Genetic Diversity and Synergistic Modulation of Salinity Tolerance Genes in Aegilops tauschii Coss
Abstract
:1. Introduction
2. Results
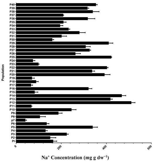
2.1. Physiological Traits
2.2. Molecular Markers
2.3. HKT1;4 and NHX1 Expression in Ae. tauschii Shoots and Roots
2.4. Expression Patterns of HKT1;4 in Roots
2.5. Expression Patterns of NHX1 in Leaves
3. Discussion
3.1. Perspectives about Salinity Tolerance and Genetic Diversity in Ae.tauschii
3.2. Role and Expression Pattern of Salinity Tolerance Genes in Ae. tauschii
3.3. Synergistic Model of Salinity Tolerance in Ae. tauschii
4. Materials and Methods
4.1. Molecular Markers
4.2. RNA Extraction and cDNA Synthesis
4.3. qPCR Analysis
4.4. Data Analysis
5. Conclusions
Supplementary Materials
Author Contributions
Funding
Institutional Review Board Statement
Informed Consent Statement
Data Availability Statement
Acknowledgments
Conflicts of Interest
References
- Gu, M.; Li, N.; Shao, T.; Long, X.; Brestič, M.; Shao, H.; Li, J. Accumulation capacity of ions in cabbage (Brassica oleracea L.) supplied with sea water. Plant Soil Environ. 2016, 62, 314–320. [Google Scholar]
- Munns, R.; Tester, M. Mechanisms of salinity tolerance. Annu. Rev. Plant Biol. 2008, 59, 651–681. [Google Scholar] [CrossRef] [Green Version]
- Almeida, D.M.; Oliveira, M.M.; Saibo, N.J. Regulation of Na+ and K+ homeostasis in plants: Towards improved salt stress tolerance in crop plants. Genet. Mol. Biol. 2017, 40, 326–345. [Google Scholar] [CrossRef] [PubMed] [Green Version]
- Vahdati, K.; Lotfi, N. Abiotic stress tolerance in plants with emphasizing on drought and salinity stresses in walnut. In Abiotic Stress-Plant Responses and Applications in Agriculture; InTech: Rijeka, Croatia, 2013; pp. 307–365. [Google Scholar]
- Hamed, K.B.; Ellouzi, H.; Talbi, O.Z.; Hessini, K.; Slama, I.; Ghnaya, T.; Bosch, S.M.; Savouré, A.; Abdelly, C. Physiological response of halophytes to multiple stresses. Funct. Plant Biol. 2013, 40, 883–896. [Google Scholar] [CrossRef] [PubMed]
- Kumar, S.; Singh, A.K.; Mohapatra, T. Epigenetics: History, present status and future perspective. Indian J. Genet. Plant Breed. 2017, 77, 445–463. [Google Scholar] [CrossRef]
- Majumdar, R.; Lebar, M.; Mack, B.; Minocha, R.; Minocha, S.; Carter-Wientjes, C.; Sickler, C.; Rajasekaran, K.; Cary, J.W. The Aspergillus flavus Spermidine synthase (spds) gene, is required for normal development, aflatoxin production, and pathogenesis during infection of maize kernels. Front. Plant Sci. 2018, 9, 317. [Google Scholar] [CrossRef] [Green Version]
- Wang, C.M.; Zhang, J.L.; Liu, X.S.; Li, Z.; Wu, G.Q.; Cai, J.Y.; Flowers, T.J.; Wang, S.M. Puccinellia tenuiflora maintains a low Na+ level under salinity by limiting unidirectional Na+ influx resulting in a high selectivity for K+ over Na+. Plant Cell Environ. 2009, 32, 486–496. [Google Scholar] [CrossRef] [PubMed]
- Assaha, D.V.; Ueda, A.; Saneoka, H.; Al-Yahyai, R.; Yaish, M.W. The role of Na+ and K+ transporters in salt stress adaptation in glycophytes. Front. Physiol. 2017, 8, 509. [Google Scholar] [CrossRef]
- Ali, A.; Raddatz, N.; Pardo, J.M.; Yun, D.J. HKT sodium and potassium transporters in Arabidopsis thaliana and related halophyte species. Physiol. Plant. 2020. [Google Scholar] [CrossRef]
- Wang, Q.; Guan, C.; Wang, P.; Ma, Q.; Bao, A.-K.; Zhang, J.-L.; Wang, S.-M. The Effect of AtHKT1; 1 or AtSOS1 mutation on the expressions of Na+ or K+ transporter genes and ion homeostasis in Arabidopsis thaliana under salt stress. Int. J. Mol. Sci. 2019, 20, 1085. [Google Scholar] [CrossRef] [PubMed] [Green Version]
- Møller, I.S.; Gilliham, M.; Jha, D.; Mayo, G.M.; Roy, S.J.; Coates, J.C.; Haseloff, J.; Tester, M. Shoot Na+ exclusion and increased salinity tolerance engineered by cell type–specific alteration of Na+ transport in Arabidopsis. Plant Cell 2009, 21, 2163–2178. [Google Scholar] [CrossRef] [Green Version]
- Munns, R.; James, R.A.; Xu, B.; Athman, A.; Conn, S.J.; Jordans, C.; Byrt, C.S.; Hare, R.A.; Tyerman, S.D.; Tester, M.; et al. Wheat grain yield on saline soils is improved by an ancestral Na+ transporter gene. Nat. Biotechnol. 2012, 30, 360–364. [Google Scholar] [CrossRef] [PubMed]
- Bassil, E.; Coku, A.; Blumwald, E. Cellular ion homeostasis: Emerging roles of intracellular NHX Na+/H+ antiporters in plant growth and development. J. Exp. Bot. 2012, 63, 5727–5740. [Google Scholar] [CrossRef] [PubMed] [Green Version]
- Rajagopal, D.; Agarwal, P.; Tyagi, W.; Singla-Pareek, S.L.; Reddy, M.K.; Sopory, S. Pennisetum glaucum Na+/H+ antiporter confers high level of salinity tolerance in transgenic Brassica juncea. Mol. Breed. 2007, 19, 137–151. [Google Scholar] [CrossRef]
- Zhang, H.; Liu, Y.; Xu, Y.; Chapman, S.; Love, A.J.; Xia, T. A newly isolated Na+/H+ antiporter gene, DmNHX1, confers salt tolerance when expressed transiently in Nicotiana benthamiana or stably in Arabidopsis thaliana. Plant Cell Tissue Organ Cult. (PCTOC) 2012, 110, 189–200. [Google Scholar] [CrossRef]
- Zhang, W.-D.; Wang, P.; Bao, Z.; Ma, Q.; Duan, L.-J.; Bao, A.-K.; Zhang, J.-L.; Wang, S.-M. SOS1, HKT1;5, and NHX1 synergistically modulate Na+ homeostasis in the halophytic grass Puccinellia tenuiflora. Front. Plant Sci. 2017, 8, 576. [Google Scholar]
- Yuan, H.-J.; Ma, Q.; Wu, G.-Q.; Wang, P.; Hu, J.; Wang, S.-M. ZxNHX controls Na+ and K+ homeostasis at the whole-plant level in Zygophyllum xanthoxylum through feedback regulation of the expression of genes involved in their transport. Ann. Bot. 2015, 115, 495–507. [Google Scholar] [CrossRef] [PubMed] [Green Version]
- Jabnoune, M.; Espeout, S.; Mieulet, D.; Fizames, C.; Verdeil, J.-L.; Conéjéro, G.; Rodríguez-Navarro, A.; Sentenac, H.; Guiderdoni, E.; Abdelly, C. Diversity in expression patterns and functional properties in the rice HKT transporter family. Plant Physiol. 2009, 150, 1955–1971. [Google Scholar] [CrossRef] [Green Version]
- Huang, S.; Spielmeyer, W.; Lagudah, E.S.; Munns, R. Comparative mapping of HKT genes in wheat, barley, and rice, key determinants of Na+ transport, and salt tolerance. J. Exp. Bot. 2008, 59, 927–937. [Google Scholar] [CrossRef] [Green Version]
- Wei, H.; Li, J.; Peng, Z.; Lu, B.; Zhao, Z.; Yang, W. Relationships of Aegilops tauschii revealed by DNA fingerprints: The evidence for agriculture exchange between China and the West. Prog. Nat. Sci. 2008, 18, 1525–1531. [Google Scholar] [CrossRef]
- Abbas, A.; Yu, H.; Cui, H.; Li, X. Effect of drought stress on chlorophyll fluorescence, and biomass portioning of Aegilops tauschii L. Appl. Ecol. Environ. Res. 2019, 17, 1071–1082. [Google Scholar] [CrossRef]
- Abbas, A.; Yu, H.Y.; Cui, H.L.; Li, X.J. Assessment of the genetic diversity in Aegilops tauschii (coss.) By using ssr markers and morphysiological traits. Appl. Ecol. Environ. Res. 2020, 18, 7011–7020. [Google Scholar] [CrossRef]
- Al-Ashkar, I.; Alderfasi, A.; Ben Romdhane, W.; Seleiman, M.F.; El-Said, R.A.; Al-Doss, A. Morphological and genetic diversity within salt tolerance detection in eighteen wheat genotypes. Plants 2020, 9, 287. [Google Scholar] [CrossRef] [Green Version]
- Hsam, S.; Kieffer, R.; Zeller, F. Significance of Aegilops tauschii glutenin genes on breadmaking properties of wheat. Cereal Chem. 2001, 78, 521–525. [Google Scholar] [CrossRef]
- Mbarki, S.; Skalicky, M.; Vachova, P.; Hajihashemi, S.; Jouini, L.; Zivcak, M.; Tlustos, P.; Brestic, M.; Hejnak, V.; Zoghlami Khelil, A. Comparing Salt Tolerance at Seedling and Germination Stages in Local Populations of Medicago ciliaris L. to Medicago intertexta L. and Medicago scutellata L. Plants 2020, 9, 526. [Google Scholar] [CrossRef] [PubMed] [Green Version]
- Kamran, M.; Parveen, A.; Ahmar, S.; Malik, Z.; Hussain, S.; Chattha, M.S.; Saleem, M.H.; Adil, M.; Heidari, P.; Chen, J.-T. An overview of hazardous impacts of soil salinity in crops, tolerance mechanisms, and amelioration through selenium supplementation. Int. J. Mol. Sci. 2020, 21, 148. [Google Scholar] [CrossRef] [PubMed] [Green Version]
- Arabbeigi, M.; Arzani, A.; Majidi, M.M.; Kiani, R.; Tabatabaei, B.E.S.; Habibi, F. Salinity tolerance of Aegilops cylindrica genotypes collected from hyper-saline shores of Uremia Salt Lake using physiological traits and SSR markers. Acta Physiol. Plant. 2014, 36, 2243–2251. [Google Scholar] [CrossRef]
- Gupta, B.; Huang, B. Mechanism of salinity tolerance in plants: Physiological, biochemical, and molecular characterization. Int. J. Genom. 2014, 2014, 701596. [Google Scholar] [CrossRef] [PubMed]
- Hasanuzzaman, M.; Nahar, K.; Fujita, M. Plant response to salt stress and role of exogenous protectants to mitigate salt-induced damages. In Ecophysiology and Responses of Plants under Salt Stress; Springer: Berlin/Heidelberg, Germany, 2013; pp. 25–87. [Google Scholar]
- Pestsova, E.; Korzun, V.; Goncharov, N.; Hammer, K.; Ganal, M.; Röder, M. Microsatellite analysis of Aegilops tauschii germplasm. Theor. Appl. Genet. 2000, 101, 100–106. [Google Scholar] [CrossRef]
- Stavridou, E.; Webster, R.J.; Robson, P.R. The effects of moderate and severe salinity on composition and physiology in the biomass crop miscanthus× giganteus. Plants 2020, 9, 1266. [Google Scholar] [CrossRef]
- Colmer, T.D.; Flowers, T.J.; Munns, R. Use of wild relatives to improve salt tolerance in wheat. J. Exp. Bot. 2006, 57, 1059–1078. [Google Scholar] [CrossRef] [Green Version]
- Kiani, R.; Arzani, A.; Habibi, F. Physiology of salinity tolerance in Aegilops cylindrica. Acta Physiol. Plant. 2015, 37, 1–10. [Google Scholar] [CrossRef]
- Naghavi, M.R.; Mardi, M.; Pirseyedi, S.M.; Kazemi, M.; Potki, P.; Ghaffari, M.R. Comparison of genetic variation among accessions of Aegilops tauschii using AFLP and SSR markers. Genet. Resour. Crop Evol. 2007, 54, 237–240. [Google Scholar] [CrossRef]
- Jaime-Pérez, N.; Pineda, B.; García-Sogo, B.; Atares, A.; Athman, A.; Byrt, C.S.; Olías, R.; Asins, M.J.; Gilliham, M.; Moreno, V. The sodium transporter encoded by the HKT1; 2 gene modulates sodium/potassium homeostasis in tomato shoots under salinity. Plant Cell Environ. 2017, 40, 658–671. [Google Scholar] [CrossRef] [PubMed] [Green Version]
- James, R.A.; Davenport, R.J.; Munns, R. Physiological characterization of two genes for Na+ exclusion in durum wheat, Nax1 and Nax2. Plant Physiol. 2006, 142, 1537–1547. [Google Scholar] [CrossRef] [PubMed] [Green Version]
- Byrt, C.S. Genes for Sodium Exclusion in Wheat. Ph.D. Thesis, School of Agriculture, Food and Wine, University of Adelaide, Adelaide, Australia, 2008. [Google Scholar]
- Shamaya, N.J.; Shavrukov, Y.; Langridge, P.; Roy, S.J.; Tester, M. Genetics of Na+ exclusion and salinity tolerance in Afghani durum wheat landraces. BMC Plant Biol. 2017, 17, 1–8. [Google Scholar] [CrossRef] [Green Version]
- Ahmadi, J.; Pour-Aboughadareh, A.; Ourang, S.F.; Khalili, P.; Poczai, P. Unraveling salinity stress responses in ancestral and neglected wheat species at early growth stage: A baseline for utilization in future wheat improvement programs. Physiol. Mol. Biol. Plants 2020, 26, 1–13. [Google Scholar] [CrossRef] [PubMed]
- Shohan, M.U.S.; Sinha, S.; Nabila, F.H.; Dastidar, S.G.; Seraj, Z.I. HKT1;5 transporter gene expression and association of amino acid substitutions with salt tolerance across rice genotypes. Front. Plant Sci. 2019, 10, 1420. [Google Scholar] [CrossRef] [Green Version]
- Tounsi, S.; Ben Amar, S.; Masmoudi, K.; Sentenac, H.; Brini, F.; Véry, A.-A. Characterization of two HKT1; 4 transporters from Triticum monococcum to elucidate the determinants of the wheat salt tolerance Nax1 QTL. Plant Cell Physiol. 2016, 57, 2047–2057. [Google Scholar] [CrossRef] [Green Version]
- Ismail, A.M.; Horie, T. Genomics, physiology, and molecular breeding approaches for improving salt tolerance. Annu. Rev. Plant Biol. 2017, 68, 405–434. [Google Scholar] [CrossRef] [Green Version]
- Ferreres, F.; Figueiredo, R.; Bettencourt, S.; Carqueijeiro, I.; Oliveira, J.; Gil-Izquierdo, A.; Pereira, D.M.; Valentão, P.; Andrade, P.B.; Duarte, P. Identification of phenolic compounds in isolated vacuoles of the medicinal plant Catharanthus roseus and their interaction with vacuolar class III peroxidase: An H2O2 affair? J. Exp. Bot. 2011, 62, 2841–2854. [Google Scholar] [CrossRef] [Green Version]
- Bao, Y.; Aggarwal, P.; Robbins, N.E.; Sturrock, C.J.; Thompson, M.C.; Tan, H.Q.; Tham, C.; Duan, L.; Rodriguez, P.L.; Vernoux, T. Plant roots use a patterning mechanism to position lateral root branches toward available water. Proc. Natl. Acad. Sci. USA 2014, 111, 9319–9324. [Google Scholar] [CrossRef] [Green Version]
- Wu, H.; Shabala, L.; Zhou, M.; Su, N.; Wu, Q.; Ul-Haq, T.; Zhu, J.; Mancuso, S.; Azzarello, E.; Shabala, S. Root vacuolar Na+ sequestration but not exclusion from uptake correlates with barley salt tolerance. Plant J. 2019, 100, 55–67. [Google Scholar] [CrossRef]
- Gong, Q.; Li, P.; Ma, S.; Indu Rupassara, S.; Bohnert, H.J. Salinity stress adaptation competence in the extremophile Thellungiella halophila in comparison with its relative Arabidopsis thaliana. Plant J. 2005, 44, 826–839. [Google Scholar] [CrossRef]
- Martinoia, E.; Massonneau, A.; Frangne, N. Transport processes of solutes across the vacuolar membrane of higher plants. Plant Cell Physiol. 2000, 41, 1175–1186. [Google Scholar] [CrossRef] [PubMed] [Green Version]
- Shi, H.; Zhu, J.-K. Regulation of expression of the vacuolar Na+/H+ antiporter gene AtNHX1 by salt stress and abscisic acid. Plant Mol. Biol. 2002, 50, 543–550. [Google Scholar] [CrossRef] [PubMed]
- Cosentino, C.; Fischer-Schliebs, E.; Bertl, A.; Thiel, G.; Homann, U. Na+/H+ antiporters are differentially regulated in response to NaCl stress in leaves and roots of Mesembryanthemum crystallinum. New Phytol. 2010, 186, 669–680. [Google Scholar] [CrossRef] [PubMed]
- Wu, G.-Q.; Feng, R.-J.; Wang, S.-M.; Wang, C.-M.; Bao, A.-K.; Wei, L.; Yuan, H.-J. Co-expression of xerophyte Zygophyllum xanthoxylum ZxNHX and ZxVP1-1 confers enhanced salinity tolerance in chimeric sugar beet (Beta vulgaris L.). Front. Plant Sci. 2015, 6, 581. [Google Scholar] [CrossRef] [Green Version]
- Blumwald, E. Sodium transport and salt tolerance in plants. Curr. Opin. Cell Biol. 2000, 12, 431–434. [Google Scholar] [CrossRef]
- Apse, M.P.; Blumwald, E. Na+ transport in plants. FEBS Lett. 2007, 581, 2247–2254. [Google Scholar] [CrossRef] [PubMed] [Green Version]








| Source of Variation | df | Dry Weight Biomass | Plant Height | Na+ | K+ | K+/Na |
|---|---|---|---|---|---|---|
| Replication | 2 | 0.349 | 2.662 | 125.63 | 2793.02 | 18.38 * |
| Salt (S) | 1 | 4.516 ** | 1.443 | 1035.51 ** | 9603.59 ** | 4.61 * |
| Error 1 | 2 | 0.019 | 9.655 | 123.56 | 8936.53 | 0.23 |
| Population (P) | 39 | 0.444 ** | 3.614 ** | 2796.89 ** | 1535.92 ** | 18.40 * |
| S × P | 39 | 0.572 ** | 4.897 ** | 2740.92 ** | 1556.75 ** | 19.03 ** |
| Error 2 | 156 | 0.075 | 1.873 | 1032.21 | 3620.69 | 10.65 |
| Total | 239 | 0.237 | 2.720 | 5911.38 | 1152.95 | 13.23 |
| Dry Weight Biomass (g) | Plant Height (cm) | Na+ (mg g dw−1) | K+ (mg g dw−1) | K+/Na | |
|---|---|---|---|---|---|
| Control | |||||
| Mini. | 1.54 | 10.50 | 14.67 | 374.02 | 14.82 |
| Maxi. | 3.38 | 17.00 | 34.38 | 693.37 | 47.91 |
| Mean | 2.25 | 13.65 | 24.73 | 532.17 | 23.67 |
| 300 mM NaCl | |||||
| Mini. | 1.29 | 10.37 | 39.97 | 154.92 | 0.27 |
| Maxi. | 2.99 | 14.89 | 510.01 | 680.21 | 7.56 |
| Mean | 1.98 | 13.44 | 240.71 | 378.90 | 1.02 |
| Dry Weight Biomass | Plant Height | Na+ | K+ | K+/Na | |
|---|---|---|---|---|---|
| Dry weight biomass | 1 | 0.37 * | −0.784 ** | −0.44 ** | 0.41 ** |
| Plant height | 1 | −0.3127 * | −0.063 | 0.17 | |
| Na+ | 1 | 0.411 ** | −0.56 ** | ||
| K+ | 1 | 0.36 ** | |||
| K+/Na+ | 1 |
| Marker | Major Allele Frequency | Allele No | PIC |
|---|---|---|---|
| Xgwm428 | 0.73 | 3 | 0.34 |
| Xbarc159 | 0.89 | 2 | 0.18 |
| Xgwm205 | 0.95 | 3 | 0.09 |
| Xgwm55 | 0.95 | 3 | 0.09 |
| Xgwm312 | 0.36 | 8 | 0.72 |
| Xgwm3 | 0.36 | 8 | 0.72 |
| Xbarc273 | 0.41 | 7 | 0.73 |
| Xgwm410 | 0.15 | 8 | 0.92 |
| Xgwm165 | 0.73 | 3 | 0.34 |
| Xwmc773 | 0.73 | 3 | 0.39 |
| Xbarc74 | 0.73 | 3 | 0.39 |
| Xgwm609 | 0.98 | 2 | 0.05 |
| Xgwm583 | 0.95 | 3 | 0.09 |
| Xwmc367 | 0.58 | 4 | 0.45 |
| Mean | 0.68 | 4.28 | 0.39 |
| Sr.No | Primers | Forward Primer (5′ to 3′) | Reverse Primer (5′ to 3′) | 5′ Modify |
|---|---|---|---|---|
| 1 | Xgwm 583 | TTCACACCCAACCAATAGCA | TCTAGGCAGACACATGCCTG | Hex |
| 2 | Xwmc 773 | GAGGCTTGCATGTGCTTGA | GCCAACTGCAACCGGTACTCT | 6-Fam |
| 3 | Xbarc 74 | GCGCTTGCCCCTTCAGGCGAG | CGCGGGAGAACCACCAGTGACAGAGC | Hex |
| 4 | Xbarc 159 | CGCAATTTATTATCGGTTTTAGGAA | CGCCCGATAGTTTTTCTAATTTCTGA | 6-Fam |
| 5 | Xbarc 273 | AATTCAGAGAAACACACCTCCCTTTTA | ACTCCATCAACCCCGTTCATT | Hex |
| 6 | Xwmc 367 | CTGACGTTGATGGGCCACTATT | GTGGTGGAAGAGGAAGGAGAGG | 6-Fam |
| 7 | Xgwm 428 | CGAGGCAGCGAGGATTT | TTCTCCACTAGCCCCGC | Hex |
| 8 | Xgwm 609 | GCGACATGACCATTTTGTTG | GATATTAAATCTCTCTATGTGTG | 6-Fam |
| 9 | Xgwm 55 | GCATCTGGTACACTAGCTGCC | TCATGGATGCATCACATCCT | Hex |
| 10 | Xgwm 312 | AGGAGCTCCTCTGTGCCAC | TTCGGGACTCTCTTCCCTG | 6-Fam |
| 11 | Xgwm 3 | GCAGCGGCACTGGTACATTT | AATATCGCATCACTATCCCA | Hex |
| 12 | Xgwm 410 | GCTTGAGACCGGCACAGT | CGAGACCTTGAGGGTCTAGA | 6-Fam |
| 13 | Xgwm 205 | CGACCCGGTTCACTTCAG | AGTCGCCGTTGTATAGTGCC | 6-Fam |
| 14 | Xgwm 165 | TGCAGTGGTCAGATGTTTCC | CTTTTCTTTCAGATTGCGCC | Hex |
| Primer | Sequences (5′–3′) | Gene |
|---|---|---|
| P1 | GCGTTCTTGTGCTTCTTG | AeACTIN-F |
| P2 | TTCTGACCTTGACCATTCC | AeACTIN-R |
| P3 | ACGCGCTCAAAATGTAACCG | AeHKT1;4 F |
| P4 | TGCCAAATCAAGGGCTCCAA | AeHKT1;4-R |
| P5 | CGGCAGTGCATGAAACTGTG | AeNHX1-F |
| P6 | TTTTCTCCGGTTATGCCGCT | AeNHX1-R |
Publisher’s Note: MDPI stays neutral with regard to jurisdictional claims in published maps and institutional affiliations. |
© 2021 by the authors. Licensee MDPI, Basel, Switzerland. This article is an open access article distributed under the terms and conditions of the Creative Commons Attribution (CC BY) license (https://creativecommons.org/licenses/by/4.0/).
Share and Cite
Abbas, A.; Yu, H.; Cui, H.; Li, X. Genetic Diversity and Synergistic Modulation of Salinity Tolerance Genes in Aegilops tauschii Coss. Plants 2021, 10, 1393. https://doi.org/10.3390/plants10071393
Abbas A, Yu H, Cui H, Li X. Genetic Diversity and Synergistic Modulation of Salinity Tolerance Genes in Aegilops tauschii Coss. Plants. 2021; 10(7):1393. https://doi.org/10.3390/plants10071393
Chicago/Turabian StyleAbbas, Adeel, Haiyan Yu, Hailan Cui, and Xiangju Li. 2021. "Genetic Diversity and Synergistic Modulation of Salinity Tolerance Genes in Aegilops tauschii Coss" Plants 10, no. 7: 1393. https://doi.org/10.3390/plants10071393
APA StyleAbbas, A., Yu, H., Cui, H., & Li, X. (2021). Genetic Diversity and Synergistic Modulation of Salinity Tolerance Genes in Aegilops tauschii Coss. Plants, 10(7), 1393. https://doi.org/10.3390/plants10071393

