Bioguided Isolation of Alkaloids and Pharmacological Effects of the Total Alkaloid Fraction from Aspidosperma pyrifolium Mart. (Apocynaceae)
Abstract
:1. Introduction
2. Results and Discussion
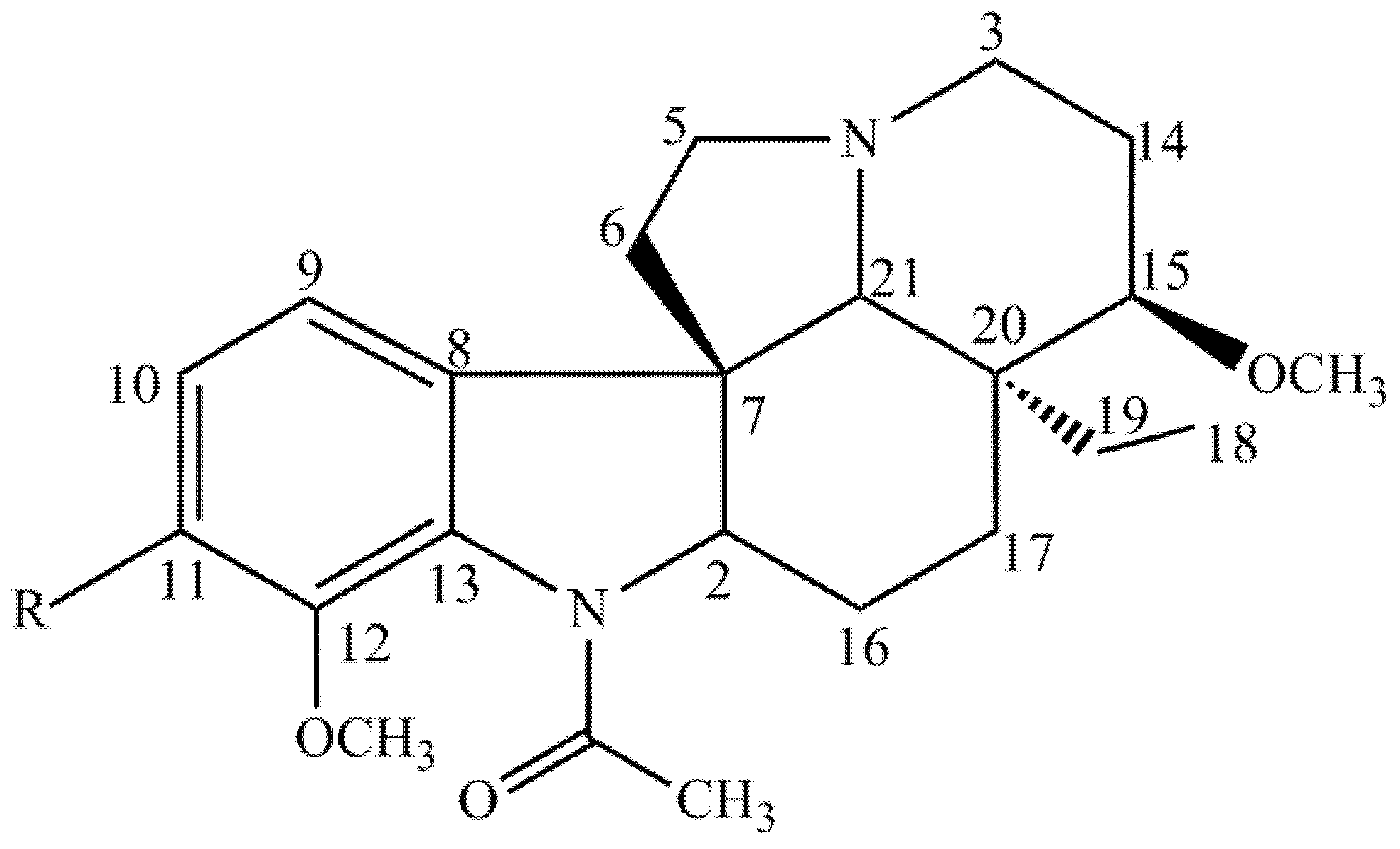
2.1. Chemical Identification of Isolated Compounds
2.2. Acute Toxicity
2.3. Anti-Inflammatory Activity
2.3.1. Carrageenan-Induced Paw Edema
2.3.2. Carrageenan-Induced Peritonitis
2.4. Anti-Nociceptive Activity
2.4.1. 1% Acetic Acid-Induced Abdominal Writhing Test
2.4.2. Formalin-Induced Nociception Test
3. Materials and Methods
3.1. Vegetable Material Collection and Identification
3.2. Isolation and Characterization of Compounds
3.3. Obtaining of the Total Alkaloids Fraction from A. pyrifolium (TAF-Ap)
Isolation of Alkaloids from TAF-Ap
3.4. Techniques Used for Structural Identification
3.5. Animals
3.6. Chemicals and Reagents
3.7. Pharmacological Tests
Acute Toxicity Assessment
3.8. Evaluation of Anti-Inflammatory Activity
3.8.1. Carrageenan-Induced Paw Edema
3.8.2. Carrageenan-Induced Peritonitis
3.9. Evaluation of Anti-Nociceptive Activity
3.9.1. Acetic Acid-Induced Abdominal Writhing Test
3.9.2. Formalin-Induced Nociception
3.10. Statistical Analysis
4. Conclusions
Supplementary Materials
Author Contributions
Funding
Institutional Review Board Statement
Informed Consent Statement
Data Availability Statement
Acknowledgments
Conflicts of Interest
References
- Sostres, C.; Gargallo, C.J.; Arroyo, M.T.; Lanas, A. Adverse effects of non-steroidal anti- inflammatory drugs (NSAIDs, aspirin and coxibs) on upper gastrointestinal tract. J. Best Pract. Res. Clin. Gastroenterol. 2010, 24, 121–132. [Google Scholar] [CrossRef]
- Chiu, Y.J.; Huang, T.H.; Chiu, C.S.; Lu, T.C.; Chen, Y.W.; Peng, W.H.; Chen, C.Y. Analgesic and Antiinflammatory Activities of the Aqueous Extract from Plectranthus amboinicus (Lour.) Spreng. Both in vitro and in vivo. Evid. Based Complementary Altern. Med. 2011, 2012, 508137. [Google Scholar]
- Nunes, D.S.; Koike, L.; Taveira, J.J.; Reis, F.A.M. Indole alkaloids from Aspidosperma pruinosum. Phytochemistry 1992, 31, 2507–2511. [Google Scholar]
- Tigre, C.B. Forestry for Xerophilous Forests; DNOCS: Petrolina, Brazil, 1968; p. 175.
- Bourdy, G.; Oporto, P.; Gimenez, A.; Deharo, E. A search for natural bioactive compounds in Bolivia through a multidisciplinary approach. Part VI. Evaluation of the antimalarial activity of plants used by Isoceño-Guaraní Indians. J. Ethnopharm. 2004, 93, 269–277. [Google Scholar] [CrossRef] [PubMed]
- Nogueira, P.C.N.; Araújo, R.M.; Viana, G.S.B.; Araújo, D.P.; Braz-Filho, R.; Silveira, E.R. Plumeran Alkaloids and Glycosides from the Seeds of Aspidosperma pyrifolium Mart. J. Braz. Chem. Soc. 2014, 25, 2108–2120. [Google Scholar]
- Araújo, D.P.; Nogueira, P.C.N.; Santos, A.D.C.; Costa, R.O.; Lucena, J.D.; Gadelha-Filho, C.V.J.; Lima, F.A.V.; Neves, K.R.T.; Leala, L.K.A.M.; Silveira, E.R.; et al. Aspidosperma pyrifolium Mart: Neuroprotective, antioxidant and anti-inflammatory effects in a Parkinson’s disease model in rats. J. Pharm. Pharmacol. 2018, 70, 787–796. [Google Scholar] [CrossRef]
- Mitaine-Offer, A.C.; Sauvain, M.; Valentin, A.; Callapa, J.; Maille, M.; Zeches-Hanrot, M. Antiplasmodial activity of Aspidosperma indole alkaloids. Phytomedicine 2002, 9, 142–145. [Google Scholar] [CrossRef]
- Guimarães, H.A.; Braz-Filho, R.; Vieira, I.J.C. 1H and 13C-NMR Data of the Simplest Plumeran Indole Alkaloids Isolated from Aspidosperma Species. Molecules 2012, 17, 3025–3043. [Google Scholar] [CrossRef] [Green Version]
- Pereira, M.M.; Jácome, R.L.R.P.; Alcântara, A.F.C.; Alves, R.B.; Raslan, D.S. Indole alkaloids from species of the Aspidosperma (Apocynaceae). Quim. Nova 2007, 30, 970–983. [Google Scholar] [CrossRef]
- Marques, M.F.S.; Kato, L.; Filho, H.F.L.; Reis, F.A.M. Indole alkaloids from Aspidosperma ramiflorum. Phytochemistry 1996, 41, 963–967. [Google Scholar] [CrossRef]
- Verpoorte, R. Methods for the Structure Elucidation of Alkaloids. J. Nat. Prod. 1986, 49, 1–25. [Google Scholar] [CrossRef]
- Gilbert, B.; Ferreira, J.M.; Owellen, R.J.; Swanholm, C.E.; Budzikiewicz, H.; Durham, L.J.; Djerassi, C. Mass spectrometry in structural and stereochemical problems pyrifoline and refractidine. Tetrahedron Lett. 1962, 3, 59–67. [Google Scholar] [CrossRef]
- Raza, M.M.; Al-Shabanah, O.A.; El-Hadiya, H.T.M.; Al-Majed, A.A. Effect of prolonged vigabatrin treatment of hematological and biochemical parameters in plasm, liver and kidney of Swiss albino mice. Sci. Pharm. 2002, 70, 135–145. [Google Scholar] [CrossRef] [Green Version]
- Medeiros, R.M.T.; Neto, S.A.G.; Riet-Correa, F.; Schild, A.L.; Sousa, N.L. Embryonic mortality and abortion in goats caused by Aspidosperma pyrifolium. Braz. J. Vet. Res. 2004, 24, 42–43. [Google Scholar]
- Silva, D.M.; Riet-Correa, F.; Medeiros, R.M.T.; Oliveira, O.F. Toxic plants for ruminants and horses in the western and eastern Seridó of Rio Grande do Norte. Braz. J. Vet. Res. 2006, 26, 223–236. [Google Scholar]
- Lima, M.C.J.S.; Soto-Blanco, B. Poisoning in goats by Aspidosperma pyrifolium Mart.: Biological and cytotoxic effects. Toxicon 2010, 55, 320–324. [Google Scholar] [CrossRef]
- Gupta, A.K.; Parasar, D.; Sagar, A.; Choudhary, V.; Chopra, B.S.; Garg, R.; Khatri, N. Analgesic and Anti-Inflammatory Properties of Gelsolin in Acetic Acid Induced Writhing, Tail Immersion and Carrageenan Induced Paw Edema in Mice. PLoS ONE 2015, 10, e0135558. [Google Scholar] [CrossRef] [PubMed] [Green Version]
- Chen, H.; Pu, J.; Liu, D.; Yu, W.; Shao, Y.; Yang, G.; Xiang, Z.; He, N. Anti-Inflammatory and Antinociceptive Properties of Flavonoids from the Fruits of Black Mulberry (Morus nigra L.). PLoS ONE 2016, 5, e0153080. [Google Scholar] [CrossRef]
- Lee, S.O.; Jeong, Y.J.; Yu, M.H.; Lee, J.W.; Hwangbo, M.H.; Kim, C.H.; Lee, I.S. Wogonin suppresses TNF-α- induced MMP-9 expression by blocking the NF-κB activation via MAPK signaling pathways in human aortic smooth muscle cells. Biochem. Biophys. Res. Commun. 2006, 351, 118–125. [Google Scholar] [CrossRef]
- Chi, Y.S.; Lim, H.; Park, H.; Kim, H.P. Effects of wogonin, a plant flavone from Scutellaria radix, on skin inflammation: In vivo regulation of inflammation associated gene expression. Biochem. Pharmacol. 2003, 66, 1271–1278. [Google Scholar] [CrossRef]
- Mizokami, S.S.; Hohmann, M.S.N.; Staurengo-Ferrari, L.; Carvalho, T.T.; Zarpelon, A.C.; Possebon, M.I.; de Souza, A.R.; Veneziani, R.C.S.; Arakawa, N.S.; Casagrande, R.; et al. Pimaradienoic Acid Inhibits Carrageenan Induced Inflammatory Leukocyte Recruitment and Edema in Mice: Inhibition of Oxidative Stress, Nitric Oxide and Cytokine Production. PLoS ONE 2016, 11, e0149656. [Google Scholar] [CrossRef] [Green Version]
- Medzhitov, R. Origin and physiological roles of inflammation. Nature 2008, 454, 428–435. [Google Scholar] [CrossRef] [PubMed]
- Németh, T.; Mócsai, A. The role of neutrophils in autoimmune diseases. Immunol Lett. 2012, 143, 9–19. [Google Scholar] [CrossRef]
- Radu, B.M.; Bramanti, P.; Osculati, F.; Flonta, M.L. Neurovascular unit in chronic pain. Mediat. Inflamm. 2013, 64, 1–18. [Google Scholar] [CrossRef] [PubMed] [Green Version]
- Parveen, Z.; Deng, Y.; Saeed, M.; Dai, R.; Ahamad, W.; Yu, Y.H. Antiinflammatory and analgesic activities of Thesium chinense Turcz extracts and its major flavonoids, kaempferol and kaempferol-3-Oglucoside. Yakugaku Zasshi 2007, 127, 1275–1279. [Google Scholar] [CrossRef] [PubMed] [Green Version]
- Santos, G.L.D.; Lemos, E.L.; Fernandes, A.F.C.; Rocha, W.R.V.; Catão, R.M.R.; Braz-Filho, R.; Tavares, J.F.; Fechine, I.M.; Alves, H.S. Phytochemical study of Harrisia adscendens. Braz. J. Pharm. 2018, 28, 298–302. [Google Scholar] [CrossRef]
- Garber, J.; Barbee, R.; Bielitzki, J.; Clayton, L.; Donovan, J. Guide for the Care and Use of Laboratory Animals, 8th ed.; The National Academy Press: Washington, DC, USA, 2010. [Google Scholar]
- Zimmenann, M. Ethical guidelines for investigations of experimental pain in conscious animals. Pain 1983, 16, 109–110. [Google Scholar] [CrossRef]
- Lorke, D. A new approach to practical acute toxicity testing. Arch. Toxicol. 1983, 54, 275–287. [Google Scholar] [CrossRef] [PubMed]
- Escobedo-Martínez, C.; Guzman-Gutiérrez, S.L.; Hernandez-Mendez, M.M.; Cassini, J.; Trujillo-Valdivia, A.; Orozoco-Castellanos, L.M.; Enríquez, R.G. Heliopsis longipes: Anti-arthritic activity evaluated in a Freund’s adjuvant-induced model in rodents. Braz. J. Pharmac. 2017, 27, 214–219. [Google Scholar] [CrossRef] [Green Version]
- Castro, K.N.C.; Carvalho, A.L.O.; Almeida, A.P.; Oliveira, D.B.; Borba, H.R.; Costa, S.S.; Zingali, R.B. Preliminary in vitro studies on the Marsipianthes chamaedrys (bóia-caá) extracts at fibrino clotting induced by snake venoms. Toxicon 2003, 41, 929–932. [Google Scholar] [CrossRef]
- Zayed, M.; Hassan, M. Synthesis and biological evaluation studies of novel quinazolinone derivatives as antibacterial and anti-inflammatory agents. Saudi Pharm. J. 2014, 22, 157–162. [Google Scholar] [CrossRef] [PubMed] [Green Version]
- Cunha, F.Q.; Souza, G.E.; Souza, C.A.; Cerqueira, B.C.; Ferreira, S.H. In-vivo blockage of neutrophil migration by LPS is mimicked by a factor released from LPS-stimulated macrophages. Br. J. Exp. Pathol. 1989, 70, 1. [Google Scholar] [PubMed]
- Ferrándiz, M.L.; Alcaraz, M.J. Anti-inflammatory activity and inhibition of arachidonic acid metabolism by flavonoids. Agents Actions 1991, 32, 283–288. [Google Scholar] [CrossRef] [PubMed]
- Koster, R.; Anderson, M. Acetic acid for analgesic screening. Fed. Proc. 1959, 18, 412. [Google Scholar]
- Hunskaar, S.; Hole, K. The formalin test in mice: Dissociation between inflammatory a non-inflammatory pain. Pain 1987, 30, 103–114. [Google Scholar] [CrossRef]






| Position | 1 | 2 | ||
|---|---|---|---|---|
| C | δC | δH | δC | δH |
| 2 | 67.67 | 4.93 (dd, J = 6.2 and 10.7 Hz, 1H) | 67.90 | 4.85 (dd, J = 6.1 and 10.6 Hz, 1H) |
| 3 | 52.83 | 3.26 (brd, J = 8.2 Hz, 1H) and 2.17 (m, 1H) | 52.70 | 3.26 (brd, J = 8.2 Hz, 1H) and 2.17 (m, 1H) |
| 5 | 52.80 | 3.37 (d, J = 6.8 Hz, 1H) and 2.36 (m, 1H) | 52.70 | 3.37 (d, J = 6.8 Hz, 1H) and 2.36 (m, 1H) |
| 6 | 37.71 | 2.06 (brt, J = 2.2 Hz, 1H) and 1.92 (dd, J = 3.8 and 15.2 Hz, 1H) | 37.35 | (brt, J = 2.2 Hz, 1H) and 1.92 (dd, J = 3.8 and 15.2 Hz, 1H) |
| 7 | 52.80 | - | 52.83 | - |
| 8 | 141.65 | - | 141.65 | - |
| 9 | 110.38 | 6.82 (dd, J = 8.3 and 1.9 Hz, 2H) | 117.39 | 7.06 (d, J = 8.2 Hz, 1H) |
| 10 | 127.42 | 7.16 (t, J = 7.8, 1H) | 113.45 | 7.00 (d, J = 8.2 Hz, 1H) |
| 11 | 110.09 | 6.82 (dd, J = 8.3 and 1.9 Hz, 2H) | 154.66 | - |
| 12 | 141.68 | - | 150.10 | - |
| 13 | 133.50 | - | 134.33 | - |
| 14 | 24.44 | 2.03 (m, 1H) and 1.59 (brd, J = 3.8 Hz, 1H) | 24.33 | 2.03 (m, 1H) and 1.59 (brd, J = 4.5 Hz, 1H) |
| 15 | 74.02 | 3.26 (brd, J = 9.0 Hz, 1H) | 74.50 | 3.17 (brd, J = 14.3 Hz, 1H) |
| 16 | 24.77 | 2.00 (m, 1H) and 1.35 (m, 1H) | 24.60 | 2.00 (m, 1H) and 1.35 (m, 1H) |
| 17 | 24.33 | 2.03 (m, 1H) and 1.37 (m, 1H) | 24.44 | 2.03 (m, 1H) and 1.37 (m, 1H) |
| 18 | 6.77 | 0.69 (t, J = 7.5 Hz, 3H) | 6.84 | 0.68 (t, J = 7.5 Hz, 3H) |
| 19 | 30.45 | 1.05 (q, J = 7.3 Hz, 2H) | 29.98 | 1.00 (q, J = 7.3 Hz, 2H) |
| 20 | 36.59 | - | 36.57 | - |
| 21 | 71.17 | 3.80 (s, 1H) | 71.15 | 3.81 (s, 1H) |
| 11-OCH3 | - | - | 56.53 | 3.83 (s, 3H) |
| 12-OCH3 | 56.01 | 3.84 (s, 3H) | 56.53 | 3.86 (s, 3H) |
| 15-OCH3 | 56.74 | 3.31 (s, 3H) | 56.74 | 3.31 (s, 3H) |
| NCOCH3 | 169.59 | 170.26 | ||
| NCOCH3 | 22.93 | 2.18 (s, 3H) | 22.98 | 2.19 (s, 3H) |
| Parameter | Sex | Saline Solution | TAF-Ap (50 mg kg−1) | TAF-Ap (100 mg kg−1) |
|---|---|---|---|---|
| Initial W. (g) | M | 28.83 ± 1.32 | 27.67 ± 2.58 | 30.67 ± 0.81 |
| Final W. (g) | 33.17 ± 1.31 | 34.50 ± 3.72 | 31.50 ± 3.72 | |
| Gain (%) | 4.34 | 6.83 | 0.83 *** | |
| Initial W. (g) | F | 27.50 ± 0.83 | 25.00 ± 1.41 | 25.33 ± 3.14 |
| Final W. (g) | 32.00 ± 1.26 | 32.17 ± 1.54 | 26.31 ± 3.18 | |
| Gain (%) | 4.50 | 7.17 | 0.98 *** | |
| Feed intake per day (g) | M | 34.57 ± 2.92 | 37.29 ± 3.42 | 25.50 ± 3.25 *** |
| F | 36.71 ± 2.94 | 35.86 ± 2.65 | 23.07 ± 2.30 *** | |
| Water consumption per day (mL) | M | 52.14 ± 4.25 | 52.86 ± 4.68 | 56.43 ± 2.25 *** |
| F | 46.79 ± 4.64 | 50.00 ± 3.39 *** | 60.29 ± 3.93 *** |
| Relative Weight of Organs (g/100 g) | Sex | Negative Control | TAF-Ap (50 mg kg−1) | TAF-Ap (100 mg kg−1) |
|---|---|---|---|---|
| Liver | M | 5.11 ± 0.65 | 5.06 ± 0.55 | 4.13 ± 0.54 * |
| Spleen | 0.59 ± 0.32 | 0.73 ± 0.47 | 0.80 ± 0.21 | |
| Heart | 0.47 ± 0.02 | 0.50 ± 0.05 | 0.52 ± 0.11 | |
| Kidneys | 1.23 ± 0.64 | 1.37 ± 0.11 | 1.24 ± 0.16 | |
| Liver | F | 4.98 ± 0.20 | 4.95 ± 0.47 | 4.03 ± 0.53 * |
| Spleen | 0.59 ± 0.11 | 0.45 ± 0.11 | 0.48 ± 0.25 | |
| Heart | 0.48 ± 0.03 | 0.45 ± 0.04 | 0.36 ± 0.18 | |
| Kidneys | 1.08 ± 0.11 | 0.97 ± 0.08 | 0.85 ± 0.44 |
| Treatments | Time Animals Are Licking Paw in Phase I (0–5 min) | Inhibition (%) | Time Animals Remain Licking Paw in Phase II (15–30 min) | Inhibition (%) |
|---|---|---|---|---|
| Saline | 4.53 ± 0.34 | 11.30 ± 1.66 | ||
| Indomethacin | 1.58 ± 1.39 ** | 62.12 ** | 1.00 ± 1.43 *** | 91.15 *** |
| TAF-Ap 10 mg kg−1 | 3.14 ± 1.09 | 30.68 | 6.90 ± 1.5 | 38.93 |
| TAF-Ap 20 mg kg−1 | 2.98 ± 1.00 | 34.21 | 3.4 ± 2.0 ** | 69.91 ** |
| TAF-Ap 30 mg kg−1 | 1.90 ± 1.09 ** | 58.05 ** | 1.63 ± 1.79 *** | 85.57 *** |
Publisher’s Note: MDPI stays neutral with regard to jurisdictional claims in published maps and institutional affiliations. |
© 2021 by the authors. Licensee MDPI, Basel, Switzerland. This article is an open access article distributed under the terms and conditions of the Creative Commons Attribution (CC BY) license (https://creativecommons.org/licenses/by/4.0/).
Share and Cite
Lins, F.S.V.; da Silva, V.F.; Tavares, J.F.; dos Santos, V.L.; da Silva Alves, H. Bioguided Isolation of Alkaloids and Pharmacological Effects of the Total Alkaloid Fraction from Aspidosperma pyrifolium Mart. (Apocynaceae). Plants 2021, 10, 2526. https://doi.org/10.3390/plants10112526
Lins FSV, da Silva VF, Tavares JF, dos Santos VL, da Silva Alves H. Bioguided Isolation of Alkaloids and Pharmacological Effects of the Total Alkaloid Fraction from Aspidosperma pyrifolium Mart. (Apocynaceae). Plants. 2021; 10(11):2526. https://doi.org/10.3390/plants10112526
Chicago/Turabian StyleLins, Francisca Sabrina Vieira, Vanessa Farias da Silva, Josean Fechine Tavares, Vanda Lúcia dos Santos, and Harley da Silva Alves. 2021. "Bioguided Isolation of Alkaloids and Pharmacological Effects of the Total Alkaloid Fraction from Aspidosperma pyrifolium Mart. (Apocynaceae)" Plants 10, no. 11: 2526. https://doi.org/10.3390/plants10112526
APA StyleLins, F. S. V., da Silva, V. F., Tavares, J. F., dos Santos, V. L., & da Silva Alves, H. (2021). Bioguided Isolation of Alkaloids and Pharmacological Effects of the Total Alkaloid Fraction from Aspidosperma pyrifolium Mart. (Apocynaceae). Plants, 10(11), 2526. https://doi.org/10.3390/plants10112526

