The Use of Very-High-Resolution Aerial Imagery to Estimate the Structure and Distribution of the Rhanterium epapposum Community for Long-Term Monitoring in Desert Ecosystems
Abstract
1. Introduction
2. Materials and Methods
2.1. Study Area
2.2. Estimating Shrub Coverage before and after Rainfall Events Using UAVs
2.3. Image Data Acquisition
2.4. Image Data Collection and Processing Using UAVs
2.4.1. Image Data Collection
2.4.2. Vegetation Indices (Vis)
2.4.3. Image Classification
2.5. Assessing Changes in Vegetation Coverage before and after Rainfall Events
2.6. Estimating Maximum Shrub Heights Using UAV Images
2.7. Field Experimental Setup for Model Validation
2.8. Relationship between Perennial Shrub Height and Annual Plant Cover Density
3. Results
3.1. Changes in Vegetation Coverage and Distribution after Extreme Rainfall Events
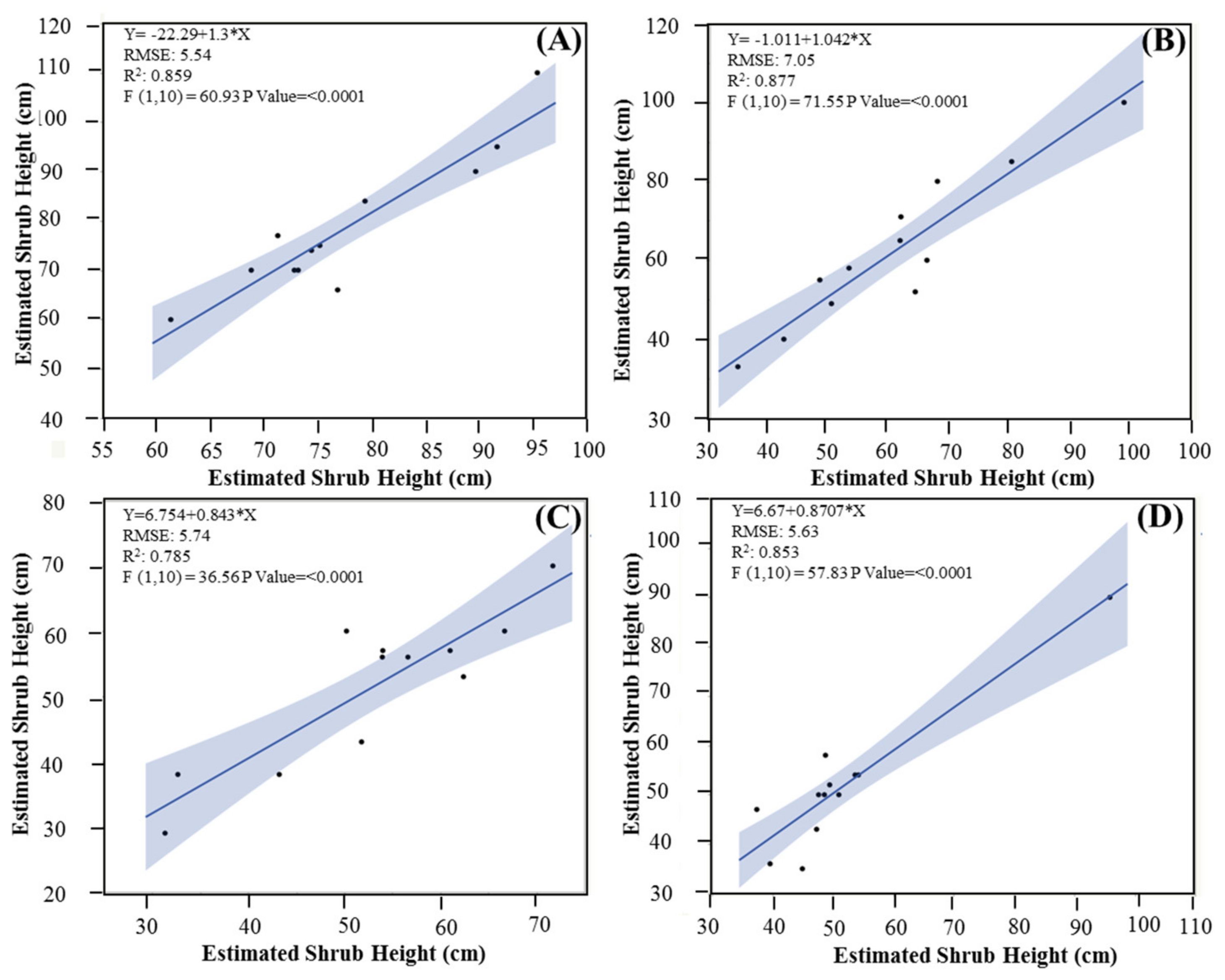
3.2. Vegetation Height Measurement Using UAV High-Resolution Imagery
3.3. Relationship between Perennial Shrub Heights and Density of Annual Plant Coverage
4. Discussion
4.1. Advantages and Disadvantages of Utilizing UAVs in Monitoring and Assessing Native Desert Shrubs
4.2. Factors Influencing the Size and Distribution of Desert Plants
5. Conclusions
Author Contributions
Funding
Data Availability Statement
Conflicts of Interest
References
- James, J.J.; Sheley, R.L.; Erickson, T.; Rollins, K.S.; Taylor, M.H.; Dixon, K.W. A systems approach to restoring degraded drylands. J. Appl. Ecol. 2013, 50, 730–739. [Google Scholar] [CrossRef]
- Svejcar, L.N.; Kildisheva, O.A. The age of restoration: Challenges presented by dryland systems. Plant Ecol. 2017, 218, 1–6. [Google Scholar] [CrossRef]
- Yirdaw, E.; Tigabu, M.; Monge, A.A. Rehabilitation of degraded dryland ecosystems—Review. Silva Fenn. 2017. [Google Scholar] [CrossRef]
- Mills, A.; O’Connor, T.; Donaldson, J.; Fey, M.; Skowno, A.; Sigwela, A.; Lechmere-Oertel, R.; Bosenberg, J. Ecosystem carbon storage under different land uses in three semi-arid shrublands and a mesic grassland in South Africa. S. Afr. J. Plant Soil 2005, 22, 183–190. [Google Scholar] [CrossRef]
- Abdullah, M.; Feagin, R.; Musawi, L. The use of spatial empirical models to estimate soil erosion in arid ecosystems. Environ. Monit. Assess. 2017, 189, 78. [Google Scholar] [CrossRef]
- Kurylyk, B.L.; MacQuarrie, K.T. The uncertainty associated with estimating future groundwater recharge: A summary of recent research and an example from a small unconfined aquifer in a northern humid-continental climate. J. Hydrol. 2013, 492, 244–253. [Google Scholar] [CrossRef]
- Shahid, S.A.; Al-Shankiti, A. Sustainable food production in marginal lands—Case of GDLA member countries. Int. Soil Water Conserv. Res. 2013, 1, 24–38. [Google Scholar] [CrossRef]
- Abdullah, M.M.; Feagin, R.A.; Abdullah, M.T.; Al-Musawi, L. Will autogenic succession be sufficient to recover from vegetation cover loss or will soil condition need to be addressed in the arid lands of Kuwait? Arab. J. Geosci. 2017, 10, 111. [Google Scholar] [CrossRef]
- Xu, L.; Du, H.; Zhang, X. Spatial Distribution Characteristics of Soil Salinity and Moisture and Its Influence on Agricultural Irrigation in the Ili River Valley, China. Sustainability 2019, 11, 7142. [Google Scholar] [CrossRef]
- Christie, G.; Horner, B.; Scanlon, A.; Lemon, J.; Williams, B. A ground up approach to revegetation in the arid zone. In Proceedings of the 13th International Conference on Mine Closure, Perth, Australia, 26–28 October 2019; pp. 741–752. [Google Scholar]
- Saygin, S.D. Strategies to Enhance Sustainability of Land Resources in Arid Regions. In Arid Environments and Sustainability; IntechOpen: London, UK, 2017. [Google Scholar]
- Abdullah, M.M.; Feagin, R.; Musawi, L.; Whisenant, S.; Popescu, S. The use of remote sensing to develop a site history for restoration planning in an arid landscape. Restor. Ecol. 2016, 24, 91–99. [Google Scholar] [CrossRef]
- Bainbridge, D.A. A Guide for Desert and Dryland Restoration: New Hope for Arid Lands; Island Press: Washington, DC, USA, 2007. [Google Scholar]
- Omar, S.A.; Bhat, N. Alteration of the Rhanterium epapposum plant community in Kuwait and restoration measures. Int. J. Environ. Stud. 2008, 65, 139–155. [Google Scholar] [CrossRef]
- Brown, G. Species richness, diversity and biomass production of desert annuals in an ungrazed Rhanterium epapposum community over three growth seasons in Kuwait. Plant Ecol. 2003, 165, 53–68. [Google Scholar] [CrossRef]
- Bautista, S.; Orr, B.J.; Alloza, J.A.; Vallejo, R.V. Evaluating the restoration of dryland ecosystems in the Northern mediterranean. In Water and Sustainability in Arid Regions; Springer: Cham, Switzerland, 2010; pp. 295–310. [Google Scholar]
- Barzegar, M.; Ebadi, H.; Kiani, A. Comparison of different vegetation indices for very high-resolution images, specific case UltraCam-D imagery. Int. Arch. Photogramm. Remote Sens. Spat. Inf. Sci. 2015, 40, 97–104. [Google Scholar] [CrossRef]
- Peng, Y.; Fan, M.; Song, J.; Cui, T.; Li, R. Assessment of plant species diversity based on hyperspectral indices at a fine scale. Sci. Rep. 2018, 8, 4776. [Google Scholar] [CrossRef] [PubMed]
- Me, C.; Balasundram, S.K.; Hanif, A.H.M. Detecting and monitoring plant nutrient stress using remote sensing approaches: A review. Asian J. Plant Sci. 2017, 16, 1–8. [Google Scholar]
- Skidmore, A.K.; Pettorelli, N. Agree on biodiversity metrics to track from space: Ecologists and space agencies must forge a global monitoring strategy. Nature 2015, 523, 403–406. [Google Scholar] [CrossRef] [PubMed]
- Dangwal, N.; Patel, N.; Kumari, M.; Saha, S. Monitoring of water stress in wheat using multispectral indices derived from Landsat-TM. Geocarto Int. 2016, 31, 682–693. [Google Scholar] [CrossRef]
- Lawley, V.; Lewis, M.; Clarke, K.; Ostendorf, B. Site-based and remote sensing methods for monitoring indicators of vegetation condition: An Australian review. Ecol. Indic. 2016, 60, 1273–1283. [Google Scholar] [CrossRef]
- Meroni, M.; Schucknecht, A.; Fasbender, D.; Rembold, F.; Fava, F.; Mauclaire, M.; Goffner, D.; Di Lucchio, L.M.; Leonardi, U. Remote sensing monitoring of land restoration interventions in semi-arid environments with a before–after control-impact statistical design. Int. J. Appl. Earth Obs. Geoinf. 2017, 59, 42–52. [Google Scholar] [CrossRef]
- Allbed, A.; Kumar, L. Soil salinity mapping and monitoring in arid and semi-arid regions using remote sensing technology: A review. Adv. Remote Sens. 2013, 2, 373. [Google Scholar] [CrossRef]
- Bannari, A.; Guedon, A.; El-Ghmari, A. Mapping slight and moderate saline soils in irrigated agricultural land using advanced land imager sensor (EO-1) data and semi-empirical models. Commun. Soil Sci. Plant Anal. 2016, 47, 1883–1906. [Google Scholar] [CrossRef]
- Ahmad, F. Spectral vegetation indices performance evaluated for Cholistan Desert. J. Geogr. Reg. Plan. 2012, 5, 165–172. [Google Scholar]
- Xu, M.; Wei, C. Remotely sensed image classification by complex network eigenvalue and connected degree. Comput. Math. Methods Med. 2012, 2012, 1–9. [Google Scholar] [CrossRef] [PubMed]
- Bannari, A.; Asalhi, H.; Teillet, P.M. Transformed difference vegetation index (TDVI) for vegetation cover mapping. In Proceedings of the IEEE International Geoscience and Remote Sensing Symposium, Toronto, ON, Canada, 24–28 June 2002; pp. 3053–3055. [Google Scholar]
- Peng, J.; Li, Y.; Tian, L.; Liu, Y.; Wang, Y. Vegetation dynamics and associated driving forces in Eastern China during 1999–2008. Remote Sens. 2015, 7, 13641–13663. [Google Scholar] [CrossRef]
- Dubovyk, O. The role of remote sensing in land degradation assessments: Opportunities and challenges. Eur. J. Remote Sens. 2017, 50, 601–613. [Google Scholar] [CrossRef]
- Laslier, M.; Hubert-Moy, L.; Dufour, S. Mapping Riparian Vegetation Functions Using 3D Bispectral LiDAR Data. Water 2019, 11, 483. [Google Scholar] [CrossRef]
- Tang, L.; Shao, G. Drone remote sensing for forestry research and practices. J. For. Res. 2015, 26, 791–797. [Google Scholar] [CrossRef]
- Al-doski, J.; Mansor, S.B.; Shafri, H.Z.M. Change detection process and techniques. Civ. Environ. Res. 2013, 3, 1–10. [Google Scholar]
- Lee, W.-J.; Lee, C.-W. Forest Canopy Height Estimation Using Multiplatform Remote Sensing Dataset. J. Sens. 2018, 2018. [Google Scholar] [CrossRef]
- Movia, A.; Beinat, A.; Crosilla, F. Comparaion of Unupervised Vegetation Classification Methods from VHR Images After Shadows Removal by Innovative Alogrithms. Int. Arch. Photogramm. Remote Sens. Spat. Inf. Sci. 2015, XL-7/W3, 1269–1276. [Google Scholar] [CrossRef]
- Trier, Ø.D.; Salberg, A.-B.; Haarpaintner, J.; Aarsten, D.; Gobakken, T.; Næsset, E. Multi-sensor forest vegetation height mapping methods for Tanzania. Eur. J. Remote Sens. 2018, 51, 587–606. [Google Scholar] [CrossRef]
- Laliberte, A.S.; Fredrickson, E.L.; Rango, A. Combining decision trees with hierarchical object-oriented image analysis for mapping arid rangelands. Photogramm. Eng. Remote Sens. 2007, 73, 197–207. [Google Scholar] [CrossRef]
- Okin, G.S.; Roberts, D.A. Remote sensing in arid regions: Challenges and oppurtunities. Man. Remote Sens. 2004, 4, 1–146. [Google Scholar]
- Al-Ali, Z.; Abdullah, M.; Asadalla, N.; Gholoum, M. A comparative study of remote sensing classification methods for monitoring and assessing desert vegetation using a UAV-based multispectral sensor. Environ. Monit. Assess. 2020, 192, 1–14. [Google Scholar] [CrossRef]
- Ruwaimana, M.; Satyanarayana, B.; Otero, V.; Muslim, A.M.; Syafiq, A.M.; Ibrahim, S.; Raymaekers, D.; Koedam, N.; Dahdouh-Guebas, F. The advantages of using drones over space-borne imagery in the mapping of mangrove forests. PLoS ONE 2018, 13, e0200288. [Google Scholar] [CrossRef]
- Themistocleous, K.; Agapiou, A.; Lysandrou, V.; Hadjimitsis, D.G. The use of UAVs for remote sensing applications: Case studies in Cyprus. In Proceedings of the Earth Resources and Environmental Remote Sensing/GIS Applications VI, Toulouse, France, 20 October 2015; p. 96440T. [Google Scholar]
- Olorunfemi, I.E.; Komolafe, A.A.; Fasinmirin, J.T.; Olufayo, A.A. Biomass carbon stocks of different land use management in the forest vegetative zone of Nigeria. Acta Oecologica 2019, 95, 45–56. [Google Scholar] [CrossRef]
- Keith, H.; Mackey, B.G.; Lindenmayer, D.B. Re-evaluation of forest biomass carbon stocks and lessons from the world’s most carbon-dense forests. Proc. Natl. Acad. Sci. USA 2009, 106, 11635–11640. [Google Scholar] [CrossRef]
- Lohbeck, M.; Poorter, L.; Martínez-Ramos, M.; Bongers, F. Biomass is the main driver of changes in ecosystem process rates during tropical forest succession. Ecology 2015, 96, 1242–1252. [Google Scholar] [CrossRef] [PubMed]
- Han, X.; Thomasson, J.A.; Bagnall, G.C.; Pugh, N.; Horne, D.W.; Rooney, W.L.; Jung, J.; Chang, A.; Malambo, L.; Popescu, S.C. Measurement and calibration of plant-height from fixed-wing UAV images. Sensors 2018, 18, 4092. [Google Scholar] [CrossRef] [PubMed]
- Bardgett, R.D. Plant-Soil Interactions in a Changing World. F1000 Biol. Rep. 2011, 3, 16. [Google Scholar] [CrossRef] [PubMed]
- Osanai, Y.; Tissue, D.T.; Bange, M.P.; Anderson, I.C.; Braunack, M.V.; Singh, B.K. Plant-soil interactions and nutrient availability determine the impact of elevated CO2 and temperature on cotton productivity. Plant Soil 2017, 410, 87–102. [Google Scholar] [CrossRef]
- Mor-Mussery, A.; Leu, S.; Budovsky, A.; Lensky, I. Plant-soil interactions and desertification: A case study in the Northern Negev, Israel. Arid Land Res. Manag. 2015, 29, 85–97. [Google Scholar] [CrossRef]
- Cortina, J.; Maestre, F.T. Plant effects on soils in drylands: Implications for community dynamics and ecosystem restoration. In Tree Species Effects on Soils: Implications for Global Change; Springer: Cham, Switzerland, 2005; pp. 85–118. [Google Scholar]
- Li, D.; Gu, X.; Pang, Y.; Chen, B.; Liu, L. Estimation of forest aboveground biomass and leaf area index based on digital aerial photograph data in Northeast China. Forests 2018, 9, 275. [Google Scholar] [CrossRef]
- Zhang, G.; Ganguly, S.; Nemani, R.R.; White, M.A.; Milesi, C.; Hashimoto, H.; Wang, W.; Saatchi, S.; Yu, Y.; Myneni, R.B. Estimation of forest aboveground biomass in California using canopy height and leaf area index estimated from satellite data. Remote Sens. Environ. 2014, 151, 44–56. [Google Scholar] [CrossRef]
- Chen, S.; McDermid, G.; Castilla, G.; Linke, J. Measuring vegetation height in linear disturbances in the boreal forest with UAV photogrammetry. Remote Sens. 2017, 9, 1257. [Google Scholar] [CrossRef]
- Viljanen, N.; Honkavaara, E.; Näsi, R.; Hakala, T.; Niemeläinen, O.; Kaivosoja, J. A novel machine learning method for estimating biomass of grass swards using a photogrammetric canopy height model, images and vegetation indices captured by a drone. Agriculture 2018, 8, 70. [Google Scholar] [CrossRef]
- Jiménez López, J.; Mulero-Pázmány, M. Drones for conservation in protected areas: Present and future. Drones 2019, 3, 10. [Google Scholar] [CrossRef]
- Abdullah, M.M.; Addae-Wireko, L.; Tena-Gonzalez, G.A. Assessing native desert vegetation recovery in a war-affected area using multispectral and hyperspectral imagery: A case study of the Sabah Al-Ahmad Nature Reserve, Kuwait. Restor. Ecol. 2017, 25, 982–993. [Google Scholar] [CrossRef]
- Alsharhan, A.S.; Rizk, Z.; Nairn, A.E.M.; Bakhit, D.; Alhajari, S. Hydrogeology of an Arid Region: The Arabian Gulf and Adjoining Areas; Elsevier: Amsterdam, The Netherlands, 2001. [Google Scholar]
- Omar, S.A.; Al-Mutawa, Y.A.A.; Zaman, S. Vegetation of Kuwait: A Comprehensive Illustrative Guide to the Flora and Ecology of the Desert of Kuwait; Aridland Agriculture Department, Food Resources Division, Kuwait Institute for Scientific Research: Kuwait City, Kuwait, 2000. [Google Scholar]
- Parrot. Parrot Sequoia. Available online: https://www.parrot.com/business-solutions-us/parrot-professional/parrot-sequoia (accessed on 10 May 2021).
- Seifert, E.; Seifert, S.; Vogt, H.; Drew, D.; Van Aardt, J.; Kunneke, A.; Seifert, T. Influence of drone altitude, image overlap, and optical sensor resolution on multi-view reconstruction of forest images. Remote Sens. 2019, 11, 1252. [Google Scholar] [CrossRef]
- Fraser, R.H.; Olthof, I.; Lantz, T.C.; Schmitt, C. UAV photogrammetry for mapping vegetation in the low-Arctic. Arct. Sci. 2016, 2, 79–102. [Google Scholar] [CrossRef]
- Zhang, X. Quick Aboveground Carbon Stock Estimation of Densely Planted Shrubs by Using Point Cloud Derived from Unmanned Aerial Vehicle. Remote Sens. 2019, 11, 2914. [Google Scholar] [CrossRef]
- Rouse, J.; Haas, R.; Schell, J.; Deering, D. Monitoring vegetation systems in the Great Plains with ERTS. NASA Spec. Publ. 1974, 351, 309. [Google Scholar]
- Xue, J.; Su, B. Significant remote sensing vegetation indices: A review of developments and applications. J. Sens. 2017, 2017. [Google Scholar] [CrossRef]
- Abdullah, M.M.; Assi, A.T.; Abdullah, M.T.; Feagin, R.A. Arid ecosystem resilience to total petroleum hydrocarbons disturbance: A case-study from the State of Kuwait associated with the Second Gulf War. Land Degrad. Dev. 2020, 31, 155–167. [Google Scholar] [CrossRef]
- Jensen, J.R.; Lulla, K. Introductory Digital Image Processing: A Remote Sensing Perspective, 3rd ed.; Prentice Hall: Hoboken, NJ, USA, 2005. [Google Scholar]
- Huang, C.; Davis, L.; Townshend, J. An assessment of support vector machines for land cover classification. Int. J. Remote Sens. 2002, 23, 725–749. [Google Scholar] [CrossRef]
- Su, L.; Chopping, M.J.; Rango, A.; Martonchik, J.V.; Peters, D.P. Support vector machines for recognition of semi-arid vegetation types using MISR multi-angle imagery. Remote Sens. Environ. 2007, 107, 299–311. [Google Scholar] [CrossRef]
- Sarkar, S.; Cazenave, A.B.; Oakes, J.; McCall, D.; Thomason, W.; Abbot, L.; Balota, M. High-throughput measurement of peanut canopy height using digital surface models. Plant Phenome J. 2020, 3, e20003. [Google Scholar] [CrossRef]
- Bradley, L.; Cromell, C. Flower Planting Guide for the Low Desert; College of Agriculture and Life Sciences, University of Arizona: Tucson, AZ, USA, 1999; Available online: https://repository.arizona.edu/handle/10150/144684 (accessed on 10 May 2021).
- Beisel, N.S.; Callaham, J.B.; Sng, N.J.; Taylor, D.J.; Paul, A.L.; Ferl, R.J. Utilization of single-image normalized difference vegetation index (SI-NDVI) for early plant stress detection. Appl. Plant Sci. 2018, 6, e01186. [Google Scholar] [CrossRef]
- Fischer, T. PCA-based supervised identification of biological soil crusts in multispectral images. MethodsX 2019, 6, 764–772. [Google Scholar] [CrossRef] [PubMed]
- Peña, J.; Torres-Sánchez, J.; Serrano-Pérez, A.; de Castro, A.; López-Granados, F. Quantifying efficacy and limits of unmanned aerial vehicle (UAV) technology for weed seedling detection as affected by sensor resolution. Sensors 2015, 15, 5609–5626. [Google Scholar] [CrossRef] [PubMed]
- Schoonover, J.E.; Crim, J.F. An introduction to soil concepts and the role of soils in watershed management. J. Contemp. Water Res. Educ. 2015, 154, 21–47. [Google Scholar] [CrossRef]
- Woodward, E.; Marshall, C. Effects of plant growth regulators and nutrient supply on tiller bud outgrowth in barley (Hordeum distichum L.). Ann. Bot. 1988, 61, 347–354. [Google Scholar] [CrossRef]
- Boeck, A.; Van Auken, O. Factors That Influence the Distribution and Growth of White Heliotrope Boraginaceae: Heliotrop. Tenellum Tex. J. Sci. 2016, 68, 3–21. [Google Scholar]









Publisher’s Note: MDPI stays neutral with regard to jurisdictional claims in published maps and institutional affiliations. |
© 2021 by the authors. Licensee MDPI, Basel, Switzerland. This article is an open access article distributed under the terms and conditions of the Creative Commons Attribution (CC BY) license (https://creativecommons.org/licenses/by/4.0/).
Share and Cite
Abdullah, M.M.; Al-Ali, Z.M.; Abdullah, M.T.; Al-Anzi, B. The Use of Very-High-Resolution Aerial Imagery to Estimate the Structure and Distribution of the Rhanterium epapposum Community for Long-Term Monitoring in Desert Ecosystems. Plants 2021, 10, 977. https://doi.org/10.3390/plants10050977
Abdullah MM, Al-Ali ZM, Abdullah MT, Al-Anzi B. The Use of Very-High-Resolution Aerial Imagery to Estimate the Structure and Distribution of the Rhanterium epapposum Community for Long-Term Monitoring in Desert Ecosystems. Plants. 2021; 10(5):977. https://doi.org/10.3390/plants10050977
Chicago/Turabian StyleAbdullah, Meshal M., Zahraa M. Al-Ali, Mansour T. Abdullah, and Bader Al-Anzi. 2021. "The Use of Very-High-Resolution Aerial Imagery to Estimate the Structure and Distribution of the Rhanterium epapposum Community for Long-Term Monitoring in Desert Ecosystems" Plants 10, no. 5: 977. https://doi.org/10.3390/plants10050977
APA StyleAbdullah, M. M., Al-Ali, Z. M., Abdullah, M. T., & Al-Anzi, B. (2021). The Use of Very-High-Resolution Aerial Imagery to Estimate the Structure and Distribution of the Rhanterium epapposum Community for Long-Term Monitoring in Desert Ecosystems. Plants, 10(5), 977. https://doi.org/10.3390/plants10050977

