Assessment of Glyphosate Impact on the Agrofood Ecosystem
Abstract
1. Introduction
2. Glyphosate-Resistant Weeds
Mitigation Strategies
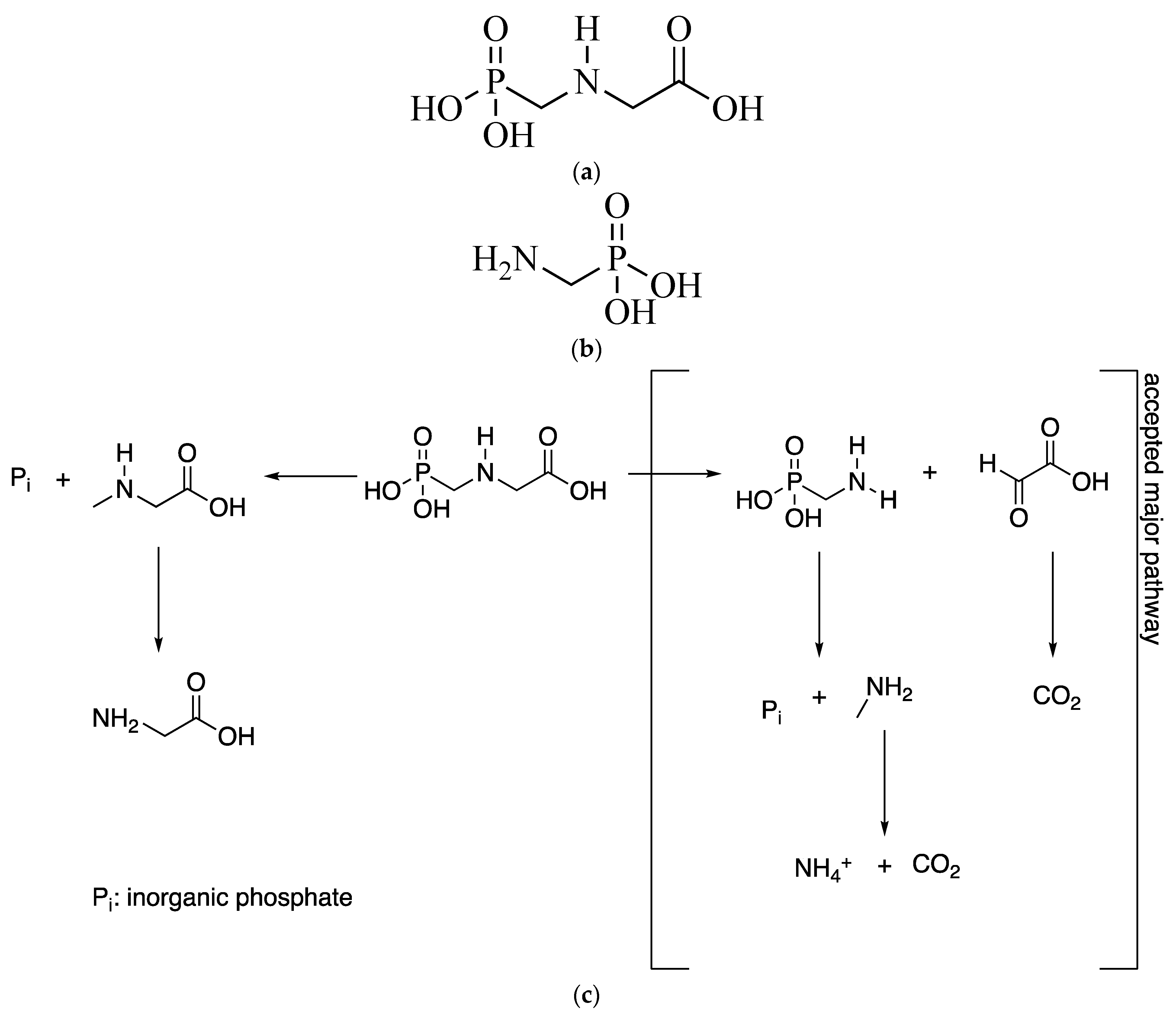
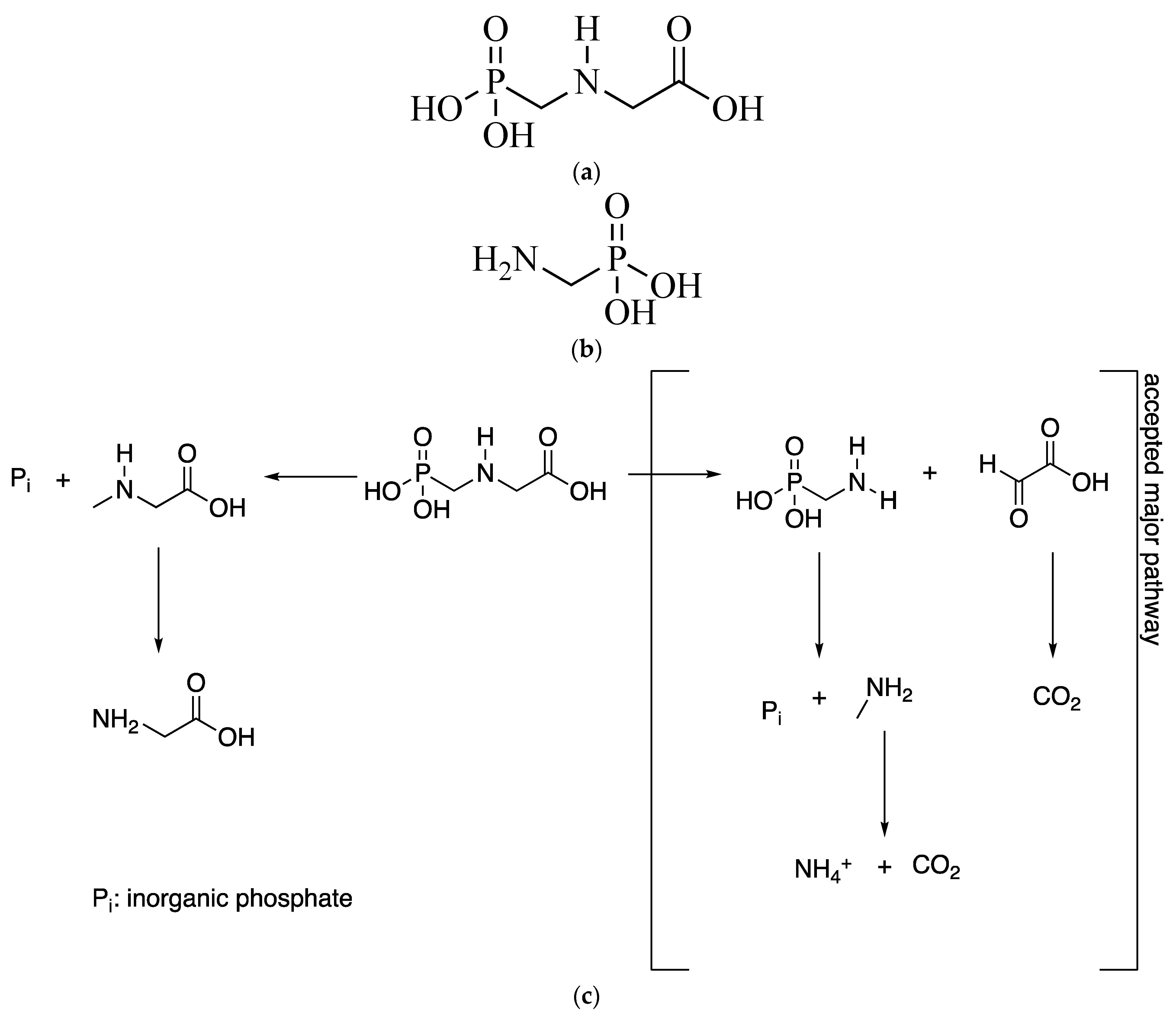
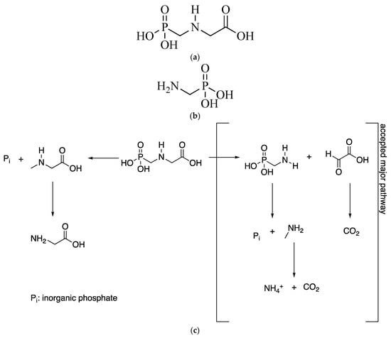
3. Impact of Glyphosate and Its Metabolite AMPA on Water Streams
Mitigation Strategies
4. Glyphosate-Based Herbicides and Cancer Risks
Mitigation Strategies
5. Risk Assessment of Glyphosate through Environment and Dietary Exposures
Mitigation Strategies
6. Challenges and Opportunities for Herbicide Research and Development
7. Conclusions and Recommendations on the Regulated Use of Glyphosate
Author Contributions
Funding
Institutional Review Board Statement
Informed Consent Statement
Data Availability Statement
Conflicts of Interest
References
- Dill, G.M.; Sammons, R.D.; Feng, P.C.; Kohn, F.; Kretzmer, K.; Mehrsheikh, A.; Bleeke, M.; Honegger, J.L.; Farmer, D.; Wright, D.; et al. Glyphosate: Discovery, Development, Applications, and Properties. In Glyphosate Resistance in Crops and Weeds: History, Development, and Management; Nandula, V.K., Ed.; Wiley: Hoboken, NJ, USA, 2010; ISBN 978-0-470-41031-8. [Google Scholar]
- Vandenberg, L.N.; Blumberg, B.; Antoniou, M.N.; Benbrook, C.M.; Carroll, L.; Colborn, T.; Everett, L.G.; Hansen, M.; Landrigan, P.J.; Lanphear, B.P.; et al. Is it time to reassess current safety standards for glyphosate-based herbicides? J. Epidemiol. Commun. Health 2017, 71, 613–618. [Google Scholar] [CrossRef] [PubMed]
- Duke, S.O. Perspectives on transgenic, herbicide-resistant crops in the USA almost 20 years after introduction. Pest Manag. Sci. 2015, 71, 652–657. [Google Scholar] [CrossRef] [PubMed]
- Duke, S.O.; Dayan, F.E. Discovery of new herbicide modes of action with natural phytotoxins. Am. Chem. Soc. Symp. Ser. 2015, 1204, 79–92. [Google Scholar] [CrossRef]
- Benbrook, C.M. Impacts of genetically engineered crops on pesticide use in the U.S.—The first 16 years. Environ. Sci. Eur. 2012, 24, 24. [Google Scholar] [CrossRef]
- Heap, I.M. Global perspective of herbicide-resistant weeds. Pest Manag. Sci. 2014, 70, 1306–1315. [Google Scholar] [CrossRef] [PubMed]
- Mortensen, D.A.; Egan, J.F.; Maxwell, B.D.; Ryan, M.R. Navigating a critical juncture for sustainable weed management. BioScience 2012, 62, 75–84. [Google Scholar] [CrossRef]
- NASS—National Agricultural Statistics Service. U.S. Soybean Industry: Glyphosate Effectiveness Declines. NASS Highlights Nº2014-1. 2014. Available online: https://www.nass.usda.gov/Surveys/Guide_to_NASS_Surveys/Ag_Resource_Management/ARMS_Soybeans_Factsheet/ARMS_2012_Soybeans.pdf (accessed on 14 June 2020).
- Cerdeira, A.L.; Gazziero, D.L.P.; Duke, S.O.; Matallo, M.B. Agricultural impacts of glyphosate-resistant soybean cultivation in South America. J. Agric. Food Chem. 2011, 59, 5799–5807. [Google Scholar] [CrossRef]
- Beckie, H.J. Herbicide-resistant weeds: Management tactics and practices. Weed Technol. 2006, 20, 793–814. [Google Scholar] [CrossRef]
- Beckie, H.J.; Ashworth, M.B.; Flower, K.C. Herbicide Resistance Management: Recent Developments and Trends. Plants 2019, 8, 161. [Google Scholar] [CrossRef]
- Moss, S.R. Integrated weed management (IWM): Why are farmers reluctant to adopt non-chemical alternatives to herbicides? Pest. Manag. Sci. 2019, 75, 1205–1211. [Google Scholar] [CrossRef] [PubMed]
- Giesy, J.P.; Dobson, S.; Solomon, K.R. Ecotoxicological risk assessment for Roundup® herbicide. Rev. Environ. Cont. Toxicol. 2000, 167, 35–120. [Google Scholar] [CrossRef]
- Borggard, O.K.; Gimsing, A.L. Fate of glyphosate in soil and the possibility of leaching to ground and surface waters: A review. Pest Manag. Sci. 2008, 64, 441–456. [Google Scholar] [CrossRef] [PubMed]
- Gillezeau, C.; Van Gerwen, M.; Shaffer, R.M.; Rana, I.; Zhang, L.; Sheppard, L.; Taioli, E. The evidence of human exposure to glyphosate: A review. Environ. Health 2019, 18, 2–14. [Google Scholar] [CrossRef] [PubMed]
- Boobis, A.; Ossendorp, B.C.; Banasiak, U.; Hamey, P.Y.; Sebestyen, I.; Moretto, A. Cumulative risk assessment of pesticide residues in food. Toxicol. Lett. 2008, 180, 137–150. [Google Scholar] [CrossRef]
- Maeda, H.; Dudareva, N. The shikimate pathway and aromatic amino acid biosynthesis in plants. Ann. Rev. Plant Biol. 2012, 63, 73–105. [Google Scholar] [CrossRef]
- Heap, I. The International Herbicide-Resistant Weed Database. Available online: www.weedscience.org (accessed on 7 December 2020).
- FAO. Management of Herbicide-Resistant Weed Populations: 100 Questions on Resistance; FAO: Rome, Italy, 2008.
- Beckie, H.J.; Heap, I.M.; Smeda, R.J.; Hall, I.M. Screening for herbicide resistance in weeds. Weed Technol. 2000, 14, 428–445. [Google Scholar] [CrossRef]
- Gaines, T.A.; Ward, S.M.; Bukun, B.; Preston, C.; Leach, J.E.; Westra, P. Interspecific hybridization transfers a previously unknown glyphosate resistance mechanism in Amaranthus species. Evol. Appl. 2012, 5, 29–38. [Google Scholar] [CrossRef] [PubMed]
- Ghanizadeh, H.; Harrington, K.C. Non-target site mechanisms of resistance to herbicides. Crit. Rev. Plant Sci. 2017, 36, 24–34. [Google Scholar] [CrossRef]
- Jugulam, M.; Shyam, C. Non-Target-Site Resistance to herbicides: Recent developments. Plants 2019, 8, 417. [Google Scholar] [CrossRef]
- Chueca, C.; Cirujeda, A.; De Prado, R.; Diaz, E.; Ortas, L.; Taberner, A.; Zaragoza, C. Colección de Folletos Sobre Manejo de Poblaciones Resistentes en Papaver, Lolium, Avena y Echinochloa; SEMh Grupo de Trabajo CPRH: Valencia, Spain, 2005. [Google Scholar]
- Storrie, A. Herbicide Resistance Mechanisms and Common HR Misconceptions. 2006 Grains Research Update for Irrigation Croppers. Brochure. Switzerland. 2006.
- Moss, S.R. Herbicide resistance: New threats, new solutions? In Proceedings of the HGCA CONFERENCE. Arable Crop Protection in the Balance: Profit and the Environment, Grantham, UK, 25–26 January 2006. [Google Scholar]
- Gage, K.L.; Krausz, R.F.; Walters, S.A. Emerging challenges for weed management in herbicide-resistant crops. Agriculture 2019, 9, 180. [Google Scholar] [CrossRef]
- Reddy Krishna, N.; Jha, P. Herbicide-resistant weeds: Management strategies and upcoming technologies. Indian J. Weed Sci. 2016, 48, 108–111. [Google Scholar] [CrossRef]
- Boerboom, C.; Owen, M. Facts about Glyphosate-Resistant Weeds; USDA: Washington, DC, USA, 2007.
- Heap, I.; Duke, S.O. Overview of glyphosate-resistant weeds worldwide. Pest Manag. Sci. 2018, 74, 1040–1049. [Google Scholar] [CrossRef] [PubMed]
- Owen, M.; Beckie, H.J.; Leeson, J.; Norsworthy, J.K.; Steckel, L.E. Integrated pest management and weed management. Pest Manag. Sci. 2014, 71, 357–376. [Google Scholar] [CrossRef] [PubMed]
- Green, J.M. Current state of herbicides in herbicide-resistant crops. Pest Manag. Sci. 2014, 70, 1351–1357. [Google Scholar] [CrossRef] [PubMed]
- Lombardo, L.; Coppola, G.; Zelasco, S. New Technologies for Insect-Resistant and Herbicide-Tolerant Plants. Trends Biotechnol. 2016, 34, 49–57. [Google Scholar] [CrossRef]
- Gasser, C.S.; Fraley, R.T. Genetically Engineering Plants for Crop Improvement. Science 1989, 244, 1293–1299. [Google Scholar] [CrossRef]
- Auer, C.; Frederick, R. Crop improvement using small RNAs: Applications and predictive ecological risk assessments. Trends Biotechnol. 2009, 27, 644–651. [Google Scholar] [CrossRef] [PubMed]
- Runo, S.; Alakonya, A.; Machuka, J.; Sinha, N. RNA interference as a resistance mechanism against crop parasites in Africa: A ‘Trojan horse’ approach. Pest Manag. Sci. 2011, 67, 129–136. [Google Scholar] [CrossRef]
- Green, J.M. The benefits of herbicide-resistant crops. Pest Manag. Sci. 2012, 68, 1323–1331. [Google Scholar] [CrossRef]
- Espinoza, C.; Schelecheter, R.; Herrera, D.; Torres, E.; Serrano, A.; Medina, C.; Arce-Johnson, P. Cisgenesis and Intragenesis: New tools for Improving Crops. Biol. Res. 2013, 46, 323–331. [Google Scholar] [CrossRef]
- Zhu, T.; Mettenburg, K.; Peterson, D.J.; Tagliani, L.; Baszczynski, C.L. Engineering herbicide-resistant maize using chimeric RNA/DNA oligonucleotides. Nat. Biotechnol. 2000, 18, 555–558. [Google Scholar] [CrossRef]
- Sun, Y.; Zang, X.; Wu, C.; He, Y.; Ma, Y.; Hou, H.; Guo, X.; Du, W.; Zhaom, Y.; Xia, L. Engineering Herbicide-Resistant Rice Plants through CRISPR/Cas9-Mediated Homologous Recombination of Acetolactate Synthase. Mol. Plant 2016, 9, 628–631. [Google Scholar] [CrossRef]
- Luo, M.; Gilbert, B.; Ayliffe, M. Applications of CRISPR/Cas9 technology for targeted mutagenesis, gene replacement and stacking of genes in higher plants. Plant Cell Rep. 2016, 35, 1439–1450. [Google Scholar] [CrossRef]
- Han, Y.-J.; Kim, J.-I. Application of CRISPR/Cas9-mediated gene editing for the development of herbicide-resistant plants. Plant Biotechnol. Rep. 2019, 13, 447–457. [Google Scholar] [CrossRef]
- Hussain, B.; Lucas, S.J.; Budak, H. CRISPR/Cas9 in plants: At play in the genome and at work for crop improvement. Brief. Funct. Genom. 2018, 17, 319–328. [Google Scholar] [CrossRef] [PubMed]
- Tian, S.; Jiang, L.; Cui, X.; Zhang, J.; Guo, S.; Li, M.; Zhang, H.; Ren, Y.; Gong, G.; Zong, M.; et al. Engineering herbicide-resistant watermelon variety through CRISPR/Cas9-mediated base-editing. Plant Cell Rep. 2018, 37, 1353–1356. [Google Scholar] [CrossRef] [PubMed]
- Zaidi, S.S.; Mahfouz, M.M.; Mansoor, S. CRISPR-Cpf1: A New Tool for Plant Genome Editing. Trends Plant Sci. 2017, 22, 550–553. [Google Scholar] [CrossRef] [PubMed]
- Kamthan, A.; Chaudhuri, A.; Kamthan, M.; Datta, A. Genetically modified (GM) crops: Milestones and new advances in crop improvement. Theor. Appl. Genet. 2016, 129, 1639–1655. [Google Scholar] [CrossRef]
- Soda, N.; Verma, L.; Giri, J. CRISPR-Cas9 based plant genome editing: Significance, opportunities and recent advances. Plant Physiol. Biochem. 2018, 131, 2–11. [Google Scholar] [CrossRef]
- Ni, Z.; Han, Q.; He, Y.-Q.; Huang, S. Application of genome-editing technology in crop improvement. Cereal Chem. 2018, 95, 35–48. [Google Scholar] [CrossRef]
- Weston, L.A.; Duke, S.O. Weed and Crop Allelopathy. Crit. Rev. Plant Sci. 2003, 22, 367–389. [Google Scholar] [CrossRef]
- Iqbal, J.; Cheema, Z.A.; Mushtaq, M.N. Allelopathic Crop Water Extracts Reduce the Herbicide Dose for Weed Control in Cotton (Gossypium hirsutum). Int. J. Agric. Biol. 2009, 11, 360–366. [Google Scholar]
- Fujii, Y. Screening and Future Exploitation of Allelopathic Plants as Alternative Herbicides with Special Reference to Hairy Vetch. J. Crop Prod. 2001, 4, 257–275. [Google Scholar] [CrossRef]
- Belz, R.G. Allelopathy in crop/weed interactions—An update. Pest Manag. Sci. 2007, 63, 308–326. [Google Scholar] [CrossRef] [PubMed]
- Shirgapure, K.H.; Ghosh, P. Allelopathy a Tool for Sustainable Weed Management. Arch. Curr. Res. Int. 2020, 20, 17–25. [Google Scholar] [CrossRef]
- Farooq, N.; Abbs, T.; Tanveer, A.; Jabran, K. Allelopathy for Weed Management. In Co-Evolution of Secondary Metabolites. Reference Series in Phytochemistry; Mérillon, J.M., Ramawat, K., Eds.; Springer: Cham, Switzerland, 2020; ISBN 978-3-319-96396-9. [Google Scholar] [CrossRef]
- Muhammad, Z.; Inayat, N.; Majeed, A.; Rehmanullak; Ali, H.; Ullah, K. Allelopathy and Agricultural Sustainability: Implication in weed management and crop protection—An overview. Eur. J. Ecol. 2019, 5, 54–61. [Google Scholar] [CrossRef]
- Bajwa, A.A.; Khan, M.J.; Bhowmik, P.C.; Walsh, M.; Chauhan, B.S. Sustainable Weed Management. In Innovations in Sustainable Agriculture; Farooq, M., Pisante, M., Eds.; Springer: Cham, Switzerland, 2019; ISBN 978-3-030-23168-2. [Google Scholar] [CrossRef]
- Kennedy, A.C. Soil Microorganisms for weed management. J. Crops Prod. 1999, 2, 123–138. [Google Scholar] [CrossRef]
- Kennedy, A.C.; Kremer, R.J. Microorganisms in Weed Control Strategies. J. Prod. Agric. 1996, 9, 480–485. [Google Scholar] [CrossRef]
- Kremer, R.J. Management of Weed Seed Banks with Microorganisms. Ecol. Appl. 1993, 3, 42–52. [Google Scholar] [CrossRef]
- Boyetchko, S.M. Principies of Biological Weed Control with Microorganisms. Hort. Sci. 1997, 32, 201–205. [Google Scholar]
- Kremer, R.J.; Caesar, A.J.; Souissi, T. Soilborne microorganisms of Euphorbia are potential biological control agents of the invasive weed leafy spurge. Appl. Soil. Ecol. 2006, 32, 27–37. [Google Scholar] [CrossRef]
- Thrall, P.H.; Oakeshott, J.G.; Fitt, G.; Southerton, S.; Burdon, J.J.; Sheppard, A.; Russell, R.J. Evolution in agriculture: The application of evolutionary approaches to the management of biotic interactions in agro-ecosystems. Evol. Appl. 2011, 4, 200–215. [Google Scholar] [CrossRef]
- Devine, M.D.; Shukla, A. Altered target sites as a mechanism of herbicide resistance. Crop Protect. 2000, 19, 881–889. [Google Scholar] [CrossRef]
- Sibony, M.; Rubin, B. Molecular basis for multiple resistance to acetolactate synthase- inhibitin herbicides and atrazine in Amarantus biotoides (prostrate pigweed). Planta 2003, 216, 1022–1027. [Google Scholar] [CrossRef] [PubMed]
- Li, J.; Smeda, R.J.; Nelson, K.A.; Dayan, F.E. Physiological basis for resistance to diphenyl ether herbicides in common waterhemp (Amaranthus rudis). Weed Sci. 2004, 52, 333–338. [Google Scholar] [CrossRef]
- Neve, P. Challenges for herbicide resistance evolution and management: 50 years after Harper. Weed Res. 2007, 47, 365–369. [Google Scholar] [CrossRef]
- Yu, Q.; Powles, S. Metabolism-Based Herbicide Resistance and Cross-Resistance in Crop Weeds: A Threat to Herbicide Sustainability and Global Crop Production. Plant Physiol. 2014, 166, 1106–1118. [Google Scholar] [CrossRef] [PubMed]
- Busi, R.; Vila-Aiub, N.; Beckie, H.J.; Gaines, T.A.; Goggin, D.E.; Kaundun, S.S.; Lacoste, M.; Neve, P.; Nissen, S.J.; Norsworthym, J.K.; et al. Herbicide-resistant weeds: From research and knowledge to future needs. Evol. Appl. 2013, 6, 1218–1221. [Google Scholar] [CrossRef] [PubMed]
- Busi, R.; Powles, S.B.; Beckie, H.J.; Renton, M. Rotations and mixtures of soil-applied herbicides delay resistance. Pest Manag. Sci. 2019, 76, 487–496. [Google Scholar] [CrossRef]
- Vila-Aiub, M.M.; Gundel, P.; Yu, Q.; Powles, S.B. Glyphosate resistance in Sorghum halepense and Lolium rigidum is reduced at suboptimal growing temperatures. Pest Manag. Sci. 2013, 69, 228–232. [Google Scholar] [CrossRef] [PubMed]
- Renton, M. Shifting focus from the population to the individual as a way forward in understanding, predicting and managing the complexities of evolution of resistance to pesticides. Pest Manag. Sci. 2013, 69, 171–175. [Google Scholar] [CrossRef]
- Alonso, A.; Sánchez, P.; Martínez, J.L. Environmental selection of antibiotic resistance genes. Environ. Microbiol. 2001, 3, 1–9. [Google Scholar] [CrossRef]
- Matzrafi, M.; Seiwert, B.; Reemtsma, T.; Rubin, B.; Peleg, Z. Climate change increases the risk of herbicide-resistant weeds due to enhanced detoxification. Planta 2016, 244, 1217–1227. [Google Scholar] [CrossRef]
- Norsworthy, J.K.; Ward, S.M.; Shaw, D.R.; Llewellyn, R.S.; Nichols, R.L.; Webster, T.M.; Bradley, K.W.; Frisvold, G.; Powles, S.B.; Burgos, N.R.; et al. Reducing the risks of herbicide resistance: Best management practices and recommendations. Weed Sci. 2012, 60, 31–62. [Google Scholar] [CrossRef]
- Perotti, V.E.; Larran, A.S.; Palmieri, V.E.; Martinatto, A.K.; Permingeat, H.R. Herbicide resistant weeds: A call to integrate conventional agricultural practices, molecular biology knowledge and new technologies. Plant Sci. 2020, 290, 110255. [Google Scholar] [CrossRef] [PubMed]
- Shaner, D.N. Lessons learned from the history of herbicide resistance. Weed Sci. 2014, 62, 427–431. [Google Scholar] [CrossRef]
- Rosset, J.D.; Gulden, R.H. Cultural weed management practices shorten the critical weed-free period for soybean grown in the Northern Great Plains. Weed Sci. 2020, 68, 79–91. [Google Scholar] [CrossRef]
- Duary, B. Weed prevention for quality seed production of crops. SATSA Mukhapatra Annu. Tech. Issue 2014, 18, 48–57. [Google Scholar]
- IAASTD. Agriculture at a Crossroads. International Assessment of Agricultural Knowledge, Science and Technology for Development; Synthsis Report; IAASTD: Washington, DC, USA, 2008. [Google Scholar]
- Gaba, S.; Fried, G.; Kazakou, E.; Chauvel, B.; Navas, M.-L. Agroecological weed control using a functional approach: A review of cropping systems diversity. Agric. Sustain. Dev. 2013, 34, 1–17. [Google Scholar] [CrossRef]
- Macías, F.A. Allelopathy in the research of natural herbicide models. ACS Symp. Ser. 1995, 582, 310–329. [Google Scholar] [CrossRef]
- Kelton, J.; Price, A.J.; Mosjidis, J. Allelophatic weed suppression through the use of cover crops. In Weed Control; Price, A.J., Ed.; Intech Press: Rijeka, Croatia, 2012; pp. 115–130. ISBN 978-953-51-0159-8/978-953-51-5215-6. [Google Scholar] [CrossRef]
- Isman, M.B. Botanical insecticides, deterrents and repellents in modern agriculture and an increasingly regulated world. Ann. Rev. Entomol. 2006, 51, 45–66. [Google Scholar] [CrossRef] [PubMed]
- Macías, F.A.; Molinillo, J.M.G.; Varela, R.M.; Galindo, J.C.G. Allelopathy, a natural alternative for week control. Pest Manag. Sci. 2007, 63, 327–384. [Google Scholar] [CrossRef] [PubMed]
- Tabaglio, V.; Gavazzi, C.; Schulz, M.; Marocco, A. Alternative weed control using the allelopathic effect of natural bezoxazinoids from rye mulch. Agron. Sustain. Dev. 2008, 28, 397–401. [Google Scholar] [CrossRef]
- Khalid, S.; Ahmand, T.; Shad, R.A. Use of allelopathy in agriculture. Asian J. Plant Sci. 2002, 1, 292–297. [Google Scholar] [CrossRef]
- Vyvyan, J.R. Allelochemicals as leads for new herbicides and agrochemicals. Thetrahedron 2002, 58, 1631–1646. [Google Scholar] [CrossRef]
- Soltys, D.; Krasuska, U.; Bogatek, R.; Gniazdowska, A. Allelochemicals as bioherbicides: Present and perspectives. In Herbicides: Current Research and Cases Studies in Use; Price, A., Kelton, J., Eds.; IntechOpen: London, UK, 2013; ISBN 978-953-51-1112-2. [Google Scholar] [CrossRef]
- Balah, M.A. Formulation of prospective plant oils derived micro-emulsions for herbicidal activity. J. Plant Prot. Path. 2013, 4, 911–926. [Google Scholar]
- Wang, Y.; Zhao, R.; Yu, L.; Zhang, Y.; He, Y.; Yao, J. Evaluation of cinnamon essential oil microemulsion and its vapor phase for controlling postharvest gray mold of pears (Pyrus pyrifolia). J. Sci. Food Agric. 2014, 30, 1000–1004. [Google Scholar] [CrossRef]
- Massoud, A.; Manal, M.A.; Osman, A.Z.; Magdy, I.E.M.; Abdel-Rheim, K.H. Eco-Friendly Nano-emulsion Formulation of Mentha piperita Against Stored Product Pest Sitophilus oryzae Magdy. Adv. Crop Sci. Tech. 2018, 6, 1000404. [Google Scholar] [CrossRef]
- Rakmai, J.; Cheirsilp, B.; Cid, A.; Torrado-Agrasar, A.; Mejuto, J.C.; Simal-Gandara, J. Encapsulation of Essential Oils by Cyclodextrins: Characterization and Evaluation. In Cyclodextrin: A Versatile Ingredient; Arora, P., Dhingra, N., Eds.; IntechOpen: London, UK, 2018; pp. 264–290. ISBN 978-1-78923-068-0/978-1-83881-379-6. [Google Scholar] [CrossRef]
- Rakmai, J.; Cheirsilp, B.; Mejuto, J.C.; Simal-Gándara, J.; Torrado-Agrasar, A. Antioxidant and antimicrobial properties of encapsulated guava leaf oil in hydroxypropyl-beta-cyclodextrin. Ind. Crops Prod. 2018, 111, 219–225. [Google Scholar] [CrossRef]
- Rakmai, J.; Cheirsilp, B.; Cid, A.; Torrado-Agrasar, A.; Simal-Gandara, J.; Mejuto, J.C. Encapsulation of yarrow essential oil in hydroxypropyl-beta-cyclodextrin: Physiochemical characterization and evaluation of bio-efficacies. CyTA J. Food. 2017, 15, 409–417. [Google Scholar] [CrossRef]
- Rakmai, J.; Cheirsilp, B.; Mejuto, J.C.; Torrado-Agrasar, A.; Simal-Gandara, J. Physico-chemical characterization and evaluation of bio-efficacies of black pepper essential oil encapsulated in hydroxypropyl-beta-cyclodextrin. Food Hydrocol. 2017, 65, 157–164. [Google Scholar] [CrossRef]
- Webber III, C.L.; Shrefler, J.W.; Brandenberger, L.P. Organic Weed Control. In Herbicides: Environmental Impact Studies and Management Approaches; Alvarez-Fernandez, R., Ed.; Intech Open: London, UK, 2012; pp. 185–189. ISBN 978-953-307-892-2/978-953-51-5181-4. [Google Scholar] [CrossRef]
- Singh, N.; Chaput, L.; Villoutreix, B.O. Virtual screening web servers: Designing chemical probes and drug candidates in the cyberspace. Brief. Bioinform. 2020, bbaa034. [Google Scholar] [CrossRef] [PubMed]
- Kraehmer, H.; Laber, B.; Rosinger, C.; Schulz, A. Herbicides as weed control agents: State of the art: I. Weed control research and safener technology: The path to modern agriculture. Plant Physiol. 2014, 166, 1119–1131. [Google Scholar] [CrossRef]
- Angeline, L.G.; Carpanese, G.; Cioni, P.L.; Morelli, I.; Macchia, M.; Flamini, G. Essential oils from Mediterranean Lamiaceae as weed germination inhibitors. J. Agric. Food Chem. 2003, 51, 6158–6164. [Google Scholar] [CrossRef] [PubMed]
- Tworkoski, T. Herbicide effects of essential oils. Weed Sci. 2002, 50, 425–431. [Google Scholar] [CrossRef]
- Dayan, F.E.; Cantrell, C.L.; Duke, S.O. Natural products in crop protection. Bioorg. Med. Chem. 2009, 17, 4022–4034, and references therein. [Google Scholar] [CrossRef]
- Santana, O.; Cabrera, R.; Giménez, C.; González-Coloma, A.; Sánchez-Vioque, R.; de los Mozos-Pascual, M.; Rodríguez-Conde, M.F.; Laserna-Ruiz, I.; Usano-Alemany, J.; Herraiz, D. Chemical and biological profiles of the essential oils from aromatic plants of agro industrial interest in Castilla-La Mancha (Spain). Grasas Aceites Int. J. Fats Oils 2012, 63, 214–222. [Google Scholar] [CrossRef]
- Mucciarelli, M.; Camusso, W.; Bertea, C.M.; Maffei, C.M. Effect of (+)-pulegone and other oil components of Mentha piperita on cucumber respiration. Phytochemistry 2001, 57, 91–98. [Google Scholar] [CrossRef]
- Verdeguer, M.; Catañeda, L.G.; Torre-Pagan, N.; Llorens-Molina, J.A.; Carrubba, A. Control of Erieron bonariensis with Thymbra captata, Mentha piperitam Eucaliptus camaldulensis and Santolina chamaecyparissus essential oils. Molecules 2020, 25, 562. [Google Scholar] [CrossRef] [PubMed]
- Vasilakoglou, I.; Dhima, K.; Wogiatzi, E.; Eleftherohorinos, I.; Lithourgidis, A. Herbicidal potential of essential oils of oregano or marjoram (Origanum ssp.) and Basil (Ocimun basilicum) on Echinochloa crus-galli (L.) P. Beauv. and Chenopodium album L. weeds. Allelopat. J. 2007, 20, 297–306. [Google Scholar]
- García-Rellán, D.; Verdeguer, M.; Salamone, A.; Blázquez, M.A.; Boira, H. Chemical composition, herbicidal and antifungal activity of Satureja cuneifolia essential oils from Spain. Nat. Prod. Commun. 2016, 11, 841–844. [Google Scholar] [CrossRef] [PubMed]
- Zhang, J.; An, M.; Wu, H.; Liu, L.L.; Stanton, R. Chemical composition of essential oils of four Eucalyptus species and their phytotoxicity on silverleaf nightshade (Solanum elaeagnifloium Cav.) in Australia. Plant Growth Reg. 2012, 68, 231–237. [Google Scholar] [CrossRef]
- Maaloul, A.; Verdeguer-Sancho, M.M.; Oddo, M.; Saadaoui, E.; Jebri, M.; Michalet, S.; Dijoux-Franca, M.G.; Mars, M.; Romdhane, M. Effect of Short and Long Term Irrigation with Treated Wastewater on Chemical Composition and Herbicidal Activity of Eucalyptus camaldulensis Dehn. Essential Oils. Not. Bot. Horti Agrobot. Cluj Napoca 2019, 47, 1374–1381. [Google Scholar] [CrossRef]
- Barbosa, J.C.A.; Filomen, C.A.; Teixeira, R.R. Chemical variability and biological activities of Eucalyptus spp. Essential oils. Molecules 2016, 21, 1671. [Google Scholar] [CrossRef]
- Ben Ghnaya, A.; Hamrouni, L.; Ahouses, I.; Hanana, M.; Romane, A. Study of allelopathic effects of Eucalyptus erythrocorys L. crude extracts against germination and seedling growth of weeds and wheat. Nat. Prod. Res. 2016, 30, 2058–2064. [Google Scholar] [CrossRef]
- Ismail, A.; Lamia, H.; Mohsen, H.; Bassem, J. Herbicidal potential of essential oils from three Mediterranean trees on different weeds. Curr. Bioact. Comp. 2013, 8, 3–12. [Google Scholar] [CrossRef]
- Verdeguer, M.; Blazquez, M.A.; Boira, H. Chemical composition and herbicidal activity of the essential oil from a Cistus ladanifer population from Spain. Nat. Prod. Res. 2012, 26, 1602–1609. [Google Scholar] [CrossRef]
- Davoren, M.J.; Schiestl, R.H. Glyphosate based herbicides and cancer risk: A post IARC decision review of potential mechanisms, policy, and avenues of research. Carcinogenesis 2018, 39, 1207–1215. [Google Scholar] [CrossRef]
- Sviridov, A.V.; Shushkova, T.V.; Ermakova, I.T.; Ivanova, E.V.; Epiktetov, D.O.; Leontievsky, A.A. Microbial degradation of glyphosate herbicides. Appl. Biochem. Microbiol. 2015, 51, 188–195. [Google Scholar] [CrossRef]
- Rodriguez, J.; Perez, B.; Nebot, C.; Falque, E.; Simal-Gandara, J. Food production link to underground waters quality in A Limia river basin. Agric. Ecosys. Environ. 2020, 297, 106969. [Google Scholar] [CrossRef]
- Singh, B.; Singh, K. Microbial degradation of herbicides. Crit. Rev. Microbiol. 2016, 42, 245–261. [Google Scholar] [CrossRef]
- Van Bruggen, A.H.C.; He, M.M.; Shin, K.; Mai, V.; Jeong, K.C.; Finckh, M.R.; Morris, J.G. Environmental and health effects of the herbicide glyphosate. Sci. Total Environ. 2018, 616, 255–268. [Google Scholar] [CrossRef] [PubMed]
- EFSA. Conclusion on the peer review of the pesticide risk assessment of the active substance glyphosate: Peer review of the pesticide risk assessment of the active substance glyphosate. EFSA J. 2015, 13, 4302. [Google Scholar] [CrossRef]
- Hanna, D.E.L.; Tomscha, S.A.; Dallaire, C.O.; Bennett, E.M. A review of riverine ecosystem service quantification: Research gaps and recommendations. J. Appl. Ecol. 2017, 55, 1299–1311. [Google Scholar] [CrossRef]
- Battin, T.J.; Besemer, K.; Bengtsson, M.M.; Romani, A.M.; Packmann, A.I. The ecology and biogeochemistry of stream biofilms. Nat. Rev. Microbiol. 2016, 14, 251–263. [Google Scholar] [CrossRef] [PubMed]
- Vera, M.S.; Lagomarsino, L.; Sylvester, M.; Perez, G.L.; Rodriguez, P.; Mugni, H.; Sinistro, R.; Ferraro, M.; Bonetto, C.; Zagarese, H.; et al. New evidences of Roundup® (glyphosate formulation) impact on the periphyton community and the water quality of freshwater ecosystems. Ecotoxicology 2010, 19, 710–721. [Google Scholar] [CrossRef] [PubMed]
- Lasier, P.J.; Urich, M.L.; Hassan, S.M.; Jacobs, W.N.; Bringolf, R.B.; Owens, K.M. Changing agricultural practices: Potential consequences to aquatic organisms. Environ. Monit. Assess. 2016, 188, 672. [Google Scholar] [CrossRef]
- Hove-Jensen, B.; Zechel, D.L.; Jochimsen, B. Utilization of glyphosate as phosphate source: Biochemistry and genetics of bacterial carbon–phosphorus lyase. Microbiol. Mol. Biol. Rev. 2014, 78, 176–197. [Google Scholar] [CrossRef]
- Krzysko-Lupicka, T.; Krecidlo, L.; Koszalkowska, M. The ability of selected bacteria to grow in the presence of glyphosate. Ecol. Chem. Eng. Chem. Inzynieria Ekol. A 2015, 22, 185–193. [Google Scholar] [CrossRef]
- Klátyik, S.; Takács, E.; Mörtl, M.; Földi, A.; Trábert, Z.; Ács, É.; Darvas, B.; Székács, A. Dissipation of the herbicide active ingredient glyphosate in natural water samples in the presence of biofilms. Int. J. Environ. Anal. Chem. 2017, 97, 901–921. [Google Scholar] [CrossRef]
- Grandcoin, A.; Piel, S.; Baures, E. Aminomethylphosphonic acid (AMPA) in natural waters: Its sources, behavior and environmental fate. Water Res. 2017, 117, 187–197. [Google Scholar] [CrossRef]
- Carles, L.; Gardon, H.; Joseph, L.; Sanchis, J.; Farre, M.; Artigas, J. Meta-analysis of glyphosate contamination in surface waters and dissipation by biofilms. Environ. Intern. 2019, 124, 284–293. [Google Scholar] [CrossRef]
- Battaglin, W.A.; Meyer, M.T.; Kuivila, K.M.; Dietze, J.E. Glyphosate and its degradation product AMPA occur frequently and widely in US soils, surface water, groundwater, and precipitation. J. Am. Water Resour. Assoc. 2014, 50, 275–290. [Google Scholar] [CrossRef]
- Struger, J.; Van Stempvoort, D.R.; Brown, S.J. Sources of aminomethylphosphonic acid (AMPA) in urban and rural catchments in Ontario, Canada: Glyphosate or phosphonates in wastewater? Environ. Pollut. 2015, 204, 289–297. [Google Scholar] [CrossRef]
- Heber, M.P.; Fugere, V.; Gonzalez, A. The overlooked impact of rising glyphosate use on phosphorus loading in agricultural watersheds. Front. Ecol. Environ. 2019, 17, 48–56. [Google Scholar] [CrossRef]
- Aparicio, V.C.; De Gerónimo, E.; Marino, D.; Primost, J.; Carriquiriborde, P.; Costa, J.L. Environmental fate of glyphosate and aminomethylphosphonic acid in surface waters and soil of agricultural basins. Chemosphere 2013, 93, 1866–1873. [Google Scholar] [CrossRef] [PubMed]
- Coupe, R.H.; Kalkhoff, S.J.; Capel, P.D.; Gregoire, C. Fate and transport of glyphosate and aminomethylphosphonic acid in surface waters of agricultural basins. Pest Manag. Sci. 2011, 68, 16–30. [Google Scholar] [CrossRef]
- Poiger, T.; Buerge, I.J.; Bächli, A.; Müler, M.D.; Balmer, M.E. Occurrence of the herbicide glyphosate and its metabolite AMPA in surface waters in Switzerland determined with on-line solid phase extraction LC-MS/MS. Environ. Sci. Poll. Res. 2016, 24, 1588–1596. [Google Scholar] [CrossRef] [PubMed]
- Fiorino, E.; Sehonova, P.; Plhalova, L.; Blahova, J.; Svobodova, Z.; Faggio, C. Effects of glyphosate on early life stages: Comparison between Cyprinus carpio and Danio rerio. Environ. Sci. Poll. Res. 2018, 25, 8542–8549. [Google Scholar] [CrossRef] [PubMed]
- Mercurio, P.; Flores, F.; Mueller, J.F.; Carter, S.; Negri, A.P. Glyphosate persistence in seawater. Mar. Poll. Bull. 2014, 85, 385–390. [Google Scholar] [CrossRef]
- Toss, V.; Leito, I.; Yurchenko, S.; Freiberg, R.; Kruve, A. Determination of glyphosate in surface water with high organic matter content. Environ. Sci. Poll. Res. 2017, 24, 7880–7888. [Google Scholar] [CrossRef]
- Pizarro, H.; Vera, M.S.; Vinocur, A.; Pérez, G.; Ferraro, G.; Menéndez-Helman, R.J.; Dos Santos, A.M. Glyphosate input modifies microbial community structure in clear and turbid freshwater systems. Environ. Sci. Pull. 2015, 23, 5143–5153. [Google Scholar] [CrossRef]
- Solomon, K.R. Estimated exposure to glyphosate in humans via environmental, occupational, and dietary pathways: An updated review of the scientific literature. Pest. Manag. Sci. 2019, 76, 2878–2885. [Google Scholar] [CrossRef] [PubMed]
- Bonansea, R.I.; Filippi, I.; Wunderlin, D.A.; Marino, D.J.G.; Ame, M.V. The fate of glyphosate and AMPA in a freshwater endorheic basin: An ecotoxicological risk assessment. Toxics 2018, 6, 3. [Google Scholar] [CrossRef] [PubMed]
- Annett, R.; Hamid, R.H.; Hontela, A. Impact of glyphosate and glyphosate-based herbicides on the freshwater environment. J. Appl. Toxicol. 2014, 34, 458–479. [Google Scholar] [CrossRef]
- Thompson, D.G.; Wojtaszek, B.F.; Staznik, B.; Chartrand, D.T.; Stephenson, G.R. Chemical and biomonitoring to assess potential acute effects of vision herbicide on native amphibian larvae in forest wetlands. Environ. Toxicol. Chem. 2004, 23, 843–849. [Google Scholar] [CrossRef]
- Matozzo, V.; Munari, M.; Masiero, L.; Finos, L.; Gabriella, M. Ecotoxicological hazard of a mixture of glyphosate and aminomethylphosphonic acid to the mussel Mytilus galloprovincialis (Lamarck 1819). Sci. Rep. 2019, 9, 14302. [Google Scholar] [CrossRef]
- Refatti, J.P.; de Avila, L.A.; Noldin, J.A.; Pacheco, I.; Ribeiro-Pestana, R. Leaching and residual activity of imidazolinone herbicides in lowland soils. Ciênc. Rural 2017, 47, 1–6. [Google Scholar] [CrossRef]
- Bermudez-Couso, A.; Arias-Estevez, M.; Novoa-Muñoz, J.C.; Lopez-Periago, E.; Soto-Gonzalez, B.; Simal-Gandara, J. Seasonal distributions of fungicides in soils and sediments of a small river basin partially devoted to vineyards. Water Res. 2007, 41, 4515–4525. [Google Scholar] [CrossRef] [PubMed]
- EPA. Appendix to Bioaccumulation Testing and Interpretation for the Purpose of Sediment Quality Assessment: Status and Needs: Chemicals-Specific Summary Tables; EPA-823-R-00-002; USEPA Office of Water: Washington, DC, USA, 2000.
- Stewardson, M.J.; Shang, W.; Kattel, G.R.; Webb, J.A. Chapter 22—Environmental Water and Integrated Catchment Management. In Water for the Environment from Policy and Science to Implementation and Management; Horne, A.C., Webb, J.A., Stewardson, M.J., Richter, B., Acremanm, M., Eds.; Academic Press: Cambridge, MA, USA, 2017; pp. 519–536. [Google Scholar] [CrossRef]
- Vymazal, J.; Brezinova, T. The use of constructed wetlands for removal of pesticides from agricultural runoff and drainage: A review. Environ. Int. 2015, 75, 11–20. [Google Scholar] [CrossRef]
- Akingbemi, B.T.; Sottas, C.M.; Loulova, A.I.; Klonefelter, G.; Hardy, M.P. Inhibition of testicular steroidogenesis by the xenoestrogen bisphenol A is associated with reduced pituitary luteinizing hormone secretion and decreased steroidogenic enzyme gene expression in rat Leydig cells. Endocrinology 2004, 145, 592–603. [Google Scholar] [CrossRef] [PubMed]
- Relyea, R.A. New effects of Roundup on amphibians: Predators reduce herbicide mortality; herbicides induce antipredator morphology. Ecol. Appl. 2012, 22, 634–647. [Google Scholar] [CrossRef]
- Dimitrov, B.D.; Gadeva, P.G.; Benova, D.K.; Bineva, M.V. Comparative genotoxicity of the herbicides Roundup, Stomp and Reglone in plant and mammalian test systems. Mutagenesis 2006, 21, 375–382. [Google Scholar] [CrossRef] [PubMed]
- Dallegrave, E.; Mantese, F.D.; Coelho, R.S.; Pereira, J.D.; Dalsenter, P.R.; Langeloh, A. The teratogenic potential of the herbicide Glyphosate-Roundup in Wistar rats. Toxicol. Lett. 2003, 142, 45–52. [Google Scholar] [CrossRef]
- Mladinic, M.; Berend, S.; Vrdoljak, A.L.; Kopjar, N.; Radic, B.; Zeljezic, D. Evaluation of genome damage and its relation to oxidative stress induced by glyphosate in human lymphocytes in vitro. Environ. Mol. Mutagen. 2009, 50, 800–807. [Google Scholar] [CrossRef]
- Wang, Y.; Ezemaduka, A.N.; Li, Z.; Chen, Z.; Song, C. Joint Toxicity of Arsenic, Copper and Glyphosate on Behavior, Reproduction and Heat Shock Protein Response in Caenorhabditis elegans. Bull. Environ. Cont. Toxicol. 2017, 98, 465–471. [Google Scholar] [CrossRef] [PubMed]
- Mladinic, M.; Perkovic, P.; Zeljezic, D. Characterization of chromatin instabilities induced by glyphosate, terbuthylazine and carbofuran using cytome FISH assay. Toxicol. Lett. 2009, 189, 130–137. [Google Scholar] [CrossRef] [PubMed]
- García-Pérez, J.A.; Alarcón-Gutierrez, E.; Perroni, Y.; Barois, I. Earthworm communities and soil properties in shaded coffee plantations with and without applications of glyphosate. Appl. Soil Ecol. 2014, 83, 230–237. [Google Scholar] [CrossRef]
- Mercado, S.A.S.; Quintero-Caleño, J.D. Cytotoxic evaluation of glyphosate, using Allium cepa L. as bioindicator. Sci. Total Environ. 2020, 700, 134452. [Google Scholar] [CrossRef] [PubMed]
- Da Cruz, C.; Carraschi, S.P.; Shoigiri, N.S.; da Silva, A.F.; Pitelli, R.A.; Fernandes-Machado, M.R. Sensitivity, ecotoxicity and histopathological effects on neotropical fish exposed to glyphosate alone and associated to surfactant. J. Environ. Chem. Ecotoxicol. 2016, 8, 25–33. [Google Scholar] [CrossRef]
- Beltrano, J.; Ruscitti, M.; Arago, C.; Ronco, M. Changes in the accumulation of shikimic acid in mycorrhized Capsicum annuum L. grown with application of glyphosate and phosphorus. Theor. Exp. Plant Physiol. 2013, 25, 2. [Google Scholar] [CrossRef]
- Qin, Y.; Li, X.; Xiang, Y.; Wu, D.; Bai, L.; Li, Z.; Liang, Y. Toxic effects of glyphosate on diploid and triploid fin cell lines from Misgurnus anguillicaudatus. Chemosphere 2017, 180, 356–364. [Google Scholar] [CrossRef]
- Batista, P.F.; Costa, A.C.; Megguer, C.A.; Lima, J.S.; Guimaraes, D.S.; Almeida, G.M.; Nascimento, K.J.T. Pouteria torta: A native species of the Brazilian Cerrado as a bioindicator of glyphosate action. Braz. J. Biol. 2018, 78, 2. [Google Scholar] [CrossRef] [PubMed]
- Mottier, A.; Kientz-Bouchart, V.; Serpentini, A.; Lebel, J.M.; Jha, A.N.; Costil, K. Effects of glyphosate-based herbicides on embryo-larval development and metamorphosis in the Pacific oyster, Crassostrea gigas. Aquat. Toxicol. 2013, 128–129, 67–78. [Google Scholar] [CrossRef] [PubMed]
- Mona, M.H.; Gaafar, R.M.; Helal, I.B.; Omran, N.E.; Slama, W.M. Evaluation of cytotoxic effects of atrazine and glyphosate herbicides on Biomphalaria glabrata snails. J. Basic Appl. Zool. 2013, 66, 68–75. [Google Scholar] [CrossRef]
- EPA. Glyphosate. Draft Human Health Risk Assessment in Support of Registration Review; D417700. EPA-HQ-OPP-2009-0361-0068; Office of Pesticide Programs: Washington, DC, USA, 2017.
- EPA. Revised Glyphosate Issue Paper: Evaluation of Carcinogenic Potential. 2017. Available online: https://cfpub.epa.gov/si/si_public_file_download.cfm?p_download_id=534487 (accessed on 14 June 2020).
- Guyton, K.Z.; Loomis, D.; Grosse, Y.; Ghissassi, F.E.; Benbrahim-Tallaa, L.; Guha, N.; Scoccianti, C.; Mattock, H.; Straif, K. Carcinogenicity of tetrachlorvinphos, parathion, malathion, diazinon, and glyphosate. Lancet Oncol. 2015, 16, 490–491. [Google Scholar] [CrossRef]
- Karunanayake, C.P.; Spinelli, J.J.; McLaughlin, J.R.; Dosman, J.A.; Pahwa, P.; McDuffie, H.H. Hodgkin lymphoma and pesticides exposure in men: A Canadian case-control study. J. Agromed. 2012, 17, 30–39. [Google Scholar] [CrossRef] [PubMed]
- Schinasi, L.; Leon, M.E. Non-Hodgkin lymphoma and occupational exposure to agricultural pesticide chemical groups and active ingredients: A systematic review and meta-analysis. Int. J. Environ. Res. Public Health 2014, 11, 4449–4527. [Google Scholar] [CrossRef] [PubMed]
- De Roos, A.J.; Blair, A.; Rusiecki, J.; Hoppin, J.A.; Svec, M.; Dosemeci, M.; Sandler, D.P.; Alavanja, M.C. Cancer incidence among glyphosate-exposed pesticide applicators in the Agricultural Health Study cohort. Environ. Health Perspect. 2005, 113, 49–54. [Google Scholar] [CrossRef]
- De Roos, A.J.; Blair, A.; Rusiecki, J.; Hoppin, J.A.; Svec, M.; Dosemeci, M.; Sandler, D.P.; Alavanja, M.C. Glyphosate Results Revisited. De Roos et al. Respond. Environ. Health Perspect. 2005, 113, A366–A367. [Google Scholar] [CrossRef][Green Version]
- Andreotti, G.; Koutros, S.; Hofmann, J.N.; Sandler, D.P.; Lubin, J.H.; Lynch, C.F.; Lerro, C.C.; De Roos, A.J.; Parks, C.G.; Alavanja, M.C.; et al. Glyphosate use and cancer incidence in the agricultural health study. J. Natl. Cancer Inst. 2018, 110, 509–516. [Google Scholar] [CrossRef] [PubMed]
- Marc, J.; Mulner-Lorillon, O.; Boulben, S.; Hureau, D.; Durand, G.; Bellé, R. Pesticide Roundup provokes cell division dysfunction at the level of CDK1/cyclin B activation. Chem. Res. Toxicol. 2002, 15, 326–331. [Google Scholar] [CrossRef]
- Marc, J.; Mulner-Lorillon, O.; Bellé, R. Glyphosate-based pesticides affect cell cycle regulation. Biol. Cell. 2004, 96, 245–249. [Google Scholar] [CrossRef]
- Levine, S.L.; Han, Z.; Farmer, D.R.; Padopoulos, V. Disrupting mitochondrial function with surfactants inhibits MA-10 Leydig cell steroidogenesis. Cell Biol. Toxicol. 2007, 23, 385–400. [Google Scholar] [CrossRef] [PubMed]
- Mesnage, R.; Bernay, B.; Seralini, G.E. Ethoxylated adjuvants of glyphosate-based herbicides are active principles of human cell toxicity. Toxicology 2013, 313, 122–128. [Google Scholar] [CrossRef] [PubMed]
- Richard, S.; Moslemi, S.; Sipahutar, H.; Benachour, N.; Seralini, G.E. Differential effects of glyphosate and roundup on human placental cells and aromatase. Environ. Health Perspect. 2005, 113, 716–720. [Google Scholar] [CrossRef] [PubMed]
- Guilherme, S.; Gaivao, I.; Santos, M.A.; Pacheco, M. European eel (Anguilla anguilla) genotoxic and pro-oxidant responses following short-term exposure to Roundup—A glyphosate-based herbicide. Mutagenesis 2010, 25, 523–530. [Google Scholar] [CrossRef]
- Benbrook, C.M. How did the US EPA and IARC reach diametrically opposed conclusions on the genotoxicity of glyphosate-based herbicides? Environ. Sci. Eur. 2019, 31, 2. [Google Scholar] [CrossRef]
- Martens, M.A.; Bleeke, M.S.; Leopold, V.A.; Farmer, D.R. Toxicology and human health risk assessment of polyethoxylated tallow amine surfactant used in glyphosate formulations. Regul. Toxicol. Pharmacol. 2019, 107, 104347. [Google Scholar] [CrossRef]
- IARC. Glyphosate Monograph; International Agency for Research on Cancer, World Health Organization: Geneva, Switzerland, 2015; Volume 112. [Google Scholar]
- Leon, M.E.; Schinasi, L.H.; Lebailly, P.; Freeman, L.E.B.; Nordby, K.C.; Ferro, G.; Monnereau, A.; Brouwer, M.; Tual, S.; Baldi, I.; et al. Pesticide use and risk of non-Hodgkin lymphoid malignancies in agricultural cohorts from France, Norway and the USA: A pooled analysis from the AGRICOH consortium. Int. J. Epidemiol. 2019, 48, 1519–1535. [Google Scholar] [CrossRef] [PubMed]
- Zhang, L.; Rana, I.; Taioli, E.; Shaffer, R.M.; Sheppard, L. Exposure to Glyphosate-Based Herbicides and Risk for Non-Hodgkin Lymphoma: A Meta-Analysis and Supporting Evidence. Mutat. Res. 2019, 781, 186–206. [Google Scholar] [CrossRef]
- Amrhein, V.; Greenland, S.; McShane, B. Scientists rise up against statistical significance. Nature 2019, 567, 305–307. [Google Scholar] [CrossRef] [PubMed]
- EPA. Email from Vincent Cogliano to Norman Birchfield, both of EPA’s Office of Research and Development (ORD), 12/7/15. 2015. Available online: https://assets.documentcloud.org/documents/4641115/Cogliano-Memo.pdf (accessed on 15 June 2020).
- Romano, R.M.; Romano, M.A.; Bernardi, M.M.; Furtado, P.V.; Oliveira, C.A. Prepubertal exposure to commercial formulation of the herbicide glyphosate alters testosterone levels and testicular morphology. Arch. Toxicol. 2010, 84, 309–317. [Google Scholar] [CrossRef]
- Gasnier, C.; Dumont, C.; Benachour, N.; Clair, E.; Chagnon, M.C.; Seralini, G.E. Glyphosate-based herbicides are toxic and endocrine disruptors in human cell lines. Toxicology 2009, 262, 184–191. [Google Scholar] [CrossRef] [PubMed]
- Walsh, L.P.; McCormick, C.; Stocco, D.M. Roundup inhibits steroidogenesis by disrupting steroidogenic acute regulatory (StAR) protein expression. Environ. Health Perspect. 2000, 108, 769–776. [Google Scholar] [CrossRef]
- Thongprakaisang, S.; Thiantanawat, A.; Rangkadilok, N.; Suriyo, T.; Satayavivad, J. Glyphosate induces human breast cancer cells growth via oestrogen receptors. Food Chem. Toxicol. 2013, 59, 129–136. [Google Scholar] [CrossRef] [PubMed]
- Sritana, N.; Suriyo, T.; Kanitwithayanun, J.; Songvasin, B.H.; Thiantanawat, A.; Satayavivad, J. Glyphosate induces growth of oestrogen receptor alpha positive cholangiocarcinoma cells via non-genomic oestrogen receptor/ERK1/2 signaling pathway. Food Chem. Toxicol. 2018, 118, 595–607. [Google Scholar] [CrossRef]
- Stur, E.; Aristizabal-Pachon, A.F.; Peronni, K.C.; Agostini, L.P.; Waigel, S.; Chariker, J.; Miller, D.M.; Thomas, S.D.; Rezzoug, F.; Detogni, R.S.; et al. Glyphosate-based Herbicides at Low Doses Affect Canonical Pathways in Estrogen Positive and Negative Breast Cancer Cell Lines. PLoS ONE 2019, 14, e0219610. [Google Scholar] [CrossRef]
- Armiliato, N.; Ammar, D.; Nezzi, L.; Straliotto, M.; Muller, Y.M.R.; Nazari, E.M. Changes in ultrastructure and expression of steroidogenic factor-1 in ovaries of zebrafish Danio rerio exposed to glyphosate. J. Toxicol. Environ. Health A 2014, 77, 405–414. [Google Scholar] [CrossRef]
- Xie, L.; Thrippleton, K.; Irwin, M.A.; Siemering, G.S.; Mekebri, A.; Crane, D.; Berry, K.; Schlenk, D. Evaluation of estrogenic activities of aquatic herbicides and surfactants using a rainbow trout vitellogenin assay. Toxicol. Sci. 2005, 87, 391–398. [Google Scholar] [CrossRef]
- Gandhi, J.S.; Cecala, K.K. Interactive effects of temperature and glyphosate on the behavior of Blue Ridge two-lined salamanders (Eurycea wilderae). Environ. Toxicol. Chem. 2016, 35, 2297–2303. [Google Scholar] [CrossRef]
- Guilherme, S.; Gaivao, I.; Santos, M.A.; Pacheco, M. DNA and chromosomal damage induced in fish (Anguilla L.) by aminomethylphosphonic acid (AMPA) –the major environmental breakdown product of glyphosate. Environ. Sci. Pollut. Res. Int. 2014, 21, 8730–8739. [Google Scholar] [CrossRef] [PubMed]
- Mañas, F.; Peralta, L.; Raviolo, J.; García-Ovando, H.; Weyers, A.; Ugnia, L.; Gonzalez-Cid, M.; Larripa, I.; Gorla, N. Genotoxicity of AMPA, the environmental metabolite of glyphosate, assessed by the Comet assay and cytogenetic tests. Ecotoxicol. Environ. Saf. 2009, 72, 834–837. [Google Scholar] [CrossRef] [PubMed]
- FoEE. Human contamination by glyphosate. Friends of the Earth Europe. 2013. Available online: https://www.foeeurope.org/sites/default/files/press_releases/foee_4_human_contamination_glyphosate.pdf (accessed on 15 June 2020).
- CFS—Center for Food Safety. Glyphosate and Cancer Risk: Frequently Asked Questions; Fact Sheet: Washington, DC, USA, May 2015.
- Defarge, N.; Takács, E.; Lozano, V.L.; Mesnage, R.; Spiroux de Vendômois, J.; Séralini, G.-E.; Székács, A. Co-formulants in glyphosate-based herbicides disrupt aromatase activity in human cells below toxic levels. Inter. J. Environ. Res. Public Health 2016, 13, 264. [Google Scholar] [CrossRef]
- Acquavella, J.F.; Alexander, B.H.; Mandel, J.S.; Gustin, C.; Baker, B.; Chapman, P.; Bleeke, M. Glyphosate biomonitoring for farmers and their families: Results from the Farm Family Exposure Study. Environ. Health Perspect. 2004, 112, 321–326. [Google Scholar] [CrossRef]
- Mandel, J.S.; Alexander, B.H.; Barker, B.A.; Acquavella, J.F.; Chapman, P.; Honeycutt, R. Biomonitoring for fam families in the farm family exposure study. Scand. J. Work. Environ. Health 2005, 31, 98–104. [Google Scholar]
- Baker, B.A.; Alexander, B.H.; Mandel, J.S.; Acquavella, J.F.; Honeycutt, R.; Chapman, P. Farm Family Exposure Study: Methods and Recruitment Practices for a Biomonitoring Study of Pesticide Exposure. J. Expo. Anal. Environ. Epidemiol. 2005, 15, 491–499. [Google Scholar] [CrossRef]
- McGuire, M.K.; McGuire, M.A.; Price, W.J.; Shafii, B.; Carrothers, J.M.; Lackey, K.A.; Goldstein, D.A.; Jensen, P.K.; Vicini, J.L. Glyphosate and aminomethylphosphonic acid are not detectable in human milk. Am. J. Clin. Nutr. 2016, 103, 1285–1290. [Google Scholar] [CrossRef]
- Niemann, L.; Sieke, C.; Pfeil, R.; Solecki, R. A critical review of glyphosate findings in human urine samples and comparison with the exposure of operators and consumers. J. Verbr. Lebensm. 2015, 10, 3–12. [Google Scholar] [CrossRef]
- Stephenson, C.L.; Harris, C.A. An assessment of dietary exposure to glyphosate using refined deterministic and probabilistic methods. Food Chem. Toxicol. 2016, 95, 28–41. [Google Scholar] [CrossRef]
- Stephenson, C.L.; Harris, C.A.; Clarke, R. An Assessment of the Acute Dietary Exposure to Glyphosate Using Deterministic and Probabilistic Methods. Food Addit. Contam. A 2018, 35, 258–272. [Google Scholar] [CrossRef]
- EPA. Available Information on Assessing Exposure from Pesticides in Food: A User’s Guide; EPA-HQ-OPP-2007-0780-0001; Office of Pesticide Programs: Washington, DC, USA, 2000.
- Curwin, B.D.; Hein, M.J.; Sanderson, W.T.; Striley, C.; Heederik, D.; Kromhout, H.; Reynolds, S.J.; Alavanja, M.C. Urinary pesticide concentrations among children, mothers and fathers living in farm and non-farm households in Iowa. Ann. Occup. Hyg. 2007, 51, 53–65. [Google Scholar] [CrossRef]
- Curwin, B.D.; Hein, M.J.; Sanderson, W.T.; Striley, C.; Heederik, D.; Kromhout, H.; Reynolds, S.J.; Alavanja, M.C. Pesticide dose estimates for children of Iowa farmers and non-farmers. Environ. Res. 2007, 105, 307–315. [Google Scholar] [CrossRef] [PubMed]
- Aris, A.; Leblanc, S. Maternal and fetal exposure to pesticides associated to genetically modified foods in Eastern Townships of Quebec, Canada. Reprod. Toxicol. 2011, 31, 528–533. [Google Scholar] [CrossRef]
- EPA. Glyphosate Human Health Risk Assessment for Proposed Use on Indian Mulberry and Amend Use on Pea; EPA: Washington, DC, USA, 2006; p. 21.
- Antoniou, M.; Habib, M.; Howard, C.V.; Jennings, R.C.; Leifert, C.; Fagan, J. Teratogenic effects of glyphosate-based herbicides: Divergence of regulatory decisions from scientific evidence. J. Environ. Anal. Toxicol. 2012, S4, 006. [Google Scholar] [CrossRef]
- Sheppard, L.; Shaffer, R.M. Re: Glyphosate Use and Cancer Incidence in the Agricultural Health Study. J. Natl. Cancer Inst. 2019, 111, 214–215. [Google Scholar] [CrossRef]
- Connolly, A.; Coggins, M.A.; Koch, H.M. Human biomonitoring of glyphosate exposures: State-of-the-art and future research challenges. Toxics 2020, 8, 60. [Google Scholar] [CrossRef] [PubMed]
- National Academies Press. National Academies of Sciences, Engineering, and Medicine. Genetically Engineered Crops: Experiences and Prospects; The National Academies Press: Cambridge, MA, USA, 2016. [Google Scholar] [CrossRef]
- Benbrook, C.M. Enhancements needed in GE crop and food regulation in the U.S. Front. Public Health 2016, 4, 59. [Google Scholar] [CrossRef] [PubMed]
- Benachour, N.; Seralini, G.E. Glyphosate formulations induce apoptosis and necrosis in human umbilical, embryonic, and placental cells. Chem. Res. Toxicol. 2009, 22, 97–105. [Google Scholar] [CrossRef]
- Benbrook, C.M. Why regulators lost track and control of pesticide risks: Lessons from the case of glyphosate-based herbicides and genetically engineered-crop technology. Curr. Environ. Health Rep. 2018, 5, 387–395. [Google Scholar] [CrossRef] [PubMed]
- Sims, B.; Corsi, S.; Gbehounou, G.; Kienzle, J.; Taguchi, M.; Friedrich, T. Sustainable weed management for conservation agriculture: Options for smallholder farmers. Agriculture 2018, 8, 118. [Google Scholar] [CrossRef]
- Beckie, H.J.; Flower, K.C.; Ashworth, M.B. Farming without Glyphosate? Plants 2020, 9, 96. [Google Scholar] [CrossRef]
- FAOSTAT. 2019. Available online: http://www.fao.org/faostat/en/#data (accessed on 15 June 2020).
- Megacity Commission of the International Geographical Union. 2006. Available online: http://www.megacities.uni-koeln.de/documentation/ (accessed on 15 June 2020).
- Powles, S.B.; Preston, C. Evolved glyphosate resistance in plants: Biochemical and genetic basis of resistance. Weed Technol. 2006, 20, 282–289. [Google Scholar] [CrossRef]
- Smith, T.M.; Reynolds, R.W. A global merged land air and surface temperature reconstruction based on historical observations (1880–1997). J. Clim. 2005, 18, 2021–2036. [Google Scholar] [CrossRef]
- Hansen, S.O.; Hattendorf, J.; Wittenberg, R.; Reznik, S.Y.; Nielsen, C.; Ravn, H.P.; Nentwig, W. Phytophagous insects of giant hogweed Heracleum mantegazzianum (Apiaceae) in invaded areas of Europe and in its native area of the Caucasus. Eur. J. Entomol. 2006, 103, 387–396. [Google Scholar] [CrossRef]

| Weed | Location |
|---|---|
| Amaranthus palmeri | United States |
| Amaranthus tuberculatus | United States |
| Ambrosia artemissifolia | United States |
| Ambrosia trifida | United States |
| Conyza bonariensis | United States, Brazil, Argentina |
| Conyza canadensis | United States |
| Euphorbia heterophylla | Brazil |
| Lolium perenne | United States, Brazil, Australia |
| Sorghum halepense | United States, Argentina |
| Common Name | Glyphosate | AMPA |
|---|---|---|
| Chemical name | N-phosphonomethylglycine | Aminomethylphosphonic acid |
| CAS number | 1071-83-6 | 1066-51-9 |
| Molecular formula | C3H8NO5P | CH6NO3P |
| Exact mass | 169.01 g mol−1 | 111.01 g mol−1 |
| Vapour pressure (25 °C) | 1.31 × 10−5 Pa | 8.44 × 10−4 Pa |
| Henry’s law volatility constant (25 °C) | 2.1 × 10−7 Pa m3 mol−1 | 2.6 × 10−3 Pa m3 mol−1 |
| Solubility in water (20 °C) | 10.5 g L−1 | 1467 g L−1 |
| Partition coefficient (log Pow) (20 °C) | −3.2 | −1.6 |
| Solid/water distribution coefficient (Kd) | 5.3–900 L kg−1 | 15–1554 L kg−1 |
| Soil organic carbon normalized adsorption coefficient (Koc) | 884–60,000 L kg−1 | 1160–24,800 L kg−1 |
| Half-life (DT50) in soil | 1–197 days | 23–958 days |
| DT90 in soil | 40–280 days | Unknown |
| Herbicide Formulation | Test-Organism | Endpoint | Results | Tested Concentrations | Ref |
|---|---|---|---|---|---|
| Glyphosate | Geotrichum candidum, Lactococcus lactis subsp. Cremoris; Lactobacillus delbrueckii subsp. bulgaricus | Microbial growth assay | Inhibition of microbial growth by the commercial product Roundup; microbiocidal effect at concentrations below those recommended for agricultural use of the commercial product Roundup; no significant toxicity of the active ingredient (glyphosate) on any of the microorganisms | 0.1, 1, 10, 100, 1000, 10,000 ppm | [148] |
| Glyphosate | Tadpoles of wood frog (Rana sylvatica or Sylvaticus lithobates), leopard frog (Rana pipiens or L.) and American toad (Bufo americanus or Anaxyrus americanus) | Acute toxicity assay | Significant induction of morphological alterations in tadpoles of the three species; exposure to glyphosate altered tadpole tail size in wood and leopard frogs at all tested concentrations | 0, 1, 2, or 3 mg acid equivalents [a.e.]/L of Roundup Original MAX | [149] |
| Glyphosate | Roots from the smooth hawksbeard (Crepis capillaris L.); polychromatic erythrocytes of the bone marrow of C57BL rat | Chromosome aberration assay; micronucleus assay | No induction of genotoxic and/or mutagenic effects on any of the species | Crepis capillaris: 0.05, 0.1, 0.5, 1%; erythrocytes: doses inferior to half the LD50 (1080 mg/Kg) | [150] |
| Glyphosate | Female Wilstar rats | Acute toxicity assay; teratogenicity assay | High mortality index of females treated with the highest concentration of the commercial product Roundup; increased dose–response of foetal skeletal alterations | 500, 750, 1000 mg kg−1 | [151] |
| Glyphosate | Human lymphocytes | Comet assay; FISH; lipid peroxidation assay–TBARS | Significantly increased DNA migration at 580 μg mL−1; significantly increased comet tail intensity at 92.8 μg mL−1; increased DNA damage in the presence of S9; increased frequency of micronuclei, nuclear buds and nucleoplasmic bridges, without S9; significantly increased nuclear instability at the highest concentration tested with S9; significantly increased dose–response of TBARS levels | 0.5, 2.91, 3.5, 92.8, 580 μg mL−1 | [152] |
| Glyphosate; 2,4-D | Algae and 25 species of aquatic animals | Acute toxicity assay | No reduction in periphyton biomass by either herbicide; no strong impact of 2,4-D on the aquatic community; strong impact of glyphosate on the aquatic community (significantly decreased species richness) | 0, 1, 2, or 3 mg acid equivalents [a.e.]/L of Roundup© Original MAX | [149] |
| Glyphosate/As As/Cu | Soil nematode Caenorhabditis elegans | Heat Shock Protein Response, Reproduction and Locomotory behaviour (head thrashing) | Responses in locomotory behaviour (head thrashing), reproduction, and heat shock protein expression had been observed. | Sublethal 24-h exposures of 1/1000, 1/100 and 1/10 of the LC50 | [153] |
| Glyphosate; Terbuthylazine | Human lymphocytes | Cytome FISH | Glyphosate concentrations above 3.5 μg mL−1 increased the frequencies of micronuclei, nuclear buds and nucleoplasmic bridges in treated cells without inducing centromeric signals; terbuthylazine at concentrations above 0.008 μg mL−1 increased the frequency of micronuclei hybridized with centromeric probe and of nuclear buds with centromeric signals in the presence of S9 | 0.5, 2.91, 3.50, 92.8, 580 μg mL−1 (glyphosate); 0.00058, 0.0008, 0.008, 25, 156,5 μg mL−1 (terbuthylazine) | [154] |
| Glyphosate | Earthworms Pontoscolex corethrurus Amynthas corticis | Toxicity assay | Coffee plantations with regular applications of Glyphosate over the preceding 22 years. Control plantations had received no herbicides over the preceding 7 years. The earthworm species found in plots with no treatment were Pontoscolex corethrurus (99%) and Amynthas corticis (1%), while A. corticis was absent in plots that had been treated. | Manufacturer’s recommendations | [155] |
| Glyphosate | Allium cepa | Cytotoxic evaluation Cytogenotoxic effects | Exposure to glyphosate of A. cepa meristematic cells induces diverse types of chromosomal anomalies in demonstrates that it has a highly cytogenotoxic effect for any of the concentrations used. | 5, 10, 15, 25, 30 mg L−1 | [156] |
| Glyphosate, alkylphenolpolyglycol ether | Neotropical fish Piaractus mesopotamicus, Phallocerus caudimaculatus, Hyphessobrycon eques, Brachydanio rerio | Toxicity assay, Histopathological effects | The histopathological effects caused by glyphosate exposure on gills, liver, and kidneys are reversible, except for the liver necrosis on P. caudimaculatus. H. eques, P. caudimaculatus, and P. mesopotamicus present great potential to be used as standard organisms for herbicides monitoring and the use of glyphosate without surfactant addition is enough to cause histological alterations on H. eques and P. caudimaculatus | Manufacturer’s recommendations Rodeo© Rodeo©+0.5%Aterbane©BR Rodeo©+1.0%Aterbane©BR | [157] |
| Glyphosate/P | Capsicum annuum Inoculated and non-inoculated with Glomus mosseae or Glomus intraradices | Accumulation of shikimic acid in mycorrhized Capsicum annuum L. | Remobilization of glyphosate residues in the soil by the addition of phosphate should be considered a serious problem for crops in treated soils. The mycorrhization increases the pepper plant’s tolerance to high glyphosate concentration in the substrate, and may allow support to this stress condition | Manufacturer’s recommendations RoundUp© | [158] |
| Glyphosate | Misgurnus anguillicaudatus | Toxic assay | Glyphosate represent a potential risk to loach through inhibiting proliferation of diploid and triploid cell lines and induces micronuclei and apoptosis. | 80, 240, 400, 560, 720, 880, 1040 mg/L | [159] |
| Glyphosate | Pouteria torta | Changes in the biological performance | In response to glyphosate, P. torta exhibited reductions in photosynthesis and chloroplastid pigment content, as well as accumulation of shikimic acid and the occurrence of chlorosis and necrosis. These changes demonstrate use as a bioindicator of this herbicide. | 25, 50, 100, 200, 400, 800, 1200 g a.e. ha−1 | [160] |
| Glyphosate | Crassostrea gigas | Embrio-larval development and metamorphosis | Embryo-larval development of C. gigas was more sensitive to glyphosate-based herbicides compared to various endpoints studied in regulatory model organisms, and embryos and D-shaped larvae were more sensitive compared to pediveliger larvae. | 0.1 to 100,000 μg L−1 RoundUp© | [161] |
| Atrazine, Glyphosate | Biophalaria glabrata | Cytotoxic assay | Results indicated that those atrazine and glyphosate herbicides may be considered to be highly genotoxicant agents | - | [162] |
Publisher’s Note: MDPI stays neutral with regard to jurisdictional claims in published maps and institutional affiliations. |
© 2021 by the authors. Licensee MDPI, Basel, Switzerland. This article is an open access article distributed under the terms and conditions of the Creative Commons Attribution (CC BY) license (http://creativecommons.org/licenses/by/4.0/).
Share and Cite
Sang, Y.; Mejuto, J.-C.; Xiao, J.; Simal-Gandara, J. Assessment of Glyphosate Impact on the Agrofood Ecosystem. Plants 2021, 10, 405. https://doi.org/10.3390/plants10020405
Sang Y, Mejuto J-C, Xiao J, Simal-Gandara J. Assessment of Glyphosate Impact on the Agrofood Ecosystem. Plants. 2021; 10(2):405. https://doi.org/10.3390/plants10020405
Chicago/Turabian StyleSang, Yaxin, Juan-Carlos Mejuto, Jianbo Xiao, and Jesus Simal-Gandara. 2021. "Assessment of Glyphosate Impact on the Agrofood Ecosystem" Plants 10, no. 2: 405. https://doi.org/10.3390/plants10020405
APA StyleSang, Y., Mejuto, J.-C., Xiao, J., & Simal-Gandara, J. (2021). Assessment of Glyphosate Impact on the Agrofood Ecosystem. Plants, 10(2), 405. https://doi.org/10.3390/plants10020405

