Spatiotemporal Assessment of Irrigation Performance of the Kou Valley Irrigation Scheme in Burkina Faso Using Satellite Remote Sensing-Derived Indicators
Abstract
1. Introduction
2. Materials and Methods
2.1. Study Area
2.2. The Python Module for the Surface Energy Balance Algorithm for Land Model (PySEBAL)
2.3. Comparisons of Estimated ETa Values Using PySEBAL to the FAO-WaPOR Products
2.4. Irrigation Performance Indicators
2.4.1. Depleted Fraction
2.4.2. Relative Evapotranspiration (ETrel)
2.4.3. Uniformity of Water Consumption
2.4.4. Crop Water Productivity (CWP)
2.5. Data
2.5.1. Landsat Images
2.5.2. Weather and DEM Data
2.5.3. Ground Data
3. Results
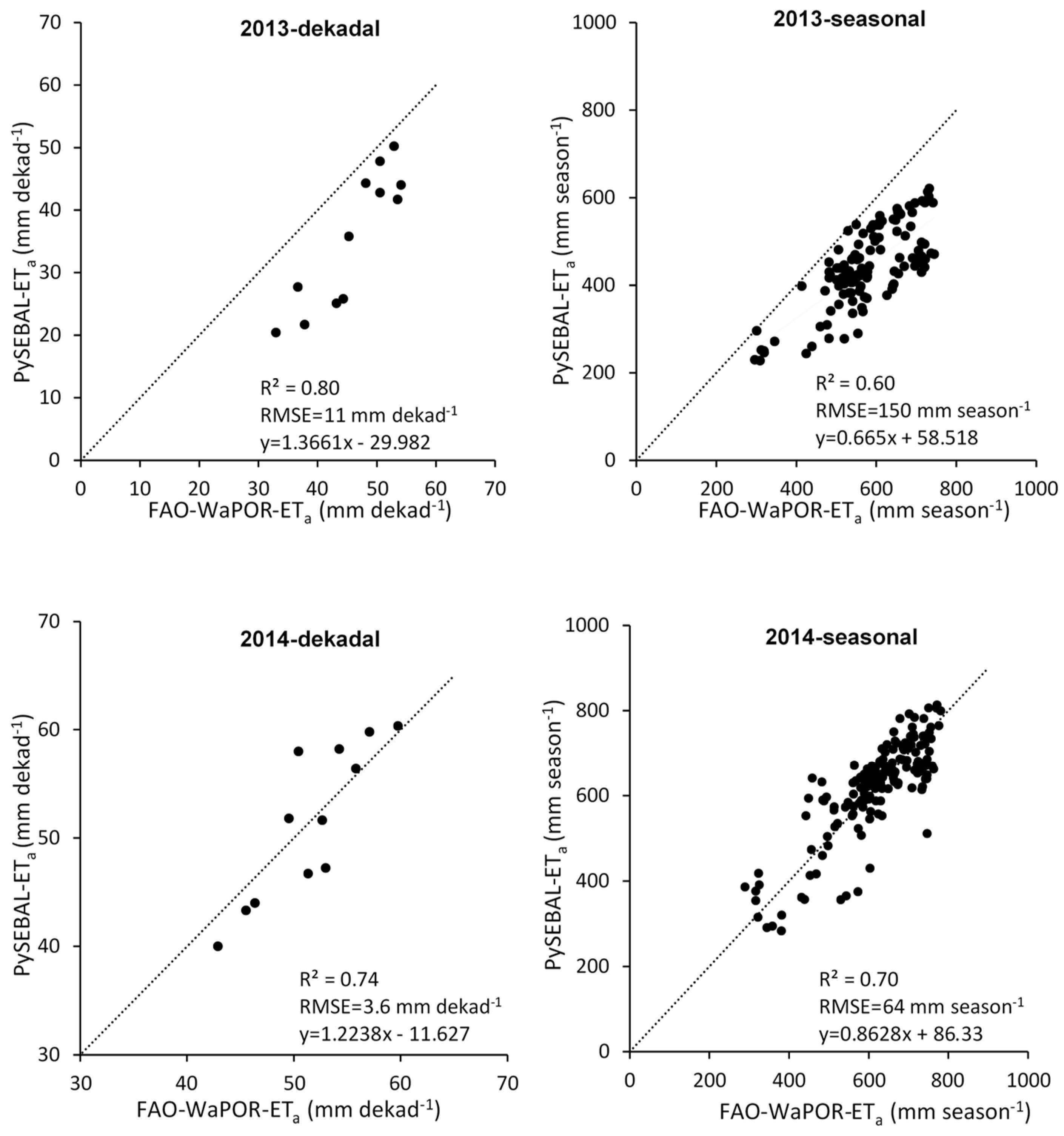
3.1. Comparisons between FAO-WaPOR and PySEBAL ETa
3.2. Seasonal Actual Evapotranspiration and Yield
3.3. Irrigation Performance Indicators
3.3.1. Depleted Fractions
3.3.2. Relative Evapotranspiration
3.3.3. Uniformity of Water Consumption
3.3.4. Estimated Crop Water Productivities
4. Discussion
5. Conclusions
Supplementary Materials
Author Contributions
Funding
Acknowledgments
Conflicts of Interest
References
- Blatchford, M.L.; Karimi, P.; Bastiaanssen, W.G.M.; Nouri, H. From Global Goals to Local Gains—A Framework for Crop Water Productivity. ISPRS Int. J. Geo-Inf. 2018, 7, 414. [Google Scholar] [CrossRef]
- Stoyanova, A.; Stoyanova, D. Study on the Productivity of Irrigation Water at Maize (Zea Mays). Acta Sci. Agric. 2019, 3, 51–55. [Google Scholar]
- Wellens, J.; Nitcheu, M.; Traore, F.; Tychon, B. A public-private partnership experience in the management of an irrigation scheme using decision-support tools in Burkina Faso. Agric. Water Manag. 2013, 116, 1–11. [Google Scholar] [CrossRef]
- De Bruin, H.; Stricker, J. Evaporation of grass under non-restricted soil moisture conditions. Hydrol. Sci. J. 2000, 45, 391–406. [Google Scholar] [CrossRef]
- Turner, K.; Georgiou, S.; Clark, R.; Brouwer, R.; Burke, J. Economic Valuation of Water Resources in Agriculture. From the Sectoral to a Functional Perspective of Natural Resource Management; Volume Water Reports 27; United Nations Food and Agriculture Organization (FAO): Rome, Italy, 2004. [Google Scholar]
- Waller, P.; Yitayew, M. Introduction. In Irrigation and Drainage Engineering; Waller, P., Yitayew, M., Eds.; Springer International Publishing: Cham, Switzerland, 2016; pp. 1–18. [Google Scholar] [CrossRef]
- Poussin, J.C.; Renaudin, L.; Adogoba, D.; Sanon, A.; Tazen, F.; Dogbe, W.; Fusillier, J.L.; Barbier, B.; Cecchi, P. Performance of small reservoir irrigated schemes in the Upper Volta basin: Case studies in Burkina Faso and Ghana. Water Resour. Rural Dev. 2015, 6, 50–65. [Google Scholar] [CrossRef]
- FAO. Country Fact Sheet on Food and Agriculture Policy Trends—Burkina Faso, April 2014; United Nations Food and Agriculture Organization (FAO): Rome, Italy, 2014. [Google Scholar]
- Traoré, F.; Bonkoungou, J.; Compaoré, J.; Kouadio, L.; Wellens, J.; Hallot, E.; Tychon, B. Using multi-temporal landsat images and support vector machine to assess the changes in agricultural irrigated areas in the Mogtedo region, Burkina Faso. Remote Sens. 2019, 11, 1442. [Google Scholar] [CrossRef]
- Gorantiwar, S.D.; Smout, I.K. Performance assessment of irrigation water management of heterogeneous irrigation schemes: 1. A framework for evaluation. Irrig. Drain. Syst. 2005, 19, 1–36. [Google Scholar] [CrossRef]
- Murray-Rust, D.H.; Snellen, W.B. Irrigation system Performance Assessment and Diagnosis; International Irrigation Management Institute: Colombo, Sri Lanka, 1993. [Google Scholar]
- Bos, M.G. Performance indicators for irrigation and drainage. Irrig. Drain. Syst. 1997, 11, 119–137. [Google Scholar] [CrossRef]
- Bos, M.G.; Burton, M.A.; Molden, D.J. Irrigation and Drainage Performance Assessment—Practical Guidelines; CABI Publishing: Wallingford, UK; Cambridge, MA, USA, 2005; p. 166. [Google Scholar] [CrossRef]
- Bastiaanssen, W.G.M.; Bos, M.G. Irrigation Performance Indicators Based on Remotely Sensed Data: A Review of Literature. Irrig. Drain. Syst. 1999, 13, 291–311. [Google Scholar] [CrossRef]
- Dembélé, Y.; Ouattara, S.; Keïta, A. Application des indicateurs “approvisionnement relatif en eau” et “productivité de l’eau” à l’analyse des performances des petits périmètres irrigués au Burkina Faso. Irrig. Drain. 2001, 50, 309–321. [Google Scholar] [CrossRef]
- Dembélé, Y.; Yacouba, H.; Keïta, A.; Sally, H. Assessment of irrigation system performance in south-western Burkina Faso. Irrig. Drain. 2012, 61, 306–315. [Google Scholar] [CrossRef]
- Kambou, D.; Degre, A.; Xanthoulis, D.; Ouattara, K.; Destain, J.P.; Defoy, S.; De L’escaille, D. Evaluation and Proposals for Improving Irrigation Performance Around Small Reservoirs in Burkina Faso. J. Irrig. Drain. Eng. 2019, 145, 05019004. [Google Scholar] [CrossRef]
- Somé, L.; Dembélé, Y. Péjoration climatique au Burkina Faso: Impacts sur les productions agricoles. In Proceedings of the Recherches Scientifique Face Aux Problèmes de L’environnement. Actes de la 2ème Édition du Forum National de la Recherche Scientifique et Technologique, Ouagadougou, Burkina Faso, 9–13 April 1996; pp. 81–89. [Google Scholar]
- Blatchford, M.L.; Mannaerts, C.M.; Zeng, Y.; Nouri, H.; Karimi, P. Status of accuracy in remotely sensed and in-situ agricultural water productivity estimates: A review. Remote Sens. Environ. 2019, 234, 111413. [Google Scholar] [CrossRef]
- Bastiaanssen, W.G.M.; Brito, R.A.L.; Bos, M.G.; Souza, R.A.; Cavalcanti, E.B.; Bakker, M.M. Low cost satellite data for monthly irrigation performance monitoring: Benchmarks from Nilo Coelho, Brazil. Irrig. Drain. Syst. 2001, 15, 53–79. [Google Scholar] [CrossRef]
- Zwart, S.J.; Leclert, L.M.C. A remote sensing-based irrigation performance assessment: A case study of the Office du Niger in Mali. Irrig. Sci. 2010, 28, 371–385. [Google Scholar] [CrossRef]
- Taghvaeian, S.; Neale, C.M.; Osterberg, J.C.; Sritharan, S.I.; Watts, D.R. Remote sensing and gis techniques for assessing irrigation performance: Case study in Southern California. J. Irrig. Drain. Eng. 2018, 144, 05018002. [Google Scholar] [CrossRef]
- Bandara, K.M.P.S. Monitoring irrigation performance in Sri Lanka with high-frequency satellite measurements during the dry season. Agric. Water Manag. 2003, 58, 159–170. [Google Scholar] [CrossRef]
- Akbari, M.; Toomanian, N.; Droogers, P.; Bastiaanssen, W.; Gieske, A. Monitoring irrigation performance in Esfahan, Iran, using NOAA satellite imagery. Agric. Water Manag. 2007, 88, 99–109. [Google Scholar] [CrossRef]
- Ahmad, M.D.; Turral, H.; Nazeer, A. Diagnosing irrigation performance and water productivity through satellite remote sensing and secondary data in a large irrigation system of Pakistan. Agric. Water Manag. 2009, 96, 551–564. [Google Scholar] [CrossRef]
- Guinko, S. Végétation de Haute Volta. Ph.D. Thesis, Université de Bordeaux, Bordeaux, France, 1984. [Google Scholar]
- Traoré, F. Optimisation de l’utilisation des Ressources en eau du Bassin du Kou Pour des Usages Agricoles. Ph.D. Thesis, Université de Liège, Liège, Belgium, 2012. [Google Scholar]
- Traoré, F.; Cornet, Y.; Denis, A.; Wellens, J.; Tychon, B. Monitoring the evolution of irrigated areas with Landsat images using backward and forward change detection analysis in the Kou watershed, Burkina Faso. Geocarto Int. 2013, 28, 733–752. [Google Scholar] [CrossRef]
- Wellens, J.; Diallo, M.; Compaore, N.F.; Derouane, J.; Tychon, B. Renforcement Structurel de la Capacité de Gestion des Ressources en eau Pour L’agriculture Dans le Bassin du Kou; Rapport Technique 1 (2005–2006); APEFE-WBI: Bobo-Dioulasso, Burkina Faso, 2007. [Google Scholar]
- Ouédraogo, S. Analyse Économique de L’allocation des Facteurs de Production Dans Les Exploitations Rizicoles de la VALLÉE du Kou; CNRST/INERA: Ouagadougou, Burkina Faso, 1993. [Google Scholar]
- Dicko, D. Evaluation des Performances Sur le Périmètre de la Vallée du Kou; Projet APPIA-EIERGEeau: Ouagadougou, Burkina Faso, 2004. [Google Scholar]
- Wellens, J.; Diallo, M.; Nitcheu, M.; Traoré, F.; Midekor, A.; Sawadogo, B.; Tychon, B. Appropriation of decision support tools derived results in the public-private management of an irrigation scheme in Burkina Faso. In Proceedings of the Conférence Watarid 3—Usages et Politiques de L’eau en Zones Arides et Semi-Arides, Paris, France, 30 May–5 June 2011; p. 563. [Google Scholar]
- Bastiaanssen, W.G.M.; Menenti, M.; Feddes, R.A.; Holtslag, A.A.M. A remote sensing surface energy balance algorithm for land (SEBAL). 1. Formulation. J. Hydrol. 1998, 212–213, 198–212. [Google Scholar] [CrossRef]
- Bastiaanssen, W.G.M.; Ahmad, M.-D.; Chemin, Y. Satellite surveillance of evaporative depletion across the Indus Basin. Water Resour. Res. 2002, 38, 1273. [Google Scholar] [CrossRef]
- Allen, R.G.; Pereira, L.S.; Raes, D.; Smith, M. Crop Evapotranspiration: Guidelines for Computing Crop Water Requirements; Volume Irrigation and Drainage Paper No. 56; Food and Agriculture Organization of the United Nations (FAO): Rome, Italy, 1998; p. 300. [Google Scholar]
- Allen, R.G. REF-ET: Reference Evapotranspiration Calculation Software for FAO and ASCE Standardized Equations. Reference Manual; University of Idaho: Kimberly, ID, USA, 2016. [Google Scholar]
- Bastiaanssen, W.G.M.; Ali, S. A new crop yield forecasting model based on satellite measurements applied across the Indus Basin, Pakistan. Agric. Ecosyst. Environ. 2003, 94, 321–340. [Google Scholar] [CrossRef]
- Zwart, S.J.; Bastiaanssen, W.G.M. SEBAL for detecting spatial variation of water productivity and scope for improvement in eight irrigated wheat systems. Agric. Water Manag. 2007, 89, 287–296. [Google Scholar] [CrossRef]
- Trezza, R.; Allen, R.G.; Kilic, A.; Ratcliffe, I.; Tasumi, M. Influence of Landsat revisit frequency on time-integration of evapotranspiration for agricultural water management. In Advanced Evapotranspiration Methods and Applications; Bucur, D., Ed.; IntechOpen: London, UK, 2018. [Google Scholar] [CrossRef]
- Musick, J.T.; Jones, O.R.; Stewart, B.A.; Dusek, D.A. Water-yield relationships for irrigated and dryland wheat in the US Southern Plains. Agron. J. 1994, 86, 980–986. [Google Scholar] [CrossRef]
- Compaoré, H.; Hendrickx, J.M.H.; Hong, S.; Friesen, J.; van de Giesen, N.C.; Rodgers, C.; Szarzynski, J.; Vlek, P.L.G. Evaporation mapping at two scales using optical imagery in the White Volta Basin, Upper East Ghana. Phys. Chem. Earth Parts A/B/C 2008, 33, 127–140. [Google Scholar] [CrossRef]
- Opoku-Duah, S.; Donoghue, N.M.D.; Burt, P.T. Intercomparison of evapotranspiration over the savannah Volta Basin in West Africa using remote sensing data. Sensors 2008, 8, 2736–2761. [Google Scholar] [CrossRef]
- Bastiaanssen, W.G.M.; Cheema, M.J.M.; Immerzeel, W.W.; Miltenburg, I.J.; Pelgrum, H. Surface energy balance and actual evapotranspiration of the transboundary Indus Basin estimated from satellite measurements and the ETLook model. Water Resour. Res. 2012, 48, W11512. [Google Scholar] [CrossRef]
- FAO; IHE Delft. WaPOR Quality Assessment: Technical Report on the Data Quality of the WaPOR FAO Database Version 1.0; FAO: Rome, Italy, 2019; p. 134. [Google Scholar]
- UNDESAPD. World Urbanization Prospects: The 2014 Revision, Highlights (ST/ESA/SER.A/352); United Nations: New York, NY, USA, 2014. [Google Scholar]
- Bos, M.G. Using the depleted fraction to manage the groundwater table in irrigated areas. Irrig. Drain. Syst. 2004, 18, 201–209. [Google Scholar] [CrossRef][Green Version]
- Bos, M.G.; Kselik, R.A.; Allen, R.G.; Molden, D. Water Requirements for Irrigation and the Environment; Springer: Dordrecht, The Netherlands, 2009; p. 174. [Google Scholar] [CrossRef]
- Molden, D. Accounting for Water Use and Productivity; Volume IWMI/SWIM Paper No. 1; International Water Management Institute: Colombo, Sri Lanka, 1997. [Google Scholar]
- Molden, D.J.; Gates, T.K. Performance measures for evaluation of irrigation-water-delivery systems. J. Irrig. Drain. Eng. 1990, 116, 804–823. [Google Scholar] [CrossRef]
- Kang, M.S. Using genotype-by-environment interaction for crop cultivar development. In Advances in Agronomy; Sparks, D.L., Ed.; Academic Press: Cambridge, MA, USA, 1997; Volume 62, pp. 199–252. [Google Scholar]
- Gallais, A. Théorie de la Sélection en Amélioration des Plantes; Masson: Paris, France; Milan, Italy; Barcelona, Spain, 1990. [Google Scholar]
- Roerink, G.J.; Bastiaanssen, W.G.M.; Chambouleyron, J.; Menenti, M. Relating crop water consumption to irrigation water supply by remote sensing. Water Resour. Manag. 1997, 11, 445–465. [Google Scholar] [CrossRef]
- Asaana, J.; Sadick, A. Assessment of irrigation performance using remote sensing technique at Tono irrigation area in the Upper East region of Ghana. Int. Res. J. Agric. Food Sci. 2016, 1, 79–91. [Google Scholar]
- Akhtar, F.; Awan, U.K.; Tischbein, B.; Liaqat, U.W. Assessment of irrigation performance in large river basins under data scarce environment—A case of Kabul river basin, Afghanistan. Remote Sens. 2018, 10, 972. [Google Scholar] [CrossRef]
- Bastiaanssen, W.G.M.; van der Wal, T.; Visser, T.N.M. Diagnosis of regional evaporation by remote sensing to support irrigation performance assessment. Irrig. Drain. Syst. 1996, 10, 1–23. [Google Scholar] [CrossRef]
- Kijne, J.W.; Barker, R.; Molden, D. Improving water productivity in agriculture: Editors’ overview. In Water Productivity in Agriculture: Limits and Opportunities for Improvement; Kijne, J.W., Barker, R., Molden, D., Eds.; CABI and International Water Management Institute (IWMI): Wallingford, UK; Colombo, Sri Lanka, 2003. [Google Scholar]
- Perry, C.; Steduto, P.; Allen, R.G.; Burt, C.M. Increasing productivity in irrigated agriculture: Agronomic constraints and hydrological realities. Agric. Water Manag. 2009, 96, 1517–1524. [Google Scholar] [CrossRef]
- DRASA-Ouest. Production Saisonnière Sur la Plaine de la Vallée du Kou de 2008 à 2014; Direction Régionale de L’agriculture et de la Sécurité Alimentaire (DRASA): Ouagadougou, Burkina Faso, 2014. [Google Scholar]
- Dembélé, Y.; Dakouo, D.; Ouedraogo, J.; Siambo, E.; Traoré, Y.; Nishiyama, N. Creation et diffusion des variétés type NERICA au Burkina Faso. In Proceedings of the Atelier Conjoint Pour Une Riziculture Durable en Afrique, Accra, Ghana, 6–9 December 2006. [Google Scholar]
- MASA. Catalogue National des Espèces et Variétés Agricoles du Burkina Faso. Première Édition Comité National des Semences; Ministère de l’Agriculture et de la Sécurité Alimentaire (MASA): Ouagadougou, Burkina Faso, 2014. [Google Scholar]
- FAO. Unlocking the Water Potential of Agriculture; United Nations Food and Agriculture Organization (FAO): Rome, Italy, 2003. [Google Scholar]
- Steduto, P.; Hsiao, C.T.; Fereres, E.; Raes, D. Crop Yield Response to Water; Volume FAO Irrigation and Drainage Paper No. 66; United Nations Food and Agriculture Organization (FAO): Rome, Italy, 2012; p. 505. [Google Scholar]
- Hessels, T.; van Opstal, J.; Trambauer, P.; Bastiaanssen, W.G.M.; Faouzi, M.; Mohamed, Y.; Er-Raji, A. pySEBAL Version 3.3.7. 2017. Available online: https://pypi.org/project/SEBAL/ (accessed on 30 July 2020).
- ESRI. Arcgis Desktop: Release 10, Technical Report; Environmental Systems Research Institute (ESRI): Redlands, CA, USA, 2010. [Google Scholar]
- Storey, J.; Scaramuzza, P.; Schmidt, G. Landsat 7 scan line corrector-off gap filled product development. In Proceedings of the PECORA 16 Conference Proceedings, Sioux Falls, SD, USA, 23–27 October 2005. [Google Scholar]
- Jaafar, H.H.; Ahmad, F.A. Time series trends of Landsat-based ET using automated calibration in METRIC and SEBAL: The Bekaa Valley, Lebanon. Remote Sens. Environ. 2020, 238, 111034. [Google Scholar] [CrossRef]
- Lu, G.Y.; Wong, D.W. An adaptive inverse-distance weighting spatial interpolation technique. Comput. Geosci. 2008, 34, 1044–1055. [Google Scholar] [CrossRef]
- Jing, M.; Wu, J. Fast image interpolation using directional inverse distance weighting for real-time applications. Opt. Commun. 2013, 286, 111–116. [Google Scholar] [CrossRef]
- Doorenbos, J.; Kassam, A.H. Yield Response to Water; Volume FAO Irrigation and Drainage Paper No. 33; Food and Agriculture Organization of the United Nations (FAO): Rome, Italy, 1979. [Google Scholar]
- FAO. Maize in Human Nutrition; United Nations Food and Agriculture Organization (FAO): Rome, Italy, 1992. [Google Scholar]
- Lang, J. Notes of a Potato Watcher; Texas A&M University Press: College Station, TX, USA, 2001; p. 388. [Google Scholar]
- Nitcheu, M.; Midékor, A.; Sawadogo, B. Restitution des Travaux de Suivi de la Campagne Saison Sèche 2014 Sur le Périmètre Rizicole de la Vallée du Kou; AEDE/OE: Bobo-Dioulasso, Burkina Faso, 2014. [Google Scholar]
- Javadian, M.; Behrangi, A.; Gholizadeh, M.; Tajrishy, M. METRIC and WaPOR Estimates of Evapotranspiration over the Lake Urmia Basin: Comparative Analysis and Composite Assessment. Water 2019, 11, 1647. [Google Scholar] [CrossRef]
- Zwart, S.J.; Bastiaanssen, W.G.M. Review of measured crop water productivity values for irrigated wheat, rice, cotton and maize. Agric. Water Manag. 2004, 69, 115–133. [Google Scholar] [CrossRef]
- Dembélé, Y.; Kambiré, H.; Sié, M. Gestion de l’eau et de l’azote en riziculture irriguée au Burkina Faso. Cah. Agric. 2005, 14, 569–572. [Google Scholar]
- Unkovich, M.; Baldock, J.; Forbes, M. Chapter 5—Variability in Harvest Index of Grain Crops and Potential Significance for Carbon Accounting: Examples from Australian Agriculture. In Advances in Agronomy; Academic Press: Cambridge, MA, USA, 2010; Volume 105, pp. 173–219. [Google Scholar]
- Dawe, D. Increasing Water Productivity in Rice-Based Systems in Asia—Past Trends, Current Problems, and Future Prospects. Plant Prod. Sci. 2005, 8, 221–230. [Google Scholar] [CrossRef]
- Zwart, S.J. 21 Assessing and Improving Water Productivity of Irrigated Rice Systems in Africa. In Realizing Africa’s Rice Promise; Wopereis, M.C.S., Johnson, D.E., Ahmadi, N., Tollens, E., Jollah, A., Eds.; CAB International: Wallingford, UK, 2013; p. 265. [Google Scholar]
- Bos, M.G.; Abdel-Dayem, S.; Bastiaanssen, W.G.M.; Vidal, A. Remote sensing for water management: The drainage component. In Proceedings of the World Bank Expert Consultation, organized by ICID, IPTRID, International Institute for Land Reclamation and Improvement (ILRI), and WaterWatch, Ede-Wageningen, The Netherlands, 15–16 May 2001. [Google Scholar]












| Dry Season 2013 | Dry Season 2014 | ||||
|---|---|---|---|---|---|
| No. | Acquisition Date | Sensor 1 | No. | Acquisition Date | Sensor |
| 1 | 02/01/2013 | LE7 | 1 | 28/12/2013 | LC8 |
| 2 | 18/01/2013 | LE7 | 2 | 29/01/2014 | LC8 |
| 3 | 03/02/2013 | LE7 | 3 | 14/02/2014 | LC8 |
| 4 | 07/03/2013 | LE7 | 4 | 18/03/2014 | LC8 |
| 5 | 08/04/2013 | LE7 | 5 | 03/04/2014 | LC8 |
| 6 | 09/04/2013 | LC8 | 6 | 19/04/2014 | LC8 |
| 7 | 03/06/2013 | LC8 | 7 | 21/05/2014 | LC8 |
| Crops | HI (Unitless) | Moisture Content (%) | ||||
|---|---|---|---|---|---|---|
| Reference | This Study | Reference | This Study | |||
| Values | Authors | Values | Values | Authors | Values | |
| Rice | 0.40–0.50 | [69] | 0.45 | 15–20 | [69] | 17 |
| Maize | 0.30–0.40 | [62] | 0.35 | 18–24 | [70] | 22 |
| Sweet Potato | 0.75–0.85 | [71] | 0.8 | 75–80 | [62] | 80 |
| Rice | Maize | Sweet Potato | |||
|---|---|---|---|---|---|
| ETa (mm) | |||||
| 2013 | min | 210 | 241 | 297 | |
| mean | 635 | 551 | 546 | ||
| max | 750 | 713 | 712 | ||
| 2014 | min | 398 | 443 | 478 | |
| mean | 709 | 621 | 636 | ||
| max | 793 | 750 | 778 | ||
| Change rate (%) | +12 | +13 | +16 | ||
| Estimated yield (t ha−1) | |||||
| 2013 | min | 0.40 | 0.40 | 6.10 | |
| mean | 3.39 | 2.20 | 12.0 | ||
| max | 7.30 | 4.80 | 28.7 | ||
| 2014 | min | 1.30 | 0.70 | 6.50 | |
| mean | 4.20 | 2.30 | 18.4 | ||
| max | 8.70 | 4.30 | 37.1 | ||
| Change rate (%) | +23 | +3 | +53 | ||
| Rice | Maize | Sweet Potato | ||
|---|---|---|---|---|
| Total pixels (count) | 2013 | 5034 | 4069 | 1277 |
| 2014 | 3540 | 2598 | 1940 | |
| Standards for good performance (SV) (t ha−1) | 5.0 | 4.0 | 20.0 | |
| Proportion of pixels with values ≥ SV (%) | 2013 | 2.0 | 0.3 | 0.7 |
| 2014 | 18 | 0.2 | 31 | |
| Observed average yield (TY) (t ha−1) | 4.0 | 2.5 | 15.7 | |
| Proportion of pixels with yield ≥ TY (%) | 2013 | 17 | 18 | 12 |
| 2014 | 54 | 37 | 80 |
| Rice | Maize | Sweet Potato | |||
|---|---|---|---|---|---|
| Range of estimated CWP | 2013 | min | 0.15 | 0.10 | 1.02 |
| mean | 0.53 | 0.42 | 2.25 | ||
| max | 1.09 | 0.92 | 4.40 | ||
| 2014 | min | 0.31 | 0.16 | 1.31 | |
| mean | 0.59 | 0.38 | 2.89 | ||
| max | 1.30 | 0.76 | 5.86 | ||
| Total pixels (count) | 2013 | 5034 | 4069 | 1277 | |
| 2014 | 3540 | 2598 | 1940 | ||
| Standards for good performance | 0.60 | 1.20 | 4.00 | ||
| Proportion of pixels with values ≥ SV (%) | 2013 | 22 | 0 | 0.2 | |
| 2014 | 42 | 0 | 3 |
© 2020 by the authors. Licensee MDPI, Basel, Switzerland. This article is an open access article distributed under the terms and conditions of the Creative Commons Attribution (CC BY) license (http://creativecommons.org/licenses/by/4.0/).
Share and Cite
Sawadogo, A.; Kouadio, L.; Traoré, F.; Zwart, S.J.; Hessels, T.; Gündoğdu, K.S. Spatiotemporal Assessment of Irrigation Performance of the Kou Valley Irrigation Scheme in Burkina Faso Using Satellite Remote Sensing-Derived Indicators. ISPRS Int. J. Geo-Inf. 2020, 9, 484. https://doi.org/10.3390/ijgi9080484
Sawadogo A, Kouadio L, Traoré F, Zwart SJ, Hessels T, Gündoğdu KS. Spatiotemporal Assessment of Irrigation Performance of the Kou Valley Irrigation Scheme in Burkina Faso Using Satellite Remote Sensing-Derived Indicators. ISPRS International Journal of Geo-Information. 2020; 9(8):484. https://doi.org/10.3390/ijgi9080484
Chicago/Turabian StyleSawadogo, Alidou, Louis Kouadio, Farid Traoré, Sander J. Zwart, Tim Hessels, and Kemal Sulhi Gündoğdu. 2020. "Spatiotemporal Assessment of Irrigation Performance of the Kou Valley Irrigation Scheme in Burkina Faso Using Satellite Remote Sensing-Derived Indicators" ISPRS International Journal of Geo-Information 9, no. 8: 484. https://doi.org/10.3390/ijgi9080484
APA StyleSawadogo, A., Kouadio, L., Traoré, F., Zwart, S. J., Hessels, T., & Gündoğdu, K. S. (2020). Spatiotemporal Assessment of Irrigation Performance of the Kou Valley Irrigation Scheme in Burkina Faso Using Satellite Remote Sensing-Derived Indicators. ISPRS International Journal of Geo-Information, 9(8), 484. https://doi.org/10.3390/ijgi9080484

