Striving for Stability in the Dough Mixing Quality of Spring Wheat under the Influence of Prolonged Heat and Drought
Abstract
1. Introduction
2. Results
2.1. Effect of Year and Groups on the Dough Mixing Characteristics
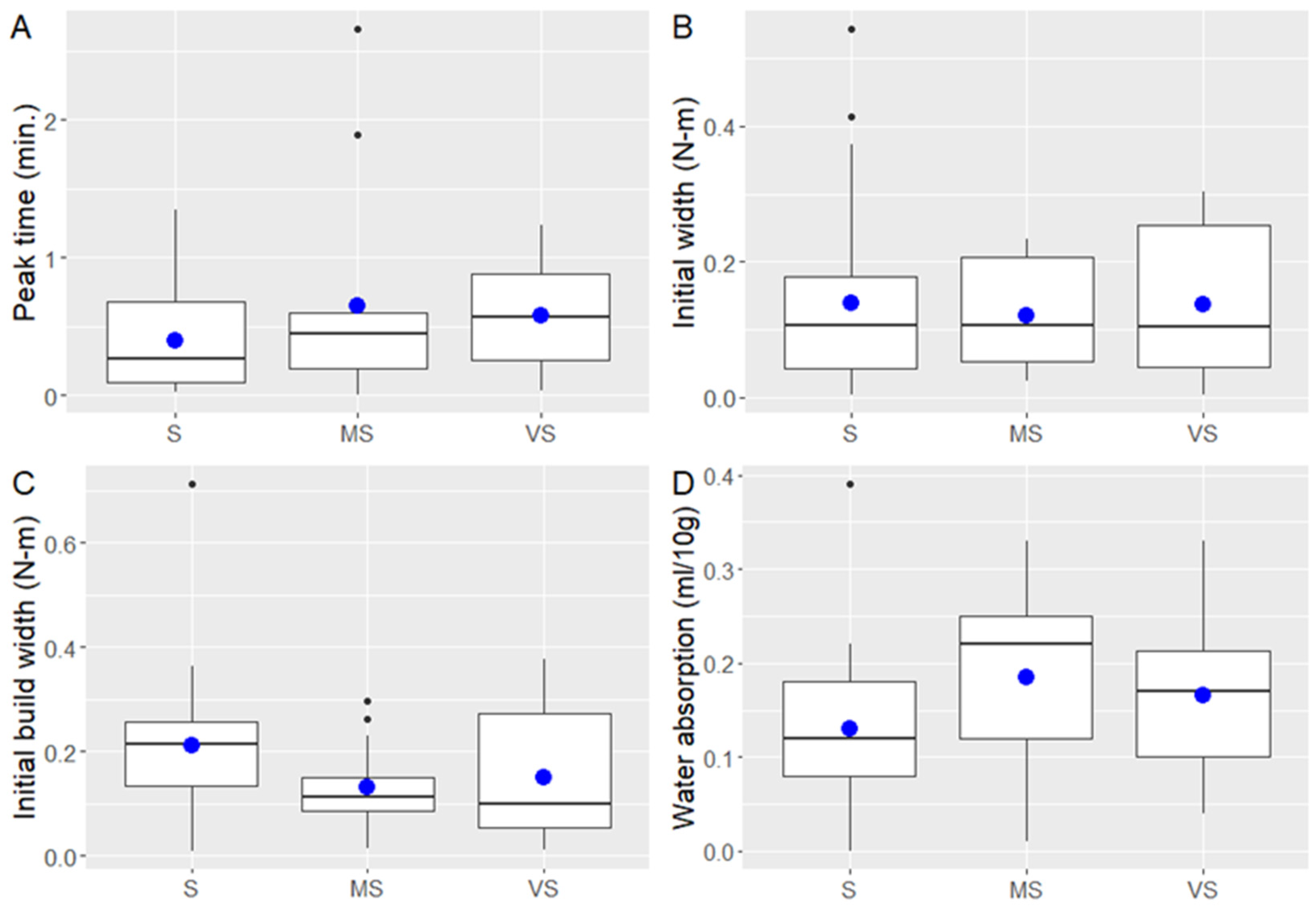
2.2. Variation in Dough Mixing Characteristics among the Groups
2.3. Relationships between the Mixograph Parameters and the Gluten Proteins
2.4. Variation of Monomeric and Polymerics Proteins in Dough under Diverse Growing Conditions
3. Discussion
3.1. Environment-Induced Changes in Dough Mixing Quality
3.2. Growing Conditions-Induced Variation between the Groups
3.3. Relation between the Mixing Parameters and Protein Composition
4. Materials and Methods
4.1. Plant Growing Environment
4.2. Flour Materials
4.3. Dough Mixing Using Mixograph
4.4. Size Exclusion High-Performance Liquid Chromatography of Doughs (SE-HPLC)
4.5. Statistical Analysis
5. Conclusions
Author Contributions
Funding
Institutional Review Board Statement
Informed Consent Statement
Data Availability Statement
Acknowledgments
Conflicts of Interest
References
- Rekowski, A.; Wimmer, M.A.; Tahmasebi, S.; Dier, M.; Kalmbach, S.; Hitzmann, B.; Zörb, C. Drought stress during anthesis alters grain protein composition and improves bread quality in field-grown Iranian and German wheat genotypes. Appl. Sci. 2021, 11, 9782. [Google Scholar] [CrossRef]
- Souza, E.J.; Martin, J.M.; Guttieri, M.J.; O’Brien, K.M.; Habernicht, D.K.; Lanning, S.P.; McLean, R.; Carlson, G.R.; Talbert, L.E. Influence of genotype, environment, and nitrogen management on spring wheat quality. Crop Sci. 2004, 44, 425–432. [Google Scholar] [CrossRef]
- Rakszegi, M.; Darkó, É.; Lovegrove, A.; Molnár, I.; Láng, L.; Bedő, Z.; Molnár-Láng, M.; Shewry, P. Drought stress affects the protein and dietary fiber content of wholemeal wheat flour in wheat/Aegilops addition lines. PLoS ONE 2019, 14, e0211892. [Google Scholar] [CrossRef]
- Lan, Y.; Chawade, A.; Kuktaite, R.; Johansson, E. Climate change impact on wheat performance—Effects on vigour, plant traits and yield from early and late drought stress in diverse lines. Int. J. Mol. Sci. 2022, 23, 3333. [Google Scholar] [CrossRef]
- Lama, S.; Vallenback, P.; Hall, S.A.; Kuzmenkova, M.; Kuktaite, R. Prolonged heat and drought versus cool climate on the Swedish spring wheat breeding lines: Impact on the gluten protein quality and grain microstructure. Food Energy Secur. 2022, 11, e376. [Google Scholar] [CrossRef]
- Jiang, D.; Yue, H.; Wollenweber, B.; Tan, W.; Mu, H.; Bo, Y.; Dai, T.; Jing, Q.; Cao, W. Effects of post-anthesis drought and waterlogging on accumulation of high-molecular-weight glutenin subunits and glutenin macropolymers content in wheat grain. J. Agron. Crop Sci. 2009, 195, 89–97. [Google Scholar] [CrossRef]
- Gao, X.; Tong, J.; Guo, L.; Yu, L.; Li, S.; Yang, B.; Wang, L.; Liu, Y.; Li, F.; Guo, J.; et al. Influence of gluten and starch granules interactions on dough mixing properties in wheat (Triticum aestivum L.). Food Hydrocoll. 2020, 106, 105885. [Google Scholar] [CrossRef]
- Cao, X.; Tong, J.; Ding, M.; Wang, K.; Wang, L.; Cheng, D.; Li, H.; Liu, A.; Liu, J.; Zhao, Z.; et al. Physicochemical properties of starch in relation to rheological properties of wheat dough (Triticum aestivum L.). Food Chem. 2019, 297, 125000. [Google Scholar] [CrossRef]
- Gupta, R.B.; Khan, K.; Macritchie, F. Biochemical basis of flour properties in bread wheats. I. Effects of variation in the quantity and size distribution of polymeric protein. J. Cereal Sci. 1993, 18, 23–41. [Google Scholar] [CrossRef]
- Johansson, E.; Nilsson, H.; Mazhar, H.; Skerritt, J.; MacRitchie, F.; Svensson, G. Seasonal effects on storage proteins and gluten strength in four Swedish wheat cultivars. J. Sci. Food Agric. 2002, 82, 1305–1311. [Google Scholar] [CrossRef]
- Ceresino, E.B.; Johansson, E.; Sato, H.H.; Plivelic, T.S.; Hall, S.A.; Kuktaite, R. Morphological and structural heterogeneity of solid gliadin food foams modified with transglutaminase and food grade dispersants. Food Hydrocoll. 2020, 108, 105995. [Google Scholar] [CrossRef]
- Kuktaite, R.; Larsson, H.; Johansson, E. Variation in protein composition of wheat flour and its relationship to dough mixing behaviour. J. Cereal Sci. 2004, 40, 31–39. [Google Scholar] [CrossRef]
- Malik, A.H.; Prieto-Linde, M.L.; Kuktaite, R.; Andersson, A.; Johansson, E. Individual and interactive effects of cultivar maturation time, nitrogen regime and temperature level on accumulation of wheat grain proteins. J. Sci. Food Agric. 2011, 91, 2192–2200. [Google Scholar] [CrossRef] [PubMed]
- Wikstrom, K.; Bohlin, L. Multivariate analysis as a tool to predict bread volume from mixogram parameters. Cereal Chem. 1996, 73, 686–690. [Google Scholar]
- Bordes, J.; Branlard, G.; Oury, F.X.; Charmet, G.; Balfourier, F. Agronomic characteristics, grain quality and flour rheology of 372 bread wheats in a worldwide core collection. J. Cereal Sci. 2008, 48, 569–579. [Google Scholar] [CrossRef]
- Caffe-Treml, M.; Glover, K.D.; Krishnan, P.G.; Hareland, G.A. Variability and relationships among mixolab, mixograph, and baking parameters based on multienvironment spring wheat trials. Cereal Chem. 2010, 87, 574–580. [Google Scholar] [CrossRef]
- Tozatti, P.; Güldiken, B.; Fleitas, M.C.; Chibbar, R.N.; Hucl, P.; Nickerson, M.T. The interrelationships between wheat quality, composition, and dough rheology for a range of Western Canadian wheat cultivars. Cereal Chem. 2020, 97, 1010–1025. [Google Scholar] [CrossRef]
- Ohm, J.B.; Chung, O.K. Gluten, pasting, and mixograph parameters of hard winter wheat flours in relation to breadmaking. Cereal Chem. 1999, 76, 606–613. [Google Scholar] [CrossRef]
- Bohlin, L. Method for Determining the Quality of Cereals. U.S. Patent No. 6,548,091 B2, 2003. [Google Scholar]
- Ohm, J.B.; Dykes, L.; Graybosch, R.A. Variation of protein molecular weight distribution parameters and their correlations with gluten and mixing characteristics for winter waxy wheat. Cereal Chem. 2019, 96, 302–312. [Google Scholar] [CrossRef]
- Kuktaite, R. Protein Quality in Wheat: Changes in Protein Polymer Composition during Grain Development and Dough Processing. PhD Thesis, Swedish University of Agricultural Sciences, Uppsala, Sweden, 2004. [Google Scholar]
- Flagella, Z.; Giuliani, M.; Giuzio, L.; Volpi, C.; Masci, S. Influence of water deficit on durum wheat storage protein composition and technological quality. Eur. J. Agron. 2010, 33, 197–207. [Google Scholar] [CrossRef]
- Zhang, X.; Cai, J.; Wollenweber, B.; Liu, F.; Dai, T.; Cao, W.; Jiang, D. Multiple heat and drought events affect grain yield and accumulations of high molecular weight glutenin subunits and glutenin macropolymers in wheat. J. Cereal Sci. 2013, 57, 134–140. [Google Scholar] [CrossRef]
- Blumenthal, C.S.; Batey, I.L.; Bekes, F.; Wrigley, C.W.; Barlow, E.W.R. Seasonal changes in wheat-grain quality associated with high temperatures during grain filling. Aust. J. Agric. Res. 1991, 42, 21–30. [Google Scholar] [CrossRef]
- Maphosa, L.; Langridge, P.; Taylor, H.; Emebiri, L.C.; Mather, D.E. Genetic control of grain protein, dough rheology traits and loaf traits in a bread wheat population grown in three environments. J. Cereal Sci. 2015, 64, 147–152. [Google Scholar] [CrossRef]
- Fleitas, M.C.; Mondal, S.; Gerard, G.S.; Hernández-Espinosa, N.; Singh, R.P.; Crossa, J.; Guzmán, C. Identification of CIMMYT spring bread wheat germplasm maintaining superior grain yield and quality under heat-stress. J. Cereal Sci. 2020, 93, 102981. [Google Scholar] [CrossRef]
- Sakr, N.; Rhazi, L.; Aussenac, T. Bread wheat quality under limiting environmental conditions: II—Rheological properties of Lebanese wheat genotypes. J. Saudi Soc. Agric. Sci. 2021, 20, 235–242. [Google Scholar] [CrossRef]
- Li, Y.; Wu, Y.; Hernandez-Espinosa, N.; Peña, R.J. The influence of drought and heat stress on the expression of end-use quality parameters of common wheat. J. Cereal Sci. 2013, 57, 73–78. [Google Scholar] [CrossRef]
- Guzmán, C.; Autrique, J.E.; Mondal, S.; Singh, R.P.; Govindan, V.; Morales-Dorantes, A.; Posadas-Romano, G.; Crossa, J.; Ammar, K.; Peña, R.J. Response to drought and heat stress on wheat quality, with special emphasis on bread-making quality, in durum wheat. Field Crops Res. 2016, 186, 157–165. [Google Scholar] [CrossRef]
- Wrigley, C.; Blumenthal, C.; Gras, P.; Barlow, E. Temperature variation during grain filling and changes in wheat-grain quality. Funct. Plant Biol. 1994, 21, 875–885. [Google Scholar] [CrossRef]
- Tahir, I.S.A. Genotypic and temperature effects on wheat grain yield and quality in a hot irrigated environment. Plant breeding 2006, 125, 323–330. [Google Scholar] [CrossRef]
- Yong, Z.; Zhonghu, H.; Ye, G.; Aimin, Z.; Van Ginkel, M. Effect of environment and genotype on bread-making quality of spring-sown spring wheat cultivars in China. Euphytica 2004, 139, 75–83. [Google Scholar] [CrossRef]
- Khatkar, B.S.; Bell, A.E.; Schofield, J.D. A comparative study of the inter-relationships between mixograph parameters and bread- making qualities of wheat flours and glutens. J. Sci. Food Agric. 1996, 72, 71–85. [Google Scholar] [CrossRef]
- Boyacioglu, M.; D’appolonia, B. Characterization and utilization of durum wheat for breadmaking. I. Comparison of chemical, rheological, and baking properties between bread wheat flours and durum wheat flours. Cereal Chem. 1994, 71, 21–27. [Google Scholar]
- Labuschagne, M.T.; Moloi, M.J. The influence of abiotic stress conditions on dough mixing characteristics of two hard red spring wheat cultivars. J. Cereal Sci. 2015, 63, 134–139. [Google Scholar] [CrossRef]
- Hussain, A.; Larsson, H.; Kuktaite, R.; Prieto-Linde, M.L.; Johansson, E. Towards the understanding of bread-making quality in organically grown wheat: Dough mixing behaviour, protein polymerisation and structural properties. J. Cereal Sci. 2012, 56, 659–666. [Google Scholar] [CrossRef]
- MacRitchie, F. Evaluation of contributions from wheat protein fractions to dough mixing and breadmaking. J. Cereal Sci. 1987, 6, 259–268. [Google Scholar] [CrossRef]
- Khatkar, B.S.; Fido, R.J.; Tatham, A.S.; Schofield, J.D. Functional properties of wheat gliadins. I. Effects on mixing characteristics and bread making quality. J. Cereal Sci. 2002, 35, 299–306. [Google Scholar] [CrossRef]
- Hou, G.G.; Otsubo, S.; Okusu, H.; Shen, L. Noodle Processing Technology. In Asian Noodles; John Wiley & Sons: Hoboken, NJ, USA, 2010; pp. 99–140. [Google Scholar]
- Liu, R.; Xing, Y.; Zhang, Y.; Zhang, B.; Jiang, X.; Wei, Y. Effect of mixing time on the structural characteristics of noodle dough under vacuum. Food Chem. 2015, 188, 328–336. [Google Scholar] [CrossRef] [PubMed]
- Balla, K.; Rakszegi, M.; Li, Z.; Bekes, F.; Bencze, S.; Veisz, O. Quality of winter wheat in relation to heat and drought shock after anthesis. Czech J. Food Sci. 2011, 29, 117–128. [Google Scholar] [CrossRef]
- Blumenthal, C.; Bekes, F.; Gras, P.; Barlow, E.; Wrigley, C. Identification of wheat genotypes tolerant to the effects of heat stress on grain quality. Cereal Chem. 1995, 72, 539–544. [Google Scholar]
- Daniel, C.; Triboi, E. Effects of temperature and nitrogen nutrition on the grain composition of winter wheat: Effects on gliadin content and composition. J. Cereal Sci. 2000, 32, 45–56. [Google Scholar] [CrossRef]
- Labuschagne, M.; Elago, O.; Koen, E. The influence of temperature extremes on some quality and starch characteristics in bread, biscuit and durum wheat. J. Cereal Sci. 2009, 49, 184–189. [Google Scholar] [CrossRef]
- Martinant, J.P.; Nicolas, Y.; Bouguennec, A.; Popineau, Y.; Saulnier, L.; Branlard, G. Relationships between mixograph parameters and indices of wheat grain quality. J. Cereal Sci. 1998, 27, 179–189. [Google Scholar] [CrossRef]
- Neacşu, A.; Stanciu, G.; Săulescu, N. Most suitable mixing parameters for use in breeding breadwheat for processing quality. Cereal Res. Commun. 2009, 37, 83–92. [Google Scholar] [CrossRef]
- Phakela, K.; van Biljon, A.; Wentzel, B.; Guzman, C.; Labuschagne, M. Gluten protein response to heat and drought stress in durum wheat as measured by reverse phase-high performance liquid chromatography. J. Cereal Sci. 2021, 100, 103267. [Google Scholar] [CrossRef]
- Jacobs, P.J.; Bogaerts, S.; Hemdane, S.; Delcour, J.A.; Courtin, C.M. Impact of wheat bran hydration properties as affected by toasting and degree of milling on optimal dough development in bread making. J. Agric. Food Chem. 2016, 64, 3636–3644. [Google Scholar] [CrossRef]
- Ceresino, E.B.; Kuktaite, R.; Sato, H.H.; Hedenqvist, M.S.; Johansson, E. Impact of gluten separation process and transglutaminase source on gluten based dough properties. Food Hydrocoll. 2019, 87, 661–669. [Google Scholar] [CrossRef]
- Sedláček, T.; Horčička, P. Prediction of wheat baking quality using reomixer analysis of whole-grain meal. Cereal Res. Commun. 2014, 42, 274–281. [Google Scholar] [CrossRef]
- Kuktaite, R.; Repo-Carrasco-Valencia, R.; de Mendoza, C.C.; Plivelic, T.S.; Hall, S.; Johansson, E. Innovatively processed quinoa (Chenopodium quinoa W illd.) food: Chemistry, structure and end-use characteristics. J. Sci. Food Agric. 2021, 102, 5065–5076. [Google Scholar] [CrossRef]
- Islas-Rubio, A.R.; Singh, H.; Chittrakorn, S.; MacRitchie, F. Stability of wheat proteins in solution. J. Cereal Sci. 2006, 43, 169–174. [Google Scholar] [CrossRef]







| Group | Year | Group × Genotype | Group × Year | Group × Year × Genotype | Residuals | |
|---|---|---|---|---|---|---|
| Df | 2 | 1 | 53 | 2 | 53 | 224 |
| Water absorption | ||||||
| Initial slope | 0.37 * | 4.41 *** | 39.92 *** | 2.23 *** | 18.31 *** | 9.75 |
| Initial width | 0.05 ** | 0.58 *** | 4.84 *** | 0.23 *** | 1.79 *** | 1.01 |
| Initial build-up | 0.45 * | 3.52 *** | 49.22 *** | 1.93 *** | 14.24 *** | 16.02 |
| Time 1–2 | 6.30 *** | 0.08 | 53.71 *** | 1.32 *** | 8.99 *** | 4.85 |
| Initial build width | 0.07 | 0.37 *** | 19.51 *** | 0.45 *** | 3.14 *** | 4.65 |
| Dough development | ||||||
| Buildup | 0.69 | 0.05 | 27.88 *** | 1.56 ** | 13.70 ** | 31.57 |
| Peak time | 25.30 *** | 0.32 | 215.09 *** | 5.23 *** | 35.94 *** | 19.37 |
| Peak height | 1.07 * | 5.77 *** | 70.57 *** | 2.78 *** | 26.64 *** | 28.09 |
| Peak width | 1.43 *** | 0.35 *** | 24.50 *** | 0.05 | 4.24 *** | 5 |
| Build width | 1.10 *** | 0.60 *** | 10.31 *** | 0.75 *** | 6.00 *** | 9.63 |
| Dough breakdown | ||||||
| Breakdown | 0.45 | 0.07 | 7.33 | 0.05 | 5.05 | 260.240 |
| IHTP | 500.4 *** | 13.5 * | 4830.6 *** | 164.8 *** | 1017.8 *** | 597.0 |
| Water absorption | 0.09 | 0.32*** | - | 0.12 | - | 2.41 |
| Group S-C | Group S-HD | Group MS-C | Group MS-HD | Group VS-C | Group VS-HD | |
|---|---|---|---|---|---|---|
| Water absorption | ||||||
| Initial slope | 4.53 ± 0.07 ab | 4.23 ± 0.07 c | 4.33 ± 0.10 abc | 4.40 ± 0.10 abc | 4.64 ± 0.11 a | 4.27 ± 0.11 cb |
| Initial width | 1.23 ± 0.02 ab | 1.12 ± 0.02 cd | 1.14 ± 0.04 abcd | 1.15 ± 0.04 abcd | 1.24 ± 0.04 ac | 1.12 ± 0.04 bd |
| Initial buildup | 3.47 ± 0.07 a | 3.13 ± 0.08 b | 3.41 ± 0.12 ab | 3.30 ± 0.12 ab | 3.23 ± 0.13 ab | 3.26 ± 0.13 ab |
| Time 1–2 | 1.65 ± 0.08 ab | 1.57 ± 0.08 b | 1.85 ± 0.12 b | 2.05 ± 0.12 a | 1.67 ± 0.13 ab | 1.81 ± 0.13 ab |
| Initial build width | 1.97 ± 0.05 a | 1.84 ± 0.05 b | 1.92 ± 0.07 ab | 1.89 ± 0.07 ab | 1.84 ± 0.07 ab | 1.90 ± 0.07 ab |
| Dough development | ||||||
| Buildup | 1.46 ± 0.06 a | 1.50 ± 0.07 a | 1.57 ± 0.10 a | 1.37 ± 0.09 a | 1.48 ± 0.10 a | 1.69 ± 0.10 a |
| Peak time | 3.80 ± 0.16 ab | 3.65 ± 0.15 b | 4.20 ± 0.23 b | 4.60 ± 0.25 a | 3.85 ± 0.24 ab | 4.12 ± 0.24 ab |
| Peak height | 5.50 ± 0.09 a | 5.10 ± 0.10 b | 5.54 ± 0.14 ab | 5.31 ± 0.15 ab | 5.38 ± 0.15 ab | 5.44 ± 0.16 ab |
| Peak width | 3.37 ± 0.05 a | 3.30 ± 0.05 a | 3.22 ± 0.08 a | 3.13 ± 0.08 a | 3.32 ± 0.08 a | 3.30 ± 0.08 a |
| Width build | 0.17 ± 0.04 b | 0.33 ± 0.04 a | 0.15 ± 0.06 ab | 0.09 ± 0.06 b | 0.24 ± 0.06 ab | 0.28 ± 0.06 ab |
| Breakdown phase | ||||||
| Breakdown | 0.70 ± 0.09 a | 0.65 ± 0.09 a | 0.59 ± 0.15 a | 0.59 ± 0.15 a | 0.69 ± 0.15 a | 0.69 ± 0.15 a |
| IHTP | 13.8 ± 0.72 a | 12.1 ± 0.72 b | 15.2 ± 1.12 ab | 16.7 ± 1.12 a | 13.6 ± 1.16 ab | 14.4 ± 1.16 ab |
| Water absorption | 6.60 ± 0.03 a | 6.49 ± 0.03 bc | 6.63 ± 0.04 ab | 6.45 ± 0.04 c | 6.62 ± 0.05 abc | 6.60 ± 0.04 abc |
Publisher’s Note: MDPI stays neutral with regard to jurisdictional claims in published maps and institutional affiliations. |
© 2022 by the authors. Licensee MDPI, Basel, Switzerland. This article is an open access article distributed under the terms and conditions of the Creative Commons Attribution (CC BY) license (https://creativecommons.org/licenses/by/4.0/).
Share and Cite
Lama, S.; Kuzmenkova, M.; Vallenback, P.; Kuktaite, R. Striving for Stability in the Dough Mixing Quality of Spring Wheat under the Influence of Prolonged Heat and Drought. Plants 2022, 11, 2662. https://doi.org/10.3390/plants11192662
Lama S, Kuzmenkova M, Vallenback P, Kuktaite R. Striving for Stability in the Dough Mixing Quality of Spring Wheat under the Influence of Prolonged Heat and Drought. Plants. 2022; 11(19):2662. https://doi.org/10.3390/plants11192662
Chicago/Turabian StyleLama, Sbatie, Marina Kuzmenkova, Pernilla Vallenback, and Ramune Kuktaite. 2022. "Striving for Stability in the Dough Mixing Quality of Spring Wheat under the Influence of Prolonged Heat and Drought" Plants 11, no. 19: 2662. https://doi.org/10.3390/plants11192662
APA StyleLama, S., Kuzmenkova, M., Vallenback, P., & Kuktaite, R. (2022). Striving for Stability in the Dough Mixing Quality of Spring Wheat under the Influence of Prolonged Heat and Drought. Plants, 11(19), 2662. https://doi.org/10.3390/plants11192662

