Transcriptome Analysis of Early Senescence in the Post-Anthesis Flag Leaf of Wheat (Triticum aestivum L.)
Abstract
1. Introduction
2. Materials and Methods
2.1. Plant Material
2.2. RNA Extraction and cDNA Library Preparation
2.3. Data Preprocessing and Read Mapping
2.4. Identification of DEGs
2.5. Cluster Analysis of DEGs
2.6. GO and KEGG Enrichment Analysis
2.7. Identification of Senescence-Associated Genes
2.8. Quantitative Real-Time PCR
2.9. Measurement of Chlorophyll and Soluble Protein Concentrations in Leaf Tissues
3. Results
3.1. Statistics of Sequencing and Mapping Data
3.2. DEG Identification in Different Periods
3.3. Functional Annotation of DEGs
3.4. KEGG Enrichment Analysis of DEGs
3.5. Identification of SAGs
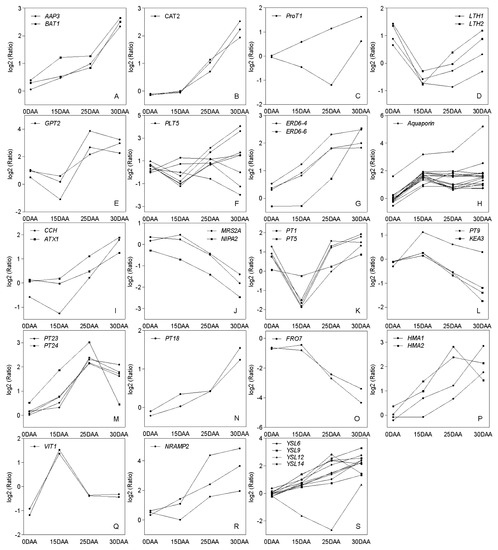
3.6. Transporter-Encoded DEGs
3.7. Transcription Factors
3.8. Phytohormone-Related DEGs
3.9. Verification Analysis of qRT-PCR to RNA-seq
4. Discussion
5. Conclusions
Supplementary Materials
Author Contributions
Funding
Institutional Review Board Statement
Informed Consent Statement
Data Availability Statement
Acknowledgments
Conflicts of Interest
References
- Alizadeh, O.; Farsinejad, K.; Korani, S.; Azarpanah, A. A study on source-sink relationship, photosynthetic ratio of dif-ferent organs on yield and yield components in bread wheat (Triticum aestivum L.). Int. J. Agri. Crop Sci. 2013, 5, 69–79. [Google Scholar]
- Gebbing, T.; Schnyder, H.; Kuhbauch, W. The utilization of pre-anthesis reserves in grain filling of wheat. Assessment by steady-state13CO2/12CO2labelling. Plant, Cell Environ. 1999, 22, 851–858. [Google Scholar] [CrossRef]
- Austin, R.B.; Edrich, J.A.; Ford, M.A.; Blackwell, R.D. The fate of the dry matter, carbohydrates and C lost from the leaves and stems of wheat during grain filling. Ann. Bot. 1975, 41, 1309–1321. [Google Scholar] [CrossRef]
- Sharma, S.N.; Sain, R.S.; Sharma, R.K. The genetic control of flag leaf length in normal and late sown durum wheat. J. Agric. Sci. 2003, 141, 323–331. [Google Scholar] [CrossRef]
- Thorne, G.N. Physiology of grain yield of wheat and barley. Rothamsted. Exp. Stn. Rep. 1973, 2, 5–25. [Google Scholar]
- Hörtensteiner, S.; Feller, U. Nitrogen metabolism and remobilization during senescence. J. Exp. Bot. 2002, 53, 627–637. [Google Scholar] [CrossRef]
- Feller, U.; Anders, I.; Mae, T. Rubiscolytics: Fate of Rubisco after its enzymatic function in a cell is terminated. J. Exp. Bot. 2007, 59, 1615–1624. [Google Scholar] [CrossRef]
- Garnett, T.P.; Graham, R.D. Distribution and remobilization of iron and copper in wheat. Ann. Bot. 2005, 95, 817–826. [Google Scholar] [CrossRef]
- Peoples, M.B.; Dalling, M.J. The interplay between proteolysis and amino acid metabolism during senescence and ni-trogen reallocation. In Senescence and Aging in Plants; Noodén, L.D., Leopold, A.C., Eds.; Academic Press: San Diego, CA, USA, 1988; pp. 181–217. [Google Scholar]
- Gregersen, P.; Holm, P.B.; Krupinska, K. Leaf senescence and nutrient remobilisation in barley and wheat. Plant Biol. 2008, 10, 37–49. [Google Scholar] [CrossRef]
- Van Sanford, D.A.; Mac Kown, C.T. Cultivar differences in nitrogen remobilization during grain fill in soft red winter wheat. Crop Sci. 1987, 27, 295–300. [Google Scholar] [CrossRef]
- Ta, C.T.; Weiland, R.T. Nutrogen parttioning in maize during ear dveloment. Crop Sci. 1992, 32, 433–451. [Google Scholar] [CrossRef]
- Uauy, C.; Distelfeld, A.; Fahima, T.; Blechl, A.; Dubcovsky, J. A NAC Gene Regulating Senescence Improves Grain Protein, Zinc, and Iron Content in Wheat. Science 2006, 314, 1298–1301. [Google Scholar] [CrossRef] [PubMed]
- Borrill, P.; Harrington, S.A.; Simmonds, J.; Uauy, C. Identification of Transcription Factors Regulating Senescence in Wheat through Gene Regulatory Network Modelling. Plant Physiol. 2019, 180, 1740–1755. [Google Scholar] [CrossRef] [PubMed]
- Camargo Rodriguez, A.V. Integrative Modelling of Gene Expression and Digital Phenotypes to Describe Senescence in Wheat. Genes 2021, 12, 909. [Google Scholar] [CrossRef]
- Effah, Z.; Li, L.; Xie, J.; Karikari, B.; Liu, C.; Xu, A.; Zeng, M. Transcriptome profiling reveals major structural genes, tran-scription factors and biosynthetic pathways involved in leaf senescence and nitrogen remobilization in rainfed spring wheat under different nitrogen fertilization rates. Genomics 2022, 114, 110271. [Google Scholar] [CrossRef]
- Olmos, S.; Distelfeld, A.; Chicaiza, O.; Schlatter, A.R.; Fahima, T.; Echenique, V.; Dubcovsky, J. Precise mapping of a locus affecting grain protein content in durum wheat. Theor. Appl. Genet. 2003, 107, 1243–1251. [Google Scholar] [CrossRef]
- Chapman, E.A.; Orford, S.; Lage, J.; Griffiths, S. Delaying or delivering: Identification of novel NAM-1 alleles that delay senescence to extend wheat grain fill duration. J. Exp. Bot. 2021, 72, 7710–7728. [Google Scholar] [CrossRef]
- Yang, Z.; Wang, C.; Qiu, K.; Chen, H.; Li, Z.; Li, X.; Song, J.; Wang, X.; Gao, J.; Kuai, B.; et al. The transcription factor ZmNAC126 accelerates leaf senescence downstream of the ethylene signalling pathway in maize. Plant Cell Environ. 2020, 43, 2287–2300. [Google Scholar] [CrossRef]
- Huang, Q.; Wang, Y.; Li, B.; Chang, J.; Chen, M.; Li, K.; Yang, G.; He, G. TaNAC29, a NAC transcription factor from wheat, enhances salt and drought tolerance in transgenic Arabidopsis. BMC Plant Biol. 2015, 15, 1–15. [Google Scholar] [CrossRef]
- Zhang, Z.; Liu, C.; Guo, Y. Wheat transcription factor TaSNAC11-4B positively regulates leaf senescence through pro-moting ROS production in transgenic arabidopsis. Int. J. Mol. Sci. 2020, 21, 7672. [Google Scholar] [CrossRef]
- Qiu, K.; Li, Z.; Yang, Z.; Chen, J.; Wu, S.; Zhu, X.; Gao, S.; Gao, J.; Ren, G.; Kuai, B.; et al. EIN3 and ORE1 Accelerate Degreening during Ethylene-Mediated Leaf Senescence by Directly Activating Chlorophyll Catabolic Genes in Arabidopsis. PLoS Genet. 2015, 11, e1005399. [Google Scholar] [CrossRef] [PubMed]
- Qiao, H.; Liu, Y.; Cheng, L.; Gu, X.; Yin, P.; Li, K.; Zhou, S.; Wang, G.; Zhou, C. TaWRKY13-A Serves as a Mediator of Jasmonic Acid-Related Leaf Senescence by Modulating Jasmonic Acid Biosynthesis. Front. Plant Sci. 2021, 12, 717233. [Google Scholar] [CrossRef]
- Zhao, L.; Zhang, W.; Song, Q.; Xuan, Y.; Li, K.; Cheng, L.; Qiao, H.; Wang, G.; Zhou, C. A WRKY transcription factor, TaWRKY40-D, promotes leaf senescence associated with jasmonic acid and abscisic acid pathways in wheat. Plant Biol. 2020, 22, 1072–1085. [Google Scholar] [CrossRef]
- Zhao, M.-M.; Zhang, X.-W.; Liu, Y.-W.; Li, K.; Tan, Q.; Zhou, S.; Wang, G.; Zhou, C.-J. A WRKY transcription factor, TaWRKY42-B, facilitates initiation of leaf senescence by promoting jasmonic acid biosynthesis. BMC Plant Biol. 2020, 20, 1–22. [Google Scholar] [CrossRef]
- Kučerová, Z.; Rác, M.; Mikulík, J.; Plíhal, O.; Pospíšil, P.; Bryksová, M.; Sedlářová, M.; Doležal, K.; Špundová, M. The An-ti-Senescence Activity of Cytokinin Arabinosides in Wheat and Arabidopsis Is Negatively Correlated with Ethylene Pro-duction. Int. J. Mol. Sci. 2020, 21, 8109. [Google Scholar] [CrossRef] [PubMed]
- Gregersen, P.L.; Holm, P.B. Transcriptome analysis of senescence in the flag leaf of wheat (Triticum aestivum L.). Plant Biotechnol. J. 2006, 5, 192–206. [Google Scholar] [CrossRef] [PubMed]
- Poole, L.B.; Klomsiri, C.; Knaggs, S.A.; Furdui, C.M.; Nelson, K.J.; Thomas, M.J.; Fetrow, J.S.; Daniel, L.W.; King, S.B. Fluorescent and Affinity-Based Tools To Detect Cysteine Sulfenic Acid Formation in Proteins. Bioconjugate Chem. 2007, 18, 2004–2017. [Google Scholar] [CrossRef] [PubMed]
- Mitra, R.; Bhatia, C.R. Repeated and non-repeated nucleotide sequences in diploid and polyploid wheat species. Heredity 1973, 31, 251–262. [Google Scholar] [CrossRef][Green Version]
- Borrill, P.; Fahy, B.; Smith, A.M.; Uauy, C. Wheat Grain Filling Is Limited by Grain Filling Capacity rather than the Duration of Flag Leaf Photosynthesis: A Case Study Using NAM RNAi Plants. PLoS ONE 2015, 10, e0134947. [Google Scholar] [CrossRef]
- Trapnell, C.; Pachter, L.; Salzberg, S.L. TopHat: Discovering splice junctions with RNA-Seq. Bioinformatics 2009, 25, 1105–1111. [Google Scholar] [CrossRef]
- Roberts, A.; Pimentel, H.; Trapnell, C.; Pachter, L. Identification of novel transcripts in annotated genomes using RNA-Seq. Bioinformatics 2011, 27, 2325–2329. [Google Scholar] [CrossRef] [PubMed]
- Anders, S.; Pyl, P.T.; Huber, W. HTSeq—A Python framework to work with high-throughput sequencing data. Bioinformatics 2015, 31, 166–169. [Google Scholar] [CrossRef] [PubMed]
- Wang, L.; Feng, Z.; Wang, X.; Wang, X.; Zhang, X. DEGseq: An R package for identifying differentially expressed genes from RNA-seq data. Bioinformatics 2009, 26, 136–138. [Google Scholar] [CrossRef] [PubMed]
- Robinson, M.D.; Oshlack, A. A scaling normalization method for differential expression analysis of RNA-seq data. Genome Biol. 2010, 11, R25. [Google Scholar] [CrossRef]
- Benjamini, Y.; Hochberg, Y. Controlling the False Discovery Rate: A Practical and Powerful Approach to Multiple Testing. J. R. Stat. Soc. Ser. B 1995, 57, 289–300. [Google Scholar] [CrossRef]
- Yin, Y.; Mao, X.; Yang, J.; Chen, X.; Mao, F.; Xu, Y. dbCAN: A web resource for automated carbohydrate-active enzyme annotation. Nucleic Acids Res. 2012, 40, W445–W451. [Google Scholar] [CrossRef]
- Xie, C.; Mao, X.; Huang, J.; Ding, Y.; Wu, J.; Dong, S.; Kong, L.; Gao, G.; Li, C.-Y.; Wei, L. KOBAS 2.0: A web server for annotation and identification of enriched pathways and diseases. Nucleic Acids Res. 2011, 39 (Suppl. S2), W316–W322. [Google Scholar] [CrossRef]
- Bradford, M.M. A rapid and sensitive method for the quantitation of microgram quantities of protein utilizing the principle of protein-dye binding. Anal. Biochem. 1976, 72, 248–254. [Google Scholar] [CrossRef]
- Brocklehurst, P.A. Factors controlling grain weight in wheat. Nature 1977, 266, 348–349. [Google Scholar] [CrossRef]
- Shewry, P.R.; Underwood, C.; Wan, Y.; Lovegrove, A.; Bhandari, D.; Toole, G.; Mills, E.C.; Denyer, K.; Mitchell, R. Storage product synthesis and accumulation in developing grains of wheat. J. Cereal Sci. 2009, 50, 106–112. [Google Scholar] [CrossRef]
- Zhou, B.; Serret, M.D.; Pie, J.B.; Shah, S.S.; Li, Z. Relative Contribution of Nitrogen Absorption, Remobilization, and Partitioning to the Ear During Grain Filling in Chinese Winter Wheat. Front. Plant Sci. 2018, 9, 1351. [Google Scholar] [CrossRef] [PubMed]
- Camp, P.J.; Huber, S.C.; Burke, J.J.; Moreland, D.E. Biochemical Changes that Occur during Senescence of Wheat Leaves. I. Basis for the reduction of photosynthesis. Plant Physiol. 1982, 70, 1641–1646. [Google Scholar] [CrossRef] [PubMed]
- Patterson, T.G.; Moss, D.N. Senescence in field-grown wheat. Crop Sci. 1978, 19, 635–640. [Google Scholar] [CrossRef]
- Grover, A.; Mohanty, P. Leaf senescence-induced alterations in structure and function of higher plant chloroplasts. In Photosynthesis: Photoreactions to Plant Productivity; Abrol, Y.P., Mohanty, P., Govindjee, Eds.; Kluwer Academic Publishers: Dordrecht, The Netherland; Boston, MA, USA; London, UK; pp. 225–255.
- Grover, A.; Sabat, S.C.; Mohanty, P. Effect of Temperature on Photosynthetic Activities of Senescing Detached Wheat Leaves. Plant Cell Physiol. 1986, 27, 117–126. [Google Scholar] [CrossRef]
- Mattila, H.; Sotoudehnia, P.; Kuuslampi, T.; Stracke, R.; Mishra, K.B.; Tyystjärvi, E. Singlet oxygen, flavonols and photoinhibition in green and senescing silver birch leaves. Trees 2021, 35, 1267–1282. [Google Scholar] [CrossRef]
- Hudson, G.S.; Evans, J.R.; von-Caemmerer, S.; Arvidsson, Y.B.C.; Andrews, T.J. Reduction of ribulose-1, 5-bisphosphate car-boxylase/oxygenase content by antisense RNA reduces photosynthesis in transgenic tobacco plants. Plant Physiol. 1992, 98, 294–302. [Google Scholar] [CrossRef]
- Wittenbach, V.A.; Lin, W.; Hebert, R.R. Vacuolar Localization of Proteases and Degradation of Chloroplasts in Mesophyll Protoplasts from Senescing Primary Wheat Leaves. Plant Physiol. 1982, 69, 98–102. [Google Scholar] [CrossRef]
- Mae, T.; Kai, N.; Makino, A.; Ohira, K. Relation between Ribulose Bisphosphate Carboxylase Content and Chloroplast Number in Naturally Senescing Primary Leaves of Wheat. Plant Cell Physiol. 1984, 25, 333–336. [Google Scholar] [CrossRef]
- Crafts-Brandner, S.J.; Salvucci, M.E.; Egli, D.B. Changes in ribulosebisphosphate carboxylase/oxygenase and ribulose 5-phosphate kinase abundances and photosynthetic capacity during leaf senescence. Photosynth. Res. 1990, 23, 223–230. [Google Scholar] [CrossRef]
- Lu, C.; Lu, Q.; Zhang, J.; Zhang, Q.; Kuang, T. Xanthophyll cycle, light energy dissipation and photosystem II down-regulation in senescent leaves of wheat plants grown in the field. Funct. Plant Biol. 2001, 28, 1023–1030. [Google Scholar] [CrossRef]
- Sofield, I.; Evans, L.; Cook, M.; Wardlaw, I. Factors Influencing the Rate and Duration of Grain Filling in Wheat. Funct. Plant Biol. 1977, 4, 785–797. [Google Scholar] [CrossRef]
- Fischer, W.N.; Loo, D.D.; Koch, W.; Ludewig, U.; Boorer, K.J.; Tegeder, M.; Rentsch, D.; Wright, E.M.; Frommer, W.B. Low and high affnity amino acid H+-cotransporters for cellular import of neutral and charged amino acids. Plant J. 2002, 29, 717–731. [Google Scholar] [CrossRef] [PubMed]
- Dündar, E.; Bush, D.R. BAT1, a bidirectional amino acid transporter in Arabidopsis. Planta 2009, 229, 1047–1056. [Google Scholar] [CrossRef]
- Tegeder, M.; Ward, J.M. Molecular Evolution of Plant AAP and LHT Amino Acid Transporters. Front. Plant Sci. 2012, 3, 21. [Google Scholar] [CrossRef]
- Horlitz, M.; Klaff, P. Gene-specific trans-Regulatory Functions of Magnesium for Chloroplast mRNA Stability in Higher Plants. J. Biol. Chem. 2000, 275, 35638–35645. [Google Scholar] [CrossRef] [PubMed]
- Seigneurin-Berny, D.; Gravot, A.; Auroy, P.; Mazard, C.; Kraut, A.; Finazzi, G.; Grunwald, D.; Rappaport, F.; Vavasseur, A.; Joyard, J.; et al. HMA1, a New Cu-ATPase of the Chloro plast Envelope, Is Essential for Growth under Adverse Light Conditions. J. Biol. Chem. 2006, 281, 2882–2892. [Google Scholar] [CrossRef]
- Zhang, Y.; Xu, Y.-H.; Yi, H.-Y.; Gong, J.-M. Vacuolar membrane transporters OsVIT1 and OsVIT2 modulate iron translocation between flag leaves and seeds in rice. Plant J. 2012, 72, 400–410. [Google Scholar] [CrossRef]
- Pearce, S.; Tabbita, F.; Cantu, D.; Buffalo, V.; Avni, R.; Vazquez-Gross, H.; Zhao, R.; Conley, C.J.; Distelfeld, A.; Dubcovksy, J. Regulation of Zn and Fe transporters by the GPC1gene during early wheat monocarpic senescence. BMC Plant Biol. 2014, 14, 1–23. [Google Scholar] [CrossRef]
- Li, S.; Gao, J.; Yao, L.; Ren, G.; Zhu, X.; Gao, S.; Qiu, K.; Zhou, X.; Kuai, B. The role of ANAC072 in the regulation of chlo-rophyll degradation during age- and dark-induced leaf senescence. Plant Cell Rep. 2016, 35, 1729–1741. [Google Scholar] [CrossRef]
- Christiansen, M.W.; Gregersen, P.L. Members of the barley NAC transcription factor gene family show differential co-regulation with senescence-associated genes during senescence of flag leaves. J. Exp. Bot. 2014, 65, 4009–4022. [Google Scholar] [CrossRef]
- Feng, H.; Duan, X.; Zhang, Q.; Li, X.; Wang, B.; Huang, L.; Wang, X.; Kang, Z. The target gene of tae-miR164, a novel NAC transcription factor from the NAM subfamily, negatively regulates resistance of wheat to stripe rust. Mol. Plant Pathol. 2014, 15, 284–296. [Google Scholar] [CrossRef] [PubMed]
- Xia, N.; Zhang, G.; Liu, X.Y.; Deng, L.; Cai, G.L.; Zhang, Y.; Wang, X.J.; Zhao, J.; Huang, L.L.; Kang, Z.S. TaNAC8, a novel NAC transcription factor gene in wheat, responds to stripe rust pathogen infection and abiotic stresses. Physiol. Mol. Plant Pathol. 2010, 74, 394–402. [Google Scholar] [CrossRef]
- Tang, Y.; Liu, M.; Gao, S.; Zhang, Z.; Zhao, X.; Zhao, C.; Zhang, F.; Chen, X. Molecular characterization of novel TaNAC genes in wheat and overexpression of TaNAC2a confers drought tolerance in tobacco. Physiol. Plant. 2011, 144, 210–224. [Google Scholar] [CrossRef]
- Xu, Z.; Gongbuzhaxi; Wang, C.; Xue, F.; Zhang, H.; Ji, W. Wheat NAC transcription factor TaNAC29 is involved in response to salt stress. Plant Physiol. Biochem. 2015, 96, 356–363. [Google Scholar] [CrossRef] [PubMed]
- Lu, J.; Sun, L.; Jin, X.; Islam, A.; Guo, F.; Tang, X.; Zhao, K.; Hao, H.; Li, N.; Zhang, W.; et al. Analysis of Physiological and Transcriptomic Differences between a Premature Senescence Mutant (GSm) and Its Wild-Type in Common Wheat (Triticum aestivum L.). Biology 2022, 11, 904. [Google Scholar] [CrossRef]
- Zheng, Z.; Qamar, S.A.; Chen, Z.; Mengiste, T. Arabidopsis WRKY33 transcription factor is required for resistance to ne-crotrophic fungal pathogens. Plant J. 2006, 48, 592–605. [Google Scholar] [CrossRef]
- Castillon, A.; Shen, H.; Huq, E. Phytochrome Interacting Factors: Central players in phytochrome-mediated light signaling networks. Trends Plant Sci. 2007, 12, 514–521. [Google Scholar] [CrossRef]
- Song, Y.; Yang, C.; Gao, S.; Zhang, W.; Li, L.; Kuai, B. Age-Triggered and Dark-Induced Leaf Senescence Require the bHLH Transcription Factors PIF3, 4, and 5. Mol. Plant 2014, 7, 1776–1787. [Google Scholar] [CrossRef]
- Van der Graaff, E.; Schwacke, R.; Schneider, A.; Desimone, M.; Flügge, U.I.; Kunze, R. Transcription analysis of Arabidopsis membrane transporters and hormone pathways during developmental and induced leaf senescence. Plant Physiol. 2006, 141, 776–792. [Google Scholar] [CrossRef]
- Criado, M.V.; Caputo, C.; Roberts, I.N.; Castro, M.A.; Barneix, A.J. Cytokinin-induced changes of nitrogen remobilization and chloroplast ultrastructure in wheat (Triticum aestivum L.). J Plant Physiol. 2009, 166, 1775–1785. [Google Scholar] [CrossRef]
- Lin, M.; Pang, C.; Fan, S.; Song, M.; Wei, H.; Yu, S. Global analysis of the Gossypium hirsutum L. Transcriptome during leaf senescence by RNA-Seq. BMC Plant Biol. 2015, 15, 43. [Google Scholar] [CrossRef] [PubMed]





| Sample Name | 0DAA | 15DAA | 25DAA | 30DAA |
|---|---|---|---|---|
| Raw reads | 66,015,110 | 64,686,904 | 65,524,154 | 73,133,852 |
| Clean reads | 64,279,134 | 62,887,574 | 63,658,066 | 71,300,896 |
| Q30 (%) | 92.23 | 92.15 | 92.2 | 92.44 |
| Total mapped | 47,615,252 (74.08%) | 46,028,993 (73.19%) | 46,574,821 (73.16%) | 49,556,485 (69.50%) |
| Uniquely mapped | 42,096,708 (65.49%) | 40,727,648 (64.76%) | 41,740,379 (65.57%) | 44,467,404 (62.37%) |
| Exon mapped (%) | 90.1 | 89.9 | 89.7 | 88.8 |
Publisher’s Note: MDPI stays neutral with regard to jurisdictional claims in published maps and institutional affiliations. |
© 2022 by the authors. Licensee MDPI, Basel, Switzerland. This article is an open access article distributed under the terms and conditions of the Creative Commons Attribution (CC BY) license (https://creativecommons.org/licenses/by/4.0/).
Share and Cite
Lei, L.; Wu, D.; Cui, C.; Gao, X.; Yao, Y.; Dong, J.; Xu, L.; Yang, M. Transcriptome Analysis of Early Senescence in the Post-Anthesis Flag Leaf of Wheat (Triticum aestivum L.). Plants 2022, 11, 2593. https://doi.org/10.3390/plants11192593
Lei L, Wu D, Cui C, Gao X, Yao Y, Dong J, Xu L, Yang M. Transcriptome Analysis of Early Senescence in the Post-Anthesis Flag Leaf of Wheat (Triticum aestivum L.). Plants. 2022; 11(19):2593. https://doi.org/10.3390/plants11192593
Chicago/Turabian StyleLei, Ling, Dan Wu, Chao Cui, Xiang Gao, Yanjie Yao, Jian Dong, Liangsheng Xu, and Mingming Yang. 2022. "Transcriptome Analysis of Early Senescence in the Post-Anthesis Flag Leaf of Wheat (Triticum aestivum L.)" Plants 11, no. 19: 2593. https://doi.org/10.3390/plants11192593
APA StyleLei, L., Wu, D., Cui, C., Gao, X., Yao, Y., Dong, J., Xu, L., & Yang, M. (2022). Transcriptome Analysis of Early Senescence in the Post-Anthesis Flag Leaf of Wheat (Triticum aestivum L.). Plants, 11(19), 2593. https://doi.org/10.3390/plants11192593

