Abstract
Kenaf (Hibiscus cannabinus L.) is widely used as an important industrial crop. It has the potential to act as a sustainable energy provider in the future, and contains beneficial compounds for medical and therapeutic use. However, there are no clear breeding strategies to increase its biomass or leaf volume. Thus, to attain an increase in these parameters, we examined potential key traits such as stem diameter, plant height, and number of nodes to determine the relationship among them. We hypothesized that it would be easier to reduce the amount of time and labor required for breeding if correlations among these parameters are identified. In this study, we found a strong positive correlation between height and number of nodes (Spearman’s Rho = 0.67, p < 0.001) and number of nodes and stem diameter (Spearman’s Rho = 0.65, p < 0.001), but a relatively low correlation (Spearman’s Rho = 0.34, p < 0.01) between height and stem diameter in the later stages of kenaf growth. We suggest that an efficient breeding strategy could be devised according to the breeding purpose, considering the correlations between various individual traits of kenaf.
1. Introduction
Kenaf (Hibiscus cannabinus L.) is an important industrial crop worldwide [1]. It is cultivated in more than 20 countries because of its importance and various roles in industrial and agricultural applications; it is a constituent of paper and pulp, fabrics, textiles, biocomposites, insulation mats, absorption materials, animal bedding, medicinal formulations, musical instruments, and value-added plant-based foods [2,3,4,5,6]. These numerous applications are due to kenaf’s fibrous stems and functional compounds. It is characterized by rapid growth, with an average increase of 10 cm in a single day, and a large biomass, reaching 4–6 m in height [7,8]. These plants also have a wide adaptability in various climates and soils [9]. Consequently, its cultivars have spread to Asia through Southern and Western Africa, although its origin might have been Zambia or the surrounding areas [10].
Importantly, owing to its large volume of biomass, kenaf could be a potential material for sustainable energy supply in the future, and its useful phytocompounds and phytol from leaves could be extracted for medical purposes [11]. Kenaf leaf extract contains many plant compounds, including phytol and linolenic acid, which are known to have various health benefits [12,13,14]. Its leaves have been used to treat dysentery, blood and throat disorders, and in the management of atherosclerosis [15,16]. A recent study showed that the fortification of bread using kenaf leaves improved the total dietary fiber content of the former [17]. Furthermore, leaves contribute to an increase in total biomass. After drying, kenaf leaf biomass is approximately 40% of its total biomass [18,19].
Despite the importance of kenaf leaves for total biomass increment and other uses, kenaf fibers have been relatively more useful for industrial applications. Therefore, increasing the fiber production of kenaf is a primary breeding goal [18,19]. Most kenaf breeding programs in the United States are aimed at developing varieties suitable for the production of fibers, while in Cuba, Guatemala, and a few states such as Florida, they are aimed at producing high-yielding and disease-resistant varieties [20,21,22]. Fiber yield, which is related to biomass in kenaf, is strongly associated with bark thickness, stem diameter, and plant height [20,21]. However, research on the correlations of traits that affect biomass or traits related to biomass is insufficient. Information on the correlation of key traits, such as stem diameter, leaves by number of nodes, and height for kenaf breeding, is lacking, making its breeding inefficient. In other plants, these key traits have been reported to be related to biomass. For instance, in rice, the height of a plant is used to estimate the biomass [23]. In sorghum, a thicker stem diameter is preferred as this indicates a greater biomass yield [24]. In addition, Mauro-Herrera and Doust [25] have suggested that biomass is highly correlated with the height of the plant and the number of nodes on the main stem. Furthermore, in the giant reed, a higher number of nodes on the stem means a higher amount of meristem tissue, and thereby, a larger amount of biomass [26].
In this study, the growth patterns of the potential key traits mentioned above were examined over time in 23 kenaf cultivars, and the correlation between each trait was determined. By elucidating the correlation among the traits studied, biomass increment-related breeding in kenaf could be established. Furthermore, we measured the traits mentioned above at different growth stages to determine whether early selection for each trait is possible.
2. Materials and Methods
2.1. Experiment Site and Plant Materials
The experiment was conducted from 2 May 2019 to 5 September 2019 in the Jeju National University Test Field, Korea (33°27′35.7″ N 126°33′50.3″ E DMS). The average temperature ranged from 16.6 °C to 30.6 °C, and the total precipitation was measured to be 1056.7 mm during the experiment (Table 1). Kenaf cultivars were provided by the Rural Development Administration (RDA, Korea) and SJ Global Co., Ltd. (https://koreakenaf.modoo.at/, accessed on 6 June 2021, Bucheon, Korea) (Table 2).
Table 1.
Climate variables of experiment site, from May to September 2019.
Table 2.
Twenty-four kenaf (Hibiscus cannabinus L.) cultivars were tested in the experiment.
On 2 May 2019, 15 individuals of each of the 24 cultivars were planted in a row at a distance of 25 cm between each other in one planting section. A total of 24 plots of each cultivar were replicated three times and randomly arranged. The distance between each section was 50 cm, and the distance between each row was approximately 100 cm. All individuals were well irrigated from 14 days after planting, once a day, until the end of the experiment. Additionally, only data from 23 cultivars were used in the experiment because of the lack of germination in EF-2 and lodged individuals due to the influence of typhoons during their growth, meaning that they had to be supported with stakes.
2.2. Measurements
The number of nodes, stem diameter, and height of three randomly selected kenaf individuals from each section were measured in four sets on days 75 (15 June 2019), 86 (26 July 2019), 103 (12 October 2019), and 127 (5 September 2019) after planting. The number of nodes was measured by counting the nodes of the main stem as these were visible to the naked eye. The stem diameter was estimated at the middle of the first and second nodes of the main stem using a Vernier caliper, and the height was measured from the ground to the tip of the individuals using a measuring tape.
2.3. Statistical Analysis
Data analysis was performed using R software (Ver. 1.3.1056., RStudio Team, R Foundation for Statistical Computing, Boston, MA, USA). Non-parametric tests (Kruskal–Wallis test, post hoc Dunn’s test with Benjamini–Hochberg FDR correction) were applied to compare the stem diameter, number of nodes, and height of the 23 kenaf cultivars. Spearman’s rank correlations were used to determine the degree of agreement of the ranking of each parameter.
3. Results and Discussion
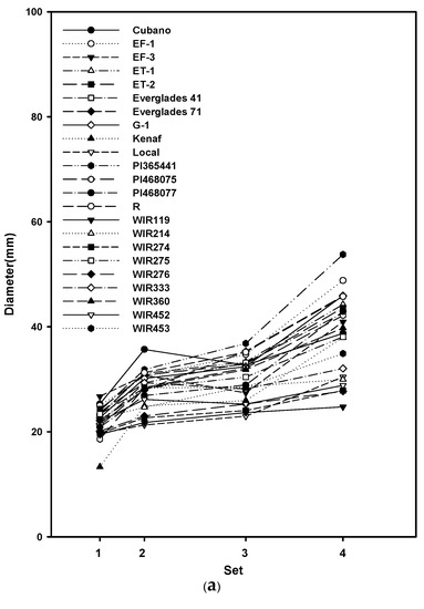
Significant differences in the germplasms in terms of the stem, nodes, and shoot tip were found, except in the stem and nodes of plants in Set 2 (Table 3). The lack of differences in all replications implies that the data were consistent and reproducible. However, the rank of each trait did not remain the same (Figure 1, Table 4, Table 5 and Table 6). Although the rank of each trait was similar in the majority of germplasms, some of them decreased or increased dramatically. This strongly indicates that the selection must be performed at the end of the growth stage. In addition, differences in the germplasms of different tissues at different time points suggest that the growth rate of each germplasm is different in different environments, which could be worth examining.
Table 3.
Kruskal–Wallis rank sum test at four growth stages.

Figure 1.
(a) Stem diameter (mm); (b) Number of nodes; and (c) Height (cm) of 23 cultivars at four different growth stages.
Table 4.
Variation among Kenaf (Hibiscus cannabinus L.) cultivar in stem diameter at four growth stages.
Table 5.
Variation among Kenaf (Hibiscus cannabinus L.) cultivar in the number of nodes at four growth stages.
Table 6.
Variation among Kenaf (Hibiscus cannabinus L.) cultivar in height at four growth stages.
We found that correlations among traits varied at different growth stages (Table 7). This could be due to the rank changes mentioned above, meaning that the growth rates for each trait in each germplasm are diverse. Assuming selection would be made at the end of the growth stage, the correlation between the number of nodes and stem diameter, as well as that between the number of nodes and height, were relatively high at 0.65 and 0.67, respectively. This could be because the number of nodes increases both horizontally and vertically as plant diameter and plant height, respectively, increase. Hence, an increase in the number of leaves is a direct function of stem diameter and plant height, which are much easier to measure for efficient plant selection for breeding purposes. With the same assumption, height and stem diameter had a low correlation (0.34). This indicates that they need to be measured separately to increase biomass because biomass is highly associated not only with height but also with stem diameter.
Table 7.
Spearman’s rank correlation among diameter, number of nodes, and height in 23 kenaf germplasms at four growth stages.
The high correlation can be attributed to two possibilities—co-selection and genetic linkage—while the reasons are the opposite for a low correlation. Plant height is the result of primary growth, and its diameter is that of secondary growth [27]. The question to be considered is how the two are related. In rice, there was no overlap between quantitative trait loci (QTLs) for increased stem diameter and QTLs for plant height [28]. In addition, in soybean, many QTLs for height and the number of nodes are not linked to each other [29]. Likewise, in Eucalyptus, woody plants, Chinese silver grass, and herbal plants, height and circumference have a strong phenotypic correlation, although many QTLs for height and circumference have not been linked to each other [30]. In addition, the chance of co-selection is low, considering that the plant materials used in the current study are mostly germplasm.
In summary, both stem diameter and height should be measured for a more effective biomass-based breeding strategy. In addition, to breed a kenaf cultivar with many leaves (for obtaining the functional compounds or for other purposes), height or stem diameter could be measured because they have a high correlation with the number of nodes. Additionally, height or stem diameter are more accessible and measurable traits, especially height, and could be estimated using an unmanned aerial vehicle for easier selection [31]. Moreover, selection should be made at the end of the growth stage because the rank of each trait varies significantly in this phase of growth.
4. Conclusions
In this study, correlations and growth patterns of major traits, such as stem diameter, number of nodes, and height over time, were confirmed in various germplasms. Since different germplasms have different traits, it is necessary to screen them according to the breeding purposes. In addition, this study showed a strong correlation between the number of nodes and height over time and a weak correlation between stem diameter and height. We showed that the correlation of each trait in kenaf implies that the breeding strategy could be made more efficient if this information is utilized.
Author Contributions
Conceptualization, Y.S.C., S.-C.Y. and J.-K.Y.; methodology, Y.S.C.; validation, S.-C.Y. and Y.S.C.; formal analysis, G.D.H. and R.R.; investigation, G.D.H. and G.M.; data curation, D.Y.H., S.-H.K. and J.P.; writing—original draft preparation, J.K. and G.D.H.; writing—review and editing, Y.S.C.; funding acquisition, Y.S.C. All authors have read and agreed to the published version of the manuscript.
Funding
This research was supported by a grant from the Standardization and integration of resources information for seed-cluster in Hub-Spoke material bank program (Project No. PJ01587004), Rural Development Administration, Republic Korea.
Institutional Review Board Statement
Not applicable.
Informed Consent Statement
Not applicable.
Data Availability Statement
Not applicable.
Acknowledgments
This research was supported by a grant from the Standardization and integration of resources information for seed-cluster in Hub-Spoke material bank program (Project No. PJ01587004), Rural Development Administration, Republic Korea. We are also grateful to the Sustainable Agricultural Research Institute (SARI) in Jeju National University for providing the experimental facilities. Lastly, this research was supported by National University Development Project funded by the Ministry of Education (Korea) and National Research Foundation of Korea 2021).
Conflicts of Interest
The authors declare no conflict of interest.
References
- Monti, A. Kenaf: A Multi-Purpose Crop for Several Industrial Applications; Springer: Berlin/Heidelberg, Germany, 2013. [Google Scholar]
- Crane, J.C. Kenaf—Fiber-plant rival of jute. Econ. Bot. 1947, 1, 334–350. [Google Scholar] [CrossRef]
- Fernando, A.L. Environmental Aspects of Kenaf Production and Use. In Kenaf: A multi-Purpose Crop for Sever Industrial Applications; Alexopoulou, E., Monti, A., Eds.; Springer: New York, NY, USA, 2013; pp. 83–104. [Google Scholar] [CrossRef]
- Hossain, M.; Hanafi, M.; Jol, H.; Jamal, T. Dry matter and nutrient partitioning of Kenaf (Hibiscus cannabinus L.) varieties grown on sandy bris soil. Aust. J. Crop Sci. 2011, 5, 654–659. [Google Scholar]
- Kim, D.G.; Ryu, J.; Lee, M.K.; Kim, J.M.; Ahn, J.W.; Kim, J.B.; Kang, S.Y.; Bae, C.H.; Kwon, S.J. Nutritional properties of various tissues from new kenaf cultivars. J. Crop Sci. Biotechnol. 2018, 21, 229–239. [Google Scholar] [CrossRef]
- Yu, H.; Yu, C. Study on microbe retting of kenaf fiber. Enzym. Microb. Technol. 2007, 40, 1806–1809. [Google Scholar] [CrossRef]
- Brown, R.C. The Biorenewable Resource Base. In Biorenewable Resources: Engineering New Products from Agriculture; Brown, R.C., Ed.; Iowa Stage Press Blackwell Publishing: Ames, IA, USA, 2003; pp. 59–73. [Google Scholar] [CrossRef]
- Deng, Y.; Li, D.; Huang, Y.; Huang, S. Physiological response to cadmium stress in Kenaf (Hibiscus cannabinus L.) seedlings. Ind. Crops Prod. 2017, 107, 453–457. [Google Scholar] [CrossRef]
- Alternative Field Crops Manual: Kenaf. Available online: https://hort.purdue.edu/newcrop/afcm/kenaf.html (accessed on 27 February 2021).
- Zhang, L.; Xu, Y.; Zhang, X.; Ma, X.; Zhang, L.; Liao, Z.; Zhang, Q.; Wan, X.; Cheng, Y.; Zhang, J. The genome of Kenaf (Hibiscus cannabinus L.) provides insights into bast fibre and leaf shape biogenesis. Plant Biotechnol. J. 2020, 18, 1796–1809. [Google Scholar] [CrossRef] [Green Version]
- Saba, N.; Jawaid, M.; Hakeem, K.; Paridah, M.; Khalina, A.; Alothman, O. Potential of bioenergy production from industrial Kenaf (Hibiscus cannabinus L.) based on Malaysian perspective. Renew. Sustain. Energy Rev. 2015, 42, 446–459. [Google Scholar] [CrossRef]
- Cordova, L.T.; Alper, H.S. Production of α-linolenic acid in Yarrowia lipolytica using low-temperature fermentation. Appl. Microbiol. Biotechnol. 2018, 102, 8809–8816. [Google Scholar] [CrossRef] [PubMed]
- Olofsson, P.; Hultqvist, M.; Hellgren, L.I.; Holmdahl, R. Phytol: A chlorophyll component with anti-inflammatory and metabolic properties. In Recent Advances in Redox Active Plant and Microbial Products; Alan, S., Paul, G.W., Torsten, B., Gilbert, K., Eds.; Springer: New York, NY, USA, 2014; pp. 345–359. [Google Scholar] [CrossRef]
- Ryu, J.; Kwon, S.J.; Ahn, J.W.; Jo, Y.D.; Kim, S.H.; Jeong, S.W.; Lee, M.K.; Kim, J.B.; Kang, S.Y. Phytochemicals and antioxidant activity in the kenaf plant (Hibiscus cannabinus L.). J. Plant Biotechnol. 2017, 44, 191–202. [Google Scholar] [CrossRef] [Green Version]
- Agbor, G.A.; Oben, J.E.; Nkegoum, B.; Takala, J.P.; Ngogang, J.Y. Hepatoprotective activity of Hibiscus cannabinus (Linn.) against carbon tetrachloride and paracetamol induced liver damage in rats. Pak. J. Biol. Sci. 2005, 8, 1397–1401. [Google Scholar]
- Agbor, G.A.; Oben, J.E.; Brahim, B.O.; Ngogang, J.Y. Toxicity study of Hibiscus cannabinus. J. Cameroon Acad. Sci. 2004, 4, 27–32. [Google Scholar]
- Lim, P.Y.; Sim, Y.Y.; Nyam, K.L. Influence of kenaf (Hibiscus cannabinus L.) leaves powder on the physico-chemical, antioxidant and sensorial properties of wheat bread. J. Food Meas. Charact. 2020, 14, 2425–2432. [Google Scholar] [CrossRef]
- Bourguignon, M.; Moore, K.J.; Brown, R.C.; Kim, K.H.; Baldwin, B.S.; Hintz, R. Variety trial and pyrolysis potential of kenaf grown in Midwest United States. BioEnergy Res. 2017, 10, 36–49. [Google Scholar] [CrossRef]
- Abdul-Hamid, H.; Yusoff, M.-H.; Ab-Shukor, N.-A.; Zainal, B.; Musa, M.-H. Effects of different fertilizer application level on growth and physiology of Hibiscus cannabinus L. (Kenaf) planted on BRIS soil. J. Agric. Sci. 2009, 1, 121. [Google Scholar] [CrossRef]
- Dempsey, J. Fiber Crops; University Presses of Florida: Gainesville, FL, USA, 1975; pp. 203–233. [Google Scholar]
- Webber III, C.L.; Bhardwaj, H.L.; Bledsoe, V.K. Kenaf production: Fiber, feed, and seed. In Trends in New Crops and New Uses; Jules, J., Anna, W., Eds.; ASHS Press: Alexandria, Egypt, 2002; pp. 327–339. [Google Scholar]
- Wilson, F.; Menzel, M.Y. Kenaf (Hibiscus cannabinus), roselle (Hibiscus sabdariffa). Econ. Bot. 1964, 18, 80–91. [Google Scholar] [CrossRef]
- Tilly, N.; Hoffmeister, D.; Cao, Q.; Lenz-Wiedemann, V.; Miao, Y.; Bareth, G. Transferability of models for estimating paddy rice biomass from spatial plant height data. Agriculture 2015, 5, 538–560. [Google Scholar] [CrossRef] [Green Version]
- Kong, W.; Jin, H.; Goff, V.H.; Auckland, S.A.; Rainville, L.K.; Paterson, A.H. Genetic Analysis of Stem Diameter and Water Contents To Improve Sorghum Bioenergy Efficiency. G3-Genes Genom. Genet. 2020, 10, 3991–4000. [Google Scholar] [CrossRef]
- Mauro-Herrera, M.; Doust, A.N. Development and genetic control of plant architecture and biomass in the panicoid grass, Setaria. PLoS ONE 2016, 11, e0151346. [Google Scholar]
- Fabbrini, F.; Ludovisi, R.; Alasia, O.; Flexas, J.; Douthe, C.; Ribas Carbó, M.; Robson, P.; Taylor, G.; Scarascia-Mugnozza, G.; Keurentjes, J.J. Characterization of phenology, physiology, morphology and biomass traits across a broad Euro-Mediterranean ecotypic panel of the lignocellulosic feedstock Arundo donax. Glob. Chang. Biol. Bioenergy 2019, 11, 152–170. [Google Scholar] [CrossRef]
- Davin, N.; Edger, P.P.; Hefer, C.A.; Mizrachi, E.; Schuetz, M.; Smets, E.; Myburg, A.A.; Douglas, C.J.; Schranz, M.E.; Lens, F. Functional network analysis of genes differentially expressed during xylogenesis in soc1ful woody Arabidopsis plants. Plant J. 2016, 86, 376–390. [Google Scholar] [CrossRef] [Green Version]
- Kashiwagi, T.; Ishimaru, K. Identification and functional analysis of a locus for improvement of lodging resistance in rice. Plant Physiol. 2004, 134, 676–683. [Google Scholar] [CrossRef] [Green Version]
- Li, R.; Jiang, H.; Zhang, Z.; Zhao, Y.; Xie, J.; Wang, Q.; Zheng, H.; Hou, L.; Xiong, X.; Xin, D.; et al. Combined linkage mapping and BSA to identify QTL and candidate genes for plant height and the number of nodes on the main stem in soybean. Int. J. Mol. Sci. 2020, 21, 42. [Google Scholar] [CrossRef] [PubMed] [Green Version]
- Bartholomé, J.; Salmon, F.; Vigneron, P.; Bouvet, J.M.; Plomion, C.; Gion, J.M. Plasticity of primary and secondary growth dynamics in Eucalyptus hybrids: A quantitative genetics and QTL mapping perspective. BMC Plant Biol. 2013, 13, 1–14. [Google Scholar] [CrossRef] [PubMed] [Green Version]
- Holman, F.H.; Riche, A.B.; Michalski, A.; Castle, M.; Wooster, M.J.; Hawkesford, M.J. High throughput field phenotyping of wheat plant height and growth rate in field plot trials using UAV based remote sensing. Remote Sens. 2016, 8, 1031. [Google Scholar] [CrossRef]
Publisher’s Note: MDPI stays neutral with regard to jurisdictional claims in published maps and institutional affiliations. |
© 2021 by the authors. Licensee MDPI, Basel, Switzerland. This article is an open access article distributed under the terms and conditions of the Creative Commons Attribution (CC BY) license (https://creativecommons.org/licenses/by/4.0/).