Spatial Mismatch between the Supply and Demand of Urban Leisure Services with Multisource Open Data
Abstract
1. Introduction
2. Related Work
3. Materials and Methods
3.1. Study Area
3.2. Data Sources and Preprocessing
3.2.1. POI Data
3.2.2. Nighttime Light (NTL) Data
3.2.3. Population and GDP Data
3.3. Calculation of LS Supply and Demand Index
3.3.1. Supply Index of LSs
3.3.2. Societal Needs Index of LSs
3.3.3. Analysis of the Supply-Demand Pattern of LSs
3.4. Analysis of the Relationship between the LS Supply and Demand
4. Results
4.1. LS Supply and Demand
4.2. Multiattribute Model Analysis
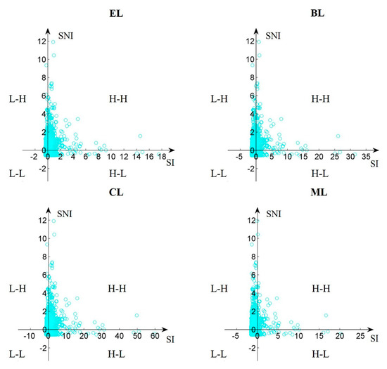
4.3. Spatial Pattern in the Supply and Demand of LSs
4.4. Correlation Analysis between the LS Supply and Demand
5. Discussion
6. Conclusions
Author Contributions
Funding
Acknowledgments
Conflicts of Interest
Appendix A

| ID | District | Street | ID | District | Street |
|---|---|---|---|---|---|
| 0 | Haidian | Xueyuanlu Street | 66 | Dongcheng | Tiyuguanlu Street |
| 1 | Chaoyang | Jianwai Street | 67 | Dongcheng | Yongdingmenwai Street |
| 2 | Xicheng | Zhanlanlu Street | 68 | Fengtai | Fangzhuang Town |
| 3 | Chaoyang | Liulitun Street | 69 | Dongcheng | Dongsi Street |
| 4 | Haidian | Balizhuang Street | 70 | Dongcheng | Jiaodaokou Street |
| 5 | Xicheng | Xinjiekou Street | 71 | Dongcheng | Beixinqiao Street |
| 6 | Xicheng | Baizhifang Street | 72 | Dongcheng | Andingmen Street |
| 7 | Xicheng | Guanganmennei Street | 73 | Dongcheng | Jianguomen Street |
| 8 | Chaoyang | Anzhen Street | 74 | Fengtai | Shi’anmen Street |
| 9 | Chaoyang | Wangjing Street | 75 | Fengtai | Yungang Street |
| 10 | Chaoyang | Chaowai Street | 76 | Fengtai | Majiapu Street |
| 11 | Xicheng | Guanganmenwai Street | 77 | Fengtai | Nanyuan Street |
| 12 | Xicheng | Jinrongjie Street | 78 | Fengtai | Heyi Street |
| 13 | Xicheng | Taoranting Street | 79 | Fengtai | Wanpingcheng Town |
| 14 | Chaoyang | Taiyanggong Street | 80 | Fengtai | Xincun Street |
| 15 | Chaoyang | Xiaoguan Street | 81 | Fengtai | Changxindian Town |
| 16 | Chaoyang | Dougezhuang Street | 82 | Fengtai | Donggaodi Town |
| 17 | Chaoyang | Balizhuang Street | 83 | Fengtai | Dahongmen Street |
| 18 | Chaoyang | Tuanjiehu Street | 84 | Fengtai | Dongtiejiangying Street |
| 19 | Chaoyang | Zuojiazhuang Street | 85 | Fengtai | Taipingqiao Street |
| 20 | Chaoyang | Panjiayuan Street | 86 | Fengtai | Changxindian Street |
| 21 | Chaoyang | Aoyuncun Street | 87 | Chaoyang | Hepingjie Street |
| 22 | Chaoyang | Xiangheyuan Street | 88 | Haidian | Shangzhuang Town |
| 23 | Chaoyang | Wangjing kaifa Street | 89 | Haidian | Dongsheng Town |
| 24 | Chaoyang | Jiiuxianqiao Street | 90 | Chaoyang | Guanzhuang Town |
| 25 | Chaoyang | Maizidian Street | 91 | Chaoyang | Shuangjin Street |
| 26 | Haidian | Qinghe Street | 92 | Chaoyang | Daitou Street |
| 27 | Haidian | Yanyuan Street | 93 | Haidian | Wenquan Town |
| 28 | Dongcheng | Longtan Street | 94 | Haidian | Shangdi Street |
| 29 | Fengtai | Nanyuan Town | 95 | Haidian | Sijiqing Town |
| 30 | Fengtai | Wangzuo Town | 96 | Haidian | Shuguang Street |
| 31 | Fengtai | Huaxiang Town | 97 | Haidian | Haidian Street |
| 32 | Fengtai | Lugouqiao Town | 98 | Xicheng | Dashilan Street |
| 33 | Haidian | Wanliu Town | 99 | Chaoyang | Nanmofang Town |
| 34 | Haidian | Yongdinglu Street | 100 | Shijingshan | Jindingjie Street |
| 35 | Haidian | Zhuangguancun Street | 101 | Chaoyang | Dongba Town |
| 36 | Haidian | Malianwa Street | 102 | Chaoyang | Dongfeng Town |
| 37 | Haidian | Beixiaguan Street | 103 | Chaoyang | Sunhe Town |
| 38 | Haidian | Qinghuayuan Street | 104 | Chaoyang | Jiangtai Town |
| 39 | Haidian | Ganjiakou Street | 105 | Chaoyang | Changying Town |
| 40 | Haidian | Zizhuyuan Street | 106 | Chaoyang | Datun Street |
| 41 | Haidian | Huanyuanlu Street | 107 | Chaoyang | Jinzhan Town |
| 42 | Haidian | Tiancunlu Street | 108 | Chaoyang | Sanjianfang Town |
| 43 | Haidian | Beitaipingzhuang Street | 109 | Chaoyang | Xiaohongmen Town |
| 44 | Xicheng | Tianqiao Street | 110 | Shijingshan | Babaoshan Street |
| 45 | Xicheng | Desheng Street | 111 | Chaoyang | Cuigezhuang Town |
| 46 | Haidian | Yangfangdian Street | 112 | Chaoyang | Laiguangying Town |
| 47 | Xicheng | Yuetan Street | 113 | Chaoyang | Wangsiying Town |
| 48 | Xicheng | Chunshu Street | 114 | Chaoyang | Gaobeidian Town |
| 49 | Xicheng | Niujie Street | 115 | Chaoyang | Heizhuanghu Town |
| 50 | Chaoyang | Jinsong Street | 116 | Chaoyang | Sanlitun Street |
| 51 | Xicheng | Xichang’anjie Street | 117 | Chaoyang | Yayuncun Street |
| 52 | Shijingshan | Lugu Street | 118 | Chaoyang | Shibalidian Town |
| 53 | Shijingshan | Bajiao Street | 119 | Chaoyang | Hujialou Street |
| 54 | Dongcheng | Qianmen Street | 120 | Haidian | Sujiatuo Town |
| 55 | Dongcheng | Dongzhimen Street | 121 | Haidian | Xibeiwang Town |
| 56 | Dongcheng | Donghuashi Street | 122 | Haidian | Xiangshan Street |
| 57 | Dongcheng | Chongwenmenwai Street | 123 | Haidian | Wanshoulu Street |
| 58 | Chaoyang | Pingfang Town | 124 | Haidian | Xisanqi Street |
| 59 | Dongcheng | Tiantan Street | 125 | Xicheng | Shichahai Street |
| 60 | Fengtai | Fengtai Street | 126 | Haidian | Qinglongqiao Street |
| 61 | Dongcheng | Jingshan Street | 127 | Shijingshan | Pingguoyuan Street |
| 62 | Dongcheng | Donghuamen Street | 128 | Shijingshan | Gucheng Street |
| 63 | Dongcheng | Hepingli Street | 129 | Shijingshan | Guangning Street |
| 64 | Fengtai | Xiluoyuan Street | 130 | Shijingshan | Laoshan Street |
| 65 | Dongcheng | Chaoyangmen Street | 131 | Shijingshan | Wulituo Street |
References
- Larondelle, N.; Lauf, S. Balancing demand and supply of multiple urban ecosystem services on different spatial scales. Ecosyst. Serv. 2016, 22, 18–31. [Google Scholar] [CrossRef]
- Seto, K.C.; Fragkias, M.; Güneralp, B.; Reilly, M.K. A Meta-Analysis of Global Urban Land Expansion. PLoS ONE 2011, 6, e23777. [Google Scholar] [CrossRef] [PubMed]
- Li, C.; Zhu, H.; Ye, X.; Jiang, C.; Dong, J.; Wang, D.; Wu, Y. Study on Average Housing Prices in the Inland Capital Cities of China by Night-time Light Remote Sensing and Official Statistics Data. Scientific Reports 2020, 10, 7732. [Google Scholar] [CrossRef]
- Venerandi, A.; Quattrone, G.; Capra, L. A scalable method to quantify the relationship between urban form and socio-economic indexes. EPJ Data Sci. 2018, 7, 1–21. [Google Scholar] [CrossRef]
- United Nations Human Settlements Programme (Un-Habitat). State of the World’s Cities 2008/2009: Harmonious Cities; Routledge: Abingdon, UK, 2008. [Google Scholar]
- Liu, J.; Deng, Y.; Wang, Y.; Huang, H.; Du, Q.; Ren, F. Urban Nighttime Leisure Space Mapping with Nighttime Light Images and POI Data. Remote Sens. 2020, 12, 541. [Google Scholar] [CrossRef]
- Jing, Y.; Liu, Y.; Cai, E.; Liu, Y.; Zhang, Y. Quantifying the spatiality of urban leisure venues in Wuhan, Central China—GIS-based spatial pattern metrics. Sustain. Cities Soc. 2018, 40, 638–647. [Google Scholar] [CrossRef]
- Cortinovis, C.; Geneletti, D. Ecosystem services in urban plans: What is there, and what is still needed for better decisions. Land Use Policy 2018, 70, 298–312. [Google Scholar] [CrossRef]
- Ortiz, M.S.O.; Geneletti, D. Assessing Mismatches in the Provision of Urban Ecosystem Services to Support Spatial Planning: A Case Study on Recreation and Food Supply in Havana, Cuba. Sustainability 2018, 10, 2165. [Google Scholar] [CrossRef]
- Calderoncontreras, R.; Quirozrosas, L.E. Analysing scale, quality and diversity of green infrastructure and the provision of Urban Ecosystem Services: A case from Mexico City. Ecosyst. Serv. 2017, 23, 127–137. [Google Scholar] [CrossRef]
- Zardo, L.; Geneletti, D.; Perezsoba, M.; Van Eupen, M. Estimating the cooling capacity of green infrastructures to support urban planning. Ecosyst. Serv. 2017, 26, 225–235. [Google Scholar] [CrossRef]
- Leyden, K.M.; Goldberg, A.; Michelbach, P. Understanding the Pursuit of Happiness in Ten Major Cities. Urban Aff. Rev. 2011, 47, 861–888. [Google Scholar] [CrossRef]
- Glaeser, E.L.; Gottlieb, J.D. Urban Resurgence and the Consumer City. Urban Stud. 2006, 43, 1275–1299. [Google Scholar] [CrossRef]
- Ballas, D. What makes a ‘happy city’? Cities 2013, 32, S39–S50. [Google Scholar] [CrossRef]
- Carlino, G.A.; Saiz, A. Beautiful City: Leisure Amenities and Urban Growth. J. Reg. Sci. 2019, 59, 369–408. [Google Scholar] [CrossRef]
- Musa, H.D.; Yacob, M.R.; Abdullah, A.M.; Ishak, M.Y. Enhancing subjective well-being through strategic urban planning: Development and application of community happiness index. Sustain. Cities Soc. 2018, 38, 184–194. [Google Scholar] [CrossRef]
- Dong, H.; Zhang, J.; Cirillo, C. Exploring, understanding, and modeling the reciprocal relation between leisure and subjective well-being. Transp. Res. Part A Policy Pract. 2019, 130, 813–824. [Google Scholar] [CrossRef]
- Zhai, T.; Wang, J.; Jin, Z.; Qi, Y.; Fang, Y.; Liu, J. Did improvements of ecosystem services supply-demand imbalance change environmental spatial injustices? Ecol. Indic. 2020, 111, 106068. [Google Scholar] [CrossRef]
- Wolch, J.; Byrne, J.A.; Newell, J.P. Urban green space, public health, and environmental justice: The challenge of making cities ‘just green enough’. Landsc. Urban Plan. 2014, 125, 234–244. [Google Scholar] [CrossRef]
- Grunewald, K.; Richter, B.; Meinel, G.; Herold, H.; Syrbe, R. Proposal of indicators regarding the provision and accessibility of green spaces for assessing the ecosystem service “recreation in the city” in Germany. Int. J. Biodivers. Sci. Ecosyst. Serv. Manag. 2017, 13, 26–39. [Google Scholar] [CrossRef]
- Fan, P.; Xu, L.; Yue, W.; Chen, J. Accessibility of public urban green space in an urban periphery: The case of Shanghai. Landsc. Urban Plan. 2017, 165, 177–192. [Google Scholar] [CrossRef]
- Chen, F.; Li, L.; Niu, J.; Lin, A.; Chen, S.; Hao, L. Evaluating Ecosystem Services Supply and Demand Dynamics and Ecological Zoning Management in Wuhan, China. Int. J. Environ. Res. Public Health 2019, 16, 2332. [Google Scholar] [CrossRef] [PubMed]
- Gupta, K.; Roy, A.; Luthra, K.; Maithani, S. GIS based analysis for assessing the accessibility at hierarchical levels of urban green spaces. Urban For. Urban Green. 2016, 18, 198–211. [Google Scholar] [CrossRef]
- Vierikko, K.; Ylipelkonen, V. Seasonality in recreation supply and demand in an urban lake ecosystem in Finland. Urban Ecosyst. 2019, 22, 769–783. [Google Scholar] [CrossRef]
- Burkhard, B.; Kroll, F.; Nedkov, S.; Muller, F. Mapping ecosystem service supply, demand and budgets. Ecol. Indic. 2012, 21, 17–29. [Google Scholar] [CrossRef]
- Baro, F.; Palomo, I.; Zulian, G.; Vizcaino, P.; Haase, D.; Gomezbaggethun, E. Mapping ecosystem service capacity, flow and demand for landscape and urban planning: A case study in the Barcelona metropolitan region. Land Use Policy 2016, 57, 405–417. [Google Scholar] [CrossRef]
- Yin, L.-H.; Liu, H. Searching Activity Trajectories with Semantics. J. Comput. Sci. Technol. 2019, 34, 775–794. [Google Scholar] [CrossRef]
- Deng, Y.; Liu, J.; Liu, Y.; Luo, A. Detecting Urban Polycentric Structure from POI Data. ISPRS Int. J. GeoInf. 2019, 8, 283. [Google Scholar] [CrossRef]
- Chen, W.; Huang, H.; Dong, J.; Zhang, Y.; Tian, Y.; Yang, Z. Social functional mapping of urban green space using remote sensing and social sensing data. ISPRS J. Photogramm. Remote Sens. 2018, 146, 436–452. [Google Scholar] [CrossRef]
- Wu, J.; He, S.; Peng, J.; Li, W.; Zhong, X. Intercalibration of DMSP-OLS night-time light data by the invariant region method. Int. J. Remote Sens. 2013, 34, 7356–7368. [Google Scholar] [CrossRef]
- Elvidge, C.D.; Baugh, K.; Zhizhin, M.; Hsu, F.C.; Ghosh, T. VIIRS night-time lights. Int. J. Remote Sens. 2017, 38, 5860–5879. [Google Scholar] [CrossRef]
- Yang, X.; Ye, T.; Zhao, N.; Chen, Q.; Yue, W.; Qi, J.; Zeng, B.; Jia, P. Population Mapping with Multisensor Remote Sensing Images and Point-Of-Interest Data. Remote Sens. 2019, 11, 574. [Google Scholar] [CrossRef]
- Tan, M.; Li, X.; Li, S.; Xin, L.; Wang, X.; Li, Q.; Li, W.; Li, Y.; Xiang, W. Modeling population density based on nighttime light images and land use data in China. Appl. Geogr. 2018, 90, 239–247. [Google Scholar] [CrossRef]
- Chu, H.; Yang, C.H.; Chou, C.C. Adaptive non-negative geographically weighted regression for population density estimation based on nighttime light. ISPRS Int. J. Geoinf. 2019, 8, 26. [Google Scholar] [CrossRef]
- Li, X.; Xu, H.; Chen, X.; Li, C. Potential of NPP-VIIRS Nighttime Light Imagery for Modeling the Regional Economy of China. Remote Sens. 2013, 5, 3057–3081. [Google Scholar] [CrossRef]
- Keola, S.; Andersson, M.; Hall, O. Monitoring Economic Development from Space: Using Nighttime Light and Land Cover Data to Measure Economic Growth. World Dev. 2015, 66, 322–334. [Google Scholar] [CrossRef]
- Liu, Q.; Sutton, P.C.; Elvidge, C.D. Relationships between Nighttime Imagery and Population Density for Hong Kong. Proc. Asia Pac. Adv. Netw. 2011, 31, 79. [Google Scholar] [CrossRef]
- Lorilla, R.S.; Kalogirou, S.; Poirazidis, K.; Kefalas, G. Identifying spatial mismatches between the supply and demand of ecosystem services to achieve a sustainable management regime in the Ionian Islands (Western Greece). Land Use Policy 2019, 88, 104171. [Google Scholar] [CrossRef]
- Vallecillo, S.; La Notte, A.; Zulian, G.; Ferrini, S.; Maes, J. Ecosystem services accounts: Valuing the actual flow of nature-based recreation from ecosystems to people. Ecol. Model. 2019, 392, 196–211. [Google Scholar] [CrossRef]
- Wang, J.; Zhai, T.; Lin, Y.; Kong, X.; He, T. Spatial imbalance and changes in supply and demand of ecosystem services in China. Sci. Total Environ. 2019, 657, 781–791. [Google Scholar] [CrossRef]
- Schaafsma, M.; Hitzhusen, F.J. (Eds.) Economic Valuation of River Systems. Environ. Resour. Econ. 2009, 42, 427–428. [Google Scholar] [CrossRef][Green Version]
- Kuminoff, N.V.; Parmeter, C.F.; Pope, J.C. Which hedonic models can we trust to recover the marginal willingness to pay for environmental amenities. J. Environ. Econ. Manag. 2010, 60, 145–160. [Google Scholar] [CrossRef]
- Zheng, S.; Sun, W.; Wang, R. Land Supply and Capitalization of Public Goods in Housing Prices: Evidence from Beijing. J. Reg. Sci. 2014, 54, 550–568. [Google Scholar] [CrossRef]
- Caruso, J.C.; Cliff, N. Empirical Size, Coverage, and Power of Confidence Intervals for Spearman’s Rho. Educ. Psychol. Meas. 1997, 57, 637–654. [Google Scholar] [CrossRef]
- Zou, K.H.; Tuncali, K.; Silverman, S.G. Correlation and Simple Linear Regression. Radiology 2003, 227, 617–622. [Google Scholar] [CrossRef] [PubMed]
- Schober, P.; Boer, C.; Schwarte, L.A. Correlation Coefficients: Appropriate Use and Interpretation. Anesth. Analg. 2018, 126, 1763–1768. [Google Scholar] [CrossRef]







| ID | Leisure Service Category | Corresponding POI Categories in the Baidu Map (Second-Level) | Corresponding POI Categories in the Baidu Map (Third-Level) |
|---|---|---|---|
| 1 | Ecological leisure (EL) | Natural place name, scenery spot | National view spot, provincial view spot, beach |
| park and square | Zoo, park, botanical garden, aquarium | ||
| 2 | Business leisure (BL) | Theatre and cinema, recreation center, commercial Street, coffee house, tea house, ice-cream shop, dessert house, bath and massage center | All |
| 3 | Cultural leisure (CL) | Arts organization, cultural palace, planetarium, science and technology museum, library, art gallery, convention and exhibition center, exhibition hall, museum, tourist attraction related | All |
| scenery spot | World heritage, memorial hall, Buddhist and Taoist temple, church, scenery spot, mosque | ||
| 4 | Multifunctional leisure (ML) | Sports stadium, golf related, recreation place | All |
| park and square | Park and square, city plaza, facilities within the park |
| ID | Model | L 1 | T 2 | R 3 | P 4 | E 5 |
|---|---|---|---|---|---|---|
| 1 | Five-attribute model | √ | √ | √ | √ | √ |
| 2 | Four-attribute model 1 | √ | √ | √ | √ | |
| 3 | Four-attribute model 2 | √ | √ | √ | √ | |
| 4 | Three-attribute model | √ | √ | √ |
| ID | Landmark | District | Leisure Type | Actual Supply and Demand | Model for Validation | |||
|---|---|---|---|---|---|---|---|---|
| 1 1 | 2 | 3 | 4 | |||||
| 1 | Yuanmingyuan | Haidian | EL | H-L | H-L | H-L | H-H | H-H |
| 2 | Temple of Heaven Park | Dongcheng | EL | H-H | H-H | H-H | H-H | H-H |
| 3 | Beijing Zoo | Xicheng | EL | H-L | H-H | H-L | H-H | H-H |
| 4 | Chaoyang park | Chaoyang | EL | H-L | H-L | H-L | H-H | H-H |
| 5 | World Park | Fengtai | EL | H-L | H-L | H-L | H-H | H-H |
| 6 | Beijing International Sculpture Park | Shijingshan | EL | H-H | H-H | H-H | H-H | H-H |
| 7 | Wukesong | Haidian | BL | H-H | L-L | H-L | L-L | L-L |
| 8 | Wangfujing | Dongcheng | BL | H-H | L-H | H-H | H-L | H-L |
| 9 | Dashilar | Xicheng | BL | H-H | H-H | H-H | H-L | H-H |
| 10 | Sanlitun | Choayang | BL | L-H | L-H | L-H | L-L | L-L |
| 11 | Wanda Plaza | Fengtai | BL | L-H | L-H | L-H | L-L | L-L |
| 12 | Wanda Plaza | Shijingshan | BL | H-H | L-H | H-H | L-L | L-L |
| 13 | Summer Palace | Haidian | CL | H-L | H-L | H-L | H-H | H-H |
| 14 | Palace Museum | Dongcheng | CL | H-L | H-L | H-L | H-H | H-H |
| 15 | Grand View Garden | Xicheng | CL | H-L | H-L | H-L | H-H | H-H |
| 16 | Jiuxianqiao | Chaoyang | CL | H-H | L-H | H-L | H-L | H-L |
| 17 | Beijing Garden Expo | Fengtai | CL | H-L | H-L | H-L | H-H | H-H |
| 18 | Cultural Center | Shijingshan | CL | H-H | H-H | H-H | H-L | H-L |
| 19 | Beijing Sport University | Haidian | ML | L-H | L-H | L-H | L-L | L-L |
| 20 | Beijing Workers’ Stadium | Dongcheng | ML | L-H | L-H | L-H | L-L | L-L |
| 21 | Beijing Zoo | Xicheng | ML | H-H | H-H | H-H | H-H | H-H |
| 22 | National National Olympic Sports Center | Chaoyang | ML | H-L | H-L | H-L | H-H | H-H |
| 23 | Nangong Leisure Square | Fengtai | ML | L-L | L-L | L-L | L-L | L-L |
| 24 | Shougang Basketball Center | Shijingshan | ML | L-H | L-H | L-H | L-L | L-L |
| Model accuracy | 79% | 92% | 17% | 25% | ||||
| Type | EL | BL | CL | ML |
|---|---|---|---|---|
| High supply-High demand | 396 | 211 | 430 | 93 |
| Low supply-High demand | 276 | 461 | 242 | 579 |
| Low supply-Low demand | 1503 | 1592 | 1474 | 1619 |
| High supply-Low demand | 154 | 65 | 183 | 38 |
| District | EL | BL | CL | ML |
|---|---|---|---|---|
| Dongcheng | −0.136 * | 0.454 ** | 0.053 * | 0.460 *** |
| Xicheng | −0.302 *** | 0.479 ** | 0.127 * | 0.473 *** |
| Chaoyang | 0.3141 *** | 0.623 *** | 0.400 *** | 0.654 *** |
| Fengtai | 0.312 *** | 0.707 *** | 0.438 *** | 0.722 *** |
| Shijingshan | 0.268 *** | 0.788 *** | 0.441 *** | 0.734 *** |
| Haidian | 0.259 *** | 0.667 *** | 0.515 *** | 0.667 *** |
© 2020 by the authors. Licensee MDPI, Basel, Switzerland. This article is an open access article distributed under the terms and conditions of the Creative Commons Attribution (CC BY) license (http://creativecommons.org/licenses/by/4.0/).
Share and Cite
Deng, Y.; Liu, J.; Luo, A.; Wang, Y.; Xu, S.; Ren, F.; Su, F. Spatial Mismatch between the Supply and Demand of Urban Leisure Services with Multisource Open Data. ISPRS Int. J. Geo-Inf. 2020, 9, 466. https://doi.org/10.3390/ijgi9080466
Deng Y, Liu J, Luo A, Wang Y, Xu S, Ren F, Su F. Spatial Mismatch between the Supply and Demand of Urban Leisure Services with Multisource Open Data. ISPRS International Journal of Geo-Information. 2020; 9(8):466. https://doi.org/10.3390/ijgi9080466
Chicago/Turabian StyleDeng, Yue, Jiping Liu, An Luo, Yong Wang, Shenghua Xu, Fu Ren, and Fenzhen Su. 2020. "Spatial Mismatch between the Supply and Demand of Urban Leisure Services with Multisource Open Data" ISPRS International Journal of Geo-Information 9, no. 8: 466. https://doi.org/10.3390/ijgi9080466
APA StyleDeng, Y., Liu, J., Luo, A., Wang, Y., Xu, S., Ren, F., & Su, F. (2020). Spatial Mismatch between the Supply and Demand of Urban Leisure Services with Multisource Open Data. ISPRS International Journal of Geo-Information, 9(8), 466. https://doi.org/10.3390/ijgi9080466

