Exogenously Used 24-Epibrassinolide Promotes Drought Tolerance in Maize Hybrids by Improving Plant and Water Productivity in an Arid Environment
Abstract
1. Introduction
2. Materials and Methods
2.1. Experimental Site and Agricultural Practices
2.2. Plant Material and Irrigation Regimes
2.3. Foliar Application
2.4. Assessment of Leaf Pigments, Chlorophyll Fluorescence, Gas Exchange, PSII Quantum Yield, and Photochemical Activity
2.5. Assessment of Relative Content of Water (RWC), Stability Index of Cellular Membranes (MSI), Peroxidation of Lipids, Ion Leakage (EL), Soluble Sugars, and Proline
2.6. Assessment of Enzymatic Antioxidants Activity
2.7. Agronomic Traits Measurements
2.8. Water Productivity of Maize Grain Yield (CWPg) and Biological Yield (CWPb)
2.9. Statistical Analysis
3. Results
3.1. Leaf Photosynthetic Pigments, Photochemical Activity, and Photosynthetic Efficiency (Fv/Fm)
3.2. Gas Exchange and Lipid Peroxidation
3.3. Relative Content of Water (RWC), Stability Index of Cell Membranes (MSI), and Leakage of Electrolytes (EL), as well as Soluble Sugars Content
3.4. Free Proline Content and Antioxidant Enzymes Activity
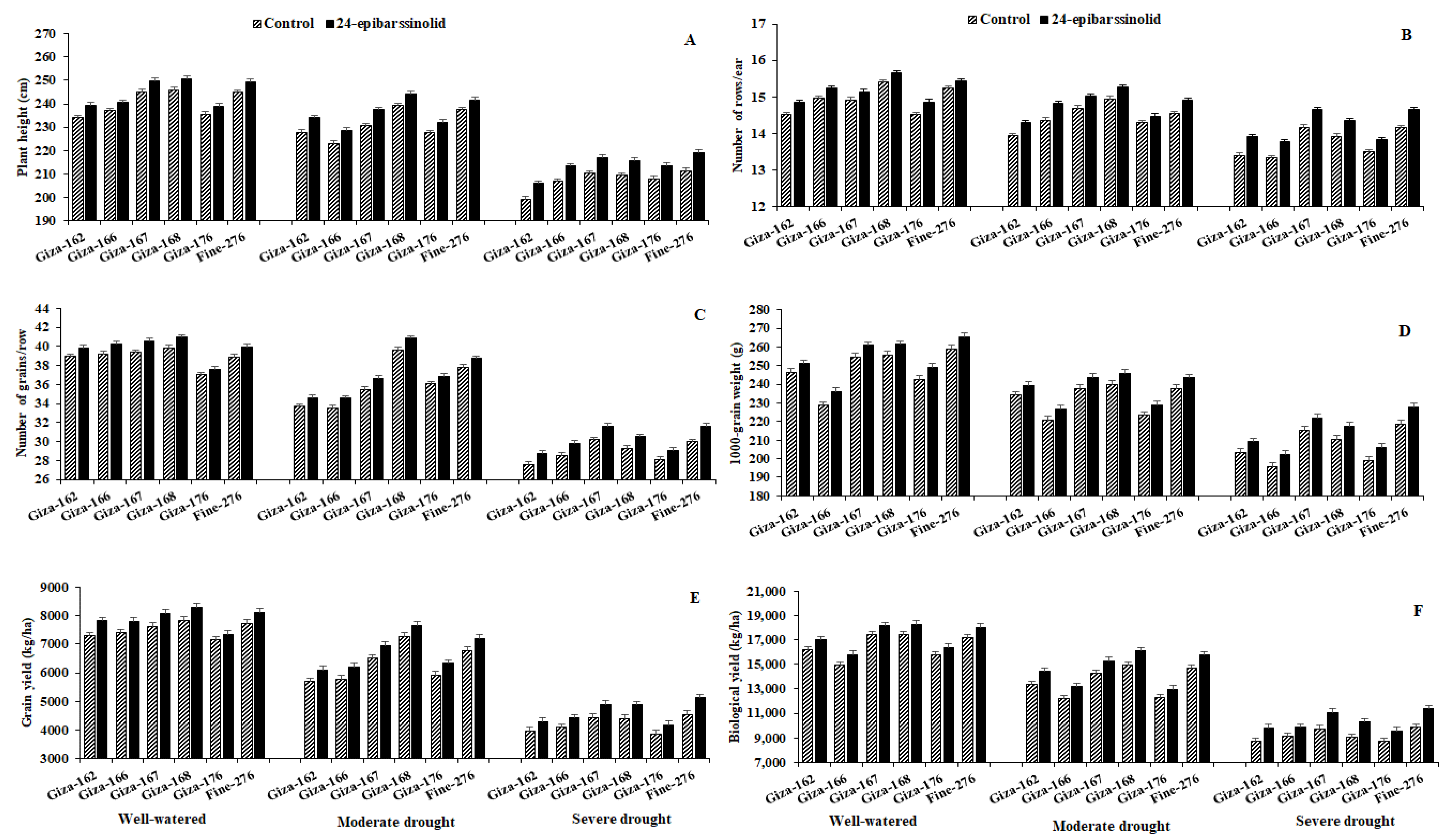
3.5. Yield and Yield-Contributing Traits
3.6. Water Productivity of Grain Yield (CWPg) and Biological Yield (CWPb)
3.7. Traits Interrelationship
4. Discussion
5. Conclusions
Author Contributions
Funding
Institutional Review Board Statement
Informed Consent Statement
Data Availability Statement
Acknowledgments
Conflicts of Interest
References
- Kumar, A.; Verma, J.P. Does plant-microbe interaction confer stress tolerance in plants: A review? Microbiol. Res. 2018, 207, 41–52. [Google Scholar] [CrossRef]
- Abd El-Mageed, T.A.; Semida, W.M.; Rady, M.M. Moringa leaf extract as biostimulant improves water use efficiency, physio-biochemical attributes of squash plants under deficit irrigation. Agric. Water Manag. 2017, 193, 46–54. [Google Scholar] [CrossRef]
- El-Mageed, A.T.A.; Semida, W.M.; Taha, R.S.; Rady, M.M. Effect of summer-fall deficit irrigation on morpho-physiological, anatomical responses, fruit yield and water use efficiency of cucumber under salt affected soil. Sci. Hortic. 2018, 237, 148–155. [Google Scholar] [CrossRef]
- Merwad, A.M.A.; Desoky, E.M.; Rady, M.M. Response of water deficit-stressed Vigna unguiculata performances to silicon, proline or methionine foliar application. Sci. Hortic. 2018, 228, 132–144. [Google Scholar] [CrossRef]
- Khademian, R.; Yaghoubian, I. Growth of chick pea (Cicer arietinum) in response to salicylic acid under drought stress. J. Bio. Env. Sci. 2018, 12, 255–263. [Google Scholar]
- Rady, M.M.; Belal, H.E.E.; Gadallah, F.M.; Semida, W.M. Selenium application in two methods promotes drought tolerance in Solanum lycopersicum plant by inducing the antioxidant defense system. Sci. Hortic. 2020, 266, 109290. [Google Scholar] [CrossRef]
- Taha, R.S.; Alharby, H.F.; Bamagoos, A.A.; Medani, R.A.; Rady, M.M. Elevating tolerance of drought stress in Ocimum basilicum using pollen grains extract; a natural biostimulant by regulation of plant performance and antioxidant defense system. S. Afr. J. Bot. 2020, 128, 42–53. [Google Scholar] [CrossRef]
- Dai, A. Increasing drought under global warming in observations and models. Nat. Clim. Chang. 2013, 3, 52–58. [Google Scholar] [CrossRef]
- Mansour, E.; Abdul-Hamid, M.I.; Yasin, M.T.; Qabil, N.; Attia, A. Identifying drought-tolerant genotypes of barley and their responses to various irrigation levels in a Mediterranean environment. Agric. Water Manag. 2017, 194, 58–67. [Google Scholar] [CrossRef]
- Mansour, E.; Moustafa, E.A.; Qabil, N.; Abdelsalam, A.; Wafa, H.A.; El Kenawy, A.; Casas, A.M.; Igartua, E. Assessing different barley growth habits under Egyptian conditions for enhancing climate change resilience. Field Crops Res. 2018, 224, 67–75. [Google Scholar] [CrossRef]
- Blum, A. Drought resistance, water-use efficiency, and yield potential—Are they compatible, dissonant, or mutually exclusive? Aust. J. Agric. Res. 2005, 56, 1159–1168. [Google Scholar] [CrossRef]
- Lopes, M.S.; Araus, J.L.; Van Heerden, P.D.R.; Foyer, C.H. Enhancing drought tolerance in C4 crops. J. Exp. Bot. 2011, 62, 3135–3153. [Google Scholar] [CrossRef] [PubMed]
- Blum, A. Plant Breeding for Water-Limited Environments; Springer: New York, NY, USA, 2011. [Google Scholar]
- Sairam, R.K.; Deshmukh, P.S.; Saxna, D.C. Role of antioxidant systems in wheat genotype tolerance to water stress. Biol. Plant. 1998, 41, 387–394. [Google Scholar] [CrossRef]
- Rios, J.J.; Martínez-Ballesta, M.C.; Ruiz, J.M.; Blasco, B.; Carvajal, M. Siliconmediated improvement in plant salinity tolerance: The role of aquaporins. Front. Plant Sci. 2017, 8, 948. [Google Scholar] [CrossRef] [PubMed]
- Yoshida, K.; Terashima, I.; Noguchi, K. Up-regulation of mitochondrial alternative oxidase concomitant with chloroplast over-reduction by excess light. Plant Cell Physiol. 2007, 48, 606–614. [Google Scholar] [CrossRef] [PubMed]
- Huang, W.; Zhang, S.B.; Cao, K.F. Cyclic electron flow plays an important role in photoprotection of tropical trees illuminated at temporal chilling temperature. Plant Cell Physiol. 2011, 52, 297–305. [Google Scholar] [CrossRef]
- Ivanov, A.G.; Rosso, D.; Savitch, L.V.; Stachula, P.; Rosembert, M.; Oquist, G.; Hurry, V.; Hüner, N.P.A. Implications of alternative electron sinks in increased resistance of PSII and PSI photochemistry to high light stress in cold-acclimated Arabidopsis thaliana. Photosynth. Res. 2012, 113, 191–206. [Google Scholar] [CrossRef]
- Hu, W.H.; Yan, X.H.; He, Y.; Xi, R. 24-epibrassinolide alleviate drought-induced photoinhibition in Capsicum annuum via up-regulation of AOX pathway. Sci. Hortic. 2019, 243, 484–489. [Google Scholar] [CrossRef]
- Pires, M.V.; de Castro, E.M.; de Freitas, B.S.M.; Lira, J.M.S.; Magalhães, P.C.; Pereira, M.P. Yield-related phenotypic traits of drought resistant maize genotypes. Environ. Exp. Bot. 2020, 171, 103962. [Google Scholar] [CrossRef]
- FAO. Food and Agriculture Organization of the United Nations; Statistical Database; FAO: Rome, Italy, 2020. [Google Scholar]
- Todaka, D.; Shinozaki, K.; Yamaguchi-Shinozaki, K. Recent advances in the dissection of drought-stress regulatory networks and strategies for development of drought-tolerant transgenic rice plants. Front. Plant Sci. 2015, 6, 84. [Google Scholar] [CrossRef]
- Rajsekhar, D.; Singh, V.P.; Mishra, A.K. Integrated drought causality, hazard, and vulnerability assessment for future socioeconomic scenarios: An information theory perspective. J. Geophys. Res. Atmos. 2015, 120, 6346–6378. [Google Scholar] [CrossRef]
- Song, H.; Li, Y.; Zhou, L.; Xu, Z.; Zhou, G. Maize leaf functional responses to drought episode and rewatering. Agric. For Meteorol. 2018, 249, 57–70. [Google Scholar] [CrossRef]
- Shirinbayan, S.; Khosravi, H.; Malakouti, M.J. Alleviation of drought stress in maize (Zea mays) by inoculation with Azotobacter strains isolated from semi-arid regions. Appl. Soil Ecol. 2019, 133, 138–145. [Google Scholar] [CrossRef]
- Desoky, E.M.; Mansour, E.; Yasin, M.A.T.; El-Sobky, E.E.A.; Rady, M.M. Improvement of drought tolerance in five different cultivars of Vicia faba with foliar application of ascorbic acid or silicon. Span. J. Agric. Res. 2020, 2, e0802. [Google Scholar] [CrossRef]
- Ashraf, M.; Akram, N.A. Improving salinity tolerance of plants through conventional breeding and genetic engineering: An analytical comparison. Biotechnol. Adv. 2009, 27, 744–752. [Google Scholar] [CrossRef]
- Filgueiras, L.; Silva, R.; Almeida, I.; Vidal, M.; Baldani, J.I.; Meneses, C.H.S.G. Gluconacetobacter diazotrophicus mitigates drought stress in Oryza sativa L. Plant Soil. 2020, 451, 57–73. [Google Scholar] [CrossRef]
- Al-Elwany, O.A.A.I.; Mohamed, G.F.; Abdurrahman, H.A.; Rady, M.M.; Abdel Latef, A.A. Exogenous glutathione-mediated tolerance to deficit irrigation in salt-affected Capsicum frutescence (L.) plants is connected with higher antioxidant content and ionic homeostasis. Not. Bot. Horti Agrobot. Cluj-Napoca. 2020, 48, 1957–1979. [Google Scholar] [CrossRef]
- Shakirova, F.; Allagulova, C.; Maslennikova, D.; Fedorova, K.; Yuldashev, R.; Lubyanova, A.; Bezrukova, M.; Avalbaev, A. Involvement of dehydrins in 24-epibrassinolide-induced protection of wheat plants against drought stress. Plant Physiol. Biochem. 2016, 108, 539–548. [Google Scholar] [CrossRef]
- Zhao, G.; Xu, H.; Zhang, P.; Su, X.; Zhao, H. Effects of 24-epibrassinolide on photosynthesis and Rubisco activase gene expression in Triticum aestivum L. seedlings under a combination of drought and heat stress. Plant Growth Regul. 2017, 81, 377–384. [Google Scholar] [CrossRef]
- Riboldi, L.B.; Múrcia, J.A.G.; da Cruz Araújo, S.H.; de Camargo e Castro, P.R. The 24-epibrassinolide induces rice tolerance to water stress overcoming losses in grain yield. Aust. J. Crop Sci. 2018, 12, 1426–1433. [Google Scholar] [CrossRef]
- Mohammadi, M.; Pouryousef, M.; Tavakoli, A.; Fard, E.M. Improvement in photosynthesis, seed yield and protein content of common bean (Phaseolus vulgaris) by foliar application of 24-epibrassinolide under drought stress. Crop Pasture Sci. 2019, 70, 535–545. [Google Scholar] [CrossRef]
- Mohammadi, H.; Akhondzadeh, M.; Ghorbanpour, M.; Aghaee, A. Physiological responses and secondary metabolite ingredients in sage plants induced by 24-epibrassinolide foliar application under different water deficit regimes. Sci. Hortic. 2020, 263, 109139. [Google Scholar] [CrossRef]
- Nolan, T.M.; Vukasinovic’, N.; Liu, D.; Russinova, E.; Yin, Y. Brassinosteroids: Multidimensional regulators of plant growth, development, and stress responses—A review. Plant Cell 2020, 32, 295–318. [Google Scholar] [CrossRef]
- Tanveer, M.; Shahzad, B.; Sharma, A.; Khan, E.A. 24-Epibrassinolide application in plants: An implication for improving drought stress tolerance in plants—A review. Plant Physiol. Biochem. 2019, 135, 295–303. [Google Scholar] [CrossRef] [PubMed]
- Bajguz, A. Effect of brassinosteroids on nucleic acids and protein content in cultured cells of Chlorella vulgaris. Plant Physiol. Biochem. 2000, 38, 209–215. [Google Scholar] [CrossRef]
- Li, Y.; Liu, Y.; Xu, X.; Jin, M.; An, L.; Zhang, H. Effect of 24-epibrassinolide on drought stress-induced changes in Chorispora bungeana. Biol. Plant 2012, 56, 192–196. [Google Scholar] [CrossRef]
- Bajguz, A.; Hayat, S. Effects of brassinosteroids on the plant responses to environmental stresses. Plant Physiol. Biochem. 2009, 47, 1–8. [Google Scholar] [CrossRef]
- Anjum, S.A.; Wang, L.C.; Farooq, M.; Hussain, M.; Xue, L.L.; Zou, C.M. Brassinolide application improves the drought tolerance in maize through modulation of enzymatic antioxidants and leaf gas exchange. J. Agron. Crop Sci. 2011, 197, 177–185. [Google Scholar] [CrossRef]
- Talaat, N.B.; Shawky, B.T.; Ibrahim, A.S. Alleviation of drought induced oxidative stress in maize (Zea mays L.) plants by dual application of 24-epibrassinolide and spermine. Environ. Exp. Bot. 2015, 113, 47–58. [Google Scholar] [CrossRef]
- Xia, X.-J.; Zhou, Y.-H.; Ding, J.; Shi, K.; Asami, T.; Chen, Z.; Yu, J.-Q. Induction of systemic stress tolerance by brassinosteroid in Cucumis sativus. New Phytol. 2011, 191, 706–720. [Google Scholar] [CrossRef] [PubMed]
- Attia, A.; El-Hendawy, S.; Al-Suhaibani, N.; Tahir, M.U.; Mubushar, M.; dos Santos Vianna, M.; Ullah, H.; Mansour, E.; Datta, A. Sensitivity of the DSSAT model in simulating maize yield and soil carbon dynamics inarid Mediterranean climate: Effect of soil, genotype and crop management. Field Crops Res. 2021, 260, 107981. [Google Scholar] [CrossRef]
- Arnon, D.I. Copper enzymes in isolated chloroplasts, polyphenoxidase in Beta vulgaris. Plant Physiol. 1949, 24, 1–15. [Google Scholar] [CrossRef] [PubMed]
- Li, P.M.; Cai, R.G.; Gao, H.Y.; Peng, T.; Wang, Z.L. Partitioning of excitation energy in two wheat cultivars with different grain protein contents grown under three nitrogen applications in the field. Physiol. Plant. 2007, 129, 822–829. [Google Scholar] [CrossRef]
- Maxwell, K.; Johnson, G.N. Chlorophyll fluorescence—A practical guide. J. Exp. Bot. 2000, 51, 659–668. [Google Scholar] [CrossRef] [PubMed]
- Jagendorf, A.T. Oxidation and reduction of pyridine nucleotides by purified chloroplasts. Biochem. Biophys. Acta 1956, 40, 257–272. [Google Scholar] [CrossRef]
- Avron, M. Photophosphorylation by swiss-chard chloroplasts. Biochim. Biophys. Acta 1960, 40, 257–272. [Google Scholar] [CrossRef]
- Osman, A.S.; Rady, M.M. Ameliorative effects of sulphur and humic acid on the growth, antioxidant levels, and yields of pea (Pisum sativum L.) plants grown in reclaimed saline soil. J. Hortic. Sci. Biotechnol. 2014, 87, 626–632. [Google Scholar] [CrossRef]
- Rady, M.M. Effect of 24-epibrassinolide on growth, yield, antioxidant system and cadmium content of bean (Phaseolus vulgaris L.) plants under salinity and cadmium stress. Sci. Hortic. 2011, 129, 232–237. [Google Scholar] [CrossRef]
- Heath, R.L.; Packer, L. Photo peroxidation isolated chloroplasts: Kinetics and stoichiometry of fatty acid peroxidation. Arch. Biochem. Biophys. 1968, 125, 189–198. [Google Scholar] [CrossRef]
- Irigoyen, J.J.; Emerich, D.W.; Sanchez-Diaz, M. Water stress induced changes in the concentrations of proline and total soluble sugars in nodulated alfalfa (Medicago sativa) plants. Plant Physiol. 1992, 8, 455–460. [Google Scholar] [CrossRef]
- Bates, L.S.; Waldren, R.P.; Teare, I.D. Rapid determination of free proline for water stress studies. Plant Soil 1973, 39, 205–207. [Google Scholar] [CrossRef]
- Chance, B.; Maehly, A.C. Assay of catalases and peroxidases. Method Enzymol. 1955, 2, 764–775. [Google Scholar]
- Giannopolitis, C.N.; Ries, S.K. Superoxide dismutases I. Occurrence in higher plants. Plant Physiol. 1977, 59, 309–314. [Google Scholar] [CrossRef]
- Kijne, J.W.; Barker, R.; Molden, D.J. Water Productivity in Agriculture: Limits and Opportunities for Improvement; Comprehensive Assessment of Water Management in Agriculture Series 1; CABI: Wallingford, UK; International Water Management Institute (IWMI): Colombo, Sri Lanka, 2003; Volume xix, 332p. [Google Scholar]
- Pereira, L.S.; Cordery, I.; Iacovides, I. Improved indicators of water use performance and productivity for sustainable water conservation and saving. Agric. Water Manag. 2012, 108, 39–51. [Google Scholar] [CrossRef]
- Fernández, J.E.; Alcon, F.; Diaz-Espejo, A.; Hernandez-Santana, V.; Cuevas, M.V. Water use indicators and economic analysis for on-farm irrigation decision: A case study of a super high density olive tree orchard. Agric. Water Manag. 2020, 237, 106074. [Google Scholar] [CrossRef]
- James, L.G. Principles of Farm Irrigation Systems Design; John Wiley and Sons Inc.: New York, NY, USA, 1988; p. 453. [Google Scholar]
- Carmer, S.G.; Walker, W.M. Significance from the statistician’s viewpoint. J. Prod. Agric. 1988, 1, 27–33. [Google Scholar] [CrossRef]
- Silva, R.; Filgueiras, L.; Santos, B.; Coelho, M.; Silva, M.; Estrada-Bonilla, G.; Vidal, M.; Baldani, J.I.; Meneses, C. Gluconacetobacter diazotrophicus changes the molecular mechanisms of root development in Oryza sativa L. growing under water stress. Int. J. Mol. Sci. 2020, 21, 333. [Google Scholar] [CrossRef] [PubMed]
- Ha, Y.; Shang, Y.; Nam, K.H. Brassinosteroids modulate ABA-induced stomatal closure in Arabidopsis. J. Exp. Bot. 2016, 67, 6297–6308. [Google Scholar] [CrossRef]
- Hernández, J.A.; Almansa, M.S. Short-term effects of salt stress on antioxidant systems and leaf water relations of pea leaves. Physiol. Plant. 2002, 115, 251–257. [Google Scholar] [CrossRef]
- Khan, M.; Panda, S. Alterations in root lipid peroxidation and antioxidative responses in two rice hybrids under NaCl-salinity stress. Acta Physiol. Plant. 2008, 30, 81–89. [Google Scholar] [CrossRef]
- Eraslan, F.; Inal, A.; Savasturk, O.; Gunes, A. Changes in antioxidative system and membrane damage of lettuce in response to salinity and boron toxicity. Sci. Hortic. 2007, 114, 5–10. [Google Scholar] [CrossRef]
- Gunes, A.; Cicek, N.; Inal, A.; Alpaslan, M.; Eraslan, F.; Guneri, E.; Guzelordu, T. Genotypic response of chickpea (Cicer arietinum L.) hybrids to drought stress implemented at pre-and post-anthesis stages and its relations with nutrient uptake and efficiency. Plant Soil Environ. 2006, 52, 368–376. [Google Scholar] [CrossRef]
- Talaat, N.B.; Shawky, B.T. 24-Epibrassinolide alleviates salt-induced inhibition of productivity by increasing nutrients and compatible solutes accumulation and enhancing antioxidant system in wheat (Triticum aestivum L.). Acta Physiol. Plant. 2013, 35, 729–740. [Google Scholar] [CrossRef]
- Thussagunpanit, J.; Jutamanee, K.; Sonjaroon, W.; Kaveeta, L.; Chai-Arree, W.; Pankean, P.; Suksamrarn, A. Effects of brassinosteroid and brassinosteroid mimic on photosynthetic efficiency and rice yield under heat stress. Photosynthetica 2015, 53, 312–320. [Google Scholar] [CrossRef]
- Prisco, J.T. Alguns aspectos da fisiologia do estresse salino. Rev. Bras. Botânica 1980, 3, 85–94. [Google Scholar]
- Stępień, P.; Kłobus, G. Water relations and photosynthesis in Cucumis sativus L. leaves under salt stress. Biol. Plant. 2006, 50, 610–616. [Google Scholar] [CrossRef]
- Shahid, M.A.; Balal, R.M.; Pervez, M.A.; Abbas, T.; Aqeel, M.A.; Riaz, A.; Mattson, N.S. Exogenous 24-Epibrassinolide elevates the salt tolerance potential of pea (Pisum sativum L.) by improving osmotic adjustment capacity and leaf water relations. J. Plant Nutr. 2015, 38, 1050–1072. [Google Scholar] [CrossRef]
- Lima, J.V.; Lobato, A.K.S. Brassinosteroids improve photosystem II efficiency, gas exchange, antioxidant enzymes and growth of cowpea plants exposed to water deficit. Physiol. Mol. Biol. Plants 2017, 23, 59–72. [Google Scholar] [CrossRef] [PubMed]
- Farooq, M.; Wahid, A.; Basra, S.M.A. Improving water relations and gas exchange with brassinosteroids in rice under drought stress. J. Agron. Crop Sci. 2009, 195, 262–269. [Google Scholar] [CrossRef]
- Sasse, J.M. Physiological actions of brassinosteroids: An update. J. Plant Growth Regul. 2003, 22, 276–288. [Google Scholar] [CrossRef] [PubMed]
- Jiang, Y.; Huang, N. Drought and Heat stress injury to two cool season turf grasses in relation to antioxidant metabolism and lipid peroxidation. Crop Sci. 2001, 41, 436–442. [Google Scholar] [CrossRef]
- Alireza, Y.; Aboueshaghi, R.S.; Dehnavi, M.M.; Balouchi, H. Effect of micronutrients foliar application on grain qualitative characteristics and some physiological traits of bean (Phaseolus vulgaris L.) under drought stress. Indian J. Fundam. Appl. Life Sci. 2014, 4, 124–131. [Google Scholar]
- Behnamnia, M.; Kalantari, K.M.; Ziaie, J. The effects of brassinosteroid on the induction of biochemical changes in Lycopersicon esculentum under drought stress. Turk. J. Bot. 2009, 33, 417–428. [Google Scholar]
- Hayashi, H.; Alia, L.M.; Deshnium, P.; Ida, M.; Murata, N. Murata transformation of Arabidopsis thaliana with the coda gene for choline oxidasa: Accumulation of glycine betaine and enhanced tolerance to salt and cold stress. Plant J. 1997, 12, 133–142. [Google Scholar] [CrossRef]
- Hebers, K.; Sonnewald, V. Altered gene expression: Brought about by inter and pathogen interactions. J. Plant Res. 1998, 111, 323–328. [Google Scholar] [CrossRef]
- Zhu, J.K. Plant salt tolerance. Trends Plant Sci. 2001, 6, 66–71. [Google Scholar] [CrossRef]
- Kishor, P.K.; Sangam, S.; Amrutha, R.N.; Laxmi, P.S.; Naidu, K.R.; Rao, K.R.S.S.; Rao, S.; Reddy, K.J.; Theriappan, P.; Sreenivasulu, N. Review: Regulation of proline biosynthesis, degradation, uptake and transport in higher plants: Its implications in plant growth and abiotic stress tolerance. Curr. Sci. 2005, 88, 424–438. [Google Scholar]
- Rady, M.M.; Elrys, A.S.; Abo El-Maati, M.F.; Desoky, E.M. Interplaying roles of silicon and proline effectively improve salt and cadmium stress tolerance in Phaseolus vulgaris plant. Plant Physiol. Biochem. 2019, 139, 558–568. [Google Scholar] [CrossRef] [PubMed]
- Chen, Z.; Wang, Z.; Yang, Y.; Li, M.; Xu, B. Abscisic acid and brassinolide combined application synergistically enhances drought tolerance and photosynthesis of tall fescue under water stress. Sci. Hortic. 2018, 228, 1–9. [Google Scholar] [CrossRef]
- Mittler, R. Oxidative stress, antioxidants and stress tolerance. Trends Plant Sci. 2002, 7, 405–410. [Google Scholar] [CrossRef]
- Hameed, M.; Ashraf, M.; Naz, N. Anatomical and physiological characteristics relating to ionic relations in some salt tolerant grasses from the Salt Range, Pakistan. Acta Physiol. Plant. 2011, 33, 1399–1409. [Google Scholar] [CrossRef]
- Choe, S. Brassinosteroid biosynthesis and inactivation. Physiol. Plant. 2006, 126, 539–548. [Google Scholar] [CrossRef]
- Fang, Y.; Xiong, L. General mechanisms of drought response and their application in drought resistance improvement in plants. Cell Mol. Life Sci. 2015, 72, 673–689. [Google Scholar] [CrossRef]
- Ali, M.H.; Talukder, M.S.U. Increasing water productivity in crop production-A synthesis. Agric. Water Manag. 2008, 95, 1201–1213. [Google Scholar] [CrossRef]
- Hoque, M.A.; Banu, M.N.; Okuma, E.; Amako, K.; Nakamura, Y.; Shimoishi, Y.; Murata, Y. Exogenous proline and glycinebetaine increase NaCl-induced ascorbate-glutathione cycle enzyme activities, and proline improves salt tolerance more than glycinebetaine in tobacco Bright Yellow-2 suspension-cultured cells. J. Plant Physiol. 2007, 164, 1457–1468. [Google Scholar] [CrossRef]
- Şen, A. Oxidative stress studies in plant tissue culture. Antioxid. Enzym. 2012, 3, 59–88. [Google Scholar]
- Ranieri, A.; Castagna, A.; Scebba, F.; Careri, M.; Zagnoni, I.; Predieri, G.; Pagliari, M.; di Toppi, L.S. Oxidative stress and phytochelatin characterisation in bread wheat exposed to cadmium excess. Plant Physiol. Biochem. 2005, 43, 45–54. [Google Scholar] [CrossRef] [PubMed]
- Kusvuran, S.; Kiran, S.; Ellialtioglu, S.S. Antioxidant enzyme activities and abiotic stress tolerance relationship in vegetable crops. In Abiotic and Biotic Stress in Plants—Recent Advances and Future Perspectives; Chapter 21; Shanker, A.K., Ed.; Intech: London, UK, 2016; pp. 481–506. [Google Scholar]
- Adamu, C.; Kumar, B.N.; Rajkumara, S.; Patil, B.R.; Patil, H.Y.; Kuligod, V.B. Physiological response, molecular analysis and water use efficiency of maize (Zea mays L.) hybrids grown under various irrigation regimes. Afr. J. Biotechnol. 2014, 13, 2966–2976. [Google Scholar]
- Khan, M.B.; Yousaf, F.; Hussain, M.; Haq, M.W.; Lee, D.J.; Farooq, M. Influence of planting methods on root development, crop productivity and water use efficiency in maize hybrids. Chil. J. Agric. Res. 2012, 72, 556–563. [Google Scholar] [CrossRef]
- Nagore, M.L.; Della Maggiora, A.; Andrade, F.H.; Echarte, L. Water use efficiency for grain yield in an old and two more recent maize hybrids. Field Crops Res. 2017, 214, 185–193. [Google Scholar] [CrossRef]
- Hao, B.; Xue, Q.; Marek, T.H.; Jessup, K.E.; Becker, J.D.; Hou, X.; Xu, W.; Bynum, E.D.; Bean, B.W.; Colaizzi, P.D.; et al. Grain yield, evapotranspiration, and water-use efficiency of maize hybrids differing in drought tolerance. Irrigation Sci. 2019, 37, 25–34. [Google Scholar] [CrossRef]
- Allaby, M. A Dictionary of Plant Sciences; Oxford University Press: Oxford, UK, 2006. [Google Scholar]
- Dordas, C.A.; Papathanasiou, F.; Lithourgidis, A.; Petrevska, J.K.; Papadopoulos, I.; Pankou, C.; Gekas, F.; Ninou, E.; Mylonas, I.; Sistanis, I. Evaluation of physiological characteristics as selection criteria for drought tolerance in maize inbred lines and their hybrids. Maydica 2018, 63, 14. [Google Scholar]
- Hussain, H.A.; Men, S.; Hussain, S.; Chen, Y.; Ali, S.; Zhang, S.; Zhang, K.; Li, Y.; Xu, Q.; Liao, C. Interactive effects of drought and heat stresses on morpho-physiological attributes, yield, nutrient uptake and oxidative status in maize hybrids. Sci. Rep. 2019, 9, 1–12. [Google Scholar] [CrossRef] [PubMed]
- Füzy, A.; Kovács, R.; Cseresnyés, I.; Parádi, I.; Szili-Kovács, T.; Kelemen, B.; Rajkai, K.; Takács, T. Selection of plant physiological parameters to detect stress effects in pot experiments using principal component analysis. Acta Physiol. Plant. 2019, 41, 1–10. [Google Scholar] [CrossRef]
- Mansour, E.; Moustafa, E.S.; Desoky, E.-S.M.; Ali, M.; Yasin, M.A.; Attia, A.; Alsuhaibani, N.; Tahir, M.U.; El-Hendawy, S. Multidimensional evaluation for detecting salt tolerance of bread wheat genotypes under actual saline field growing conditions. Plants 2020, 9, 1324. [Google Scholar] [CrossRef] [PubMed]
- Mansour, E.; Desoky, E.M.; Ali, M.M.A.; Abdul-Hamid, M.I.; Ullah, H.; Attia, A.; Datta, A. Identifying drought-tolerant genotypes of faba bean and their agro-physiological responses to different water regimes in an arid Mediterranean environment. Agric. Water Manag. 2021, 247, 106754. [Google Scholar] [CrossRef]


| 2018 | 2019 | 35 Years Average | |||||||||
|---|---|---|---|---|---|---|---|---|---|---|---|
| Month | Tmin | Tmax | GDD † | Perc. | Tmin | Tmax | GDD † | Perc. | Tmin | Tmax | Perc. |
| ° | mm | °C | mm | °C | mm | ||||||
| May | 18.20 | 35.60 | 539.1 | 0.15 | 17.80 | 36.20 | 536.9 | 0.40 | 16.82 | 34.53 | 0.23 |
| June | 21.20 | 37.80 | 584.7 | 0.00 | 21.60 | 38.30 | 598.3 | 0.00 | 19.63 | 37.91 | 0.30 |
| July | 22.40 | 39.00 | 641.3 | 0.35 | 22.40 | 39.30 | 644.9 | 0.00 | 21.30 | 39.10 | 0.22 |
| August | 22.60 | 38.40 | 635.7 | 0.00 | 22.70 | 39.00 | 646.7 | 0.00 | 21.76 | 38.81 | 0.02 |
| September | 21.00 | 36.30 | 560.1 | 0.00 | 20.70 | 36.00 | 531.8 | 0.00 | 20.05 | 36.21 | 0.30 |
| Irrigation | Hybrids | Total Chlorophyll (mg g−1 FW) | Carotenoids (mg g−1 FW) | Photochemical Activity | Fv/Fm | ||||||||
|---|---|---|---|---|---|---|---|---|---|---|---|---|---|
| Cont. † | EBR24 | Mean * | Cont. | EBR24 | Mean | Cont. | EBR24 | Mean | Cont. | EBR24 | Mean | ||
| Well-watered | Giza-162 | 2.69 | 2.86 | 2.77 d | 0.97 | 1.10 | 1.03 d | 41.23 | 47.63 | 44.43 d | 0.817 | 0.900 | 0.858 d |
| Giza-166 | 2.68 | 2.81 | 2.74 e | 0.95 | 1.04 | 1.00 e | 40.73 | 47.23 | 43.98 e | 0.810 | 0.880 | 0.845 e | |
| Giza-167 | 2.69 | 2.97 | 2.83 c | 0.97 | 1.14 | 1.06 c | 41.63 | 47.97 | 44.80 c | 0.827 | 0.920 | 0.873 c | |
| Giza-168 | 2.73 | 3.14 | 2.94 a | 1.01 | 1.21 | 1.11 a | 43.50 | 48.87 | 46.18 a | 0.837 | 0.950 | 0.893 a | |
| Giza-176 | 2.66 | 2.75 | 2.71 f | 0.94 | 1.02 | 0.98 f | 40.21 | 46.10 | 43.15 f | 0.807 | 0.877 | 0.842 e | |
| Fine-276 | 2.71 | 3.04 | 2.87 b | 0.99 | 1.18 | 1.09 b | 42.73 | 48.30 | 45.52 b | 0.833 | 0.937 | 0.885 b | |
| Mean | 2.69 B | 2.93 A | 2.81 A | 0.97 B | 1.12 A | 1.04 A | 41.67 B | 47.68 A | 44.68 A | 0.822 B | 0.911 A | 0.866 A | |
| Moderate drought | Giza-162 | 1.98 | 2.34 | 2.16 e | 0.66 | 0.73 | 0.70 e | 33.70 | 37.27 | 35.48 c | 0.707 | 0.763 | 0.735 cd |
| Giza-166 | 1.99 | 2.46 | 2.23 d | 0.67 | 0.76 | 0.72 d | 34.20 | 37.60 | 35.90 b | 0.710 | 0.763 | 0.737 cd | |
| Giza-167 | 2.02 | 2.55 | 2.29 c | 0.68 | 0.81 | 0.75 c | 33.97 | 38.10 | 36.03 b | 0.713 | 0.770 | 0.742 c | |
| Giza-168 | 2.09 | 2.65 | 2.37 a | 0.71 | 0.90 | 0.81 a | 34.33 | 38.87 | 36.60 a | 0.727 | 0.803 | 0.765 a | |
| Giza-176 | 1.95 | 2.19 | 2.07 f | 0.66 | 0.72 | 0.69 e | 33.27 | 36.80 | 35.03 d | 0.703 | 0.760 | 0.732 d | |
| Fine-276 | 2.05 | 2.60 | 2.33 b | 0.69 | 0.87 | 0.78 b | 33.43 | 38.27 | 35.85 b | 0.720 | 0.783 | 0.752 b | |
| Mean | 2.01 B | 2.47 A | 2.24 B | 0.68 B | 0.80 A | 0.74 B | 33.82 B | 37.82 A | 35.82 B | 0.713 B | 0.774 A | 0.744 B | |
| Severe drought | Giza-162 | 1.16 | 1.67 | 1.41 d | 0.42 | 0.52 | 0.47 d | 27.63 | 32.50 | 30.07 c | 0.613 | 0.663 | 0.638 d |
| Giza-166 | 1.14 | 1.54 | 1.34 e | 0.41 | 0.49 | 0.45 e | 27.33 | 31.43 | 29.38 d | 0.603 | 0.663 | 0.633 de | |
| Giza-167 | 1.19 | 1.87 | 1.53 b | 0.43 | 0.59 | 0.51 b | 28.47 | 32.60 | 30.53 b | 0.620 | 0.693 | 0.657 b | |
| Giza-168 | 1.17 | 1.76 | 1.47 c | 0.43 | 0.55 | 0.49 c | 27.97 | 32.23 | 30.10 c | 0.617 | 0.680 | 0.648 c | |
| Giza-176 | 1.13 | 1.39 | 1.26 f | 0.40 | 0.45 | 0.43 f | 28.07 | 31.27 | 29.67 d | 0.597 | 0.657 | 0.627 e | |
| Fine-276 | 1.21 | 1.94 | 1.57 a | 0.43 | 0.63 | 0.53 a | 28.97 | 33.00 | 30.98 a | 0.627 | 0.713 | 0.670 a | |
| Mean | 1.17 B | 1.69 A | 1.43 C | 0.42 B | 0.54 A | 0.48 C | 28.07 B | 32.17 A | 30.12 C | 0.613 B | 0.678 A | 0.646 C | |
| Mean (F) | 1.96 B | 2.36 A | 0.69 B | 0.82 A | 34.52 B | 39.22 A | 0.716 B | 0.788 A | |||||
| ANOVA | df | p-value of the main effects and their interactions | |||||||||||
| Irrigation (I) | 2 | <0.001 | <0.001 | <0.001 | <0.001 | ||||||||
| Foliar (F) | 1 | <0.001 | <0.001 | <0.001 | <0.001 | ||||||||
| Hybrids (H) | 5 | <0.001 | <0.001 | <0.001 | <0.001 | ||||||||
| I × F | 2 | <0.001 | <0.001 | <0.001 | <0.001 | ||||||||
| I × H | 10 | <0.001 | <0.001 | 0.001 | <0.001 | ||||||||
| F × H | 5 | <0.001 | <0.001 | <0.001 | <0.001 | ||||||||
| I × F × H | 10 | <0.001 | <0.001 | <0.001 | <0.001 | ||||||||
| Irrigation | Hybrids | Net Photosynthetic Rate | Transpiration Rate | Stomatal Conductance | MDA (µmol g−1 FW) | ||||||||
|---|---|---|---|---|---|---|---|---|---|---|---|---|---|
| Cont. † | EBR24 | Mean * | Cont. | EBR24 | Mean | Cont. | EBR24 | Mean | Cont. | EBR24 | Mean | ||
| Well-watered | Giza-162 | 9.20 | 11.42 | 10.31 d | 4.97 | 7.63 | 6.30 c | 0.627 | 0.710 | 0.668 d | 45.30 | 42.10 | 43.70 c |
| Giza-166 | 9.11 | 11.36 | 10.23 d | 6.91 | 7.55 | 7.23 ab | 0.620 | 0.690 | 0.655 e | 46.00 | 42.33 | 44.17 b | |
| Giza-167 | 9.37 | 11.54 | 10.45 c | 6.99 | 7.74 | 7.37 ab | 0.637 | 0.730 | 0.683 c | 43.97 | 41.07 | 42.52 d | |
| Giza-168 | 9.67 | 12.33 | 11.00 a | 7.15 | 7.95 | 7.55 a | 0.647 | 0.760 | 0.703 a | 42.27 | 39.33 | 40.80 f | |
| Giza-176 | 8.99 | 10.51 | 9.75 e | 6.84 | 7.45 | 7.15 b | 0.617 | 0.687 | 0.652 e | 46.40 | 42.97 | 44.68 a | |
| Fine-276 | 9.47 | 11.90 | 10.69 b | 7.02 | 7.86 | 7.44 ab | 0.643 | 0.77 | 0.695 b | 43.20 | 39.77 | 41.48 e | |
| Mean | 9.30 B | 11.51 A | 10.41 A | 6.65 B | 7.70 A | 7.17 A | 0.632 B | 0.721 A | 0.676 A | 44.52 A | 41.26 B | 42.89 C | |
| Moderate drought | Giza-162 | 7.24 | 8.53 | 7.89 c | 5.53 | 6.09 | 5.81 ab | 0.497 | 0.553 | 0.525 cd | 59.97 | 54.17 | 57.07 b |
| Giza-166 | 7.86 | 8.58 | 8.22 b | 5.29 | 6.19 | 5.74 ab | 0.500 | 0.553 | 0.527 c | 58.53 | 54.57 | 56.55 c | |
| Giza-167 | 7.72 | 8.70 | 8.21 b | 5.33 | 6.31 | 5.82 ab | 0.503 | 0.560 | 0.532 c | 57.00 | 51.37 | 54.18 d | |
| Giza-168 | 7.91 | 8.97 | 8.44 a | 5.43 | 6.52 | 5.98 a | 0.517 | 0.593 | 0.555 a | 55.87 | 50.13 | 53.00 e | |
| Giza-176 | 7.10 | 8.20 | 7.65 d | 5.11 | 5.98 | 5.54 b | 0.493 | 0.550 | 0.522 d | 60.63 | 55.70 | 58.17 a | |
| Fine-276 | 7.81 | 8.87 | 8.34 a | 5.39 | 6.45 | 5.92 ab | 0.510 | 0.573 | 0.542 b | 57.03 | 51.93 | 54.48 d | |
| Mean | 7.60 B | 8.64 A | 8.12 B | 5.35 B | 6.26 A | 5.80 B | 0.503 B | 0.564 A | 0.534 B | 58.17 A | 52.98 B | 55.58 B | |
| Severe drought | Giza-162 | 4.74 | 6.20 | 5.47 c | 3.21 | 4.15 | 3.68 bc | 0.363 | 0.413 | 0.388 d | 72.00 | 66.50 | 69.25 c |
| Giza-166 | 4.63 | 6.02 | 5.33 d | 4.02 | 4.13 | 4.08 a | 0.353 | 0.413 | 0.383 de | 76.07 | 70.27 | 73.17 b | |
| Giza-167 | 4.86 | 6.47 | 5.67 b | 3.42 | 4.40 | 3.91 ab | 0.370 | 0.443 | 0.407 b | 68.87 | 63.33 | 66.10 e | |
| Giza-168 | 4.82 | 6.37 | 5.60 b | 3.36 | 4.29 | 3.83 ab | 0.367 | 0.430 | 0.398 c | 71.43 | 65.37 | 68.40 d | |
| Giza-176 | 4.51 | 5.84 | 5.17 e | 3.08 | 3.83 | 3.46 c | 0.347 | 0.407 | 0.377 e | 78.40 | 74.03 | 76.22 a | |
| Fine-276 | 4.94 | 6.69 | 5.82 a | 3.49 | 4.56 | 4.02 ab | 0.377 | 0.463 | 0.420 a | 67.58 | 62.10 | 64.84 f | |
| Mean | 4.75 B | 6.27 A | 5.51 C | 3.43 B | 4.23 A | 3.83 C | 0.363 B | 0.428 A | 0.396 C | 72.39 A | 66.93 B | 69.66 A | |
| Mean (F) | 7.22 B | 8.81 A | 5.14 B | 6.06 A | 0.499 B | 0.571 A | 58.36 A | 53.72 B | |||||
| ANOVA | df | p-value of the main effects and their interactions | |||||||||||
| Irrigation (I) | 2 | <0.001 | <0.001 | <0.001 | <0.001 | ||||||||
| Foliar (F) | 1 | <0.001 | <0.001 | <0.001 | <0.001 | ||||||||
| Hybrids (H) | 5 | <0.001 | 0.001 | <0.001 | <0.001 | ||||||||
| I × F | 2 | <0.001 | 0.011 | <0.001 | <0.001 | ||||||||
| I × H | 10 | 0.005 | 0.028 | 0.002 | 0.004 | ||||||||
| F × H | 5 | <0.001 | 0.045 | <0.001 | 0.038 | ||||||||
| I × F × H | 10 | <0.001 | 0.031 | <0.001 | 0.002 | ||||||||
| Irrigation | Hybrids | RWC % | MSI % | EL (%) | Soluble Sugars (mg g−1 DW) | ||||||||
|---|---|---|---|---|---|---|---|---|---|---|---|---|---|
| Cont. † | EBR24 | Mean * | Cont. | EBR24 | Mean | Cont. | EBR24 | Mean | Cont. | EBR24 | Mean | ||
| Well-watered | Giza-162 | 81.27 | 85.93 | 83.60 c | 76.97 | 82.03 | 79.50 c | 21.73 | 19.23 | 20.48 c | 18.73 | 20.50 | 19.62 d |
| Giza-166 | 80.77 | 87.37 | 84.07 c | 76.27 | 80.33 | 78.30 d | 22.67 | 19.57 | 21.12 b | 18.07 | 20.27 | 19.17 e | |
| Giza-167 | 82.23 | 87.53 | 84.88 b | 77.77 | 83.90 | 80.83 b | 21.40 | 19.37 | 20.38 c | 19.30 | 21.23 | 20.27 c | |
| Giza-168 | 83.30 | 91.63 | 87.47 a | 79.37 | 86.07 | 82.72 a | 18.90 | 18.17 | 18.53 e | 20.43 | 23.10 | 21.77 a | |
| Giza-176 | 80.42 | 85.37 | 82.89 d | 75.70 | 78.13 | 76.92 e | 23.10 | 20.27 | 21.68 a | 17.57 | 19.17 | 18.37 f | |
| Fine-276 | 81.30 | 88.77 | 85.03 b | 77.27 | 84.90 | 81.08 b | 20.67 | 18.63 | 19.65 d | 19.70 | 22.10 | 20.90 b | |
| Mean | 81.55 B | 87.77 A | 84.66 A | 77.22 B | 82.56 A | 79.89 A | 21.41 A | 19.21 B | 20.31 C | 18.97 B | 21.06 A | 20.01 C | |
| Moderate drought | Giza-162 | 61.73 | 68.20 | 64.97 d | 50.80 | 61.77 | 56.28 e | 28.30 | 26.07 | 27.18 ab | 31.43 | 36.73 | 34.08 e |
| Giza-166 | 61.97 | 70.87 | 66.42 c | 51.43 | 63.67 | 57.55 d | 28.10 | 26.03 | 27.07 b | 33.33 | 38.00 | 35.67 d | |
| Giza-167 | 62.90 | 73.53 | 68.22 b | 52.97 | 67.30 | 60.13 c | 27.17 | 24.73 | 25.95 c | 34.33 | 39.07 | 36.70 c | |
| Giza-168 | 64.40 | 76.17 | 70.28 a | 54.93 | 70.90 | 62.92 a | 26.10 | 24.10 | 25.10 d | 36.57 | 40.97 | 38.77 a | |
| Giza-176 | 61.10 | 65.27 | 63.18 e | 49.97 | 60.43 | 55.20 f | 28.33 | 26.83 | 27.58 a | 30.77 | 35.10 | 32.93 f | |
| Fine-276 | 63.60 | 74.00 | 68.80 b | 53.80 | 68.73 | 61.27 b | 26.80 | 24.67 | 25.73 c | 35.10 | 39.43 | 37.27 b | |
| Mean | 62.62 B | 71.34 A | 66.98 B | 52.32 B | 65.47 A | 58.89 B | 27.47 A | 25.41 B | 26.44 B | 33.59 B | 38.22 A | 35.90 B | |
| Severe drought | Giza-162 | 42.43 | 49.99 | 46.21 d | 31.70 | 43.00 | 37.35 d | 34.07 | 30.20 | 32.13 b | 46.47 | 51.97 | 49.22 d |
| Giza-166 | 41.57 | 48.43 | 45.00 e | 30.47 | 40.73 | 35.60 e | 34.00 | 31.23 | 32.62 a | 46.33 | 50.87 | 48.60 e | |
| Giza-167 | 43.63 | 54.73 | 49.18 b | 35.13 | 47.07 | 41.10 b | 32.17 | 29.63 | 30.90 d | 48.33 | 54.70 | 51.52 b | |
| Giza-168 | 43.77 | 52.90 | 48.33 c | 33.80 | 44.77 | 39.28 c | 33.27 | 29.97 | 31.62 c | 47.40 | 54.07 | 50.73 c | |
| Giza-176 | 40.55 | 47.37 | 43.96 f | 29.93 | 38.37 | 34.15 f | 34.10 | 31.43 | 32.77 a | 45.37 | 49.33 | 47.35 f | |
| Fine-276 | 46.57 | 56.87 | 51.72 a | 37.90 | 48.73 | 43.32 a | 32.63 | 29.10 | 30.87 d | 49.87 | 55.77 | 52.82 a | |
| Mean | 43.09 B | 51.71 A | 47.40 C | 33.16 B | 43.78 A | 38.47 C | 33.37 A | 30.26 B | 31.82 A | 47.29 B | 52.78 A | 50.04 A | |
| Mean (F) | 62.42 B | 70.27 A | 54.23 B | 63.94 A | 27.42 A | 24.96 B | 33.28 A | 37.35 B | |||||
| ANOVA | df | p-value of the main effects and their interactions | |||||||||||
| Irrigation (I) | 2 | <0.001 | <0.001 | <0.001 | <0.001 | ||||||||
| Foliar (F) | 1 | <0.001 | <0.001 | <0.001 | <0.001 | ||||||||
| Hybrids (H) | 5 | <0.001 | <0.001 | <0.001 | <0.001 | ||||||||
| I × F | 2 | <0.001 | <0.001 | <0.001 | <0.001 | ||||||||
| I × H | 10 | 0.003 | 0.002 | 0.011 | <0.001 | ||||||||
| F × H | 5 | <0.001 | <0.001 | 0.058 | <0.001 | ||||||||
| I × F × H | 10 | <0.001 | <0.001 | <0.001 | <0.001 | ||||||||
| Irrigation | Hybrids | Proline (µmol g−1 DW) | POD (Unit mg−1 Protein) | CAT (Unit mg−1 Protein) | SOD (Unit mg−1 Protein) | ||||||||
|---|---|---|---|---|---|---|---|---|---|---|---|---|---|
| Cont. † | EBR24 | Mean * | Cont. | EBR24 | Mean | Cont. | EBR24 | Mean | Cont. | EBR24 | Mean | ||
| Well-watered | Giza-162 | 62.07 | 64.60 | 63.33 bc | 8.06 | 9.79 | 8.93 b | 4.33 | 5.74 | 5.03 d | 2.62 | 3.93 | 3.28 cd |
| Giza-166 | 60.93 | 63.60 | 62.27 c | 7.23 | 9.03 | 8.13 c | 3.93 | 5.23 | 4.58 e | 2.35 | 3.75 | 3.05 d | |
| Giza-167 | 63.30 | 64.67 | 63.98 bc | 8.38 | 9.87 | 9.13 b | 4.74 | 5.88 | 5.31 c | 2.87 | 4.23 | 3.55 bc | |
| Giza-168 | 66.20 | 69.03 | 67.62 a | 9.19 | 10.90 | 10.05 a | 5.28 | 6.59 | 5.94 a | 3.38 | 4.93 | 4.15 a | |
| Giza-176 | 60.53 | 62.80 | 61.67 c | 6.93 | 7.80 | 7.36 d | 3.41 | 4.66 | 4.03 f | 2.17 | 3.51 | 2.84 d | |
| Fine-276 | 64.40 | 66.70 | 65.55 ab | 9.04 | 10.34 | 9.69 a | 5.12 | 6.57 | 5.85 b | 3.06 | 4.80 | 3.93 ab | |
| Mean | 62.91 B | 65.23 A | 64.07 C | 8.14 B | 9.62 A | 8.88 C | 4.47 B | 5.78 A | 5.12 C | 2.74 B | 4.19 A | 3.47 C | |
| Moderate drought | Giza-162 | 131.63 | 134.30 | 132.97 c | 14.29 | 17.70 | 15.99 e | 7.80 | 9.05 | 8.42 e | 5.47 | 7.44 | 6.45 d |
| Giza-166 | 134.30 | 138.07 | 136.18 b | 14.79 | 18.47 | 16.63 d | 7.99 | 9.10 | 8.55 d | 5.91 | 7.90 | 6.90 bc | |
| Giza-167 | 134.67 | 139.60 | 137.13 b | 15.17 | 18.94 | 17.06 c | 8.43 | 9.94 | 9.19 c | 6.17 | 8.10 | 7.14 b | |
| Giza-168 | 137.70 | 142.80 | 140.25 a | 17.70 | 19.86 | 18.78 a | 9.03 | 10.85 | 9.94 a | 6.87 | 8.86 | 7.87 a | |
| Giza-176 | 130.63 | 134.63 | 132.63 c | 13.31 | 17.47 | 15.39 f | 7.32 | 8.44 | 7.88 f | 6.14 | 6.84 | 6.49 c | |
| Fine-276 | 135.60 | 140.87 | 138.23 ab | 16.28 | 19.13 | 17.71 b | 8.77 | 10.55 | 9.66 b | 6.51 | 8.70 | 7.61 a | |
| Mean | 134.09 B | 138.38 A | 136.23 B | 15.26 B | 18.60 A | 16.93 B | 8.22 B | 9.65 A | 8.94 B | 6.18 B | 7.97 A | 7.08 B | |
| Severe drought | Giza-162 | 163.67 | 174.10 | 168.88 b | 27.43 | 31.77 | 29.60 d | 13.25 | 14.33 | 13.79 d | 10.77 | 12.50 | 11.64 bc |
| Giza-166 | 162.40 | 172.60 | 167.50 bc | 26.74 | 31.17 | 28.95 e | 12.98 | 14.41 | 13.69 e | 10.54 | 12.25 | 11.39 c | |
| Giza-167 | 167.50 | 177.57 | 172.53 a | 28.95 | 33.24 | 31.10 b | 14.01 | 15.63 | 14.82 b | 11.24 | 13.62 | 12.43 a | |
| Giza-168 | 166.53 | 177.17 | 171.85 a | 28.24 | 32.66 | 30.45 c | 13.66 | 15.04 | 14.35 c | 10.95 | 12.72 | 11.83 b | |
| Giza-176 | 160.57 | 169.93 | 165.25 c | 25.77 | 30.45 | 28.11 f | 12.73 | 14.35 | 13.54 f | 10.21 | 11.69 | 10.95 d | |
| Fine-276 | 160.60 | 179.37 | 169.98 ab | 29.90 | 33.93 | 31.92 a | 14.36 | 15.95 | 15.16 a | 11.55 | 13.92 | 12.74 a | |
| Mean | 163.54 B | 175.12 A | 169.33 A | 27.84 B | 32.20 A | 30.02 A | 13.50 B | 14.95 A | 14.22 A | 10.88 B | 12.78 A | 11.83 A | |
| Mean (F) | 120.18 B | 126.24 A | 17.08 B | 20.14 A | 8.73 B | 10.13 A | 6.60 B | 8.32 A | |||||
| ANOVA | df | p-value of the main effects and their interactions | |||||||||||
| Irrigation (I) | 2 | <0.001 | <0.001 | <0.001 | <0.001 | ||||||||
| Foliar (F) | 1 | <0.001 | <0.001 | <0.001 | <0.001 | ||||||||
| Hybrids (H) | 5 | <0.001 | <0.001 | <0.001 | <0.001 | ||||||||
| I × F | 2 | <0.001 | <0.001 | 0.011 | <0.001 | ||||||||
| I × H | 10 | 0.003 | 0.012 | <0.001 | 0.031 | ||||||||
| F × H | 5 | <0.001 | 0.011 | <0.001 | <0.001 | ||||||||
| I × F × H | 10 | <0.001 | 0.001 | <0.001 | 0.001 | ||||||||
| Irrigation | Hybrids | Crop Water Productivity of Grain Yield (CWPg) | Crop Water Productivity of Biological Yield (CWPb) | ||||
|---|---|---|---|---|---|---|---|
| Cont. † | EBR24 | Mean * | Cont. | EBR24 | Mean | ||
| Well-watered | Giza-162 | 0.744 | 0.798 | 0.771 c | 1.651 | 1.738 | 1.695 c |
| Giza-166 | 0.755 | 0.796 | 0.776 c | 1.526 | 1.613 | 1.570 e | |
| Giza-167 | 0.777 | 0.825 | 0.801 b | 1.776 | 1.858 | 1.817 ab | |
| Giza-168 | 0.799 | 0.846 | 0.823 a | 1.778 | 1.869 | 1.824 a | |
| Giza-176 | 0.729 | 0.750 | 0.739 d | 1.608 | 1.674 | 1.641 d | |
| Fine-276 | 0.790 | 0.830 | 0.810 b | 1.752 | 1.843 | 1.797 b | |
| Mean | 0.766 B | 0.807 A | 0.786 C | 1.682 B | 1.766 A | 1.724 C | |
| Moderate drought | Giza-162 | 0.838 | 0.898 | 0.868 f | 1.971 | 2.130 | 2.051 d |
| Giza-166 | 0.852 | 0.915 | 0.883 e | 1.799 | 1.938 | 1.868 e | |
| Giza-167 | 0.958 | 1.023 | 0.990 c | 2.102 | 2.254 | 2.178 c | |
| Giza-168 | 1.069 | 1.128 | 1.099 a | 2.198 | 2.375 | 2.287 a | |
| Giza-176 | 0.873 | 0.931 | 0.902 d | 1.807 | 1.911 | 1.859 e | |
| Fine-276 | 0.997 | 1.058 | 1.028 b | 2.160 | 2.319 | 2.240 b | |
| Mean | 0.931 B | 0.992 A | 0.962 B | 2.006 B | 2.155 A | 2.080 B | |
| Severe drought | Giza-162 | 1.047 | 1.134 | 1.091 d | 2.298 | 2.593 | 2.445 e |
| Giza-166 | 1.080 | 1.164 | 1.122 c | 2.402 | 2.604 | 2.503 d | |
| Giza-167 | 1.169 | 1.294 | 1.231 b | 2.575 | 2.920 | 2.747 b | |
| Giza-168 | 1.160 | 1.286 | 1.223 b | 2.379 | 2.714 | 2.547 c | |
| Giza-176 | 1.017 | 1.107 | 1.062 e | 2.302 | 2.531 | 2.416 f | |
| Fine-276 | 1.200 | 1.351 | 1.275 a | 2.600 | 2.995 | 2.797 a | |
| Mean | 1.112 B | 1.223 A | 1.167 A | 2.426 B | 2.726 A | 2.576 A | |
| Mean (F) | 0.936 B | 1.007 A | 2.038 B | 2.216 A | |||
| ANOVA | df | p-value of the main effects and their interactions | |||||
| Irrigation (I) | 2 | <0.001 | <0.001 | ||||
| Foliar (F) | 1 | <0.001 | <0.001 | ||||
| Hybrids (H) | 5 | <0.001 | <0.001 | ||||
| I × F | 2 | <0.001 | <0.001 | ||||
| I × H | 10 | <0.001 | <0.001 | ||||
| F × H | 5 | <0.001 | <0.001 | ||||
| I × F × H | 10 | <0.001 | <0.001 | ||||
Publisher’s Note: MDPI stays neutral with regard to jurisdictional claims in published maps and institutional affiliations. |
© 2021 by the authors. Licensee MDPI, Basel, Switzerland. This article is an open access article distributed under the terms and conditions of the Creative Commons Attribution (CC BY) license (http://creativecommons.org/licenses/by/4.0/).
Share and Cite
Desoky, E.-S.M.; Mansour, E.; Ali, M.M.A.; Yasin, M.A.T.; Abdul-Hamid, M.I.E.; Rady, M.M.; Ali, E.F. Exogenously Used 24-Epibrassinolide Promotes Drought Tolerance in Maize Hybrids by Improving Plant and Water Productivity in an Arid Environment. Plants 2021, 10, 354. https://doi.org/10.3390/plants10020354
Desoky E-SM, Mansour E, Ali MMA, Yasin MAT, Abdul-Hamid MIE, Rady MM, Ali EF. Exogenously Used 24-Epibrassinolide Promotes Drought Tolerance in Maize Hybrids by Improving Plant and Water Productivity in an Arid Environment. Plants. 2021; 10(2):354. https://doi.org/10.3390/plants10020354
Chicago/Turabian StyleDesoky, El-Sayed M., Elsayed Mansour, Mohamed M. A. Ali, Mohamed A. T. Yasin, Mohamed I. E. Abdul-Hamid, Mostafa M. Rady, and Esmat F. Ali. 2021. "Exogenously Used 24-Epibrassinolide Promotes Drought Tolerance in Maize Hybrids by Improving Plant and Water Productivity in an Arid Environment" Plants 10, no. 2: 354. https://doi.org/10.3390/plants10020354
APA StyleDesoky, E.-S. M., Mansour, E., Ali, M. M. A., Yasin, M. A. T., Abdul-Hamid, M. I. E., Rady, M. M., & Ali, E. F. (2021). Exogenously Used 24-Epibrassinolide Promotes Drought Tolerance in Maize Hybrids by Improving Plant and Water Productivity in an Arid Environment. Plants, 10(2), 354. https://doi.org/10.3390/plants10020354

