Integration of DNA Methylation and Transcriptome Data Improves Complex Trait Prediction in Hordeum vulgare
Abstract
1. Introduction
2. Results
2.1. Descriptive Data Analysis
2.2. Mediation Analyses
2.3. Differential Expression Analysis
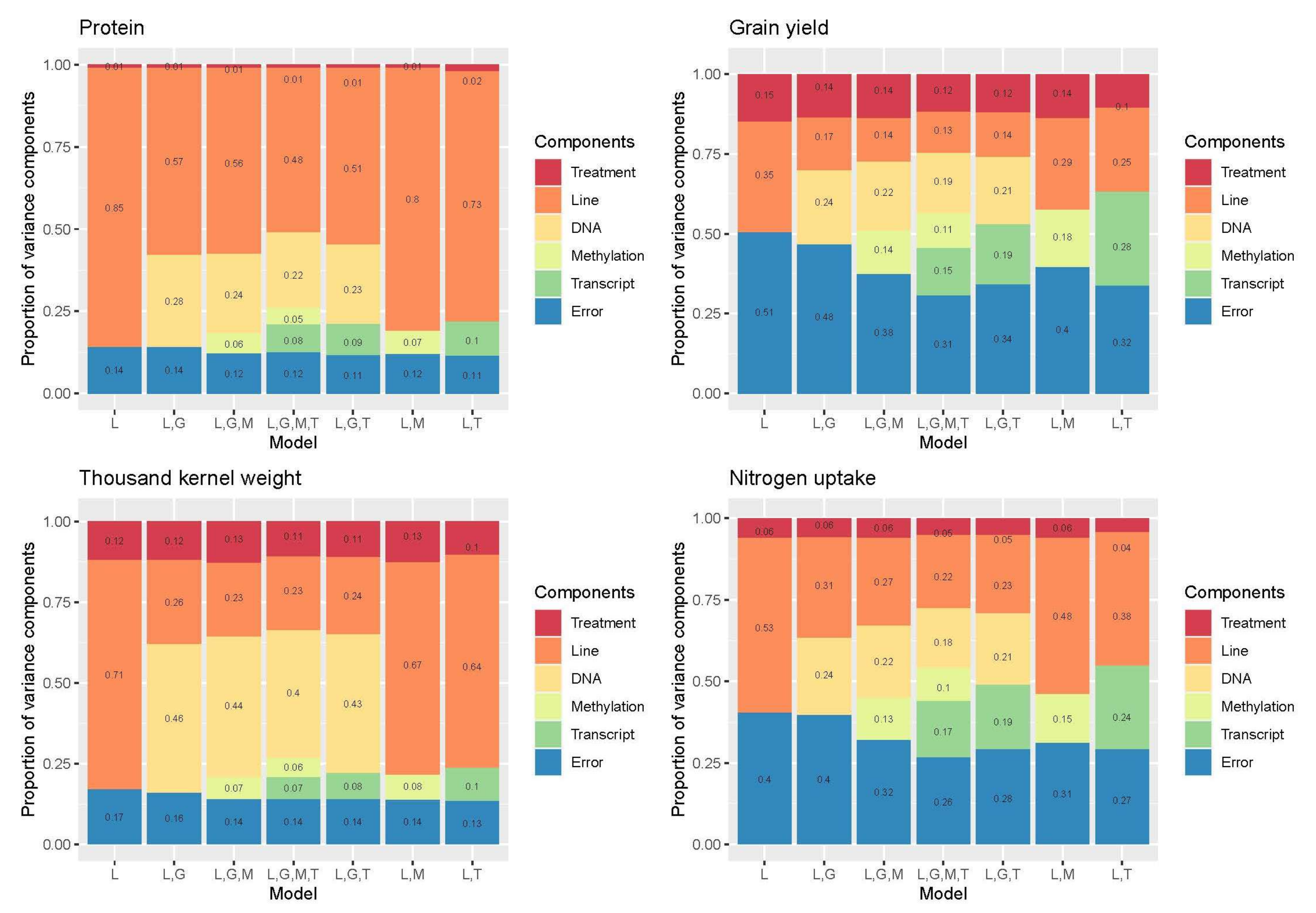
2.4. Multi-Omics Modeling and Cross-Validation
3. Discussion
3.1. Mediating Effect of Gene Expression
3.2. Differentially Expressed Genes between Treatments
3.3. Multi-Omics Prediction Models Improve Predictability
3.4. The Genetic Complexity of the Traits and Treatment Effect on Multi-Omics Prediction
3.5. Perspectives for Multi-Omics Prediction in Breeding Programs
4. Materials and Methods
4.1. Plant Material and Data Collection
4.2. Genomic and DNA Methylation Data
4.3. Barley Reference Genome Modifications
4.4. RNA Extraction and RNA Sequencing
4.5. Quality Control, Short-Read Alignment, and Expression Quantification
4.6. Mediation Analysis
4.7. Differential Gene Expression Analysis
4.8. GO-Term Enrichment Analysis
4.9. Integrating Multi-Omics Data Using Bayesian Models
Supplementary Materials
Author Contributions
Funding
Data Availability Statement
Acknowledgments
Conflicts of Interest
References
- FAOSTAT. Available online: https://www.fao.org/faostat/en/#data (accessed on 6 May 2022).
- Newton, A.C.; Flavell, A.J.; George, T.S.; Leat, P.; Mullholland, B.; Ramsay, L.; Revoredo-Giha, C.; Russell, J.; Steffenson, B.J.; Swanston, J.S.; et al. Crops That Feed the World 4. Barley: A Resilient Crop? Strengths and Weaknesses in the Context of Food Security. Food Secur. 2011, 3, 141–178. [Google Scholar] [CrossRef]
- Mochida, K.; Shinozaki, K. Advances in Omics and Bioinformatics Tools for Systems Analyses of Plant Functions. Plant Cell Physiol. 2011, 52, 2017–2038. [Google Scholar] [CrossRef] [PubMed]
- Kollist, H.; Zandalinas, S.I.; Sengupta, S.; Nuhkat, M.; Kangasjärvi, J.; Mittler, R. Rapid Responses to Abiotic Stress: Priming the Landscape for the Signal Transduction Network. Trends Plant Sci. 2019, 24, 25–37. [Google Scholar] [CrossRef] [PubMed]
- Henderson, I.R.; Jacobsen, S.E. Epigenetic Inheritance in Plants. Nature 2007, 447, 418–424. [Google Scholar] [CrossRef]
- Gardiner, L.-J.; Quinton-Tulloch, M.; Olohan, L.; Price, J.; Hall, N.; Hall, A. A Genome-Wide Survey of DNA Methylation in Hexaploid Wheat. Genome Biol. 2015, 16, 273. [Google Scholar] [CrossRef]
- Laker, R.C.; Garde, C.; Camera, D.M.; Smiles, W.J.; Zierath, J.R.; Hawley, J.A.; Barrès, R. Transcriptomic and Epigenetic Responses to Short-Term Nutrient-Exercise Stress in Humans. Sci. Rep. 2017, 7, 15134. [Google Scholar] [CrossRef]
- Feng, S.; Jacobsen, S.E. Epigenetic Modifications in Plants: An Evolutionary Perspective. Bone 2011, 14, 179–186. [Google Scholar] [CrossRef]
- Richards, C.L.; Alonso, C.; Becker, C.; Bossdorf, O.; Bucher, E.; Colomé-Tatché, M.; Durka, W.; Engelhardt, J.; Gaspar, B.; Gogol-Döring, A.; et al. Ecological Plant Epigenetics: Evidence from Model and Non-Model Species, and the Way Forward. Ecol. Lett. 2017, 20, 1576–1590. [Google Scholar] [CrossRef]
- Cokus, S.J.; Feng, S.; Zhang, X.; Chen, Z.; Merriman, B.; Haudenschild, C.D.; Pradhan, S.; Nelson, S.F.; Pellegrini, M.; Jacobsen, S.E. Shotgun Bisulphite Sequencing of the Arabidopsis Genome Reveals DNA Methylation Patterning. Nature 2008, 452, 215–219. [Google Scholar] [CrossRef]
- Zhang, X.; Yazaki, J.; Sundaresan, A.; Cokus, S.; Chan, S.W.L.; Chen, H.; Henderson, I.R.; Shinn, P.; Pellegrini, M.; Jacobsen, S.E.; et al. Genome-Wide High-Resolution Mapping and Functional Analysis of DNA Methylation in Arabidopsis. Cell 2006, 126, 1189–1201. [Google Scholar] [CrossRef]
- Niederhuth, C.E.; Schmitz, R.J. Putting DNA Methylation in Context: From Genomes to Gene Expression in Plants. Biochim. Biophys. Acta 2017, 1860, 149–156. [Google Scholar] [CrossRef] [PubMed]
- Forno, E.; Celedón, J.C. Epigenomics and Transcriptomics in the Prediction and Diagnosis of Childhood Asthma: Are We There Yet? Front. Pediatr. 2019, 7, 115. [Google Scholar] [CrossRef] [PubMed]
- Richards, C.L.; Pigliucci, M. Epigenetic Inheritance. A Decade into the Ex- Tended Evolutionary Synthesis A Decade into the Extended Evolutionary. Paradigmi 2020, 38, 463–494. [Google Scholar] [CrossRef]
- Mwadzingeni, L.; Shimelis, H.; Dube, E.; Laing, M.D.; Tsilo, T.J. Breeding Wheat for Drought Tolerance: Progress and Technologies. J. Integr. Agric. 2016, 15, 935–943. [Google Scholar] [CrossRef]
- Vazquez, A.I.; Veturi, Y.; Behring, M.; Shrestha, S.; Kirst, M.; Resende, M.F.R.; de los Campos, G. Increased Proportion of Variance Explained and Prediction Accuracy of Survival of Breast Cancer Patients with Use of Whole-Genome Multiomic Profiles. Genetics 2016, 203, 1425–1438. [Google Scholar] [CrossRef]
- Li, Z.; Gao, N.; Martini, J.W.R.; Simianer, H. Integrating Gene Expression Data into Genomic Prediction. Front. Genet. 2019, 10, 126. [Google Scholar] [CrossRef]
- Amiri Roudbar, M.; Mohammadabadi, M.R.; Mehrgardi, A.A.; Abdollahi-Arpanahi, R.; Momen, M.; Morota, G.; Lopes, F.B.; Gianola, D.; Rosa, G.J.M. Integration of Single Nucleotide Variants and Whole-Genome DNA Methylation Profiles for Classification of Rheumatoid Arthritis Cases from Controls. Heredity 2020, 124, 658–674. [Google Scholar] [CrossRef]
- Westhues, M.; Schrag, T.A.; Heuer, C.; Thaller, G.; Utz, H.F.; Schipprack, W.; Thiemann, A.; Seifert, F.; Ehret, A.; Schlereth, A.; et al. Omics-Based Hybrid Prediction in Maize. Theor. Appl. Genet. 2017, 130, 1927–1939. [Google Scholar] [CrossRef]
- Dan, Z.; Hu, J.; Zhou, W.; Yao, G.; Zhu, R.; Zhu, Y.; Huang, W. Metabolic Prediction of Important Agronomic Traits in Hybrid Rice (Oryza Sativa L.). Sci. Rep. 2016, 6, 21732. [Google Scholar] [CrossRef]
- Wang, S.; Wei, J.; Li, R.; Qu, H.; Chater, J.M.; Ma, R.; Li, Y.; Xie, W.; Jia, Z. Identification of Optimal Prediction Models Using Multi-Omic Data for Selecting Hybrid Rice. Heredity 2019, 123, 395–406. [Google Scholar] [CrossRef]
- Hu, Y.; Morota, G.; Rosa, G.J.; Gianola, D. Prediction of Plant Height in Arabidopsis Thaliana Using DNA Methylation Data. Genetics 2015, 201, 779–793. [Google Scholar] [CrossRef] [PubMed]
- Bernal Rubio, Y.L.; González-Reymúndez, A.; Wu, K.H.H.; Griguer, C.E.; Steibel, J.P.; De Los Campos, G.; Doseff, A.; Gallo, K.; Vazquez, A.I. Whole-Genome Multi-Omic Study of Survival in Patients with Glioblastoma Multiforme. G3 Genes Genomes Genet. 2018, 8, 3627–3636. [Google Scholar] [CrossRef] [PubMed]
- Shen, Q.; Fu, L.; Dai, F.; Jiang, L.; Zhang, G.; Wu, D. Multi-Omics Analysis Reveals Molecular Mechanisms of Shoot Adaption to Salt Stress in Tibetan Wild Barley. BMC Genom. 2016, 17, 889. [Google Scholar] [CrossRef] [PubMed]
- Ho, W.W.H.; Hill, C.B.; Doblin, M.S.; Shelden, M.C.; van de Meene, A.; Rupasinghe, T.; Bacic, A.; Roessner, U. Integrative Multi-Omics Analysis of Barley Genotypes Shows Differential Salt-Induced Osmotic Barriers and Response Phases Among Rootzones. BioRxiv 2019, 825059. [Google Scholar] [CrossRef]
- Gemmer, M.R.; Richter, C.; Jiang, Y.; Schmutzer, T.; Raorane, M.L.; Junker, B.; Pillen, K.; Maurer, A. Can Metabolic Prediction Be an Alternative to Genomic Prediction in Barley? PLoS ONE 2020, 15, e0234052. [Google Scholar] [CrossRef]
- Svane, S.F.; Jensen, C.S.; Thorup-Kristensen, K. Construction of a Large-Scale Semi-Field Facility to Study Genotypic Differences in Deep Root Growth and Resources Acquisition. Plant Methods 2019, 15, 26. [Google Scholar] [CrossRef]
- Lê, S.; Josse, J.; Husson, F. FactoMineR: An R Package for Multivariate Analysis. J. Stat. Softw. 2008, 25, 1–18. [Google Scholar] [CrossRef]
- Kassambara, A.; Mundt, F. Factoextra: Extract and Visualize the Results of Multivariate Data Analyses. Available online: https://rpkgs.datanovia.com/factoextra/ (accessed on 1 May 2018).
- MacKinnon, D.P.; Fairchild, A.J.; Fritz, M.S. Mediation Analysis. Annu. Rev. Psychol. 2007, 58, 593–614. [Google Scholar] [CrossRef]
- Chen, H.; Boutros, P.C. VennDiagram: A Package for the Generation of Highly-Customizable Venn and Euler Diagrams in R. BMC Bioinform. 2011, 12, 35. [Google Scholar] [CrossRef]
- Huang, Y.T.; Vanderweele, T.J.; Lin, X. Joint Analysis of Snp and Gene Expression Data in Genetic Association Studies of Complex Diseases. Ann. Appl. Stat. 2014, 8, 352–376. [Google Scholar] [CrossRef]
- Ghotbi-Ravandi, A.A.; Shahbazi, M.; Shariati, M.; Mulo, P. Effects of Mild and Severe Drought Stress on Photosynthetic Efficiency in Tolerant and Susceptible Barley (Hordeum Vulgare L.) Genotypes. J. Agron. Crop Sci. 2014, 200, 403–415. [Google Scholar] [CrossRef]
- Shin, D.; Moon, S.J.; Han, S.; Kim, B.G.; Park, S.R.; Lee, S.K.; Yoon, H.J.; Lee, H.E.; Kwon, H.B.; Baek, D.; et al. Expression of StMYB1R-1, a Novel Potato Single MYB-like Domain Transcription Factor, Increases Drought Tolerance. Plant Physiol. 2011, 155, 421–432. [Google Scholar] [CrossRef] [PubMed]
- Goel, P.; Bhuria, M.; Sinha, R.; Sharma, T.R.; Singh, A.K. Promising Transcription Factors for Salt and Drought Tolerance in Plants. In Molecular Approaches in Plant Biology and Environmental Challenges. Energy, Environment, and Sustainability; Singh, S.P., Upadhyay, S.K., Pandey, A., Kumar, S., Eds.; Springer: Singapore, 2019; pp. 7–50. ISBN 9789811506901. [Google Scholar]
- Roy, S. Function of MYB Domain Transcription Factors in Abiotic Stress and Epigenetic Control of Stress Response in Plant Genome. Plant Signal. Behav. 2016, 11, e1117723. [Google Scholar] [CrossRef] [PubMed]
- Xie, Z.; Nolan, T.M.; Jiang, H.; Yin, Y. AP2/ERF Transcription Factor Regulatory Networks in Hormone and Abiotic Stress Responses in Arabidopsis. Front. Plant Sci. 2019, 10, 228. [Google Scholar] [CrossRef] [PubMed]
- Puhakainen, T.; Hess, M.W.; Mäkelä, P.; Svensson, J.; Heino, P.; Palva, E.T. Overexpression of Multiple Dehydrin Genes Enhances Tolerance to Freezing Stress in Arabidopsis. Plant Mol. Biol. 2004, 54, 743–753. [Google Scholar] [CrossRef] [PubMed]
- Yang, Y.; He, M.; Zhu, Z.; Li, S.; Xu, Y.; Zhang, C.; Singer, S.D.; Wang, Y. Identification of the Dehydrin Gene Family from Grapevine Species and Analysis of Their Responsiveness to Various Forms of Abiotic and Biotic Stress. BMC Plant Biol. 2012, 12, 140. [Google Scholar] [CrossRef] [PubMed]
- Ogawa, T.; Uchimiya, H.; Kawai-Yamada, M. Mutual Regulation of Arabidopsis Thaliana Ethylene-Responsive Element Binding Protein and a Plant Floral Homeotic Gene, APETALA2. Ann. Bot. 2007, 99, 239–244. [Google Scholar] [CrossRef][Green Version]
- Fan, Y.; Shabala, S.; Ma, Y.; Xu, R.; Zhou, M. Using QTL Mapping to Investigate the Relationships between Abiotic Stress Tolerance (Drought and Salinity) and Agronomic and Physiological Traits. BMC Genom. 2015, 16, 43. [Google Scholar] [CrossRef]
- Xue, W.; Yan, J.; Jiang, Y.; Zhan, Z.; Zhao, G.; Tondelli, A.; Cattivelli, L.; Cheng, J. Genetic Dissection of Winter Barley Seedling Response to Salt and Osmotic Stress. Mol. Breed. 2019, 39, 137. [Google Scholar] [CrossRef]
- Iwata, H.; Jannink, J.L. Accuracy of Genomic Selection Prediction in Barley Breeding Programs: A Simulation Study Based on the Real Single Nucleotide Polymorphism Data of Barley Breeding Lines. Crop Sci. 2011, 51, 1915–1927. [Google Scholar] [CrossRef]
- Jia, Z. Controlling the Overfitting of Heritability in Genomic Selection through Cross Validation. Sci. Rep. 2017, 7, 13678. [Google Scholar] [CrossRef] [PubMed]
- Lorenz, A.J.; Smith, K.P.; Jannink, J.L. Potential and Optimization of Genomic Selection for Fusarium Head Blight Resistance in Six-Row Barley. Crop Sci. 2012, 52, 1609–1621. [Google Scholar] [CrossRef]
- Nielsen, N.H.; Jahoor, A.; Jensen, J.D.; Orabi, J.; Cericola, F.; Edriss, V.; Jensen, J. Genomic Prediction of Seed Quality Traits Using Advanced Barley Breeding Lines. PLoS ONE 2016, 11, e0164494. [Google Scholar] [CrossRef] [PubMed]
- Guo, Z.; Magwire, M.M.; Basten, C.J.; Xu, Z.; Wang, D. Evaluation of the Utility of Gene Expression and Metabolic Information for Genomic Prediction in Maize. Theor. Appl. Genet. 2016, 129, 2413–2427. [Google Scholar] [CrossRef]
- Combs, E.; Bernardo, R. Accuracy of Genomewide Selection for Different Traits with Constant Population Size, Heritability, and Number of Markers. Plant Genome 2013, 6, 1. [Google Scholar] [CrossRef]
- Daetwyler, H.D.; Pong-Wong, R.; Villanueva, B.; Woolliams, J.A. The Impact of Genetic Architecture on Genome-Wide Evaluation Methods. Genetics 2010, 185, 1021–1031. [Google Scholar] [CrossRef]
- De los Campos, G.; Sorensen, D.; Gianola, D. Genomic Heritability: What Is It? PLoS Genet. 2015, 11, e1005048. [Google Scholar] [CrossRef]
- Miedaner, T.; Hübner, M.; Korzun, V.; Schmiedchen, B.; Bauer, E.; Haseneyer, G.; Wilde, P.; Reif, J.C. Genetic Architecture of Complex Agronomic Traits Examined in Two Testcross Populations of Rye (Secale Cereale L.). BMC Genom. 2012, 13, 706. [Google Scholar] [CrossRef]
- Liu, W.; Leiser, W.L.; Reif, J.C.; Tucker, M.R.; Losert, D.; Weissmann, S.; Hahn, V.; Maurer, H.P.; Würschum, T. Multiple-Line Cross QTL Mapping for Grain Yield and Thousand Kernel Weight in Triticale. Plant Breed. 2016, 135, 567–573. [Google Scholar] [CrossRef]
- Patil, R.M.; Tamhankar, S.A.; Oak, M.D.; Raut, A.L.; Honrao, B.K.; Rao, V.S.; Misra, S.C. Mapping of QTL for Agronomic Traits and Kernel Characters in Durum Wheat (Triticum Durum Desf.). Euphytica 2013, 190, 117–129. [Google Scholar] [CrossRef]
- Pan, J.; Zhu, Y.; Jiang, D.; Dai, T.; Li, Y.; Cao, W. Modeling Plant Nitrogen Uptake and Grain Nitrogen Accumulation in Wheat. F. Crop. Res. 2006, 97, 322–336. [Google Scholar] [CrossRef]
- Wang, L.; Cui, F.; Wang, J.; Jun, L.; Ding, A.; Zhao, C.; Li, X.; Feng, D.; Gao, J.; Wang, H. Conditional QTL Mapping of Protein Content in Wheat with Respect to Grain Yield and Its Components. J. Genet. 2012, 91, 303–312. [Google Scholar] [CrossRef] [PubMed]
- Fatiukha, A.; Filler, N.; Lupo, I.; Lidzbarsky, G.; Klymiuk, V.; Korol, A.B.; Pozniak, C.; Fahima, T.; Krugman, T. Grain Protein Content and Thousand Kernel Weight QTLs Identified in a Durum × Wild Emmer Wheat Mapping Population Tested in Five Environments. Theor. Appl. Genet. 2020, 133, 119–131. [Google Scholar] [CrossRef] [PubMed]
- Guo, X.; Svane, S.F.; Füchtbauer, W.S.; Andersen, J.R.; Jensen, J.; Kristensen, K.T. Genomic Prediction of Yield and Root Development in Wheat under Changing Water Availability. Plant Methods 2020, 16, 90. [Google Scholar] [CrossRef] [PubMed]
- Benešová, M.; Holá, D.; Fischer, L.; Jedelský, P.L.; Hnilička, F.; Wilhelmová, N.; Rothová, O.; Kočová, M.; Procházková, D.; Honnerová, J.; et al. The Physiology and Proteomics of Drought Tolerance in Maize: Early Stomatal Closure as a Cause of Lower Tolerance to Short-Term Dehydration? PLoS ONE 2012, 7, e38017. [Google Scholar] [CrossRef]
- Lloyd-Jones, L.R.; Holloway, A.; McRae, A.; Yang, J.; Small, K.; Zhao, J.; Zeng, B.; Bakshi, A.; Metspalu, A.; Dermitzakis, M.; et al. The Genetic Architecture of Gene Expression in Peripheral Blood. Am. J. Hum. Genet. 2017, 100, 228–237. [Google Scholar] [CrossRef]
- Hu, H.; Gutierrez-Gonzalez, J.J.; Liu, X.; Yeats, T.H.; Garvin, D.F.; Hoekenga, O.A.; Sorrells, M.E.; Gore, M.A.; Jannink, J.L. Heritable Temporal Gene Expression Patterns Correlate with Metabolomic Seed Content in Developing Hexaploid Oat Seed. Plant Biotechnol. J. 2019, 18, 1211–1222. [Google Scholar] [CrossRef]
- Kremling, K.A.G.; Diepenbrock, C.H.; Gore, M.A.; Buckler, E.S.; Bandillo, N.B. Transcriptome-Wide Association Supplements Genome-Wide Association in Zea Mays. G3 Genes Genomes Genet. 2019, 9, 3023–3033. [Google Scholar] [CrossRef]
- Gusev, A.; Ko, A.; Shi, H.; Bhatia, G.; Chung, W.; Penninx, B.W.J.H.; Jansen, R.; De Geus, E.J.C.; Boomsma, D.I.; Wright, F.A.; et al. Integrative Approaches for Large-Scale Transcriptome-Wide Association Studies. Nat. Genet. 2016, 48, 245–252. [Google Scholar] [CrossRef]
- Nica, A.C.; Dermitzakis, E.T. Expression Quantitative Trait Loci: Present and Future. Philos. Trans. R. Soc. B Biol. Sci. 2013, 368, 20120362. [Google Scholar] [CrossRef]
- Dahl, A.; Nguyen, K.; Cai, N.; Gandal, M.J.; Flint, J.; Zaitlen, N. A Robust Method Uncovers Significant Context-Specific Heritability in Diverse Complex Traits. Am. J. Hum. Genet. 2020, 106, 71–91. [Google Scholar] [CrossRef] [PubMed]
- Kapazoglou, A.; Drosou, V.; Argiriou, A.; Tsaftaris, A.S. The Study of a Barley Epigenetic Regulator, HvDME, in Seed Development and under Drought. BMC Plant Biol. 2013, 13, 172. [Google Scholar] [CrossRef] [PubMed]
- Gibney, E.R.; Nolan, C.M. Epigenetics and Gene Expression. Heredity 2010, 105, 4–13. [Google Scholar] [CrossRef]
- Paun, O.; Verhoeven, K.J.F.; Richards, C.L. Tansley Insight Opportunities and Limitations of Reduced Representation Bisulfite Sequencing in Plant Ecological Epigenomics. N. Phytol. 2019, 221, 738–742. [Google Scholar] [CrossRef]
- Zhang, H.; Lang, Z.; Zhu, J.K. Dynamics and Function of DNA Methylation in Plants. Nat. Rev. Mol. Cell Biol. 2018, 19, 489–506. [Google Scholar] [CrossRef] [PubMed]
- Schmidt, M.; Kollers, S.; Maasberg-Prelle, A.; Großer, J.; Schinkel, B.; Tomerius, A.; Graner, A.; Korzun, V. Prediction of Malting Quality Traits in Barley Based on Genome-Wide Marker Data to Assess the Potential of Genomic Selection. Theor. Appl. Genet. 2016, 129, 203–213. [Google Scholar] [CrossRef]
- Tiede, T.; Smith, K.P. Evaluation and Retrospective Optimization of Genomic Selection for Yield and Disease Resistance in Spring Barley. Mol. Breed. 2018, 38, 55. [Google Scholar] [CrossRef]
- Emebiri, L.C. Breeding Malting Barley for Consistently Low Grain Protein to Sustain Production against Predicted Changes from Global Warming. Mol. Breed. 2015, 35, 18. [Google Scholar] [CrossRef]
- Ceccarelli, S.; Grando, S.; Capettini, F.; Baum, M. Barley Breeding for Sustainable Production. In Breeding Major Food Staples; Blackwell Publishing: Hoboken, NJ, USA, 2008; pp. 193–225. ISBN 0813818354. [Google Scholar]
- Svane, S.F.; Dam, E.B.; Carstensen, J.M.; Thorup-Kristensen, K. A Multispectral Camera System for Automated Minirhizotron Image Analysis. Plant Soil 2019, 441, 657–672. [Google Scholar] [CrossRef]
- ISO 16634-2:2016; Food Products—Determination of the Total Nitrogen Content by Combustion according to the Dumas Principle and Calculation of the Crude Protein Content—Part 2: Cereals, Pulses and Milled Cereal Products. International Standards Organization: Geneva, Switzerland, 2016.
- Bates, D.; Mächler, M.; Bolker, B.; Walker, S. Fitting Linear Mixed-Effects Models Using Lme4. J. Stat. Softw. 2015, 67, 1–48. [Google Scholar] [CrossRef]
- R Core Team. R: A Language and Environment for Statistical Computing; R Foundation for Statistical Computing: Vienna, Austria, 2018; Available online: https://www.r-project.org/ (accessed on 1 May 2018).
- Van Gurp, T.P.; Wagemaker, N.C.A.M.; Wouters, B.; Vergeer, P.; Ouborg, J.N.J.; Verhoeven, K.J.F. EpiGBS: Reference-Free Reduced Representation Bisulfite Sequencing. Nat. Methods 2016, 13, 322–324. [Google Scholar] [CrossRef]
- Mascher, M.; Gundlach, H.; Himmelbach, A.; Beier, S.; Twardziok, S.O.; Wicker, T.; Radchuk, V.; Dockter, C.; Hedley, P.E.; Russell, J.; et al. A Chromosome Conformation Capture Ordered Sequence of the Barley Genome. Nature 2017, 544, 427–433. [Google Scholar] [CrossRef] [PubMed]
- Li, H.; Handsaker, B.; Wysoker, A.; Fennell, T.; Ruan, J.; Homer, N.; Marth, G.; Abecasis, G.; Durbin, R. The Sequence Alignment/Map Format and SAMtools. Bioinformatics 2009, 25, 2078–2079. [Google Scholar] [CrossRef] [PubMed]
- Bolger, A.M.; Lohse, M.; Usadel, B. Trimmomatic: A Flexible Trimmer for Illumina Sequence Data. Bioinformatics 2014, 30, 2114–2120. [Google Scholar] [CrossRef] [PubMed]
- Kim, D.; Langmead, B.; Salzberg1, S.L. HISAT: A Fast Spliced Aligner with Low Memory Requirements. Nat. Methods 2015, 12, 357–360. [Google Scholar] [CrossRef] [PubMed]
- Pertea, M.; Pertea, G.M.; Antonescu, C.M.; Chang, T.-C.; Mendell, J.T.; Salzberg, S.L. StringTie Enables Improved Reconstruction of a Transcriptome from RNA-Seq Reads. Nat. Biotechnol. 2015, 33, 290–295. [Google Scholar] [CrossRef] [PubMed]
- VanderWeele, T.; Vansteelandt, S. Mediation Analysis with Multiple Mediators. Epidemiol. Method. 2014, 2, 95–115. [Google Scholar] [CrossRef]
- Benjamini, Y.; Hochberg, Y. Controlling the False Discovery Rate: A Practical and Powerful Approach to Multiple Testing. J. R. Stat. Soc. Ser. B 1995, 57, 289–300. [Google Scholar] [CrossRef]
- Love, M.I.; Huber, W.; Anders, S. Moderated Estimation of Fold Change and Dispersion for RNA-Seq Data with DESeq2. Genome Biol. 2014, 15, 550. [Google Scholar] [CrossRef]
- Garrison, E.; Marth, G. Haplotype-Based Variant Detection from Short-Read Sequencing. arXiv 2012, arXiv:1207.3907. [Google Scholar]
- Klopfenstein, D.V.; Zhang, L.; Pedersen, B.S.; Ramírez, F.; Vesztrocy, A.W.; Naldi, A.; Mungall, C.J.; Yunes, J.M.; Botvinnik, O.; Weigel, M.; et al. GOATOOLS: A Python Library for Gene Ontology Analyses. Sci. Rep. 2018, 8, 10872. [Google Scholar] [CrossRef] [PubMed]
- Grueneberg, A.; de los Campos, G. BGData—A Suite of R Packages for Genomic Analysis with Big Data. G3 Genes Genomes Genet. 2019, 9, 1377–1383. [Google Scholar] [CrossRef] [PubMed]
- Pérez, P.; de los Campos, G. Genome-Wide Regression and Prediction with the BGLR Statistical Package. Genetics 2014, 198, 483–495. [Google Scholar] [CrossRef] [PubMed]
- Lehermeier, C.; de los Campos, G.; Wimmer, V.; Schön, C.C. Genomic Variance Estimates: With or without Disequilibrium Covariances? J. Anim. Breed. Genet. 2017, 134, 232–241. [Google Scholar] [CrossRef]
- Walsh, B.; Lynch, M. Evolution and Selection of Quantitative Traits; Oxford University Press: Oxford, UK, 2018. [Google Scholar]
- De Mendiburu, F. Agricolae: Statistical Procedures for Agricultural Research, R Package version 1.3-1; R Foundation for Statistical Computing: Vienna Austria, 2019. [Google Scholar]






| Path C | No. of Mediating Sites | |
|---|---|---|
| Trait | β-valueC | |β-valueB2 | < |(β-valueC| |
| Grain yield | −0.78 *** | 3 * |
| TKW | −2.99 *** | 1 * |
| Nitrogen uptake | −9.87 *** | 7 * |
| Protein | 0.17 *** | 531 * |
Publisher’s Note: MDPI stays neutral with regard to jurisdictional claims in published maps and institutional affiliations. |
© 2022 by the authors. Licensee MDPI, Basel, Switzerland. This article is an open access article distributed under the terms and conditions of the Creative Commons Attribution (CC BY) license (https://creativecommons.org/licenses/by/4.0/).
Share and Cite
Hansen, P.B.; Ruud, A.K.; de los Campos, G.; Malinowska, M.; Nagy, I.; Svane, S.F.; Thorup-Kristensen, K.; Jensen, J.D.; Krusell, L.; Asp, T. Integration of DNA Methylation and Transcriptome Data Improves Complex Trait Prediction in Hordeum vulgare. Plants 2022, 11, 2190. https://doi.org/10.3390/plants11172190
Hansen PB, Ruud AK, de los Campos G, Malinowska M, Nagy I, Svane SF, Thorup-Kristensen K, Jensen JD, Krusell L, Asp T. Integration of DNA Methylation and Transcriptome Data Improves Complex Trait Prediction in Hordeum vulgare. Plants. 2022; 11(17):2190. https://doi.org/10.3390/plants11172190
Chicago/Turabian StyleHansen, Pernille Bjarup, Anja Karine Ruud, Gustavo de los Campos, Marta Malinowska, Istvan Nagy, Simon Fiil Svane, Kristian Thorup-Kristensen, Jens Due Jensen, Lene Krusell, and Torben Asp. 2022. "Integration of DNA Methylation and Transcriptome Data Improves Complex Trait Prediction in Hordeum vulgare" Plants 11, no. 17: 2190. https://doi.org/10.3390/plants11172190
APA StyleHansen, P. B., Ruud, A. K., de los Campos, G., Malinowska, M., Nagy, I., Svane, S. F., Thorup-Kristensen, K., Jensen, J. D., Krusell, L., & Asp, T. (2022). Integration of DNA Methylation and Transcriptome Data Improves Complex Trait Prediction in Hordeum vulgare. Plants, 11(17), 2190. https://doi.org/10.3390/plants11172190

