Silicon Fertilization: A Step towards Cadmium-Free Fragrant Rice
Abstract
:1. Introduction
2. Results
2.1. Growth Attributes
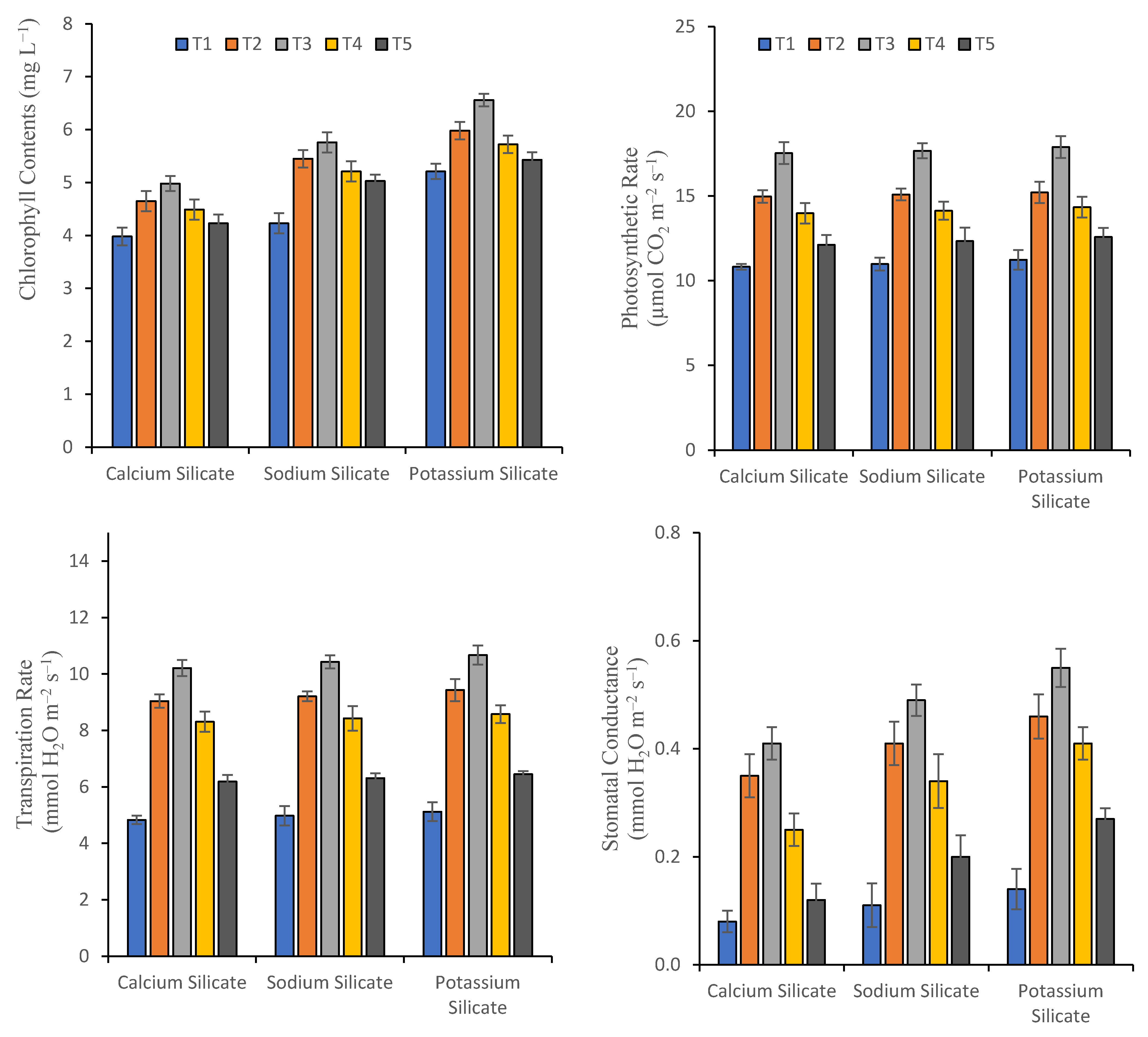
2.2. Photosynthetic Attributes
2.3. Yield Attributes
2.4. Cd and Si Accumulations
2.5. Health Risk Index
3. Discussion
4. Materials and Methods
4.1. Experimental Design and Treatments
4.2. Plant Materials, Experiment Setup, and Maintenance
4.3. Measurements and Data Collection
4.4. Quantification of Cd and Si Contents in Plant Tissues
4.5. Health Risk Index
4.6. Statistical Analysis
5. Conclusions
Author Contributions
Funding
Institutional Review Board Statement
Informed Consent Statement
Data Availability Statement
Conflicts of Interest
References
- Wang, Y.; Luo, W.; Zeng, G.; Peng, H.; Cheng, A.; Zhang, L.; Cai, X.; Chen, J.; Lyu, Y.; Yang, H.; et al. Characteristics of carbon, water, and energy fluxes on abandoned farmland revealed by critical zone observation in the karst region of southwest China. Agric. Ecosyst. Environ. 2020, 292, 106821. [Google Scholar] [CrossRef]
- Hussain, A.; Ali, S.; Rizwan, M.; Rehman, M.Z.U.; Hameed, A.; Hafeez, F.; Alamri, S.; Alyemeni, M.N.; Wijaya, L. Role of Zinc–Lysine on Growth and Chromium Uptake in Rice Plants under Cr Stress. J. Plant Growth Regul. 2018, 37, 1413–1422. [Google Scholar] [CrossRef]
- Shah, V.; Daverey, A. Effects of sophorolipids augmentation on the plant growth and phytoremediation of heavy metal con-taminated soil. J. Clean. Prod. 2021, 280, 124406. [Google Scholar] [CrossRef]
- Czyżewski, B.; Trojanek, R.; Dzikuć, M.; Czyżewski, A. Cost-effectiveness of the common agricultural policy and environ-mental policy in country districts: Spatial spillovers of pollution, bio-uniformity and green schemes in Poland. Sci. Total Environ. 2020, 726, 138254. [Google Scholar] [CrossRef] [PubMed]
- Wang, J.; Wang, L.; Wang, Y.; Tsang, D.C.; Yang, X.; Beiyuan, J.; Yin, M.; Xiao, T.; Jiang, Y.; Lin, W.; et al. Emerging risks of toxic metal(loid)s in soil-vegetables influenced by steel-making activities and isotopic source apportionment. Environ. Int. 2020, 146, 106207. [Google Scholar] [CrossRef]
- Hasan, A.B.; Reza, A.S.; Kabir, S.; Siddique, M.A.B.; Ahsan, M.A.; Akbor, M.A. Accumulation and distribution of heavy metals in soil and food crops around the ship breaking area in southern Bangladesh and associated health risk assessment. SN Appl. Sci. 2020, 2, 155. [Google Scholar] [CrossRef] [Green Version]
- Rizwan, M.; Ali, S.; Hussain, A.; Ali, Q.; Shakoor, M.B.; Rehman, M.Z.U.; Farid, M.; Asma, M. Effect of zinc-lysine on growth, yield and cadmium uptake in wheat (Triticum aestivum L.) and health risk assessment. Chemosphere 2017, 187, 35–42. [Google Scholar] [CrossRef] [PubMed]
- Ehsan, N.; Qamar, K.M.; Zaman, Q.; Ahmed, W.; Aslam, A.; Mehmood, F. Sustainable remediation solution for heavy metal contaminated soils of Pakistan: A review. Pure Appl. Biol. 2020, 10, 474–491. [Google Scholar] [CrossRef]
- Rigby, H.; Smith, S.R. The significance of cadmium entering the human food chain via livestock ingestion from the agricultural use of biosolids, with special reference to the UK. Environ. Int. 2020, 143, 105844. [Google Scholar] [CrossRef]
- Kim, Y.-H.; Khan, A.L.; Kim, D.-H.; Lee, S.-Y.; Kim, K.-M.; Waqas, M.; Jung, H.-Y.; Shin, J.-H.; Kim, J.-G.; Lee, I.-J. Silicon mitigates heavy metal stress by regulating P-type heavy metal ATPases, Oryza sativalow silicon genes, and endogenous phytohormones. BMC Plant Biol. 2014, 14, 13. [Google Scholar] [CrossRef] [Green Version]
- Sanaei, F.; Amin, M.M.; Alavijeh, Z.P.; Esfahani, R.A.; Sadeghi, M.; Bandarrig, N.S.; Fatehizadeh, A.; Taheri, E.; Rezakazemi, M. Health risk assessment of potentially toxic elements intake via food crops consumption: Monte Carlo simulation-based probabilistic and heavy metal pollution index. Environ. Sci. Pollut. Res. 2020, 28, 1479–1490. [Google Scholar] [CrossRef]
- Rizwan, M.; Meunier, J.-D.; Davidian, J.; Pokrovsky, O.S.; Bovet, N.; Keller, C. Silicon alleviates Cd stress of wheat seedlings (Triticum turgidum L. cv. Claudio) grown in hydroponics. Environ. Sci. Pollut. Res. 2016, 23, 1414–1427. [Google Scholar] [CrossRef]
- Jallad, K.N. Heavy metal exposure from ingesting rice and its related potential hazardous health risks to humans. Environ. Sci. Pollut. Res. 2015, 22, 15449–15458. [Google Scholar] [CrossRef] [PubMed]
- Ke, S.; Cheng, X.-Y.; Zhang, N.; Hu, H.-G.; Yan, Q.; Hou, L.-L.; Sun, X.; Chen, Z.-N. Cadmium contamination of rice from various polluted areas of China and its potential risks to human health. Environ. Monit. Assess. 2015, 187, 408. [Google Scholar] [CrossRef] [PubMed]
- Hussain, A.; Rizwan, M.; Ali, Q.; Ali, S. Seed priming with silicon nanoparticles improved the biomass and yield while reduced the oxidative stress and cadmium concentration in wheat grains. Environ. Sci. Pollut. Res. 2019, 26, 7579–7588. [Google Scholar] [CrossRef]
- Hussain, A.; Rizwan, M.; Ali, S.; Rehman, M.Z.U.; Qayyum, M.F.; Nawaz, R.; Ahmad, A.; Asrar, M.; Ahmad, S.R.; Alsahli, A.A.; et al. Combined use of different nanoparticles effectively decreased cadmium (Cd) concentration in grains of wheat grown in a field contaminated with Cd. Ecotoxicol. Environ. Saf. 2021, 215, 112139. [Google Scholar] [CrossRef] [PubMed]
- Kosolsaksakul, P.; Farmer, J.G.; Oliver, I.W.; Graham, M.C. Geochemical associations and availability of cadmium (Cd) in a paddy field system, northwestern Thailand. Environ. Pollut. 2014, 187, 153–161. [Google Scholar] [CrossRef] [Green Version]
- Meharg, A.A.; Norton, G.; Deacon, C.; Williams, P.; Adomako, E.; Price, A.; Zhu, Y.; Li, G.; Zhao, F.-J.; McGrath, S.; et al. Variation in Rice Cadmium Related to Human Exposure. Environ. Sci. Technol. 2013, 47, 5613–5618. [Google Scholar] [CrossRef] [PubMed]
- Zaman, Q.U.; Aslam, Z.; Yaseen, M.; Ihsan, M.Z.; Khaliq, A.; Fahad, S.; Bashir, S.; Ramzani, P.M.A.; Naeem, M. Zinc biofor-tification in rice: Leveraging agriculture to moderate hidden hunger in developing countries. Arch. Agron. Soil Sci. 2018, 64, 147–161. [Google Scholar] [CrossRef]
- Zaman, Q.; Aslam, Z.; Rashid, M.; Khaliq, A.; Yaseen, M. Influence of zinc fertilization on morpho-physiological attributes, growth, productivity and hematic appraisal of paddy rice. J. Anim. Plant Sci. 2018, 28, 778–790. [Google Scholar]
- Zaman, Q.; Aslam, Z.; Rashid, M.; Aslam, A.; Ehsan, N.; Saqib, Z.A.; Yaseen, M. Zinc nutrition application augments mor-pho-physiological attributes, productivity and grain zinc bioavailability of Paddy Rice. J. Appl. Bot. Food Qual. 2020, 93, 11–19. [Google Scholar]
- Aziz, R.; Rafiq, M.T.; Li, T.; Liu, D.; He, Z.; Stoffella, P.J.; Sun, K.; Xiaoe, Y. Uptake of Cadmium by Rice Grown on Contaminated Soils and Its Bioavailability/Toxicity in Human Cell Lines (Caco-2/HL-7702). J. Agric. Food Chem. 2015, 63, 3599–3608. [Google Scholar] [CrossRef]
- Lux, A.; Martinka, M.; Vaculík, M.; White, P.J. Root responses to cadmium in the rhizosphere: A review. J. Exp. Bot. 2010, 62, 21–37. [Google Scholar] [CrossRef] [PubMed] [Green Version]
- Naveed, M.; Saifullah; Riaz, U.; Murtaza, G.; Bibi, S.; Arooj, A.; Zaman, Q.U. Strategic use of water: A step toward cadmium-free basmati rice (Oryza sativa L.). Paddy Water Environ. 2018, 16, 867–873. [Google Scholar] [CrossRef]
- Ashraf, S.; Ali, Q.; Zahir, Z.A.; Ashraf, S.; Asghar, H.N. Phytoremediation: Environmentally sustainable way for reclamation of heavy metal polluted soils. Ecotoxicol. Environ. Saf. 2019, 174, 714–727. [Google Scholar] [CrossRef] [PubMed]
- Azeem, M.; Ali, A.; Jeyasundar, P.G.S.A.; Li, Y.; Abdelrahman, H.; Latif, A.; Li, R.; Basta, N.; Li, G.; Shaheen, S.M.; et al. Bone-derived biochar improved soil quality and reduced Cd and Zn phytoavailability in a multi-metal contaminated mining soil. Environ. Pollut. 2021, 277, 116800. [Google Scholar] [CrossRef]
- Luo, W.; Ma, J.; Aman Khan, M.; Liao, S.; Ruan, Z.; Liu, H.; Zhong, B.; Zhu, Y.; Duan, L.; Fu, L.; et al. Cadmium accumulation in rice and its bioavailability in paddy soil with application of silicon fertilizer under different water management regimes. Soil Use Manag. 2021, 37, 299–306. [Google Scholar] [CrossRef]
- Radzali, N.; Kadir, W.; Shariff, S.M.; Nawahwi, M.Z.; Wakid, S.A.; Jaafar, Z.; Rahim, M.I. Phytoremediation: Environmental-friendly clean up method. World 2015, 5, 16–22. [Google Scholar]
- Tahir, N.; Ullah, A.; Tahir, A.; Rashid, H.U.; Rehman, T.U.; Danish, S.; Hussain, B.; Akca, H. Strategies for reducing Cd concentration in paddy soil for rice safety. J. Clean. Prod. 2021, 316, 128116. [Google Scholar] [CrossRef]
- Ali, S.; Rizwan, M.; Hussain, A.; Zia Rehman, M.; Ali, B.; Yousaf, B.; Wijaya, L.; Alyemeni, M.N.; Ahmad, P. Silicon nano-particles enhanced the growth and reduced the cadmium accumulation in grains of wheat (Triticum aestivum L.). Plant Physiol. Biochem. 2019, 140, 1–8. [Google Scholar] [CrossRef]
- Putko, P.; Kwaśny, M. Bioavailable silicon forms in dietary supplements. Bull. Mil. Univ. Technol. 2020, 69, 35–41. [Google Scholar] [CrossRef]
- Farooq, M.A.; Ali, S.; Hameed, A.; Ishaque, W.; Mahmood, K.; Iqbal, Z. Alleviation of cadmium toxicity by silicon is related to elevated photosynthesis, antioxidant enzymes; suppressed cadmium uptake and oxidative stress in cotton. Ecotoxicol. Environ. Saf. 2013, 96, 242–249. [Google Scholar] [CrossRef] [PubMed]
- Song, A.; Li, Z.; Zhang, J.; Xue, G.; Fan, F.; Liang, Y. Silicon-enhanced resistance to cadmium toxicity in Brassica chinensis L. is attributed to Si-suppressed cadmium uptake and transport and Si-enhanced antioxidant defense capacity. J. Hazard. Mater. 2009, 172, 74–83. [Google Scholar] [CrossRef]
- Shi, G.; Cai, Q.; Liu, C.; Wu, L. Silicon alleviates cadmium toxicity in peanut plants in relation to cadmium distribution and stimulation of antioxidative enzymes. Plant Growth Regul. 2010, 61, 45–52. [Google Scholar] [CrossRef]
- Ping, L.; Xingxiang, W.; Zhang, T.; Dongmei, Z.; Yuanqiu, H. Effects of several amendments on rice growth and uptake of copper and cadmium from a contaminated soil. J. Environ. Sci. 2008, 20, 449–455. [Google Scholar]
- Wang, Y.; Hu, Y.; Duan, Y.; Feng, R.; Gong, H. Silicon reduces long-term cadmium toxicities in potted garlic plants. Acta Physiol. Plant. 2016, 38, 211. [Google Scholar] [CrossRef]
- Shi, X.; Zhang, C.; Wang, H.; Zhang, F. Effect of Si on the distribution of Cd in rice seedlings. Plant Soil 2005, 272, 53–60. [Google Scholar] [CrossRef]
- Mondal, N.K.; Chittaranjan, D.; Satinath Datta, J.K.; Arnab, B. Effect of varying cadmium stress on chickpea (Cicer arietinum L) seedlings: An ultrastructural study. Ann. Environ. Sci. 2013, 7, 59–70. [Google Scholar]
- Imtiaz, M.; Tu, S.; Xie, Z.; Han, D.; Ashraf, M.; Rizwan, M.S. Growth, V uptake, and antioxidant enzymes responses of chickpea (Cicer arietinum L.) genotypes under vanadium stress. Plant Soil 2015, 390, 17–27. [Google Scholar] [CrossRef]
- Guo, L.; Chen, A.; He, N.; Yang, D.; Liu, M. Exogenous silicon alleviates cadmium toxicity in rice seedlings in relation to Cd distribution and ultrastructure changes. J. Soils Sediments 2017, 18, 1691–1700. [Google Scholar] [CrossRef]
- Khaliq, A.; Ali, S.; Hameed, A.; Farooq, M.A.; Farid, M.; Shakoor, M.B.; Mahmood, K.; Ishaque, W.; Rizwan, M. Silicon alle-viates nickel toxicity in cotton seedlings through enhancing growth, photosynthesis, and suppressing Ni uptake and oxidative stress. Arch. Agron. Soil Sci. 2016, 62, 633–647. [Google Scholar] [CrossRef]
- Li, N.; Feng, A.; Jiang, Z.; Wei, S. Silicon application improved the yield and nutritional quality while reduced cadmium concentration in rice. Environ. Sci. Pollut. Res. 2020, 27, 20370–20379. [Google Scholar] [CrossRef]
- Etesami, H.; Jeong, B.R. Silicon (Si): Review and future prospects on the action mechanisms in alleviating biotic and abiotic stresses in plants. Ecotoxicol. Environ. Saf. 2018, 147, 881–896. [Google Scholar] [CrossRef]
- Fujimaki, S.; Suzui, N.; Ishioka, N.S.; Kawachi, N.; Ito, S.; Chino, M.; Nakamura, S.-I. Tracing Cadmium from Culture to Spikelet: Noninvasive Imaging and Quantitative Characterization of Absorption, Transport, and Accumulation of Cadmium in an Intact Rice Plant. Plant Physiol. 2010, 152, 1796–1806. [Google Scholar] [CrossRef] [PubMed] [Green Version]
- Rehman, M.Z.U.; Rizwan, M.; Rauf, A.; Ayub, M.; Ali, S.; Qayyum, M.F.; Waris, A.A.; Naeem, A.; Sanaullah, M. Split application of silicon in cadmium (Cd) spiked alkaline soil plays a vital role in decreasing Cd accumulation in rice (Oryza sativa L.) grains. Chemosphere 2019, 226, 454–462. [Google Scholar] [CrossRef] [PubMed]
- Keller, C.; Rizwan, M.; Davidian, J.-C.; Pokrovsky, O.S.; Bovet, N.; Chaurand, P.; Meunier, J.-D. Effect of silicon on wheat seedlings (Triticum turgidum L.) grown in hydroponics and exposed to 0 to 30 µM Cu. Planta 2014, 241, 847–860. [Google Scholar] [CrossRef] [PubMed] [Green Version]
- Khan, Z.S.; Rizwan, M.; Hafeez, M.; Ali, S.; Adrees, M.; Qayyum, M.F.; Khalid, S.; Rehman, M.Z.U.; Sarwar, M.A. Effects of silicon nanoparticles on growth and physiology of wheat in cadmium contaminated soil under different soil moisture levels. Environ. Sci. Pollut. Res. 2020, 27, 4958–4968. [Google Scholar] [CrossRef]
- Liang, Y.; Sun, W.; Zhu, Y.-G.; Christie, P. Mechanisms of silicon-mediated alleviation of abiotic stresses in higher plants: A review. Environ. Pollut. 2007, 147, 422–428. [Google Scholar] [CrossRef] [Green Version]
- Ma, J.F.; Takahashi, E. Soil, Fertilizer, and Plant Silicon Research in Japan; Elsevier Science: Amsterdam, The Netherlands, 2002. [Google Scholar] [CrossRef]
- Qayyum, M.F.; Rehman, M.Z.U.; Ali, S.; Rizwan, M.; Naeem, A.; Maqsood, M.A.; Khalid, H.; Rinklebe, J.; Ok, Y.S. Residual effects of monoammonium phosphate, gypsum and elemental sulfur on cadmium phytoavailability and translocation from soil to wheat in an effluent irrigated field. Chemosphere 2017, 174, 515–523. [Google Scholar] [CrossRef]
- Rios, J.J.; Ballesta, M.M.; Ruiz, J.M.; Blasco, B.; Carvajal, M. Silicon-mediated Improvement in Plant Salinity Tolerance: The Role of Aquaporins. Front. Plant Sci. 2017, 8, 948. [Google Scholar] [CrossRef] [Green Version]
- Abedi, T.; Mojiri, A. Cadmium Uptake by Wheat (Triticum aestivum L.): An Overview. Plants 2020, 9, 500. [Google Scholar] [CrossRef] [Green Version]
- Abedi, T.; Mojiri, A. Arsenic Uptake and Accumulation Mechanisms in Rice Species. Plants 2020, 9, 129. [Google Scholar] [CrossRef] [Green Version]
- Xu, Q.; Wang, C.; Li, S.; Li, B.; Li, Q.; Chen, G.; Chen, W.; Wang, F. Cadmium adsorption, chelation and compartmentalization limit root-to-shoot translocation of cadmium in rice (Oryza sativa L.). Environ. Sci. Pollut. Res. 2017, 24, 11319–11330. [Google Scholar] [CrossRef] [PubMed]
- Zhang, C.; Yin, X.; Gao, K.; Ge, Y.; Cheng, W. Non-protein thiols and glutathione S-transferase alleviate Cd stress and reduce root-to-shoot translocation of Cd in rice. J. Plant Nutr. Soil Sci. 2013, 176, 626–633. [Google Scholar] [CrossRef]
- Lukačová, Z.; Švubová, R.; Kohanová, J.; Lux, A. Silicon mitigates the Cd toxicity in maize in relation to cadmium translocation, cell distribution, antioxidant enzymes stimulation and enhanced endodermal apoplasmic barrier development. Plant Growth Regul. 2013, 70, 89–103. [Google Scholar] [CrossRef]
- Ma, J.; Cai, H.; He, C.; Zhang, W.; Wang, L. A hemicellulose-bound form of silicon inhibits cadmium ion uptake in rice (Oryza sativa) cells. New Phytol. 2015, 206, 1063–1074. [Google Scholar] [CrossRef]
- Liu, C.; Li, F.; Luo, C.; Liu, X.; Wang, S.; Liu, T.; Li, X. Foliar application of two silica sols reduced cadmium accumulation in rice grains. J. Hazard. Mater. 2009, 161, 1466–1472. [Google Scholar] [CrossRef]
- Nagata, M.; Yamashita, I. Simple Method for Simultaneous Determination of Chlorophyll and Carotenoids in Tomato Fruit. Nippon Shokuhin Kogyo Gakkaishi. 1992, 39, 925–928. [Google Scholar] [CrossRef] [Green Version]
- Jones, J.B., Jr.; Case, V.W. Sampling, handling, and analyzing plant tissue samples. Soil Test Plant Anal. 1990, 3, 389–427. [Google Scholar]
- Chapman, H. Cation-exchange capacity. Methods of Soil Analysis: Part 2 Chem. Microbiol. Prop. 1965, 9, 891–901. [Google Scholar]
- Ma, J.F.; Tamai, K.; Ichii, M.; Wu, G.F. A Rice Mutant Defective in Si Uptake. Plant Physiol. 2002, 130, 2111–2117. [Google Scholar] [CrossRef] [PubMed] [Green Version]
- Mahmood, A.; Malik, R.N. Human health risk assessment of heavy metals via consumption of contaminated vegetables collected from different irrigation sources in Lahore, Pakistan. Arabian J. Chem. 2014, 7, 91–99. [Google Scholar] [CrossRef] [Green Version]
- Hamid, A.; Wasim, A.; Azfar, A.; Amjad, R.; Nazir, R. Monitoring and health risk assessment of selected trace metals in wheat rice and soil samples. Food Sci. Technol. 2020, 40, 917–923. [Google Scholar] [CrossRef]
- United States Environmental Protection Agency. Risk-Based Concentration Table; United States Environmental Protection Agency: Philadelphia, PA, USA, 2000.


| Treatments | Root Length (cm) | Shoot Length (cm) | Plant Height (cm) |
|---|---|---|---|
| Silicate Chemicals (C) | |||
| C1 = Calcium Silicate | 5.7 C | 12.5 C | 66.9 C |
| C2 = Sodium Silicate | 6.5 B | 14.9 B | 70.8 B |
| C3 = Potassium Silicate | 6.8 A | 17.6 A | 75.8 A |
| HSD (C) (p ≤ 0.01) | 0.31 | 0.30 | 0.29 |
| Foliar Application Treatments (T) | |||
| T1 = 0 (Control) | 4.7 E | 11.4 E | 55.3 E |
| T2 = 0.25% | 7.4 B | 18.2 B | 79.5 B |
| T3 = 0.50% | 8.4 A | 20.4 A | 84.6 A |
| T4 = 0.75% | 6.8 C | 14.6 C | 72.1 C |
| T5 = 1.00% | 5.9 D | 12.8 D | 64.6 D |
| HSD (T) (p ≤ 0.01) | 0.47 | 0.46 | 0.44 |
| Significance Level (C) | 40.2 ** | 860 ** | 2849 ** |
| Significance Level (T) | 280 ** | 1564 ** | 11,697 ** |
| Significance Level (C × T) | 4.15 ** | 98.5 ** | 219 ** |
| Treatments | Number of Tillers per Hill | Panicle Length (cm) | Number of Kernels per Panicles | 100-Kernels Weight (g) | Straw Yield (g pant−1) | Grain Yield (g plant−1) | Biological Yield (g plant−1) | Harvest Index (%) |
|---|---|---|---|---|---|---|---|---|
| Silicate Chemicals (C) | ||||||||
| C1 = Calcium Silicate | 6.20 | 14.5 C | 43.7 B | 14.5 C | 16.5 B | 7.22 C | 23.7 B | 29.7 |
| C2 = Sodium Silicate | 8.13 | 16.3 B | 45.7 B | 15.6 B | 18.0 AB | 8.95 B | 27.0 AB | 31.9 |
| C3 = Potassium Silicate | 8.93 | 17.5 A | 49.3A | 16.8 A | 20.6 A | 10.6 A | 31.1 A | 32.4 |
| HSD (C) (p ≤ 0.01) | 2.96 | 0.31 | 3.13 | 0.34 | 3.78 | 1.15 | 4.18 | 4.25 |
| Foliar Application Treatments (T) | ||||||||
| T1 = 0 (Control) | 5.66 B | 12.8 E | 37.1 D | 12.3 E | 13.1 C | 6.71 E | 16.8 C | 22.1 C |
| T2 = 0.25% | 9.44 AB | 18.2 B | 51.4 B | 17.6 B | 21.7 AB | 12.2 B | 33.9 A | 36.3 A |
| T3 = 0.50% | 10.2 A | 20.4 A | 56.9 A | 19.6 A | 24.7 A | 13.1 A | 38.8 A | 36.7 A |
| T4 = 0.75% | 7.22 AB | 15.4 C | 45.2 C | 15.3 C | 17.8 BC | 9.70 C | 26.5 B | 33.2 AB |
| T5 = 1.00% | 6.22 AB | 13.6 D | 40.3 D | 13.5 D | 14.6 C | 7.79 D | 20.4 BC | 28.3 BC |
| HSD (T) (p ≤ 0.01) | 4.50 | 0.47 | 4.75 | 0.52 | 5.74 | 0.74 | 6.35 | 6.45 |
| Significance Level (C) | 2.73 NS | 284 ** | 9.97 ** | 2.73 ** | 3.63 * | 25.4 ** | 9.62 ** | 1.39 NS |
| Significance Level (T) | 3.30 * | 736 ** | 48.3 ** | 3.30 ** | 11.8 ** | 103 ** | 34.8 ** | 15.2 ** |
| Significance Level (C × T) | 1.03 NS | 36.7 ** | 1.66 NS | 1.03 ** | 0.33 NS | 2.26 * | 0.79 NS | 0.59 NS |
| Treatments | Cd in Root | Cd in Shoot | Cd in Grain | Si in Root | Si in Shoot | Si in Grain |
|---|---|---|---|---|---|---|
| Silicate Chemicals (C) | ||||||
| C1 = Calcium Silicate | 7.77 A | 6.85 A | 1.80 A | 2.17 C | 1.76 C | 0.36 B |
| C2 = Sodium Silicate | 7.38 AB | 5.77 B | 1.68 B | 2.27 B | 1.81 B | 0.44 A |
| C3 = Potassium Silicate | 7.16 B | 5.14 C | 1.54 C | 2.37 A | 1.98 A | 0.51 A |
| HSD (C) (p ≤ 0.01) | 0.57 | 0.34 | 0.08 | 0.05 | 0.05 | 0.07 |
| Foliar Application Treatments (T) | ||||||
| T1 = 0 (Control) | 10.1 A | 7.76 A | 2.17 A | 1.56 E | 1.27 E | 0.18 E |
| T2 = 0.25% | 7.97 B | 6.59 B | 1.97 B | 1.86 D | 1.46 D | 0.30 D |
| T3 = 0.50% | 7.23 BC | 5.88 C | 1.71 C | 2.14 C | 1.87 C | 0.41 C |
| T4 = 0.75% | 6.82 C | 4.74 D | 1.41 D | 2.69 B | 2.13 B | 0.58 B |
| T5 = 1.00% | 5.00 D | 4.63 D | 1.13 E | 3.10 A | 2.52 A | 0.71 A |
| HSD (T) (p ≤ 0.01) | 0.87 | 0.52 | 0.12 | 0.08 | 0.08 | 0.10 |
| Significance Level (C) | 3.46 * | 77.7 ** | 28.5 ** | 51.6 ** | 39.4 ** | 12.3 ** |
| Significance Level (T) | 76.1 ** | 107 ** | 176** | 599 ** | 949 ** | 63.7 ** |
| Significance Level (C × T) | 15.4 ** | 14.2 ** | 1.97 NS | 3.33 ** | 1.16 NS | 0.78 NS |
| Treatment | Calcium Silicate | Sodium Silicate | Potassium Silicate |
|---|---|---|---|
| T1 | 0.44 | 0.44 | 0.43 |
| T2 | 0.41 | 0.40 | 0.38 |
| T3 | 0.37 | 0.36 | 0.31 |
| T4 | 0.34 | 0.27 | 0.25 |
| T5 | 0.26 | 0.23 | 0.20 |
Publisher’s Note: MDPI stays neutral with regard to jurisdictional claims in published maps and institutional affiliations. |
© 2021 by the authors. Licensee MDPI, Basel, Switzerland. This article is an open access article distributed under the terms and conditions of the Creative Commons Attribution (CC BY) license (https://creativecommons.org/licenses/by/4.0/).
Share and Cite
Zaman, Q.u.; Rashid, M.; Nawaz, R.; Hussain, A.; Ashraf, K.; Latif, M.; Heile, A.O.; Mehmood, F.; Salahuddin, S.; Chen, Y. Silicon Fertilization: A Step towards Cadmium-Free Fragrant Rice. Plants 2021, 10, 2440. https://doi.org/10.3390/plants10112440
Zaman Qu, Rashid M, Nawaz R, Hussain A, Ashraf K, Latif M, Heile AO, Mehmood F, Salahuddin S, Chen Y. Silicon Fertilization: A Step towards Cadmium-Free Fragrant Rice. Plants. 2021; 10(11):2440. https://doi.org/10.3390/plants10112440
Chicago/Turabian StyleZaman, Qamar uz, Muhammad Rashid, Rab Nawaz, Afzal Hussain, Kamran Ashraf, Maria Latif, Abdihakim Osman Heile, Faisal Mehmood, Sughra Salahuddin, and Yinglong Chen. 2021. "Silicon Fertilization: A Step towards Cadmium-Free Fragrant Rice" Plants 10, no. 11: 2440. https://doi.org/10.3390/plants10112440
APA StyleZaman, Q. u., Rashid, M., Nawaz, R., Hussain, A., Ashraf, K., Latif, M., Heile, A. O., Mehmood, F., Salahuddin, S., & Chen, Y. (2021). Silicon Fertilization: A Step towards Cadmium-Free Fragrant Rice. Plants, 10(11), 2440. https://doi.org/10.3390/plants10112440

