Physico-Chemical Characterization and Biological Activities of a Digestate and a More Stabilized Digestate-Derived Compost from Agro-Waste
Abstract
1. Introduction
2. Results and Discussion
2.1. Analysis of Digestate and Digestate-Derived Compost
2.2. Phytotoxicity Assay
2.3. Antifungal Activity
2.4. Genotoxic Effect of DdC on Broad Bean Plants
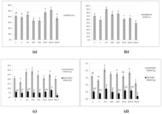
2.5. Effect of Compost on the Suppressive Activity Against F. solani and Eco-Physiological Parameters in Tomato Plants
3. Materials and Methods
3.1. Substrate and Procedures
3.2. Sample Preparation
3.2.1. Digestate
3.2.2. Digestate-Derived Compost
3.3. Physico-Chemical Characterization of Digestate and Compost
3.4. Phytotoxicity Test
3.5. In Vitro Antifungal Activity
3.5.1. Fungal Isolates
3.5.2. Fungicidal Assay
3.6. Genotoxicity Test of DdC in Broad Bean Plants
- -
- 0%: no compost (control);
- -
- 5%: 950 g of CGS + 50 g of compost;
- -
- 10%: 900 g of CGS + 100 g of compost;
- -
- 20%: 800 g of CGS + 200 g of compost.
3.7. Effect of DdC on Ecophysiological Parameters and Suppressive Activity Against F. solani in Tomato Plants
3.7.1. Materials and Fungal Isolates
3.7.2. Experimental Setup
3.8. Statistical Analysis
4. Conclusions
Author Contributions
Funding
Data Availability Statement
Acknowledgments
Conflicts of Interest
References
- Ellen MacArthur Foundation. Towards the Circular Economy. Economic and Business Rationale for an Accelerated Transition; Ellen MacArthur Foundation: Cowes, UK, 2013. [Google Scholar]
- Zaccardelli, M.; Roscigno, G.; Pane, C.; Celano, G.; Di Matteo, M.; Mainente, M.; Vuotto, A.; Mencherini, T.; Esposito, T.; Vitti, A.; et al. Essential oils and quality composts sourced by recycling vegetable residues from the aromatic plant supply chain. Indust. Crop Prod. 2021, 162, 113255. [Google Scholar] [CrossRef]
- Brodt, S.; Six, J.; Feenstra, G.; Ingels, C.; Campbell, D. Sustainable Agriculture. Nat. Educ. Know. 2011, 3, 1. [Google Scholar]
- Sofo, A.; Elshafie, H.S.; Camele, I. Structural and functional organization of the root system: A comparative study on five plant species. Plants 2020, 9, 1338. [Google Scholar] [CrossRef] [PubMed]
- Diacono, M.; Montemurro, F. Long-term effects of organic amendments on soil fertility. A review. Agron. Sustain. Dev. 2010, 30, 401–422. [Google Scholar] [CrossRef]
- Rodríguez-Eugenio, N.; McLaughlin, M.; Pennock, D. Soil Pollution: A Hidden Reality; FAO: Rome, Italy, 2018; p. 142. [Google Scholar]
- Monnet, F. An Introduction to Anaerobic Digestion of Organic Wastes; Final Report; Remade Scotland: Crieff, UK, 2003; Available online: https://www.cti2000.it/Bionett/BioG-2003-002%20IntroAnaerobicDigestion.pdf (accessed on 3 December 2020).
- Nkoa, R. Agricultural benefits and environmental risks of soil fertilization with anaerobic digestates: A review. Agron. Sustain. Dev. 2014, 34, 473–492. [Google Scholar] [CrossRef]
- Bong, C.P.C.; Lim, L.Y.; Lee, C.T.; Klemeš, J.J.; Ho, C.S.; Ho, W.S. The characterization and treatment of food waste for improvement of biogas production during anaerobic digestion- a review. J. Clean Prod. 2018, 172, 1545–1558. [Google Scholar] [CrossRef]
- Magdoff, F.; Weil, R.R. Soil organic matter management strategies. In Soil Organic Matter in Sustainable Agriculture; Magdoff, F., Weil, R.R., Eds.; CRC Press: New York, NY, USA, 2004; pp. 45–65. [Google Scholar]
- Tambone, F.; Genevini, P.; D’Imporzano, G.; Adani, F. Assessing amendment properties of digestate by studying the organic matter composition and the degree of biological stability during the anaerobic digestion of the organic fraction of MSW. Bioresource Technol. 2009, 100, 3140–3142. [Google Scholar] [CrossRef] [PubMed]
- Tambone, F.; Scaglia, B.; D’Imporzano, G.; Schievano, A.; Salati, V.; Adani, F. Assessing amendment and fertilizing properties of digestates from anaerobic digestion through a comparative study with digested sludge and compost. Chemosphere 2010, 81, 577–583. [Google Scholar] [CrossRef]
- Aso, S.M. Digestate: The Coproduct of Biofuel Production in a Circular Economy, and New Results for Cassava Peeling Residue Digestate; IntechOpen: London, UK, 2020; pp. 1–27. [Google Scholar]
- Teglia, C.; Tremier, A.; Martel, J.L. Characterization of solid digestates: Part 1; Review of existing indicators to assess solid digestates agricultural use. Waste Biomass Valoriz. 2011, 2, 43–58. [Google Scholar] [CrossRef]
- Zeng, Y.; De Guardia, A.; Dabert, P. Improving composting as a post-treatment of anaerobic digestate. Bioresour. Technol. 2016, 201, 293–303. [Google Scholar] [CrossRef]
- Van der Wurff, A.W.G.; Fuchs, J.G.; Raviv, M.; Termorshuizen, A. Handbook for Composting and Compost Use in Organic Horticulture; BioGreenhouse COST Action FA 1105: 2016. Available online: www.biogreenhouse.org (accessed on 3 December 2020).
- Ceglie, F.; Elshafie, H.S.; Verrastro, V.; Tittarelli, F. Evaluation of Olive Pomace and Green Waste Composts as Peat Substitutes for Organic Tomato Seedling Production. Compost Sci. Utili 2011, 9, 293–300. [Google Scholar] [CrossRef]
- De Corato, U.; Pane, C.; Bruno, G.L.; Cancellara, F.A.; Zaccardelli, M. Co-products from a biofuel production chain in crop disease management: A review. Crop Protec. 2015, 68, 12–26. [Google Scholar] [CrossRef]
- De Corato, U. Disease-suppressive compost enhances natural soil suppressiveness against soil-borne plant pathogens: A critical review. Rhizosphere 2020, 13, 100192. [Google Scholar] [CrossRef]
- Lutz, S.; Thuerig, B.; Oberhaensli, T.; Mayerhofer, J.; Fuchs, J.G.; Widmer, F.; Freimoser, F.M.; Ahrens, C.H. Harnessing the microbiomes of suppressive composts for plant protection: From metagenomes to beneficial microorganisms and reliable diagnostics. Front. Microbiol. Plant Path. Interact. 2020, 11, 1810. [Google Scholar] [CrossRef]
- Jain, A.; Sharma, A.D.; Singh, K. Plant growth hormones and salt stress-mediated changes in acid and alkaline phosphatase activities in the Pearl Millet seeds. Int. J. Agricul. Biol. 2004, 6, 960–963. [Google Scholar]
- Monarca, S.; Feretti, D.; Zani, C.; Rizzoni, M.; Casarella, S.; Gustavino, B. Genotoxicity of drinking water disinfectants in plant bioassays. Environ. Mol. Mut. 2005, 46, 96–103. [Google Scholar] [CrossRef]
- Giorgetti, L.; Talouizte, H.; Merzouki, M.; Caltavuturo, L.; Geri, C.; Frassinetti, S. Genotoxicity evaluation of effluents from textile industries of the region Fez-Boulmane; Morocco: A case study. Ecotoxicol. Environ. Saf. 2011, 74, 2275–2283. [Google Scholar] [CrossRef]
- Bhat, S.A.; Singh, J.; Singh, K.; Vig, A.P. Genotoxicity monitoring of industrial wastes using plant bioassays and management through vermitechnology: A review. Agric. Nat. Res. 2017, 51, 325–337. [Google Scholar] [CrossRef]
- Bhat, S.A.; Cui, G.; Li, F.; Vig, A.P. Biomonitoring of genotoxicity of industrial wastes using plant bioassays. Bioresour. Technol. Rep. 2019, 6, 207–216. [Google Scholar] [CrossRef]
- Leme, D.M.; Marin-Morales, M.A. Allium cepa test in environment monitoring: A review on its application. Mutat. Res. Rev. Mutat. 2009, 682, 71–81. [Google Scholar] [CrossRef]
- Chen, Y.; Wang, C.; Wang, Z.; Huang, S. Assessment of the contamination and genotoxicity of soil irrigated with wastewater. Plant Soil 2004, 261, 189–196. [Google Scholar] [CrossRef]
- Kirsch-Volders, M.; Sofuni, T.; Aaderma, M.; Albertini, S.; Eastmond, D.; Fenech, M.; Ishidate, M.; Lorge, E.; Norppa, H.; Surallés, J.; et al. Report from the vitro micronucleus assay working group. Environ. Mol. Mut. 2000, 35, 167–172. [Google Scholar] [CrossRef]
- Vitti, A.; Sofo, A.; Scopa, A.; Nuzzaci, M. Sustainable agricultural practices in disease defence of traditional crops in Southern Italy: The case study of tomato cherry protected by Trichoderma harzianum T-22 Against Cucumber Mosaic Virus (CMV). In The Sustainability of Agro-Food and Natural Resource Systems in the Mediterranean Basin; Vastola, A., Ed.; Springer: Dordrecht, The Netherlands, 2015; pp. 133–143. [Google Scholar] [CrossRef]
- Haggag, H.; El-Gamal, G. In vitro study on Fusarium solani and Rhizoctonia solani isolates causing the damping off and root rot diseases in tomatoes. Nat. Sci. 2012, 10, 16–25. [Google Scholar]
- Azim, K.; Soudi, B.; Boukhari, S.; Perissol, C.; Roussos, S.; Alami, I.T. Composting parameters and compost quality: A literature review. Org. Agricul. 2018, 8, 141–158. [Google Scholar] [CrossRef]
- Rashmi, I.; Roy, T.; Kartika, K.S.; Pal, R.; Coumar, V.; Kala, S.; Shinoji, K.C. Organic and Inorganic Fertilizer Contaminants in Agriculture: Impact on Soil and Water Resources. In Contaminants in Agriculture; Naeem, M., Ansari, A., Gill, S., Eds.; Springer: Cham, Switzerland, 2020; pp. 3–41. [Google Scholar]
- Pecorini, I.; Peruzzi, E.; Albini, E.; Doni, S.; Nacci, C.; Masciandaro, G.; Iannelli, R. Evaluation of MSW Compost and Digestate Mixtures for a Circular Economy Application. Sustainability 2020, 12, 3042. [Google Scholar] [CrossRef]
- Luo, Y.; Liang, J.; Zeng, G.M.; Chen, M.; Mo, D.; Li, G.X.; Zhang, D.F. Seed germination test for toxicity evaluation of compost: Its roles; problems and prospects. Waste Manag. 2018, 71, 109–114. [Google Scholar] [CrossRef] [PubMed]
- Lencioni, G.; Imperiale, D.; Cavirani, N.; Marmiroli, N.; Marmiroli, M. Environmental application and phytotoxicity of anaerobic digestate from pig farming by in vitro and in vivo trials. Int. J. Environ. Sci. Technol. 2016, 13, 2549–2560. [Google Scholar] [CrossRef]
- Delgado, M.; Martin, J.V.; De Imperial, R.M.; León-Cófreces, C.; García, M.C. Phytotoxicity of uncomposted and composted poultry manure. Afr. J. Plant Sci. 2010, 4, 154–162. [Google Scholar]
- Tang, Y.; Li, X.; Dong, B.; Huang, J.; Wei, Y.; Dai, X.; Dai, L. Effect of aromatic repolymerization of humic acid-like fraction on digestate phytotoxicity reduction during high-solid anaerobic digestion for stabilization treatment of sewage sludge. Water Res. 2018, 143, 436–444. [Google Scholar] [CrossRef]
- Kai, H.; Ueda, T.; Sakaguchi, M. Antimicrobial activity of bark-compost extracts. Soil Biol. Biochem. 1990, 22, 983–986. [Google Scholar] [CrossRef]
- Bonanomi, G.; Antignani, V.; Pane, C.; Scala, F. Suppression of soilborne fungal diseases with organic amendments. J. Plant Pathol. 2007, 89, 311–324. [Google Scholar] [CrossRef]
- El Fels, L.; Hafidi, M.; Silvestre, J.; Merlina, J.G.; Pinelli, E. Efficiency of co-composting process to remove genotoxicity from sewage sludge contaminated with hexavalent chromium. Ecol. Eng. 2015, 82, 355–360. [Google Scholar] [CrossRef]
- Horst, R.K. Westcott’s Plant Disease Handbook, 8th ed.; Springer: Dordrecht, The Netherlands, 2013; p. 1317. [Google Scholar] [CrossRef]
- Lamichhane, J.R.; Dürr, C.; Schwanck, A.A.; Robin, M.H.; Sarthou, J.P.; Cellier, V.; Messéan, A.; Aubertot, J.N. Integrated management of damping-off diseases. A review. Agron. Sustain. Dev. 2017, 37, 10. [Google Scholar] [CrossRef]
- Yangui, T.; Rhouma, A.; Triki, M.A.; Garmouri, K.; Bouzid, J. Control of damping-off caused by Rhizoctonia solani and Fusarium solani using olive mill waste water and some of its indigenous bacterial strains. Crop Protec. 2008, 27, 189–197. [Google Scholar] [CrossRef]
- Alsudani, A.A.; Al-Awsi, G.R.L. Biocontrol of Rhizoctonia solani (Kühn) and Fusarium solani (Marti) causing damping-off disease in tomato with Azotobacter chroococcum and Pseudomonas fluorescens. Pak. J. Biol. Sci. 2020, 23, 1456–1461. [Google Scholar] [CrossRef] [PubMed]
- Nasri, N.; Saidi, I.; Kaddour, R.; Lachaâl, M. Effect of salinity on germination; seedling growth and acid phosphatase activity in Lettuce. Am. J. Plant Sci. 2015, 6, 57–63. [Google Scholar] [CrossRef]
- Erhart, E.; Hartl, W. Compost use in organic farming. In Genetic Engineering; Biofertilisation; Soil Quality and Organic Farming. Sustainable Agriculture Reviews; Lichtfouse, E., Ed.; Springer: Dordrecht, The Netherlands, 2010; pp. 311–345. [Google Scholar] [CrossRef]
- Getinet, A. A review on impact of compost on soil properties; water use and crop productivity. Acad. Res. J. Agri. Sci. Res. 2016, 4, 93–104. [Google Scholar] [CrossRef]
- Mancini, E.; Camele, I.; Elshafie, H.S.; De Martino, L.; Pellegrino, C.; Grulova, D.; De Feo, V. Chemical composition and biological activity of the essential oil of Origanum vulgare ssp. hirtum from different areas in the Southern Apennines (Italy). Chem. Biodiver. 2014, 11, 639–651. [Google Scholar] [CrossRef]
- Elshafie, H.S.; Camele, I.; Racioppi, R.; Scrano, L.; Iacobellis, N.S.; Bufo, S.A. In Vitro Antifungal Activity of Burkholderia gladioli pv. Agaricicola against Some Phytopathogenic Fungi. Int. J. Mol. Sci. 2012, 13, 16291–16302. [Google Scholar] [CrossRef]
- Kanaya, N.; Gill, B.S.; Grover, I.S.; Murin, A.; Osiecka, R.; Sandhu, S.S.; Andersson, H.C. Vicia faba chromosomal aberration assay. Mutat. Res. Rev. Mutat. 1994, 310, 231–247. [Google Scholar] [CrossRef]
- Veeken, A.H.M.; Blok, W.J.; Curci, F.; Coenen, G.C.M.; Temorshuizen, A.J.; Hamelers, H.V.M. Improving quality of composted biowaste to enhance disease suppressiveness of compost-amended; peat based potting mixes. Soil Biol. Biochem. 2005, 37, 2131–2140. [Google Scholar] [CrossRef]



| Parameter | Units | Digestate | DdC | L.D. 75/2010 Values 1 |
|---|---|---|---|---|
| Moisture (105 °C) | % | 91.80 ± 1.2 | 15.60 ± 0.8 | MAC: 50 |
| Ashes | % | 2.50 ± 0.1 | 11.41 ± 1.0 | |
| pH | 8.10 ± 0.3 | 7.88 ± 0.2 | 6.0 < 8.5 | |
| Salinity (Electrical conductivity) | mS/cm | - | 3.68 ± 0.1 | |
| Germination index | % | 55.00 ± 1.1 | 59.00 ± 1.5 | MRC: 60 |
| Total N | % d.m. | 1.04 ± 0.1 | 9.00 ± 0.3 | |
| Organic N | % d.m. | - | 7.63 ± 0.8 | |
| Organic N | % of total N | 85.00 ± 2.1 | MRC on total N: 80 | |
| NH4-N | % | - | 0.4 ± 0.0 | |
| Total Phosphorus (P) | mg/kg d.m. | 350.0 ± 3.2 | 74.2 ± 1.8 | |
| Total Phosphorus (P2O5) | mg/kg d.m. | - | 169.9 ± 2.3 | |
| Total Phosphorus (P2O5) | % d.m. | - | 0.017 ± 0.0 | |
| Potassium | mg/kg d.m. | - | 26,663 ± 6.8 | |
| Potassium (k2O) | mg/kg d.m. | - | 32,124 ± 4.3 | |
| Potassium (k2O) | % d.m. | - | 3.2 ± 0.4 | |
| Total organic carbon | % d.m. | 6.8 ± 0.2 | 40.6 ± 0.9 | MRC: 20 |
| Carbon (humic + fulvic) | % d.m. | 2.5 ± 0.1 | 11.7 ± 0.2 | MRC: 7 |
| C/N ratio | 6.5 ± 0.1 | 4.5 ± 0.2 | MAC: 25 | |
| Salmonella spp. (n = 5) | Present or Absent | Absent | Absent | Absent |
| Escherichia coli (n. 1) | MPN g−1 | 1080 | 438 | <1000 CFU g−1 |
| Escherichia coli (n. 2) | MPN g−1 | 997 | 352 | |
| Escherichia coli (n. 3) | MPN g−1 | 940 | 304 | |
| Escherichia coli (n. 4) | MPN g−1 | 860 | 287 | |
| Escherichia coli (n. 5) | MPN g−1 | 821 | 258 | |
| Cu | mg/kg d.m. | 3.80 ± 0.1 | 24.70 ± 2.0 | MAC: 230.00 |
| Zn | mg/kg d.m. | 9.26 ± 0.7 | 64.11 ± 1.9 | MAC: 500.00 |
| Pb | mg/kg d.m. | 0.56 ± 0.1 | 45.70 ± 1.4 | MAC: 140.00 |
| Cd | mg/kg d.m. | 0.03 ± 0.0 | <QL | MAC: 1.5 |
| Ni | mg/kg d.m. | 0.24 ± 0.0 | 3.52 ± 0.2 | MAC: 100.00 |
| Hg | mg/kg d.m. | <QL | <QL | MAC: 1.5 |
| Cr (VI) | mg/kg d.m. | <QL | <QL | MAC: 0.5 |
| Al | mg/kg d.m. | <QL | 410 ± 3.4 | |
| B | mg/kg d.m. | - | 14.9 ± 1.0 | |
| Ba | mg/kg d.m. | - | 22.9 ± 0.9 | |
| Fe | mg/kg d.m. | <QL | 367 ± 2.1 | |
| Mn | mg/kg d.m. | - | 60.8 ± 1.1 | |
| Mo | mg/kg d.m. | - | 2.6 ± 0.2 | |
| Sn | mg/kg d.m. | - | 2 ± 0.1 | |
| V | mg/kg d.m. | - | 0.6 ± 0.0 | |
| Plastic, glass and metals (≥2 mm) | % d.m. | <QL | <QL | MAC: 0.5 |
| Lithoids inerts (≥5 mm) | % d.m. | <QL | <QL | MAC: 5 |
| Species | Treatments | GS 1 (n) | RE 2 (cm) | GI 3 (%) |
|---|---|---|---|---|
| Cress | Control (H2O) | 11.8 ± 0.3a | 9.5 ± 0.4a | 98.9 ± 1.3a |
| Digestate 2.5% | 8.9 ± 0.5ab | 8.7 ± 0.5ab | 70.0 ± 2.3b | |
| Digestate 5% | 6.4 ± 0.5b | 7.1 ± 0.3b | 31.7 ± 1.9c | |
| Digestate 10% | 3.2 ± 0.3c | 3.8 ± 0.3c | 15.8 ± 2.8d | |
| Radish | Control (H2O) | 9.7 ± 0.4a | 13.9 ± 0.8a | 99.3 ± 2.7a |
| Digestate 2.5% | 6.8 ± 0.2b | 11.0 ± 0.1ab | 55.3 ± 3.1b | |
| Digestate 5% | 6.9 ± 0.5b | 10.0 ± 0.6ab | 44.8 ± 3.2bc | |
| Digestate 10% | 4.6 ± 0.7c | 8.1 ± 0.7b | 25.8 ± 2.5c |
| Species | Treatments | GS 1 (n) | RE 2 (cm) | GI 3 (%) |
|---|---|---|---|---|
| Cress | Control (H2O) | 9.5 ± 0.6a | 11.0 ± 1.2a | 99.6 ± 2.5a |
| Compost 2.5% | 9.0 ± 1.2a | 10.8 ± 0.3a | 97.6 ± 1.8a | |
| Compost 5% | 7.5 ± 0.6b | 9.8 ± 0.5ab | 62.1 ± 2.3b | |
| Compost 10% | 5.5 ± 0.4c | 7.5 ± 0.6 b | 31.2 ± 1.2c | |
| Radish | Control (H2O) | 9.5 ± 0.3a | 13.1 ± 0.7a | 99.0 ± 1.3a |
| Compost 2.5% | 9.0 ± 0.8a | 12.9 ± 0.3a | 94.3 ± 1.5a | |
| Compost 5% | 6.5 ± 0.6b | 11.3 ± 0.1ab | 63.3 ± 3.2b | |
| Compost 10% | 4.5 ± 0.6c | 9.5 ± 0.6b | 32.7 ± 2.7c |
| Diameter of Inhibition Zones (mm) | |||
|---|---|---|---|
| 100% | 50% | Azoxystrobin | |
| A. niger | 0.0 ± 0.0d | 0.0 ± 0.0d | 15.5 ± 1.2c |
| A. ochraceus | 0.0 ± 0.0d | 13.2 ± 0.8bc | 25.3 ± 1.7bc |
| A. flavus | 0.0 ± 0.0d | 8.3 ± 1.3c | 12.4 ± 2.4c |
| M. laxa | 33.3 ± 2.5a | 30.5 ± 3.4a | 42.6 ± 3.2a |
| M.fructicola | 34.5 ± 3.5a | 31.6 ± 2.9a | 41.7 ± 3.5a |
| M.fructigena | 36.6. ± 3.4a | 32.5 ± 2.5a | 43.2 ± 3.1a |
| F. solani | 33.4 ± 4.2a | 31.8 ± 1.8a | 41.5 ± 2.7a |
| R. solani | 18.7 ± 1.5b | 22.4 ± 1.3b | 30.2 ± 2.8bc |
| S.sclerotiorum | 9.8 ± 0.8c | 19.6 ± 2.1b | 26.2 ± 2.2bc |
| B.cinerea | 0.0 ± 0.0d | 0.0 ± 0.0d | 18.4 ± 1.2c |
| V. dahliae | 35.6 ± 2.9a | 32.2 ± 3.1a | 45.6 ± 3.1a |
| Diameter of Inhibition Zones (mm) | |||
|---|---|---|---|
| 100% | 50% | Azoxystrobin | |
| A. niger | 0.0 ± 0.0c | 0.0 ± 0.0c | 28.4 ± 2.1c |
| A. ochraceus | 0.0 ± 0.0c | 0.0 ± 0.0c | 25.2 ± 1.2c |
| A. flavus | 0.0 ± 0.0c | 0.0 ± 0.0c | 30.6 ± 3.0bc |
| M. laxa | 38.5 ± 3.2a | 32.5 ± 2.9a | 45.4 ± 3.2a |
| M. fructicola | 25.6 ± 2.8b | 20.5 ± 1.4b | 31.2 ± 1.9bc |
| M. fructigena | 0.0 ± 0.0c | 0.0 ± 0.0c | 45.5 ± 1.5a |
| F. solani | 34.3 ± 3.2a | 30.2 ± 3.1a | 39.3 ± 2.2a |
| R. solani | 0.0 ± 0.0c | 0.0 ± 0.0c | 25.2 ± 2.1c |
| S. sclerotiorum | 0.0 ± 0.0c | 0.0 ± 0.0c | 32.2 ± 3.0bc |
| B. cinerea | 0.0 ± 0.0c | 0.0 ± 0.0c | 38.7 ± 3.5a |
| V. dahliae | 38.2 ± 3.1a | 35.2 ± 2.7a | 42.3 ± 3.4a |
| Treatments | DO (%) |
|---|---|
| F | 56.7 ± 0.6 a |
| 5% + F | 6.7 ± 0.6 c |
| 10% + F | 26.7 ± 1.0 b |
| 20% + F | 53.3 ± 1.0 a |
Publisher’s Note: MDPI stays neutral with regard to jurisdictional claims in published maps and institutional affiliations. |
© 2021 by the authors. Licensee MDPI, Basel, Switzerland. This article is an open access article distributed under the terms and conditions of the Creative Commons Attribution (CC BY) license (http://creativecommons.org/licenses/by/4.0/).
Share and Cite
Vitti, A.; Elshafie, H.S.; Logozzo, G.; Marzario, S.; Scopa, A.; Camele, I.; Nuzzaci, M. Physico-Chemical Characterization and Biological Activities of a Digestate and a More Stabilized Digestate-Derived Compost from Agro-Waste. Plants 2021, 10, 386. https://doi.org/10.3390/plants10020386
Vitti A, Elshafie HS, Logozzo G, Marzario S, Scopa A, Camele I, Nuzzaci M. Physico-Chemical Characterization and Biological Activities of a Digestate and a More Stabilized Digestate-Derived Compost from Agro-Waste. Plants. 2021; 10(2):386. https://doi.org/10.3390/plants10020386
Chicago/Turabian StyleVitti, Antonella, Hazem S. Elshafie, Giuseppina Logozzo, Stefania Marzario, Antonio Scopa, Ippolito Camele, and Maria Nuzzaci. 2021. "Physico-Chemical Characterization and Biological Activities of a Digestate and a More Stabilized Digestate-Derived Compost from Agro-Waste" Plants 10, no. 2: 386. https://doi.org/10.3390/plants10020386
APA StyleVitti, A., Elshafie, H. S., Logozzo, G., Marzario, S., Scopa, A., Camele, I., & Nuzzaci, M. (2021). Physico-Chemical Characterization and Biological Activities of a Digestate and a More Stabilized Digestate-Derived Compost from Agro-Waste. Plants, 10(2), 386. https://doi.org/10.3390/plants10020386

