Ecological Zoning Based on Suitability Evaluation of Ecological Product Development from the Value-Risk-Cost-Demand Perspective
Abstract
1. Introduction
2. Study Area and Datasets
2.1. Study Area
2.2. Datasets
3. Methods
3.1. Basic Idea
3.2. Methodology for EP Development Suitability Evaluation and Ecological Zoning
3.2.1. Quantifying the Potential Value of EPs
3.2.2. Quantifying the Ecological Risk Pattern of EPs
3.2.3. Quantifying the Development Costs of EPs
- 1.
- The degree of difficulty of land development and utilization: This factor is evaluated based on indicators such as “the proportion of arable land” [53], “the proportion of construction land” [54], and “the proportion of city greenland” [55]. Regions with a high proportion of arable land are more suitable for developing EA products, while it is more challenging to develop other types of EP. EI products typically require a high proportion of construction land and are often developed in regions with such land availability. Areas with a high proportion of city green space are also typically more amenable to ET-type products. Conversely, it is more challenging to develop EA products in areas with a high proportion of construction land.where is the proportion of agricultural land, built-up land, or urban green space; is the area of agricultural land, built-up land, or urban green space within the unit; and is the total area of the unit.
- 2.
- Road network impact. The road network plays a crucial role in facilitating the transportation of regional EA products, fostering the industrial agglomeration of EI products, and enhancing the accessibility of ET products [56]. In this paper, the influence of the road network on EP development is characterized by “road network density” () and quantified through kernel density analysis [57].
3.2.4. Quantifying the Product Demand of EPs
3.2.5. Suitability Calculating and EP Zoning
- 1.
- The multi-objective is co-trended (this paper turned the ecological risk and development cost into a positive), and the standardized decision matrix is constructed.where denotes the score of the th evaluation unit under the th decision goal.
- 2.
- The entropy weight method is employed to determine the weight of each decision objective’s influence on the outcome. The entropy weight method is used for matrix transformation. Its advantage lies in determining weights by measuring the information entropy of indicators, which reduces subjective judgment and ensures the objectivity of weights and the relative importance among indicators. This involves calculating the product of the standardized decision matrix and the weight vector, which results in the creation of the weighted standardized decision matrix Y.where represents the information entropy and denotes the influence weight on the outcome under the th decision objective.where denotes the weighted score of the th evaluation unit under the th decision objective.
- 3.
- In traditional TOPSIS evaluations, the Euclidean distance is frequently utilized to quantify the distance between an object and an ideal solution. However, the Euclidean distance has certain limitations—it is less sensitive to smaller values and disregards the importance of dimensionality. In contrast, the Canberra distance exhibits greater sensitivity to values close to zero and remains unaffected by the dimensionality of the data [61]. It can address these limitations more effectively. Therefore, this paper opts to employ the Canberra distance.
4. Results
4.1. Indicator System and Similarity Test
4.2. EP Development Suitability Evaluation
4.3. EPZ Result
5. Discussion
5.1. Comparison of Zoning Results of Different Methods
5.2. Quantitative Comparison of Zoning Results
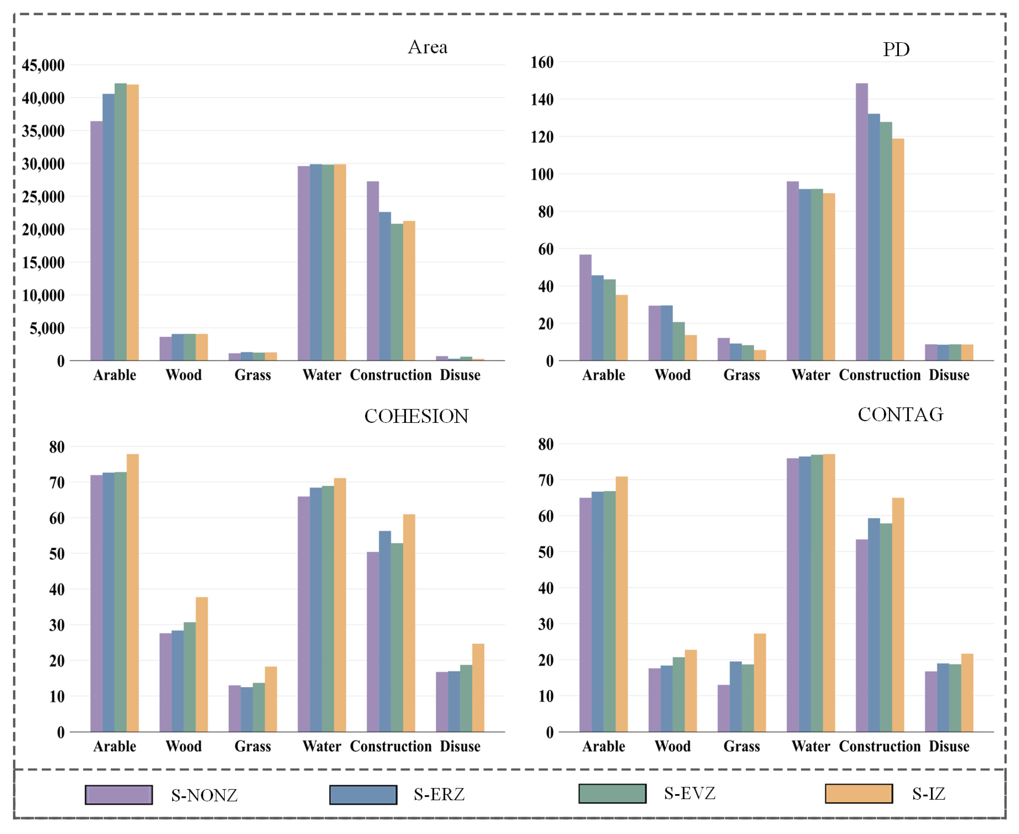
5.3. Comparison of Ecological Development Simulations Driven by EP Zoning
6. Conclusions
6.1. Construction of an Evaluation Framework for EP Development Suitability
6.2. Development of Regional Quantitative Solutions and Dominant Mode Zoning Methods
6.3. Verification of Feasibility Through a Case Study in Jintan District
7. Limitations
Supplementary Materials
Author Contributions
Funding
Data Availability Statement
Conflicts of Interest
References
- Zhao, M.; A, G.; Zhang, J.; Velicogna, I.; Liang, C.; Li, Z. Ecological restoration impact on total terrestrial water storage. Nat. Sustain. 2020, 4, 56–62. [Google Scholar] [CrossRef]
- Henry, R.C.; Arneth, A.; Jung, M.; Rabin, S.S.; Rounsevell, M.D.; Warren, F.; Alexander, P. Global and regional health and food security under strict conservation scenarios. Nat. Sustain. 2022, 5, 303–310. [Google Scholar] [CrossRef]
- Peng, J.; Tian, L.; Liu, Y.; Zhao, M.; Hu, Y.; Wu, J. Ecosystem services response to urbanization in metropolitan areas: Thresholds identification. Sci. Total Environ. 2017, 607–608, 706–714. [Google Scholar] [CrossRef] [PubMed]
- Wang, Z.; Guo, J.; Ling, H.; Han, F.; Kong, Z.; Wang, W. Function zoning based on spatial and temporal changes in quantity and quality of ecosystem services under enhanced management of water resources in arid basins. Ecol. Indic. 2022, 137, 108725. [Google Scholar] [CrossRef]
- Weiss, A. Lamarckian Illusions. Trends Ecol. Evol. 2015, 30, 566–568. [Google Scholar] [CrossRef][Green Version]
- Hong, Z.Y.; Yang, Z. Discussing the transformation of grass planting and tree planting into ecological products based on the historical changes of the Loess Plateau. J. Henan Univ. Sci. Technol. (Agric. Ed.) 1985, 5, 70–76. [Google Scholar]
- Ren, Y.; Yuan, G. Preliminary account on “ecological products”. Chin. J. Ecol. 1992, 11, 50–52. [Google Scholar]
- The State Council of China. Notification of the State Council on the Issuance of the National Main Functional Zone Planning. Available online: https://www.gov.cn/zhengce/content/2011-06/08/content_1441.htm (accessed on 14 February 2025).
- Kallio, A.M.I.; Hänninen, R.; Vainikainen, N.; Luque, S. Biodiversity value and the optimal location of forest conservation sites in Southern Finland. Ecol. Econ. 2008, 67, 232–243. [Google Scholar] [CrossRef]
- Gao, X.L.; Lin, Y.Q.; Xu, W.; Ouyang, Z. Research progress on the value realization of ecological products. Acta Ecol. Sin. 2020, 40, 24–33. [Google Scholar]
- Ouyang, Z.; Zhu, C.; Yang, G.; Xu, W.; Zheng, H.; Zhang, Y.; Xiao, Y. Gross ecosystem product: Concept, accounting framework and case study. Acta Ecol. Sin. 2013, 33, 6747–6761. [Google Scholar] [CrossRef]
- Zhang, L.B.; Yu, H.Y.; Li, D.Q.; Jia, Z.Y.; Wu, F.C.; Liu, X. Connotation and Value Implementation Mechanism of Ecological Products. Trans. Chin. Soc. Agric. Mach. 2019, 50, 173–183. [Google Scholar]
- The State Council of China. The General Office of the Communist Party of China Central Committee and the General Office of the State Council Issued the “Opinion on Establishing and Improving the Mechanism for Realizing the Value of Ecological Products”. Available online: https://www.gov.cn/gongbao/content/2021/content_5609079.htm (accessed on 14 February 2025).
- Zhang, L.B.; Yu, H.Y.; Hao, C.Z.; Wang, H. Practice model and path of ecosystem product value realization. Environ. Sci. Res. 2021, 34, 1407–1416. [Google Scholar]
- Liu, B. The connotation, classification, and institutional framework of the realization mechanism for ecological products. Environ. Prot. 2020, 48, 4. [Google Scholar]
- Liu, J.; Su, X.; Liu, Y.; Shui, W. A Review of Research on Progress in the Theory and Practice of Eco-Product Value Realization. Land 2024, 13, 316. [Google Scholar] [CrossRef]
- Mitchell, M.G.E.; Schuster, R.; Jacob, A.L.; Hanna, D.E.L.; Dallaire, C.O.; Raudsepp-Hearne, C.; Bennett, E.M.; Lehner, B.; Chan, K.M.A. Identifying key ecosystem service providing areas to inform national-scale conservation planning. Environ. Res. Lett. 2021, 16, 014038. [Google Scholar] [CrossRef]
- Li, Q.; Li, D.; Wang, J.; Wang, S.; Wang, R.; Fu, G.; Yuan, Y.; Zheng, Z. Spatial heterogeneity of ecosystem service bundles and the driving factors in the Beijing-Tianjin-Hebei region. J. Clean. Prod. 2024, 479, 144006. [Google Scholar] [CrossRef]
- Gao, Z.-Q.; Tao, F.; Wang, Y.-H.; Zhou, T. Potential ecological risk assessment of land use structure based on MCCA model: A case study in Yangtze River Delta Region, China. Ecol. Indic. 2023, 155, 110931. [Google Scholar] [CrossRef]
- Luo, F.; Liu, Y.; Peng, J.; Wu, J. Assessing urban landscape ecological risk through an adaptive cycle framework. Landsc. Urban Plan. 2018, 180, 125–134. [Google Scholar] [CrossRef]
- Cao, S.; Yu, Z.; Zhang, J.; Feng, F.; Xu, D.; Mu, X. Cost–benefit analysis of ecosystem services in China. Ecol. Eng. 2018, 125, 143–148. [Google Scholar] [CrossRef]
- Lin, Y.; Chen, Q.; Huang, F.; Xue, X.; Zhang, Y. Identifying ecological risk and cost–benefit value for supporting habitat restoration: A case study from Sansha Bay, southeast China. Ecol. Processes 2023, 12, 20. [Google Scholar] [CrossRef]
- Lin, Y.; Xu, X.; Tan, Y.; Chen, M. Multi-scalar assessment of ecosystem-services supply and demand for establishing ecological management zoning. Appl. Geogr. 2024, 172, 103435. [Google Scholar] [CrossRef]
- Zeng, J.; Cui, X.; Chen, W.; Yao, X. Ecological management zoning based on the supply-demand relationship of ecosystem services in China. Appl. Geogr. 2023, 155, 102959. [Google Scholar] [CrossRef]
- Cui, X.; Huang, L. Integrating ecosystem services and ecological risks for urban ecological zoning: A case study of Wuhan City, China. Hum. Ecol. Risk Assess. 2023, 29, 1299–1317. [Google Scholar] [CrossRef]
- Ezzine-de-Blas, D.; Wunder, S.; Ruiz-Pérez, M.; Moreno-Sanchez, R.d.P. Global Patterns in the Implementation of Payments for Environmental Services. PLoS ONE 2016, 11, e0149847. [Google Scholar] [CrossRef]
- Verde Selva, G.; Pauli, N.; Kiatkoski Kim, M.; Clifton, J. Opportunity for change or reinforcing inequality? Power, governance and equity implications of government payments for conservation in Brazil. Environ. Sci. Policy 2020, 105, 102–112. [Google Scholar] [CrossRef]
- Johansson, J. Participation and deliberation in Swedish forest governance: The process of initiating a National Forest Program. For. Policy Econ. 2016, 70, 137–146. [Google Scholar] [CrossRef]
- Paul, I.; Roy, G. Tourist’s engagement in eco-tourism: A review and research agenda. Hosp. Tour. Manag. 2023, 54, 316–328. [Google Scholar] [CrossRef]
- Robertson, M. The work of wetland credit markets: Two cases in entrepreneurial wetland banking. Wetlands Ecol. Manag. 2009, 17, 35–51. [Google Scholar] [CrossRef]
- Yang, S.; Zhou, L.; Zhang, P.; Fang, S.; Li, W. Evaluating the spillover value of ecological products from urban rivers eco-restoration: A quasi-natural experiment in Wuhan, China. Ecol. Indic. 2023, 156, 111095. [Google Scholar] [CrossRef]
- Chang, Y.; Sun, Y.; Yang, H.; Cheng, J.; Wang, B. Value realization paths of ecological products through tourism in agricultural heritage sites from the perspective of farmers: An example of the Dancong tea culture system in Chaozhou City. Resources Sci. 2023, 45, 428–440. [Google Scholar] [CrossRef]
- Mora-Garcia, C.; Campos, R.G., Jr.; Seronay, R.A. Perceived ecosystem services towards the conservation of Agusan marsh wildlife sanctuary in Mindanao, Philippines. Int. J. Conserv. Sci. 2020, 11, 199–208. [Google Scholar]
- Xu, D.; Wang, Y.; Wu, L.; Zhang, W. Evaluation of the Degree of the Value Realization of Ecological Products of the Forest Ecological Bank in Shunchang County. Forests 2023, 14, 2269. [Google Scholar] [CrossRef]
- Tan, C.; Ma, J.; Yan, Y.; Hong, G.; Wu, X. Identifying priority wetlands for the conservation of waterbirds in Wuhan, China. Ecol. Indic. 2023, 157, 111240. [Google Scholar] [CrossRef]
- Wang, H.; Li, Y.; Bu, G. How carbon trading policy should be integrated with carbon tax policy-laboratory evidence from a model of the current state of carbon pricing policy in China. Environ. Sci. Pollut. Res. Int. 2023, 30, 23851–23869. [Google Scholar] [CrossRef]
- Huang, Y.; Lou, G.; Yao, J. Research on the Profit Contribution of Forest Ecological Benefits Based on Policy and Market-Tools Compensation Projects in Nanping. Sustainability 2023, 15, 5465. [Google Scholar] [CrossRef]
- Yu, H.; Shao, C.; Wang, X.; Hao, C. Transformation Path of Ecological Product Value and Efficiency Evaluation: The Case of the Qilihai Wetland in Tianjin. Int. J. Environ. Res. Public Health 2022, 19, 14575. [Google Scholar] [CrossRef]
- Zhang, L.B.; Chen, X.; Liang, T.; Wang, H.; Hao, C.Z.; Ren, Y.F.; Li, Y.A.; Wu, S.Y. Research progress, problems and prospects of ecosystem products value accounting in China. Res. Environ. Sci. 2023, 36, 743–756. [Google Scholar]
- Wu, W.; Zhang, X.; Yang, Z.; Qin, W.; Wang, F.; Wang, C. Ecotourism Suitability and Zoning from the Tourist Perspective: A Nature Reserve Case Study. Pol. J. Environ. Stud. 2015, 24, 2683–2697. [Google Scholar] [CrossRef]
- Shi, Y.; Shi, D.; Zhou, L.; Fang, R. Identification of ecosystem services supply and demand areas and simulation of ecosystem service flows in Shanghai. Ecol. Indic. 2020, 115, 106418. [Google Scholar] [CrossRef]
- Zhang, L.; Fu, B.; Lü, Y.; Zeng, Y. Balancing multiple ecosystem services in conservation priority setting. Landscape Ecol. 2015, 30, 535–546. [Google Scholar] [CrossRef]
- Peng, J.; Chen, X.; Liu, Y.; Lü, H.; Hu, X. Spatial identification of multifunctional landscapes and associated influencing factors in the Beijing-Tianjin-Hebei region, China. Appl. Geogr. 2016, 74, 170–181. [Google Scholar] [CrossRef]
- Liu, J.; Xiao, B.; Jiao, J.; Li, Y.; Wang, X. Modeling the response of ecological service value to land use change through deep learning simulation in Lanzhou, China. Sci. Total Environ. 2021, 796, 148981. [Google Scholar] [CrossRef] [PubMed]
- Guerrero-Pineda, C.; Iacona, G.D.; Mair, L.; Hawkins, F.; Siikamäki, J.; Miller, D.; Gerber, L.R. An investment strategy to address biodiversity loss from agricultural expansion. Nat. Sustain. 2022, 5, 610–618. [Google Scholar] [CrossRef]
- Gao, P.; Wang, H.; Wang, Y.; Song, C.; Ye, S. A method for constructing a composite index by coupling high-dimensional ranked weights and the duality of linear programming. Acta Geogr. Sin. 2022, 77, 2389–2406. [Google Scholar]
- Wu, S.; Fu, Y.; Shen, H.; Liu, F. Using ranked weights and Shannon entropy to modify regional sustainable society index. Sustain. Cities Soc. 2018, 41, 443–448. [Google Scholar] [CrossRef]
- Salviano, I.R.; Gardon, F.R.; dos Santos, R.F. Ecological corridors and landscape planning: A model to select priority areas for connectivity maintenance. Landscape Ecol. 2021, 36, 3311–3328. [Google Scholar] [CrossRef]
- Jalkanen, J.; Toivonen, T.; Moilanen, A. Identification of ecological networks for land-use planning with spatial conservation prioritization. Landscape Ecol. 2020, 35, 353–371. [Google Scholar] [CrossRef]
- Wang, C.; Yu, C.; Chen, T.; Feng, Z.; Hu, Y.; Wu, K. Can the establishment of ecological security patterns improve ecological protection? An example of Nanchang, China. Sci. Total Environ. 2020, 740, 140051. [Google Scholar] [CrossRef]
- Li, L.; Huang, X.; Wu, D.; Yang, H. Construction of ecological security pattern adapting to future land use change in Pearl River Delta, China. Appl. Geogr. 2023, 154, 102946. [Google Scholar] [CrossRef]
- Yalew, S.G.; van Griensven, A.; van der Zaag, P. AgriSuit: A web-based GIS-MCDA framework for agricultural land suitability assessment. Comput. Electron. Agric. 2016, 128, 1–8. [Google Scholar] [CrossRef]
- Liu, Y.; Zhang, Z.; Zhou, Y. Efficiency of construction land allocation in China: An econometric analysis of panel data. Land Use Policy 2018, 74, 261–272. [Google Scholar] [CrossRef]
- Halecki, W.; Stachura, T.; Fudała, W.; Stec, A.; Kuboń, S. Assessment and planning of green spaces in urban parks: A review. Sustain. Cities Soc. 2023, 88, 104280. [Google Scholar] [CrossRef]
- Jedlička, J.; Havlíček, M.; Dostál, I.; Huzlík, J.; Skokanová, H. Assessing Relationships between Land Use Changes and the Development of a Road Network in the Hodonín Region (Czech Republic). Quaest. Geogr. 2019, 38, 145–159. [Google Scholar] [CrossRef]
- Mo, W.; Wang, Y.; Zhang, Y.; Zhuang, D. Impacts of road network expansion on landscape ecological risk in a megacity, China: A case study of Beijing. Sci. Total Environ. 2017, 574, 1000–1011. [Google Scholar] [CrossRef]
- Holz-Rau, C.; Scheiner, J. Land-use and transport planning—A field of complex cause-impact relationships. Thoughts on transport growth, greenhouse gas emissions and the built environment. Trans. Policy 2019, 74, 127–137. [Google Scholar] [CrossRef]
- Zhou, F.; Hagan, D.F.T.; Wang, G.; Liang, X.S.; Li, S.; Shao, Y.; Yeboah, E.; Wei, X. Estimating Time-Dependent Structures in a Multivariate Causality for Land–Atmosphere Interactions. J. Climate 2024, 37, 1853–1876. [Google Scholar] [CrossRef]
- Hwang, C.-L.; Yoon, K. Methods for Multiple Attribute Decision Making. In Multiple Attribute Decision Making: Methods and Applications A State-of-the-Art Survey; Springer: Berlin/Heidelberg, Germany, 1981; pp. 58–191. [Google Scholar]
- Yang, T.; Zhang, Q.; Wan, X.; Li, X.; Wang, Y.; Wang, W. Comprehensive ecological risk assessment for semi-arid basin based on conceptual model of risk response and improved TOPSIS model-a case study of Wei River Basin, China. Sci. Total Environ. 2020, 719, 137502. [Google Scholar] [CrossRef]
- Wu, S.; Hou, X.; Peng, M.; Cheng, M.; Xue, J.; Bao, H. Suitability assessment and zoning of value realization for ecological regulation services: A case study of Lishui city. Zhejiang Prov. China Land Sci. 2021, 35, 81–89. [Google Scholar]
- Jiao, M.; Hu, M.; Xia, B. Spatiotemporal dynamic simulation of land-use and landscape-pattern in the Pearl River Delta, China. Sustain. Cities Soc. 2019, 49, 101581. [Google Scholar] [CrossRef]
- Nie, W.; Xu, B.; Yang, F.; Shi, Y.; Liu, B.; Wu, R.; Lin, W.; Pei, H.; Bao, Z. Simulating future land use by coupling ecological security patterns and multiple scenarios. Sci. Total Environ. 2023, 859, 160262. [Google Scholar] [CrossRef]
- Liang, X.; Guan, Q.; Clarke, K.C.; Liu, S.; Wang, B.; Yao, Y. Understanding the drivers of sustainable land expansion using a patch-generating land use simulation (PLUS) model: A case study in Wuhan, China. Comput. Environ. Urban 2021, 85, 101569. [Google Scholar] [CrossRef]
- Silvertown, J. Have Ecosystem Services Been Oversold? Trends Ecol. Evol. 2015, 30, 641–648. [Google Scholar] [CrossRef] [PubMed]










| Indicator | Ecological Agriculture | Ecological Industry | Ecological Tourism |
|---|---|---|---|
| Food provision | 0.089 | 0.015 | 0.020 |
| Water yield | 0.069 | 0.009 | 0.018 |
| Air purification | 0.017 | 0.027 | 0.056 |
| Climate regulation | 0.014 | 0.030 | 0.052 |
| Water conservation | 0.048 | 0.025 | 0.010 |
| Carbon sequestration | 0.021 | 0.015 | 0.029 |
| Oxygen release | 0.019 | 0.018 | 0.060 |
| Biodiversity | 0.008 | 0.026 | 0.002 |
| Negative ions supply | 0.028 | 0.024 | 0.070 |
| Soil conservation | 0.041 | 0.022 | 0.013 |
| Flood storage | 0.003 | 0.006 | 0.002 |
| Daily recreation | 0.005 | 0.004 | 0.034 |
| Tourism aesthetics | 0.001 | 0.012 | 0.038 |
| Indicator | Introduction | Formula | Formula Interpretation |
|---|---|---|---|
| Optimal area deviation rate (δArea) | The δArea measures the discrepancy between actual and optimal land use areas, with higher values indicating greater deviation and less rational planning. | is the area of land use type in model type and is the optimal area of land use type . | |
| Patch density (PD) | PD quantifies the patch count per unit area, with higher values denoting increased fragmentation. | denotes the number of patches in the landscape of category and denotes the total area of the landscape of category . | |
| Cohesion index (COHESION) | The COHESION index, ranging from 0 to 100%, evaluates internal patch connectivity, with values near 100% indicating high aggregation and connectivity. | Where refers to the area of patch in the landscape of category ; represents the perimeter of patch in the landscape of category ; and is the total area of the landscape. | |
| Contagion index (CONTAG) | The CONTAG index assesses the distribution pattern of a patch type, with higher values suggesting a more clustered arrangement in the landscape. | Where is the percentage of area occupied by type patches; denotes the number of type and patches in close proximity; and is the total number. |
Disclaimer/Publisher’s Note: The statements, opinions and data contained in all publications are solely those of the individual author(s) and contributor(s) and not of MDPI and/or the editor(s). MDPI and/or the editor(s) disclaim responsibility for any injury to people or property resulting from any ideas, methods, instructions or products referred to in the content. |
© 2025 by the authors. Published by MDPI on behalf of the International Society for Photogrammetry and Remote Sensing. Licensee MDPI, Basel, Switzerland. This article is an open access article distributed under the terms and conditions of the Creative Commons Attribution (CC BY) license (https://creativecommons.org/licenses/by/4.0/).
Share and Cite
Gao, M.; Du, P.; Zhou, X.; Liu, Z.; Luo, W.; Yu, Z.; Yuan, L. Ecological Zoning Based on Suitability Evaluation of Ecological Product Development from the Value-Risk-Cost-Demand Perspective. ISPRS Int. J. Geo-Inf. 2025, 14, 118. https://doi.org/10.3390/ijgi14030118
Gao M, Du P, Zhou X, Liu Z, Luo W, Yu Z, Yuan L. Ecological Zoning Based on Suitability Evaluation of Ecological Product Development from the Value-Risk-Cost-Demand Perspective. ISPRS International Journal of Geo-Information. 2025; 14(3):118. https://doi.org/10.3390/ijgi14030118
Chicago/Turabian StyleGao, Ming, Pei Du, Xinxin Zhou, Zhenxia Liu, Wen Luo, Zhaoyuan Yu, and Linwang Yuan. 2025. "Ecological Zoning Based on Suitability Evaluation of Ecological Product Development from the Value-Risk-Cost-Demand Perspective" ISPRS International Journal of Geo-Information 14, no. 3: 118. https://doi.org/10.3390/ijgi14030118
APA StyleGao, M., Du, P., Zhou, X., Liu, Z., Luo, W., Yu, Z., & Yuan, L. (2025). Ecological Zoning Based on Suitability Evaluation of Ecological Product Development from the Value-Risk-Cost-Demand Perspective. ISPRS International Journal of Geo-Information, 14(3), 118. https://doi.org/10.3390/ijgi14030118

