Profiling of Polyphenolic Compounds of Leontopodium alpinum Cass Callus Cultures Using UPLC/IM-HRMS and Screening of In Vitro Effects
Abstract
:1. Introduction
2. Results
2.1. Extract Preparation and LC/IM-HRMS Phytochemical Characterization
2.1.1. Glucaric Acid and Quinic Acid Derivatives
2.1.2. Quantitative Determinations
2.2. In Vitro Testing of the L. alpinum Extract
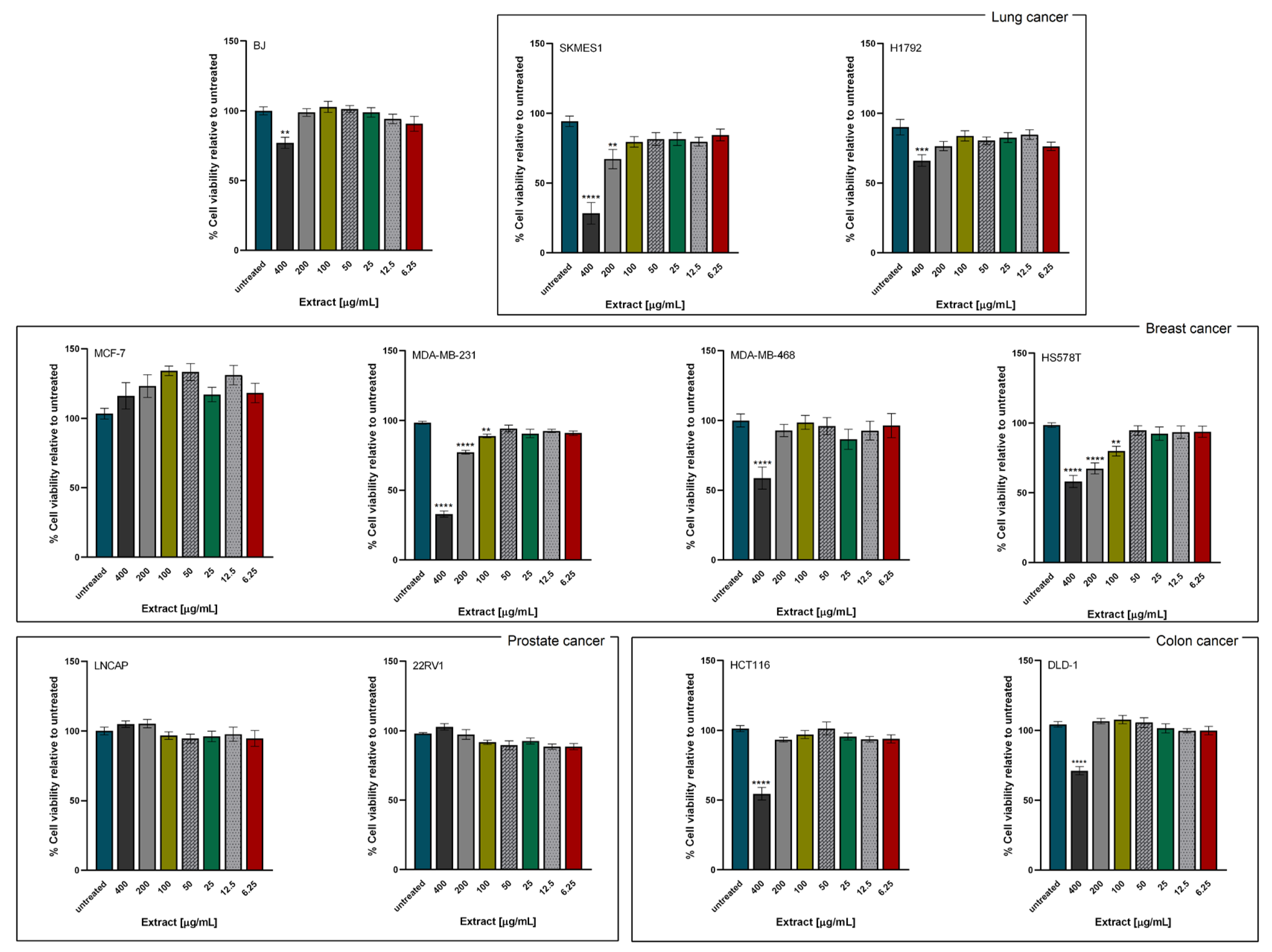
2.2.1. Viability Evaluation by MTT Assay
2.2.2. Nucleus and the Cytoskeleton Morphological Analysis
2.2.3. Clonogenic Cell Survival Assay
3. Discussion
4. Materials and Methods
4.1. Chemicals and Reagents
4.2. Biological Material
4.3. Extract Preparation
4.4. Chromatographic Method and Instrumentation
4.5. Antioxidant Activity through DPPH Free Radical Scavenging Assay
4.6. Total Polyphenols Content Determination
4.7. Cell Cultures and Assays
4.7.1. Cell Viability Testing by MTT Assay
4.7.2. Colony Forming Assay
4.7.3. Morphological Analysis
5. Conclusions
6. Patents
Supplementary Materials
Author Contributions
Funding
Data Availability Statement
Acknowledgments
Conflicts of Interest
References
- Dweck, A.C. A review of Edelweiss. Softw. J. 2004, 130, 65–67. [Google Scholar]
- Tauchen, J.; Kokoska, L. The chemistry and pharmacology of Edelweiss: A review. Phytochem. Rev. 2017, 16, 295–308. [Google Scholar] [CrossRef]
- Efferth, T. Biotechnology Applications of Plant Callus Cultures. Engineering 2019, 5, 50–59. [Google Scholar] [CrossRef]
- Jain, S.M.; Saxena, P.K. Protocols for In Vitro Cultures and Secondary Metabolite Analysis of Aromatic and Medicinal Plants; Methods in Molecular Biology; Humana Press: Totowa, NJ, USA, 2009; Volume 547, ISBN 9781603272865. [Google Scholar]
- Ramachandra Rao, S.; Ravishankar, G.A. Plant cell cultures: Chemical factories of secondary metabolites. Biotechnol. Adv. 2002, 20, 101–153. [Google Scholar] [CrossRef]
- Seger, C.; André, P.; Gafner, F.; Renimel, I.; Schwaiger, S.; About, N.; Stuppner, H.; Godenir, C.; Ellmerer, E.P.; Cervellati, R. Leontopodic acid—A novel highly substituted glucaric acid derivative from Edelweiss (Leontopodium alpinum Cass.) and its antioxidative and DNA protecting properties. Tetrahedron 2005, 61, 4621–4630. [Google Scholar]
- Schwaiger, S.; Seger, C.; Wiesbauer, B.; Schneider, P.; Ellmerer, E.P.; Sturm, S.; Stuppner, H. Development of an HPLC-PAD-MS assay for the identification and quantification of major phenolic edelweiss (Leontopodium alpium Cass.) constituents. Phytochem. Anal. 2006, 17, 291–298. [Google Scholar] [CrossRef]
- Ganzera, M.; Greifeneder, V.; Schwaiger, S.; Stuppner, H. Chemical profiling of Edelweiss (Leontopodium alpinum Cass.) extracts by micellar electrokinetic capillary chromatography. Fitoterapia 2012, 83, 1680–1686. [Google Scholar] [CrossRef] [PubMed]
- Dobner, M.J.; Ellmerer, E.P.; Schwaiger, S.; Batsugkh, O.; Narantuya, S.; Stütz, M.; Stuppner, H. New lignan, benzofuran, and sesquiterpene derivatives from the roots of Leontopodium alpinum and L. leontopodioides. Helv. Chim. Acta 2003, 86, 733–738. [Google Scholar] [CrossRef]
- Stuppner, H.; Ellmerer, E.P.; Ongania, K.H.; Dobner, M. Bisabolane derivatives from Leontopodium alpinum. Helv. Chim. Acta 2002, 85, 2982–2989. [Google Scholar] [CrossRef]
- Comey, N.; Grey, A.I.; Hook, I.L.; James, P.; Sheridan, H. Sesquiterpenes from Leontopodium alpinum. Phytochemistry 1999, 50, 1057–1060. [Google Scholar] [CrossRef]
- Marlot, L.; Batteau, M.; Escofet, M.C.; Nuccio, S.; Coquoin, V.; De Vaumas, R.; Faure, K. Two-dimensional multi-heart cutting centrifugal partition chromatography–liquid chromatography for the preparative isolation of antioxidants from Edelweiss plant. J. Chromatogr. A 2017, 1504, 55–63. [Google Scholar] [CrossRef]
- Mallón, R.; Corral, P.; Lota, F.; Onrubia, M.; Lorrain, B.; Michoux, F.; García-Medel, N.; Muñoz, E. Active Biotechnological Ingredients from Edelweiss: Evaluation of the impact of plant genotype on in vitro activities. In Proceedings of the 23 IFSCC Conference Zurich, Zurich, Switzerland, 21–23 September 2015; pp. 1–14. [Google Scholar]
- Lulli, D.; Potapovich, A.; Maurelli, R.; Dellambra, E.; Pressi, G.; Kostyuk, V.; Dal Toso, R.; De Luca, C.; Pastore, S.; Liudmila, K. Anti-inflammatory effects of concentrated ethanol extracts of Edelweiss (Leontopodium alpinum Cass.) callus cultures towards human keratinocytes and endothelial cells. Mediat. Inflamm. 2012, 2012, 1–12. [Google Scholar]
- Schwaiger, S.; Adams, M.; Seger, C.; Ellmerer, E.P.; Bauer, R.; Stuppner, H. New constituents of Leontopodium alpinum and their in vitro leukotriene biosynthesis inhibitory activity. Planta Med. 2004, 70, 978–985. [Google Scholar] [CrossRef] [PubMed]
- Cho, W.K.; Kim, H.I.; Kim, S.Y.; Seo, H.H.; Song, J.; Kim, J.; Shin, D.S.; Jo, Y.; Choi, H.; Lee, J.H.; et al. Anti-aging effects of Leontopodium alpinum (Edelweiss) callus culture extract through transcriptome profiling. Genes 2020, 11, 230. [Google Scholar] [CrossRef] [Green Version]
- Hornick, A.; Schwaiger, S.; Rollinger, J.M.; Vo, N.P.; Prast, H.; Stuppner, H. Extracts and constituents of Leontopodium alpinum enhance cholinergic transmission: Brain ACh increasing and memory improving properties. Biochem. Pharmacol. 2008, 76, 236–248. [Google Scholar] [CrossRef] [PubMed] [Green Version]
- Miller, J.S. The Discovery of Medicines from Plants: A Current Biological Perspective. Econ. Bot. 2011, 65, 396–407. [Google Scholar] [CrossRef]
- Garran, T.A.; Ji, R.; Chen, J.; Xie, D.; Guo, L.; Huang, L.; Lai, C. Elucidation of metabolite isomers of Leonurus japonicus and Leonurus cardiaca using discriminating metabolite isomerism strategy based on ultra-high performance liquid chromatography tandem quadrupole time-of-flight mass spectrometry. J. Chromatogr. A 2019, 1598, 141–153. [Google Scholar] [CrossRef]
- Gómez-Caravaca, A.M.; López-Cobo, A.; Verardo, V.; Segura-Carretero, A.; Fernández-Gutiérrez, A. HPLC-DAD-q-TOF-MS as a powerful platform for the determination of phenolic and other polar compounds in the edible part of mango and its by-products (peel, seed, and seed husk). Electrophoresis 2016, 37, 1072–1084. [Google Scholar] [CrossRef] [PubMed]
- Schrimpe-Rutledge, A.C.; Codreanu, S.G.; Sherrod, S.D.; McLean, J.A. Untargeted metabolomics strategies—Challenges and emerging directions. J. Am. Soc. Mass Spectrom. 2016, 27, 1897–1905. [Google Scholar] [CrossRef] [Green Version]
- Cicek, S.S.; Untersulzner, C.; Schwaiger, S.; Zidorn, C. Caffeoyl-D-glucaric acid derivatives in the genus Gnaphalium (Asteraceae: Gnaphalieae). Rec. Nat. Prod. 2012, 6, 311–315. [Google Scholar]
- Prasad, S.; Gupta, S.C.; Tyagi, A.K. Reactive oxygen species (ROS) and cancer: Role of antioxidative nutraceuticals. Cancer Lett. 2017, 387, 95–105. [Google Scholar] [CrossRef]
- Wu, Q.; Wang, J.Y.; Han, D.Q.; Yao, Z.P. Recent advances in differentiation of isomers by ion mobility mass spectrometry. TrAC Trends Anal. Chem. 2020, 124, 115801. [Google Scholar] [CrossRef]
- Reisinger, U.; Schwaiger, S.; Zeller, I.; Messner, B.; Stigler, R.; Wiedemann, D.; Mayr, T.; Seger, C.; Schachner, T.; Dirsch, V.M.; et al. Leoligin, the major lignan from Edelweiss, inhibits intimal hyperplasia of venous bypass grafts. Cardiovasc. Res. 2009, 82, 542–549. [Google Scholar] [CrossRef]
- Cipolletti, M.; Fernandez, V.S.; Montalesi, E.; Marino, M.; Fiocchetti, M. Beyond the antioxidant activity of dietary polyphenols in cancer: The modulation of estrogen receptors (ERs) signaling. Int. J. Mol. Sci. 2018, 19, 2624. [Google Scholar] [CrossRef] [PubMed] [Green Version]
- Hernandes, L.C.; Machado, A.R.T.; Tuttis, K.; Ribeiro, D.L.; Aissa, A.F.; Dévoz, P.P.; Antunes, L.M.G. Caffeic acid and chlorogenic acid cytotoxicity, genotoxicity and impact on global DNA methylation in human leukemic cell lines. Genet. Mol. Biol. 2020, 43, 1–8. [Google Scholar] [CrossRef] [PubMed]
- Msuya, T.S.; Mndolwa, M.A. Catha edulis: A threatened tree in the West Usambara Mountains, Tanzania. J. Trop. For. Sci. 2005, 17, 526–531. [Google Scholar]
- Tsai, H.C.; Li, Y.C.; Hsu, S.H.; Young, T.H.; Chen, M.H. Inhibition of growth and migration of oral and cervical cancer cells by citrus polyphenol. J. Formos. Med. Assoc. 2016, 115, 171–185. [Google Scholar] [CrossRef] [Green Version]
- Sajadimajd, S.; Bahramsoltani, R.; Iranpanah, A.; Kumar Patra, J.; Das, G.; Gouda, S.; Rahimi, R.; Rezaeiamiri, E.; Cao, H.; Giampieri, F.; et al. Advances on Natural Polyphenols as Anticancer Agents for Skin Cancer. Pharmacol. Res. 2020, 151, 104584. [Google Scholar] [CrossRef] [PubMed]
- Fantini, M.; Benvenuto, M.; Masuelli, L.; Frajese, G.V.; Tresoldi, I.; Modesti, A.; Bei, R. In vitro and in vivo antitumoral effects of combinations of polyphenols, or polyphenols and anticancer drugs: Perspectives on cancer treatment. Int. J. Mol. Sci. 2015, 16, 9236–9282. [Google Scholar] [CrossRef] [Green Version]
- Benvenuto, M.; Albonici, L.; Focaccetti, C.; Ciuffa, S.; Fazi, S.; Cifaldi, L.; Miele, M.T.; De Maio, F.; Tresoldi, I.; Manzari, V.; et al. Polyphenol-mediated autophagy in cancer: Evidence of in vitro and in vivo studies. Int. J. Mol. Sci. 2020, 21, 6635. [Google Scholar] [CrossRef]
- Niedzwiecki, A.; Roomi, M.W.; Kalinovsky, T.; Rath, M. Anticancer efficacy of polyphenols and their combinations. Nutrients 2016, 8, 552. [Google Scholar] [CrossRef] [PubMed] [Green Version]
- Xu, R.; Kang, Q.; Ren, J.; Li, Z.; Xu, X. Antitumor molecular mechanism of chlorogenic acid on inducting genes GSK-3 β and APC and inhibiting gene β -catenin. J. Anal. Methods Chem. 2013, 2013, 951319. [Google Scholar] [CrossRef] [PubMed] [Green Version]
- Abd Elrazik, N.A.; El-Mesery, M.; El-Karef, A.; Eissa, L.A.; El Gayar, A.M. Chlorogenic acid potentiates antitumor effect of doxorubicin through upregulation of death receptors in solid Ehrlich carcinoma model in mice. Egypt. J. Basic Appl. Sci. 2019, 6, 158–172. [Google Scholar] [CrossRef]
- Kim, S.S.; Park, R.Y.; Jeon, H.J.; Kwon, Y.S.; Chun, W. Neuroprotective effects of 3,5-dicaffeoylquinic acid on hydrogen peroxide-induced cell death in SH-SY5Y cells. Phyther. Res. 2005, 19, 243–245. [Google Scholar] [CrossRef] [PubMed]
- Bi, Y.M.; Wu, Y.T.; Chen, L.; Tan, Z.B.; Fan, H.J.; Xie, L.P.; Zhang, W.T.; Chen, H.M.; Li, J.; Liu, B.; et al. 3,5-dicaffeoylquinic acid protects H9C2 cells against oxidative stress-induced apoptosis via activation of the PI3K/Akt signaling pathway. Food Nutr. Res. 2018, 62, 1–8. [Google Scholar] [CrossRef] [PubMed] [Green Version]
- Zhou, Y.; Fu, X.; Guan, Y.; Gong, M.; He, K.; Huang, B. 1,3-Dicaffeoylquinic acid targeting 14-3-3 tau suppresses human breast cancer cell proliferation and metastasis through IL6/JAK2/PI3K pathway. Biochem. Pharmacol. 2020, 172, 113752. [Google Scholar] [CrossRef]
- Gamborg, O.L.; Miller, R.A.; Ojima, K. Nutrient requirements of suspension cultures of soybean root cells. Exp. Cell Res. 1968, 50, 151–158. [Google Scholar] [CrossRef]
- Cheng, X.L.; Wan, J.Y.; Li, P.; Qi, L.W. Ultrasonic/microwave assisted extraction and diagnostic ion filtering strategy by liquid chromatography-quadrupole time-of-flight mass spectrometry for rapid characterization of flavonoids in Spatholobus suberectus. J. Chromatogr. A 2011, 1218, 5774–5786. [Google Scholar] [CrossRef]
- Hayat, K.; Zhang, X.; Farooq, U.; Abbas, S.; Xia, S.; Jia, C.; Zhong, F.; Zhang, J. Effect of microwave treatment on phenolic content and antioxidant activity of citrus mandarin pomace. Food Chem. 2010, 123, 423–429. [Google Scholar] [CrossRef]
- Li, Y.; Skouroumounis, G.K.; Elsey, G.M.; Taylor, D.K. Microwave-assistance provides very rapid and efficient extraction of grape seed polyphenols. Food Chem. 2011, 129, 570–576. [Google Scholar] [CrossRef]
- Jokić, S.; Cvjetko, M.; Božić, D.; Fabek, S.; Toth, N.; Vorkapić-Furač, J.; Redovniković, I.R. Optimisation of microwave-assisted extraction of phenolic compounds from broccoli and its antioxidant activity. Int. J. Food Sci. Technol. 2012, 47, 2613–2619. [Google Scholar] [CrossRef]
- Peričin, D.; Krimer, V.; Trivić, S.; Radulović, L. The distribution of phenolic acids in pumpkin’s hull-less seed, skin, oil cake meal, dehulled kernel and hull. Food Chem. 2009, 113, 450–456. [Google Scholar] [CrossRef]
- Bobo-García, G.; Davidov-Pardo, G.; Arroqui, C.; Vírseda, P.; Marín-Arroyo, M.R.; Navarro, M. Intra-laboratory validation of microplate methods for total phenolic content and antioxidant activity on polyphenolic extracts, and comparison with conventional spectrophotometric methods. J. Sci. Food Agric. 2015, 95, 204–209. [Google Scholar] [CrossRef] [PubMed]
- Singleton, V.L.; Orthofer, R.; Lamuela-Raventós, R.M. Analysis of total phenols and other oxidation substrates and antioxidants by means of Folin-Ciocalteu reagent. Methods Enzimol. 1999, 299, 152–178. [Google Scholar]
- Mihailović, V.; Matić, S.; Mišić, D.; Solujić, S.; Stanić, S.; Katanić, J.; Mladenović, M.; Stanković, N. Chemical composition, antioxidant and antigenotoxic activities of different fractions of gentiana asclepiadea l. Roots extract. EXCLI J. 2013, 12, 807–823. [Google Scholar]
- Abdelhady, M.I.S.; Motaal, A.A.; Beerhues, L. Total phenolic content and antioxidant activity of standardized extracts from leaves and cell cultures of three callistemon species. Am. J. Plant Sci. 2011, 2, 847–850. [Google Scholar] [CrossRef] [Green Version]
- Rafehi, H.; Orlowski, C.; Georgiadis, G.T.; Ververis, K.; El-Osta, A.; Karagiannis, T.C. Clonogenic assay: Adherent cells. J. Vis. Exp. 2011, e2573. [Google Scholar] [CrossRef]
- Ţigu, A.B.; Toma, V.A.; Mot, A.C.; Jurj, A.; Moldovan, C.S.; Fischer-Fodor, E.; Berindan-Neagoe, I.; Pârvu, M. The synergistic antitumor effect of 5-fluorouracil combined with allicin against lung and colorectal carcinoma cells. Molecules 2020, 25, 1947. [Google Scholar] [CrossRef]



| Peak | Rt (Min) | m/z Measured (Da) | m/z Calculated (Da) | ΔmDa | Formula [M − H]− | Major Fragments | CCS (Å2) | Tentative Identification | Identif. Level * |
|---|---|---|---|---|---|---|---|---|---|
| 1 | 0.87 | 191.0561 | 191.0556 | 0.6 | C7H11O6 | - | 113.55 | Quinic acid | 2 |
| 2 | 0.93 | 191.0195 | 191.0192 | 0.3 | C6H7O7 | 111.0085 | 113.23 | Glucaric acid—(H2O) | 2 |
| 3 | 1.15 | 191.0195 | 191.0192 | 0.3 | C6H7O7 | 111.0086 | 113.25 | Glucaric acid isomer—(H2O) | 2 |
| 4 | 2.18 | 315.0722 | 315.0716 | 0.6 | C13H15O9 | 152.0109, 108.0214 | 161.99 | Dihydroxybenzoic acid glucoside | 2 |
| 5 | 3.37 | 353.0886 | 353.0873 | 1.3 | C16H17O9 | 191.0561 | 171.81 | Chlorogenic acid ** | 1 |
| 6 | 3.82 | 533.0943 | 533.0931 | 1.2 | C24H21O14 | 371.0618, 191.0195 | 206.43 | Di-caffeoyl-glucaric acid isomer | 2 |
| 7 | 4.17 | 533.0943 | 533.0931 | 1.2 | C24H21O14 | 371.0617, 191.0195 | 207.06 | Di-caffeoyl-glucaric acid isomer | 2 |
| 8 | 4.70 | 533.0941 | 533.0931 | 1.0 | C24H21O14 | 371.0541, 191.0195 | 209.91 | Di-caffeoyl-glucaric acid isomer | 2 |
| 9 | 4.74 | 441.1396 | - | - | - | 431.1111, 395.1347, 233.0822 | 196.85 | Unidentified | - |
| 10 | 5.13 | 441.1396 | - | - | - | 431.1111, 395.1353, 233.0823 | 194.03 | Unidentified | - |
| 11 | 5.54 | 447.1333 | - | - | - | 267.0688, 187.1081, 132.0561 | 190.84 | Unidentified | - |
| 12 | 5.74 | 515.1194 | 515.1190 | 0.4 | C25H23O12 | 353.0869, 191.0540 | 207.25 | Di-caffeoyl quinic acid isomer | 2 |
| 13 | 5.82 | 695.1250 | 695.1248 | 0.2 | C33H27O17 | 533.094, 371.0616, 209.0295 | 235.82 | Leontopodic acid B ** | 1 |
| 14 | 5.89 | 515.1192 | 515.1190 | 0.2 | C25H23O12 | 353.0884, 191.0559 | 206.29 | 3-5-Dicaffeoylquinic acid ** | 1 |
| 15 | 6.24 | 695.1256 | 695.1248 | 0.8 | C33H27O17 | 533.0953, 371.0609, 209.0291 | 237.11 | Leontopodic acid B isomer | 2 |
| 16 | 6.27 | 515.1191 | 515.1190 | 0.1 | C25H23O12 | 353.0869 | 210.01 | Di-caffeoylquinic acid isomer | 2 |
| 17 | 6.43 | 781.1635 | 781.1616 | 1.9 | C37H33O19 | 619.1305, 457.0991, 295.0668, 191.0195, 161.0241 | 252.37 | Leontopodic acid A ** | 1 |
| 18 | 6.55 | 781.1635 | 781.1616 | 1.9 | C37H33O19 | 619.1305, 457.0991, 295.0668, 191.0195, 161.0241 | 254.65 | Leontopodic acid A isomer | 2 |
| 19 | 6.63 | 687.2325 | - | - | - | 643.2434, 625.2344, 525.1796 | 245.99 | Unidentified | - |
| 20 | 6.70 | 285.0806 | - | - | - | 187.1138, 132.0585 | 159.91 | Unidentified | - |
| 21 | 6.94 | 689.2512 | - | - | - | 645.2613, 627.2507 | 246.59 | Unidentified | - |
| 22 | 6.96 | 689.2524 | - | - | - | 645.2619, 627.2514 | 245.98 | Unidentified | - |
| 23 | 7.09 | 311.0596 | - | - | - | 231.1030, 187.1129, 132.0581 | 167.45 | Unidentified | - |
| 24 | 7.33 | 857.1572 | 857.1565 | 0.7 | C42H33O22 | 695.1257, 533.0953, 371.0629, 209.0308, 191.0201 | 261.88 | Tetra-caffeoyl glucaric acid | 2 |
| 25 | 7.41 | 607.2763 | - | - | 563.2867, 463.2362, 301.1818, 209.0307 | 242.57 | Unidentified | - | |
| 26 | 7.55 | 867.1991 | 867.1984 | 0.7 | C41H39O21 | 705.1687, 543.1373, 381.1049, 277.0576, 209.0280, 191.0202 | 270.18 | Penta-substituted derivative of glucaric acid | 3 |
| 27 | 7.84 | 283.0646 | - | - | - | 203.1081, 148.0531 | 156.10 | Unidentified | - |
| Compound | µg/mg of Dry Extract | mg/g of Dry-Frozen Callus Culture |
|---|---|---|
| Leontopodic acid A | 178.6 | 47.15 |
| Leontopodic acid B | 219.9 | 58.05 |
| Chlorogenic acid | 99.1 | 26.16 |
| 3-5-Dicaffeoylquinic acid | 73.7 | 19.45 |
| Total | 571.3 | 150.81 |
| Cancer Type | Prostate | Colon | Lung | Breast | ||||||||
|---|---|---|---|---|---|---|---|---|---|---|---|---|
| Cell line | BJ | 22RV1 | LNCAP | DLD-1 | HCT-116 | H1792 | SK-MES-1 | MDA-MB-231 | MDA-MB-468 | HS578T | MCF-7 | |
| Viability assay | + | n.c. | n.c. | ++ | ++ | + | +++ | +++ | ++ | ++ | n.c. | |
| Morphology | Cell population reduction | ++ | + | - | +++ | +++ | ++ | + | +++ | - | + | - |
| Nuclear fragmentation | - | +++ | + | ++ | ++ | + | - | ++ | + | + | ++ | |
| Cytoskeleton fragmentation | - | ++ | ++ | ++ | - | +++ | + | + | + | ++ | ++ | |
| Rounding of cells | - | ++ | ++ | ++ | +++ | +++ | +++ | - | - | ++ | + | |
| Multi-lobed nuclei | - | + | - | - | + | - | + | - | - | + | - | |
| Colony assay | n.d. | + | + | + | + | + | + | + | + | + | + | |
Publisher’s Note: MDPI stays neutral with regard to jurisdictional claims in published maps and institutional affiliations. |
© 2021 by the authors. Licensee MDPI, Basel, Switzerland. This article is an open access article distributed under the terms and conditions of the Creative Commons Attribution (CC BY) license (https://creativecommons.org/licenses/by/4.0/).
Share and Cite
Pralea, I.-E.; Moldovan, R.-C.; Țigu, A.-B.; Petrache, A.-M.; Hegheș, S.-C.; Mitoi, M.; Cogălniceanu, G.; Iuga, C.-A. Profiling of Polyphenolic Compounds of Leontopodium alpinum Cass Callus Cultures Using UPLC/IM-HRMS and Screening of In Vitro Effects. Plants 2022, 11, 100. https://doi.org/10.3390/plants11010100
Pralea I-E, Moldovan R-C, Țigu A-B, Petrache A-M, Hegheș S-C, Mitoi M, Cogălniceanu G, Iuga C-A. Profiling of Polyphenolic Compounds of Leontopodium alpinum Cass Callus Cultures Using UPLC/IM-HRMS and Screening of In Vitro Effects. Plants. 2022; 11(1):100. https://doi.org/10.3390/plants11010100
Chicago/Turabian StylePralea, Ioana-Ecaterina, Radu-Cristian Moldovan, Adrian-Bogdan Țigu, Alina-Maria Petrache, Simona-Codruța Hegheș, Monica Mitoi, Gina Cogălniceanu, and Cristina-Adela Iuga. 2022. "Profiling of Polyphenolic Compounds of Leontopodium alpinum Cass Callus Cultures Using UPLC/IM-HRMS and Screening of In Vitro Effects" Plants 11, no. 1: 100. https://doi.org/10.3390/plants11010100
APA StylePralea, I.-E., Moldovan, R.-C., Țigu, A.-B., Petrache, A.-M., Hegheș, S.-C., Mitoi, M., Cogălniceanu, G., & Iuga, C.-A. (2022). Profiling of Polyphenolic Compounds of Leontopodium alpinum Cass Callus Cultures Using UPLC/IM-HRMS and Screening of In Vitro Effects. Plants, 11(1), 100. https://doi.org/10.3390/plants11010100

