganic fertilizers and pig manure. Geoderma 2012, 173, 224–230. [Google Scholar] [CrossRef]
- Dudka, S.; Miller, W.P. Accumulation of potentially toxic elements in plants and their transfer to human food chain. J. Environ. Sci. Health Part B Pestic. Food Contam. Agric. Wastes 1999, 34, 681–708. [Google Scholar] [CrossRef]
- Gong, Q.; Chen, P.; Shi, R.; Gao, Y.; Zheng, S.A.; Xu, Y.; Shao, C.; Zheng, X. Health Assessment of Trace Metal Concentrations in Organic Fertilizer in Northern China. Int. J. Environ. Res. Public Health 2019, 16, 1031. [Google Scholar] [CrossRef] [Green Version]
- Kirkham, M.B. Cadmium in plants on polluted soils: Effects of soil factors, hyperaccumulation, and amendments. Geoderma 2006, 137, 19–32. [Google Scholar] [CrossRef]
- Xu, Y.G.; Yu, W.T.; Ma, Q.; Zhou, H. Potential risk of cadmium in a soil-plant system as a result of long-term (10 years) pig manure application. Plant Soil Environ. 2015, 61, 352–357. [Google Scholar] [CrossRef] [Green Version]
- Guo, G.; Lei, M.; Chen, T.; Yang, J. Evaluation of different amendments and foliar fertilizer for immobilization of heavy metals in contaminated soils. J. Soils Sediments 2018, 18, 239–247. [Google Scholar] [CrossRef]
- Wang, X.; Zheng, G.; Chen, T.; Shi, X.; Wang, Y.; Nie, E.; Liu, J. Effect of phosphate amendments on improving the fertilizer efficiency and reducing the mobility of heavy metals during sewage sludge composting. J. Environ. Manag. 2019, 235, 124–132. [Google Scholar] [CrossRef] [PubMed]
- Guo, T.; Lou, C.; Zhai, W.; Tang, X.; Hashmi, M.Z.; Murtaza, R.; Li, Y.; Liu, X.; Xu, J. Increased occurrence of heavy metals, antibiotics and resistance genes in surface soil after long-term application of manure. Sci. Total Environ. 2018, 635, 995–1003. [Google Scholar] [CrossRef] [PubMed]
- Basar, H. Methods for Estimating Phytoavailable Metals in Soils. Commun. Soil Sci. Plant Anal. 2009, 40, 1087–1105. [Google Scholar] [CrossRef]
- Shaheen, S.M.; Rinklebe, J. Impact of emerging and low cost alternative amendments on the (im)mobilization and phytoavailability of Cd and Pb in a contaminated floodplain soil. Ecol. Eng. 2015, 74, 319–326. [Google Scholar] [CrossRef]
- Halim, M.A.; Majumder, R.K.; Zaman, M.N. Paddy soil heavy metal contamination and uptake in rice plants from the adjacent area of Barapukuria coal mine, northwest Bangladesh. Arab. J. Geosci. 2015, 8, 3391–3401. [Google Scholar] [CrossRef]
- Sprynskyy, M.; Kowalkowski, T.; Tutu, H.; Cozmuta, L.M.; Cukrowska, E.M.; Buszewski, B. The Adsorption Properties of Agricultural and Forest Soils Towards Heavy Metal Ions (Ni, Cu, Zn, and Cd). Soil Sediment Contam. 2011, 20, 12–29. [Google Scholar] [CrossRef]
- GB NY-525-(2012) Organic Manure Standard. Available online: https://img.antpedia.com/standard/files/pdfs_ora/CN-NY/30e/NY%20525-2012_2500.pdf (accessed on 9 January 2022).
- McLaughlin, M.J.; Parker, D.R.; Clarke, J.M. Metals and micronutrients—Food safety issues. Field Crops Res. 1999, 60, 143–163. [Google Scholar] [CrossRef]
- Xiong, X.; Li, Y.; Li, W.; Lin, C.; Han, W.; Yang, M. Copper content in animal manures and potential risk of soil copper pollution with animal manure use in agriculture. Resour. Conserv. Recycl. 2010, 54, 985–990. [Google Scholar] [CrossRef]
- Wan, Y.; Huang, Q.; Wang, Q.; Yu, Y.; Su, D.; Qiao, Y.; Li, H. Accumulation and bioavailability of heavy metals in an acid soil and their uptake by paddy rice under continuous application of chicken and swine manure. J. Hazard. Mater. 2020, 384, 121293. [Google Scholar] [CrossRef]
- Merrington, G.; Madden, C. Changes in cadmium and zinc phytoavailability in agricultural soil after amendment with papermill sludge and biosolids. Commun. Soil Sci. Plant Anal. 2000, 31, 759–776. [Google Scholar] [CrossRef]
- Weggler-Beaton, K.; McLaughlin, M.J.; Graham, R.D. Salinity increases cadmium uptake by wheat and Swiss chard from soil amended with biosolids. Aust. J. Soil Res. 2000, 38, 37–45. [Google Scholar] [CrossRef]
- GB 15618-(2018). Environmental Quality Standards for Soils. Part 7.2: Level 2 of Environmental Quality Standards for Soil Inorganic Matter. Available online: https://img.antpedia.com/standard/files/pdfs_ora/20200926/GB%2015618-2018.pdf (accessed on 9 January 2022).
- Ochoa, M.; Tierra, W.; Santiago Tupuna-Yerovi, D.; Guanoluisa, D.; Luis Otero, X.; Ruales, J. Assessment of cadmium and lead contamination in rice farming soils and rice (Oryza sativa L.) from Guayas province in Ecuador. Environ. Pollut. 2020, 260, 114050. [Google Scholar] [CrossRef]
- Bingham, F.T. Bioavailability of Cd to Food crops in relation to heavy metal content of sludge-amended soil. Environ. Health Perspect. 1979, 28, 39–43. [Google Scholar] [CrossRef]
- Song, W.E.; Chen, S.B.; Liu, J.F.; Chen, L.; Song, N.N.; Li, N.; Liu, B. Variation of Cd concentration in various rice cultivars and derivation of cadmium toxicity thresholds for paddy soil by species-sensitivity distribution. J. Integr. Agric. 2015, 14, 1845–1854. [Google Scholar] [CrossRef]
- Harris, N.S.; Taylor, G.J. Cadmium uptake and partitioning in durum wheat during grain filling. BMC Plant Biol. 2013, 13, 103. [Google Scholar] [CrossRef] [PubMed] [Green Version]
- Yoneyama, T.; Gosho, T.; Kato, M.; Goto, S.; Hayashi, H. Xylem and phloem transport of Cd, Zn and Fe into the grains of rice plants (Oryza sativa L.) grown in continuously flooded Cd-contaminated soil. Soil Sci. Plant Nutr. 2010, 56, 445–453. [Google Scholar] [CrossRef]
- Ashraf, U.; Kanu, A.S.; Deng, Q.; Mo, Z.; Pan, S.; Tian, H.; Tang, X. Lead (Pb) Toxicity; Physio-Biochemical Mechanisms, Grain Yield, Quality, and Pb Distribution Proportions in Scented Rice. Front. Plant Sci. 2017, 8, 259. [Google Scholar] [CrossRef] [Green Version]
- Chen, H.; Tang, Z.; Wang, P.; Zhao, F.J. Geographical variations of cadmium and arsenic concentrations and arsenic speciation in Chinese rice. Environ. Pollut. 2018, 238, 482–490. [Google Scholar] [CrossRef]
- Jarup, L.; Akesson, A. Current status of cadmium as an environmental health problem. Toxicol. Appl. 2009, 238, 201–208. [Google Scholar] [CrossRef]
- Chen, Z.F.; Zhao, Y.; Zhu, Y.; Yang, X.; Qiao, J.; Tian, Q.; Zhang, Q. Health risks of heavy metals in sewage-irrigated soils and edible seeds in Langfang of Hebei province, China. J. Sci. Food Agric. 2010, 90, 314–320. [Google Scholar] [CrossRef] [PubMed]
- GB 2762-(2017). Limit of Contaminants in Food Safety of National Standards. Available online: https://kns.cnki.net/kcms/detail/detail.aspx?FileName=ZSPZ201803030&DbName=CJFQ2018. (accessed on 9 January 2022).
- GB NY-861-(2004). Limit Standard for Grain and Products. Available online: https://img.antpedia.com/standard/files/pdfs_ora/CN-NY/3f8/NY%20861-2004.pdf (accessed on 9 January 2022).
- Romkens, P.F.A.M.; Guo, H.Y.; Chu, C.L.; Liu, T.S.; Chiang, C.F.; Koopmans, G.F. Prediction of Cadmium uptake by brown rice and derivation of soil-plant transfer models to improve soil protection guidelines. Environ. Pollut. 2009, 157, 2435–2444. [Google Scholar] [CrossRef]
- Han, C.; Wu, L.; Tan, W.; Zhong, D.; Huang, Y.; Luo, Y.; Christie, P. Cadmium distribution in rice plants grown in three different soils after application of pig manure with added cadmium. Environ. Geochem. Health 2012, 34, 481–492. [Google Scholar] [CrossRef]
- Jalil, A.; Selles, F.; Clarke, J.M. Effect of cadmium on growth and the uptake of cadmium and other elements by durum wheat. J. Plant Nutr. 1994, 17, 1839–1858. [Google Scholar] [CrossRef]
- Wang, G.; Zhou, L. Application of Green Manure and Pig Manure to Cd-Contaminated Paddy Soil Increases the Risk of Cd Uptake by Rice and Cd Downward Migration into Groundwater: Field Micro-Plot Trials. Water Air Soil Pollut. 2017, 228, 29. [Google Scholar] [CrossRef]
- Fei, X.; Xiao, R.; Christakos, G.; Langousis, A.; Ren, Z.; Tian, Y.; Lv, X. Comprehensive assessment and source apportionment of heavy metals in Shanghai agricultural soils with different fertility levels. Ecol. Indic. 2019, 106, 105508. [Google Scholar] [CrossRef]
- Xiao, R.; Guo, D.; Ali, A.; Mi, S.S.; Liu, T.; Ren, C.Y.; Li, R.H.; Zhang, Z.Q. Accumulation, ecological-health risks assessment, and source apportionment of heavy metals in paddy soils: A case study in Hanzhong, Shaanxi, China. Environ. Pollut. 2019, 248, 349–357. [Google Scholar] [CrossRef] [PubMed]
- Qaswar, M.; Liu, Y.; Huang, J.; Liu, K.; Mudasir, M.; Lv, Z.; Hou, H.; Lan, X.; Ji, J.; Ahmed, W.; et al. Soil nutrients and heavy metal availability under long-term combined application of swine manure and synthetic fertilizers in acidic paddy soil. J. Soils Sediments 2020, 20, 2093–2106. [Google Scholar] [CrossRef]
- Zhang, G.L.; Gong, Z.T. Soil Survey Laboratory Methods; Science Press: Beijing, China, 2012; pp. 36–96. [Google Scholar]
- Xiao, R.; Wang, S.; Li, R.; Wang, J.J.; Zhang, Z. Soil heavy metal contamination and health risks associated with artisanal gold mining in Tongguan, Shaanxi, China. Ecotoxicol. Environ. Saf. 2017, 141, 17–24. [Google Scholar] [CrossRef] [PubMed]











| Organic Fertilizer | pH | OM (%) | Water Content (%) | TN (g/kg) | TP (g/kg) | TK (g/kg) | Cu (mg/kg) | Zn (mg/kg) | Pb (mg/kg) | Cd (mg/kg) |
|---|---|---|---|---|---|---|---|---|---|---|
| FV | 5.50 ± 0.11 | 71.75 ± 0.89 | 77.66 ± 0.13 | 20.34 ± 0.26 | 10.20 ± 0.09 | 3.07 ± 0.07 | 8.00 ± 0.81c | 33.46 ± 5.95c | 0.52 ± 0.16 c | 0.15 ± 0.05 c |
| AB | 5.85 ± 0.16 | 36.49 ± 0.63 | 75.63 ± 0.12 | 19.24 ± 0.31 | 4.36 ± 0.05 | 2.65 ± 0.15 | 30.09 ± 0.49b | 123.72 ± 6.52b | 1.71 ± 0.43 b | 0.30 ± 0.05 b |
| PM | 6.99 ± 0.19 | 33.81 ± 0.55 | 12.04 ± 0.15 | 21.05 ± 0.18 | 15.43 ± 0.16 | 3.76 ± 0.21 | 166.76 ± 19.99a | 544.74 ± 75.48a | 3.20 ± 0.14 a | 0.43 ± 0.03 a |
| pH | OM (g/kg) | TN (g/kg) | TP (g/kg) | TK (g/kg) | AN (g/kg) | AP (g/kg) | AK (g/kg) |
|---|---|---|---|---|---|---|---|
| 5.20 ± 0.12 | 31.07 ± 0.28 | 1.41 ± 0.21 | 0.14 ± 0.02 | 17.91 ± 0.48 | 0.11 ± 0.005 | 0.006 ± 0.0004 | 0.044 ± 0.006 |
| Base Fertilizer (June 2017–June 2020) | Topdressing (July 2017–July 2020) | ||||||||
|---|---|---|---|---|---|---|---|---|---|
| Treatment | Fertilization Amount | TN (g/m−2) | TP | TK | Fertilization Amount | TN | TP | TK | |
| (kg/m2) | (g/m2) | (g/m2) | (g/m2) | (kg/m2) | (g/m2) | (g/m2) | (g/m2) | ||
| CK | 0.00 | 0.00 | 0.00 | 0.00 | CK | 0.00 | 0.00 | 0.00 | 0.00 |
| AB | 1.33 | 9.50 | 2.15 | 0.65 | AB | 3.80 | 27.6 | 10.88 | 5.84 |
| FV | 0.57 | 9.50 | 3.36 | 1.14 | FV | 4.04 | 27.6 | 13.75 | 4.91 |
| PM | 0.48 | 9.50 | 5.52 | 1.15 | PM | 1.21 | 27.6 | 16.99 | 3.03 |
Publisher’s Note: MDPI stays neutral with regard to jurisdictional claims in published maps and institutional affiliations. |
© 2022 by the authors. Licensee MDPI, Basel, Switzerland. This article is an open access article distributed under the terms and conditions of the Creative Commons Attribution (CC BY) license (https://creativecommons.org/licenses/by/4.0/).
Share and Cite
Lan, W.; Yao, C.; Luo, F.; Jin, Z.; Lu, S.; Li, J.; Wang, X.; Hu, X. Effects of Application of Pig Manure on the Accumulation of Heavy Metals in Rice. Plants 2022, 11, 207. https://doi.org/10.3390/plants11020207
Lan W, Yao C, Luo F, Jin Z, Lu S, Li J, Wang X, Hu X. Effects of Application of Pig Manure on the Accumulation of Heavy Metals in Rice. Plants. 2022; 11(2):207. https://doi.org/10.3390/plants11020207
Chicago/Turabian StyleLan, Wenchong, Chunxia Yao, Fan Luo, Zhi Jin, Siwen Lu, Jun Li, Xindong Wang, and Xuefeng Hu. 2022. "Effects of Application of Pig Manure on the Accumulation of Heavy Metals in Rice" Plants 11, no. 2: 207. https://doi.org/10.3390/plants11020207
APA StyleLan, W., Yao, C., Luo, F., Jin, Z., Lu, S., Li, J., Wang, X., & Hu, X. (2022). Effects of Application of Pig Manure on the Accumulation of Heavy Metals in Rice. Plants, 11(2), 207. https://doi.org/10.3390/plants11020207
