Next Article in Journal
Scale- and Resolution-Adapted Shaded Relief Generation Using U-Net
Previous Article in Journal
Determinants of Intra-City Residential Migration Patterns of Older Adults: A GIS and Decision Tree Analysis of Yancheng City, China
 
 
Font Type:
Arial Georgia Verdana
Font Size:
Aa Aa Aa
Line Spacing:
Column Width:
Background:
Article

Evaluation of the Monitoring Capabilities of Remote Sensing Satellites for Maritime Moving Targets

by
Weiming Li
1,
Zhiqiang Du
2,*,
Li Wang
1 and
Tiancheng Zhou
1
1
School of Remote Sensing and Information Engineering, Wuhan University, Wuhan 430079, China
2
State Key Laboratory of Information Engineering in Surveying Mapping and Remote Sensing, Wuhan University, Wuhan 430079, China
*
Author to whom correspondence should be addressed.
ISPRS Int. J. Geo-Inf. 2024, 13(9), 325; https://doi.org/10.3390/ijgi13090325
Submission received: 16 June 2024 / Revised: 30 August 2024 / Accepted: 10 September 2024 / Published: 11 September 2024

Abstract

Although an Automatic Identification System (AIS) can be used to monitor trajectories, it has become a reality for remote sensing satellite clusters to monitor maritime moving targets. The increasing demand for monitoring poses challenges for the construction of satellites, the monitoring capabilities of which urgently need to be evaluated. Conventional evaluation methods focus on the spatial characteristics of monitoring; however, the temporal characteristics and the target’s kinematic characteristics are neglected. In this study, an evaluation method that integrates the spatial and temporal characteristics of monitoring along with the target’s kinematic characteristics is proposed. Firstly, a target motion prediction model for calculating the transfer probability and a satellite observation information calculation model for obtaining observation strips and time windows are established. Secondly, an index system is established, including the target detection capability, observation coverage capability, proportion of empty window, dispersion of observation window, and deviation of observation window. Thirdly, a comprehensive evaluation is completed through combining the analytic hierarchy process and entropy weight method to obtain the monitoring capability score. Finally, simulation experiments are conducted to evaluate the monitoring capabilities of satellites for ship trajectories. The results show that the method is effective when the grid size is between 1.6 and 1.8 times the target size and the task duration is approximately twice the time interval between trajectory points. Furthermore, the method is proven to be usable in various environments.

1. Introduction

There is an urgent need to conduct comprehensive evaluations of the capabilities of remote sensing satellites in monitoring maritime moving targets to provide guidance for optimizing the construction of such satellites. With the growing number of marine emergency accidents and the frequent occurrence of illegal maritime activities worldwide, the capability to continuously monitor maritime moving targets is in urgent need of significant improvement [1]. Although the Automatic Identification System (AIS) is capable of monitoring trajectories, it has become a reality that maritime moving targets can be continuously monitored through clusters of remote sensing satellites with the development of remote sensing technology, especially in special circumstances where AIS may fail. An AIS is ineffective when subjected to threats such as deliberate spoofing, network attacks, and equipment damage [2,3,4], and its signals are susceptible to interference from radio equipment and the natural environment, making targets undetectable [5,6]. AIS cannot be used to monitor ships in such situations, as these problems make the obtained information unreliable. In the event of AIS failure, remote sensing satellites can compensate for the shortcomings of AIS by relying on their continuous observation characteristics, providing an effective solution for the continuous monitoring of maritime moving targets. However, the growing demand for monitoring poses new challenges for planning the layout of remote sensing satellites [7]. Building satellite clusters requires significant amounts of human and material resources, making the optimal allocation of resources very important. Evaluating the monitoring capabilities of satellites can provide decision support for optimal allocation.
Multi-criteria decision making (MCDM) is widely used as a model to evaluate the monitoring capabilities of satellites for maritime moving targets [8]. It involves the design of a system of indices to evaluate these capabilities in various dimensions, then allows a comprehensive evaluation to be conducted. The MCDM evaluation model can significantly enhance the accuracy of a comprehensive evaluation by providing a systematic approach to balancing multiple criteria and dealing with uncertainty and subjectivity. To address the issue of evaluating the monitoring capabilities of remote sensing satellites for maritime moving targets, existing studies have mainly focused on the design of index systems and comprehensive evaluation methodologies using MCDM.
The construction of existing index systems has mainly been conducted considering the coverage effectiveness of satellites in the spatial and temporal dimensions, as well as their mission execution effectiveness. The construction of an index system requires the principles of integrity, independence, and accuracy to be addressed [9]. Considering coverage efficacy, an index system built from the perspective of the cumulative coverage area percentage, average coverage duration, maximum coverage duration, and so on [10] can better evaluate the observation efficiency, reflecting their usability for observing targets under ideal conditions. However, such a system does not consider the impact of target movement on coverage effectiveness. In terms of the mission execution effectiveness of satellites, their mission planning effectiveness, communication effectiveness, and resource scheduling effectiveness can be used as factors to build an index system. Satellite mission planning effectiveness includes the mission completion rate and mission response time [11]. Satellite communication effectiveness includes the average link outage time and link transmission delay rate. Resource scheduling effectiveness includes the resource utilization rate and task scheduling success rate [12]. The target detection capability refers to the probability that a satellite will find the target. For general random targets, the target detection capability can be calculated from the obtained coverage performance index based on a mathematical model [13]; thus, the detection capability has become the leading index, as it is conducive to the screening of subsequent indices and improves the independence of the system.
The main comprehensive evaluation method types include subjective evaluation methods and objective evaluation methods. In particular, the analytic hierarchy process (AHP) is the subjective method that has been researched the most. The evaluation of satellite monitoring capabilities can be decomposed into different evaluation factors, which are then clustered and combined to establish an ordered hierarchical model; then, each factor is given a quantitative weight based on an expert opinion [14,15]. In actual evaluation processes, on one hand, some of the indices can only be qualitatively expressed; on the other hand, quantitative indices may not have the same dimension, and fuzzy theory can be introduced to deal with this fuzziness. Through combining the analytic hierarchy process and fuzzy comprehensive evaluation (FCE), the final evaluation results for monitoring capabilities of remote sensing satellites can be obtained through a multi-level fuzzy comprehensive evaluation [10,16]. After establishing a weighting system through the AHP, the ADC model which is used to evaluate a system based on availability, dependability and capability can be applied to evaluating the comprehensive effectiveness of a satellite system [12]. The ADC model can accurately evaluate the integrity of a satellite system, but it needs significant data support.
The existing objective weighting methods can be divided into those focusing on maintaining independence and those focusing on maintaining the integrity of the index system. Methods that focus on maintaining independence include correlation analysis and principal component analysis. There are inevitably redundant indices in index systems, and multiple redundant or related indices may aggravate the difficulty of determining weight values [17]. Using an index screening method in correlation analysis can reduce the number of redundant indices, improving the independence of the index system [18]. The method using principal component analysis combined with independent coefficients and the principal component comprehensive loss rate can be used to obtain an optimal index system through quantitative analysis and screening of the index set [19], but this can damage the integrity of the index system. The main methods focusing on maintaining integrity are based on the information entropy, and a representative method of this type is the entropy weight method. The improved entropy weight evaluation model can compress an evaluation system to the maximum extent while avoiding the loss of index information on the premise of maintaining the index system’s integrity [20]. The entropy weight method avoids the interference of subjective human factors and enhances the objectivity of comprehensive evaluation [21]. However, when a sample is too sparse, the standardization results of the entropy weight method are prone to distortion [22]. Compressive Sensing (CS) offers a solution by enabling the reconstruction of sparse signals from a significantly fewer number of measurements, which can be particularly beneficial when dealing with sparse samples [23]. The application of CS has been demonstrated in various fields, including the efficient sensing of von Kármán vortices [24] and ship detection in optical remote sensing scenes [25]. These applications illustrate the potential of CS to enhance the accuracy and reliability of the entropy weight method in scenarios with limited data. When evaluating the monitoring capabilities of satellites, taking all aspects of a satellite’s performance into account is of great necessity and, so, it is more important to consider the integrity of the index system. Compared with correlation analysis and principal component analysis, the entropy weight method considers the information contribution of each index more integrally and does not ignore the impact of any index.
A combination of subjective and objective methods is needed to evaluate satellite monitoring capabilities. A subjective weighting method can provide expert experience and address the preferences of decision makers, but cannot overcome the influence of subjective factors. Meanwhile, an objective weighting method can be used to fully and objectively analyze data, but cannot reflect the relative importance of expert experience. The method of using entropy weighting and the AHP to construct index weights with linear weighting for an evaluation [26,27,28] allows comprehensive consideration of the amount of information and relative importance between the indices, thus improving the integrity and reliability of the evaluation results. A multi-index comprehensive evaluation method combining the AHP–entropy method and the TOPSIS method allowed for an intuitive determination of the optimal solution, but it could be affected by the data quality, sample number, and index weight [29].
Existing research has two shortcomings when constructing evaluation index systems: first, the monitoring characteristics of remote sensing satellites in the spatial and temporal dimensions have not been fully integrated and studied. Most studies have focused only on the coverage efficiency of observation strips, neglecting the overall characteristics of the observation time windows. Second, the movement patterns of targets are rarely paid any attention, with most research having focused on static targets.
Compared to existing research, our work develops an evaluation system that evaluates both the spatial and temporal coverage capabilities of satellites. By combining these aspects, it provides a more comprehensive evaluation of the satellite’s ability to detect targets and its monitoring continuity. Furthermore, unlike other studies that have limited consideration of target motion characteristics, this study innovatively constructs a short-term position prediction model for dynamic targets and incorporates the evaluation of uncertain motion characteristics of targets into our evaluation index system.
This study presents a method for comprehensively evaluating satellite monitoring capabilities. First, the foundation of an index system is established; this includes a target motion prediction model (TMPM) and a satellite observation information calculation model (SOICM). Second, a comprehensive evaluation index system incorporating both the temporal and spatial dimensions is developed. Third, a comprehensive evaluation is accomplished by combining the analytic hierarchy process and the entropy weight method, with the final score being obtained through a linear weighting calculation. Finally, two sets of experiments are conducted: one with different parameters, and the other in various sea areas during different time periods and in environments with varying cloud coverage.

2. Methodological Framework

In this section, an index system for evaluating monitoring capabilities in the temporal and spatial dimensions and the foundation of its model are presented. Then, a comprehensive evaluation is conducted using a combination of the analytic hierarchy process and entropy weight method.

2.1. Basis of the Index System for Monitoring Capability Evaluation

The basis of the proposed index system includes the following: A target motion prediction model (TMPM) and a satellite observation information calculation model (SOICM). The TMPM provides a method for measuring the kinematic characteristics of a target for calculation of the target detection capability, and the SOICM can be used to obtain observed satellite transit information. Both of these models serve as the basis for the calculation of indices.
Figure 1 shows the relationship between the models and the index system.

2.1.1. Target Motion Prediction Model

The prediction of the motion of a moving target includes two problems: task area delineation and solution of the moving target’s transfer probability. The TMPM is used to calculate the transfer probability of moving targets based on the grid division of the task area. Thus, it achieves grid-based distribution updates and motion prediction of targets, providing a position estimation method for dynamically changing targets with unknown motion states.
Satellite monitoring of a maritime moving target is carried out within a designated area called the task area, which is decomposed into | R | grids of the same size. When defining the task area, its position and size are set based on the initial estimation of the kinematic characteristics of the target. A circular task area is constructed with the initial position of the target as the center and R t a s k as the radius, where R t a s k = 2 V T t a s k , T t a s k = [ s t a t a s k , e n d t a s k ] represents the task duration, and V represents the estimated speed of the target. The task area is then gridded, and the size of the grid is set as the step of a coordinate system, which is established with the lower-left corner of the smallest outer rectangle of the task area as the origin, the X-axis in the due-east direction, and the Y-axis is in the due-north direction. We then record the latitude and longitude of the center of each grid, denoted as ( L o n i , L a t i ) , where 0 i | R | .
The task area is shown in Figure 2.
The TMPM considers the moving target’s transfer probability to obey a Gaussian distribution. Then, the target’s transfer probability is calculated for each grid. When the motion pattern of the target is unknown, it can be assumed to undergo diffusion motion; thus, its transfer probability can be described using a Gaussian distribution. In this study, first, the transfer probability in the Cartesian coordinate system is derived, followed by the transitions to the three-dimensional Cartesian coordinate system and, finally, extending to the geodetic coordinate system to complete the calculation of the target transfer probability. In the Cartesian coordinate system, the mean of the target’s transfer probability function is at a distance μ from the initial target position, where μ = V · T t a s k , and the variance of the probability is as follows:
σ 2 = 1 | R | i = 0 | R | ( Δ l i μ ) 2 ,
where Δ l i represents the distance from the initial target position to the target’s position after time T. After transfer, the target may be located in any grid within the task area. Based on the Gaussian distribution, the probability of the target transferring to each grid within the task area is calculated as follows:
P i = 1 σ 2 π exp ( Δ l i μ ) 2 2 σ 2 .
In the three-dimensional Cartesian coordinate system, the Earth is approximated as a sphere, and the target trajectory is a segment of a great circle, which is A B , as shown in Figure 3. A ( x 0 , y 0 , z 0 ) and B ( x i , y i , z i ) represent the initial position and the position after the transfer of the target, respectively. The distance between points A and B is represented by the length | A B | . The radius of the Earth is denoted as R e .
The length of | A B | can be calculated from the following geometric relationship, which is also shown in the diagram:
Δ l i = | A B | = R e · arccos x i x 0 + y i y 0 + z i z 0 R e 2 .
The conversion relationship between the geodetic coordinate system and the three-dimensional Cartesian coordinate system is given as follows:
x i = R e · cos ( L a t i ) cos ( L o n i ) y i = R e · cos ( L a t i ) sin ( L o n i ) z i = R e · sin ( L a t i ) ,
where Δ l i in the geodetic coordinate system can be updated as follows:
Δ l i = R e · arccos cos ( L a t i ) cos ( L a t 0 ) cos ( L o n i L o n 0 ) + sin ( L a t i ) sin ( L a t 0 ) .
Substituting (5) into (2), the target transfer probability in the geodetic coordinate system can be obtained. The distribution diagram of the target’s transfer probability is shown in Figure 4, where darker colors indicate higher transfer probabilities within that grid. The transfer probability gradually decreases from the mean position outward.

2.1.2. Satellite Observation Information Calculation Model

The SOICM is used to calculate the observation strip and observation time window information when satellites pass over. In the SOICM, first, the maximum range that the satellite can observe is calculated. If the initial position of the target is within this range, the shortest distance from the sub-satellite point to the target’s initial position is then calculated. When the remote sensor is imaging, it is necessary to ensure that the target’s initial position is as close to the central line of the observation strip as possible. Then, based on the approximately parallel relationship between the central line of the observation strip and the footprint of the sub-satellite point, the coordinates of the points on the central line of the observation strip at the start and end of imaging are calculated.
The sub-satellite point is the intersection of the line connecting the satellite’s position at any given moment with the Earth’s center and the Earth’s surface. A control center is able to monitor the operation of satellites and obtain the coordinates of the sub-satellite points at any time. Side-looking imaging refers to a process in which a remote sensor swings perpendicularly to the satellite’s orbit to observe targets that are offset from the footprint of the sub-satellite point.
The Earth is approximated as a sphere with E representing its center and R e representing its radius. The process of satellite side-looking imaging is shown in Figure 5a. A B and C D are the central lines of the farthest observation strips that the satellite can observe. P 1 and P 5 represent the sub-satellite points at the task start and end times, respectively, and S 1 and S 5 represent the satellite’s positions at these times. P 2 is the sub-satellite point when imaging starts, and O 1 is the corresponding point on the central line of the observation strip. P 4 is the sub-satellite point when imaging ends, and O 2 is the corresponding point on the central line of the observation strip. O is the initial position of the target. α 1 and α 5 represent the satellite’s maximum side-looking angle. α 2 , α 3 , and α 4 represent the satellite’s side-looking angle while imaging. The rectangle B 1 B 2 B 3 B 4 represents the farthest observation strip of the satellite. Figure 5b shows a cross-sectional view of the scene. H is the satellite’s altitude.
The width of a satellite’s swath is usually fixed and is denoted as S W , with | B B 1 | = 1 2 × | S W | . Based on the sine rule, the length of the maximum observation range | P 1 B 1 | on one side of the satellite is calculated as follows:
| P 1 B 1 | = R e · arccos ( H + R e ) 2 + R e 2 | S 1 B | 2 2 · ( H + R e ) · R e + | B B 1 | ,
where | S 1 B | is calculated using the cosine rule and the quadratic formula:
| S 1 B | = ( H + R e ) · cos α 1 1 2 2 · ( H + R e ) · cos α 1 2 4 ( H + R e ) 2 R e 2 .
To facilitate the calculation of the coordinates of the vertex of the maximum observation range, the coordinates of P 1 and P 5 are converted into Cartesian coordinates based on (4). The vector is P 1 P 5 = ( x p 5 x p 1 , y p 5 y p 1 , z p 5 z p 1 ) . It is necessary to calculate the normal vector N , which is perpendicular to P 1 P 5 , to determine the coordinates of point B, as P 1 P 5 is perpendicular to P 1 P 5 . N = P 1 P 5 × E P 1 . E P 1 is the normal vector of the Earth’s surface at point P 1 . The formula for N is defined as follows:
N = i j k x p 5 x p 1 y p 5 y p 1 z p 5 y p 1 x p 1 y p 1 y p 1 .
Then, it is converted into a unit vector, which is defined as follows:
N u n i t = N N x 2 + N y 2 + N z 2 .
This can also be expressed as N u n i t = ( N u n i t x , N u n i t y , N u n i t z ) . Point B 1 is located at a distance of | P 1 B 1 | in the opposite direction of N u n i t at point P 1 . The coordinates of point B 1 are calculated as follows:
x b 1 = x p 1 | P 1 B 1 | · N u n i t x y b 1 = y p 1 | P 1 B 1 | · N u n i t y z b 1 = z p 1 | P 1 B 1 | · N u n i t z .
Then, the Cartesian coordinates of point B 1 are converted back into the longitude and latitude coordinates in the geodetic coordinate system.
The coordinates of the other three vertices can be calculated similarly. If O is within the maximum observation range, we can calculate the length of P 3 O according to the perpendicular relationship between P 3 O and P 1 P 5 .
The vector P 1 P 5 is normalized and defined as follows:
P 1 P 5 u n i t = P 1 P 5 ( x 5 x 1 ) 2 + ( y 5 y 1 ) 2 + ( z 5 z 1 ) 2 .
It can also be expressed as P 1 P 5 u n i t = ( P 1 P 5 u n i t x , P 1 P 5 u n i t y , P 1 P 5 u n i t z ) . Further, P 1 O = ( x o x p 1 , y o y p 1 , z o z o 1 ) . The projection length of P 1 O in the direction of P 1 P 5 is calculated as t = P 1 O · P 1 P 5 u n i t . Thus, the coordinates of the projection point P 3 are computed with
x p 3 = x p 1 + t · P 1 P 5 u n i t x y p 3 = y p 1 + t · P 1 P 5 u n i t y z p 3 = z p 1 + t · P 1 P 5 u n i t z .
Once the coordinates of P 3 are determined, we can obtain P 3 O = ( x o x p 3 , y o y p 3 , z o z p 3 ) . Its length is defined as follows:
| P 3 O | = ( x o x p 3 ) 2 + ( y o y p 3 ) 2 + ( z o z p 3 ) 2 .
At any time, the coordinates of points on the central line of the observation strip can be calculated using the sub-satellite point’s position based on the approximately parallel relationship between the central line of the observation strip and the footprint of sub-satellite point. Once the positions of O 1 and O 2 are determined, the specific location of the observation strip is also established. P s represents any point on the footprint of the sub-satellite point, and O s represents its corresponding point on the central line of the observation strip. The coordinates of O s are calculated in a similar fashion to the determination of the maximum observation range vertices:
x o s = x p s | P s O s | · N u n i t x y o s = y p s | P s O s | · N u n i t y z o s = z p s | P s O s | · N u n i t z ,
where | P s O s | is equal to | P 3 O | . The unitized normal vector at P s is expressed as N u n i t = ( N u n i t x , N u n i t y , N u n i t z ) , and N u n i t is defined as
N u n i t = N N x 2 + N y 2 + N z 2 .
N is defined as
N = i j k x p 5 x p 1 y p 5 y p 1 z p 5 y p 1 x p s y p s y p s .
If O s satisfies the following formula at a certain time t 1 , then O s is exactly at the location of O 1 . ( X , Y , Z ) are the coordinates of the target’s initial position:
( X o s X ) 2 + ( Y o s Y ) 2 + ( Z o s Z ) 2 > R t a s k 2 , t 1 ( X o s X ) 2 + ( Y o s Y ) 2 + ( Z o s Z ) 2 R t a s k 2 , t 1 + Δ t ,
where Δ t represents the time interval at which the control center obtains the satellite’s position. If O s satisfies the following formula at a certain time t 2 , then O s is exactly at the location of O 2 :
( X o s X ) 2 + ( Y o s Y ) 2 + ( Z o s Z ) 2 < R t a s k 2 , t 2 ( X o s X ) 2 + ( Y o s Y ) 2 + ( Z o s Z ) 2 R t a s k 2 , t 2 + Δ t .
It is necessary to record the position of each satellite’s corresponding point on the central line of the observation strip at the beginning and end of imaging. The polygonal area formed by extending the straight-line segment connecting two points on the surface to both sides, thus expanding each side to half of the width of the satellite’s swath, is the observation strip of the satellite, as shown in Figure 6. Overlaying the observation strips with the gridded task area, we can identify the grids that can be observed by satellites, as well as the specific extent to which each grid is covered. This also enables the calculation of the extent to which the task area is covered by the observations of transiting satellites.
The acquisition of the observation time window requires the time when each satellite starts and ends imaging to be recorded. When all time windows are distributed on the timeline, they exhibit uneven characteristics. The impact of this distribution on the satellite monitoring capabilities is evaluated in Section 2.2.

2.2. Index System for the Evaluation of Monitoring Capabilities

A practical index system for the evaluation of satellite monitoring capabilities is established using the target detection capability (TDC), observation coverage capability (OCC), proportion of empty windows (PEW), dispersion of observation window (DOW), and deviation of observation window (DEOW). The calculation method for each index is described in the following.

2.2.1. Target Detection Capability

The TDC represents the probability of a satellite constellation detecting a target within the task area. The estimation of the target’s kinematic characteristics is considered a key component in constructing this index. It is defined by the following formula:
T D C = 1 n i = 0 n P i · S c o v e r S g r i d ,
where n represents the total number of grids that can be observed within the task area, S c o v e r represents the area covered by the observation strips for each grid, and S g r i d represents the size of the grid. In Figure 7, the area covered by the observation strips is highlighted in yellow. The coverage rate of each grid is determined by the ratio of the yellow area within the grid to the total grid area. Furthermore, P i represents the normalized probability of target transfer to each grid obtained from the TMPM, quantitatively describing the uncertainty of target motion. It is defined as follows:
P i = P i P m i n P m a x P m i n ,
where P m i n denotes the minimum transfer probability of the target for all grids, and P m a x denotes the maximum transfer probability of the target for all grids.

2.2.2. Observation Coverage Capability

The OCC is an index for evaluating the monitoring capabilities of satellites in the spatial dimension. The observation coverage capability of a satellite constellation is defined as the proportion of the total area covered by observation strips on the ground within the task area during the task period. The formula is defined as follows:
O C C = S s t r i p S t a s k ,
where S s t r i p represents the total area covered by all observation strips and S t a s k represents the area of the task region.

2.2.3. Proportion of Empty Windows

In order to facilitate the calculation of indices for the temporal dimension (including the PEW, DOW, and DEOW), it is necessary to merge the observation time windows before conducting these calculations to address the potential overlap of time windows in the timeline. The merging of observation time windows refers to the process of consolidating the observation time windows of multiple satellites into a non-overlapping and ordered sequence of observation time windows. The merged sequence ensures that the end time of the preceding time window always precedes the start time of the succeeding one.
  • Step 1: Initialization of time windows
An array storing the observation time windows of all satellites is created: O T W = [ o t w 1 , o t w 2 , . . . , o t w i , . . . , o t w n ] , where n is the total number of observation time windows for all satellites. Each element o t w i = [ s t a i , e n d i ] stores the start time s t a i and end time e n d i of a time window.
  • Step 2: Sorting of time windows
The elements in the array O T W are sorted in ascending order of their start times s t a i , resulting in a new array O T W s o r t .
  • Step 3: Merging of time windows
The merging process is shown in Figure 8. The T e m p array is initialized with the first time window from O T W s o r t , recording its start time as s t a t e m p and end time as e n d t e m p . Starting with the next time window in O T W s o r t , its start time s t a n e x t and end time e n d n e x t are recorded, and then it is compared with T e m p . If e n d t e m p is earlier than s t a n e x t , T e m p is appended to the result sequence O T W m e r g e , and T e m p is updated with the current time window. If e n d t e m p lies between s t a n e x t and e n d n e x t , T e m p is updated to [ s t a t e m p , e n d n e x t ] . If e n d t e m p is later than e n d n e x t , the next time window in O T W s o r t will be processed. This process is repeated until all time windows in O T W s o r t have been checked, resulting in a non-overlapping, ordered sequence of observation time windows: O T W m e r g e = [ o t w m e r g e 1 , o t w m e r g e 2 , . . . , o t w m e r g e i ] . The length of the sequence is recorded as L. Each element o t w m e r g e i = [ s t a m e r g e i , e n d m e r g e i ] stores the start time and end time of a merged time window.
The PEW represents the proportion of the time during the total task duration in which the area of interest remains unobserved by any satellite, which is calculated using the following formula:
P E W = 1 T t a s k i = 0 I E T W i ,
where E T W i denotes the time gap during a specific task duration when the area of interest is not covered by satellite observations, which represents the portion of T t a s k that is not occupied by O T W m e r g e , and I represents the number of occurrences of such a time gap within the task period. These time gaps may be caused by satellite orbit limitations, limitations of the sensor equipment, and task planning arrangements.

2.2.4. Dispersion of Observation Window

It is essential to consider the dispersion between O T W m e r g e when evaluating the monitoring capabilities of satellites for targets; thus, we introduce the DOW. When satellites observe a task area, if there are long gaps between values of O T W m e r g e , this indicates that certain areas have not been observed for a significant amount of time, thus increasing the monitoring instability. To calculate the dispersion between time periods, we treat each value of O T W m e r g e as a point with zero span on the timeline, retaining the span of the empty time window, as shown in Figure 9a. The coordinates on the timeline now represent the accumulated empty time window (AETW). The measurement of the dispersion between time windows is converted into a measurement of the dispersion between coordinates. The DOW is defined as the ratio of the standard deviation of the AETW to its mean, and it is expressed by the following formula:
D O W = σ A E T W μ A E T W = 1 L i = 0 L 1 ( A i 1 L i = 0 L 1 A i ) 1 2 1 L i = 0 L 1 A i .
A smaller DOW indicates a higher likelihood of the satellite monitoring the target. If there are only two values of O T W m e r g e within the task period, then there is only one empty time window. To calculate the DOW, a new observation time window with an infinitesimally small span can be added between the two values of O T W m e r g e , as shown in Figure 9b. In this case, the calculation method for the DOW is the same as the former.

2.2.5. Deviation of Observation Window

The DEOW is used to quantitatively evaluate the concentration of all values of O T W m e r g e towards the task start time. Ideally, the start time of O T W m e r g e should be as close as possible to the task start time in order to ensure the timely acquisition of critical data to support rapid response and decision making, addressing the urgency of monitoring tasks. The formula is defined as follows:
D E O W = 1 L i = 0 L s t a m e r g e i s t a t a s k e n d t a s k s t a t a s k .
The smaller the value of the DEOW, the greater the likelihood of the satellite successfully monitoring the target.

2.3. Comprehensive Evaluation Methodology

The weights for the indices are obtained by combining the analytic hierarchy process and the entropy weight method. Then, the comprehensive evaluation score of satellite monitoring capabilities is calculated through linear weighting.

2.3.1. Hierarchical Evaluation

The AHP includes model construction, judgment matrix formulation, weight vector calculation, and consistency testing. It decomposes elements related to decision making into hierarchies such as objectives, criteria, and alternatives. Then, it measures the relative importance of lower-level factors with respect to higher-level ones and derives a ranking of weights based on this importance through experience or expert opinions.
First, it is necessary to construct a hierarchy model. The core of the hierarchy model lies in determining the decision objective, identifying the criteria relevant to the objective, and further subdividing these criteria until the most specific decision alternatives are reached at the bottom level. This study focuses on the objective and criterion levels to derive the weights of each index. An index of remote sensing satellite monitoring capability is set as the objective level, which is further decomposed into five secondary indices at the criterion level: TDC, OCC, PEW, DOW, and DEOW. The constructed hierarchy model is shown in Figure 10.
The next step is to construct a judgment matrix. The judgment matrix is used to quantify the relative importance of different elements within the same criterion level. It determines the relative priority of each element at the objective level through pairwise comparisons of each. Typically, Santy’s 1–9 scale method is used to assign numerical values to the relative importance [30], as shown in Table 1.
Based on the results of the comparisons, a judgment matrix A of size m × m can be constructed, where m is the number of elements at the criterion level. The element a i j of the matrix represents the importance of the index A i relative to the index A j . The expression for the judgment matrix is denoted as
A = a 11 a 12 a 1 m a 21 a 22 a 2 m a m 1 a m 2 a m m .
Next, the weight vector for the indices is calculated. The elements in the criterion layer are hierarchically ranked, and the judgment matrix A is used to calculate the specific weight values of each element relative to the target layer. The row vectors of matrix A are geometrically averaged and then normalized to obtain the weights and eigenvectors of each index. The calculation steps are as follows.
Step 1: Each row’s elements are multiplied together, and then the m root is taken to obtain the m-dimensional vector W ¯ :
W ¯ i = j = 1 m a i j 1 m ( i = 1 , 2 , , m ) .
Step 2: W ¯ is normalized, and the result is denoted as W 1 :
W 1 i = W ¯ i i = 1 m W ¯ i ( i = 1 , 2 , , m ) .
W 1 is the desired weight and characteristic vector, and it is the result of the hierarchical ranking.
Finally, the consistency of the judgment matrix is checked in order to verify whether the relative importance evaluations made by decision makers in pairwise comparisons maintain logical consistency. Consistency is evaluated by calculating the consistency index (C.I.), random index (R.I.), and consistency ratio (C.R.). The judgment steps are as follows:
Step 1: The eigenvector W 1 is used to calculate the maximum eigenvalue of the judgment matrix A:
λ m a x = 1 m i = 1 m j = 1 m a i j W 1 j W 1 i .
Step 2: The value of the C.I. is calculated as follows:
C . I . = λ m a x m m 1 .
Step 3: Based on the dimension of the judgment matrix, the value of R.I. can be obtained from Table 2, which presents the R.I. values obtained according to Santy from 1000 simulations [30].
Step 4: The value of the C.R. is calculated as follows:
C . R . = C . I . R . I . .
Generally, when C . R . < 0.1 , the matrix is considered to have satisfactory consistency; otherwise, adjustments to the judgment matrix are necessary.

2.3.2. Entropy Weight Evaluation

The entropy weight method starts with the determination of the indices; then, the information entropy of the indices can be calculated and, finally, the weights of the indices can be obtained. The entropy weight method quantifies the uncertainty and randomness of the indices using information entropy based on the degree of variation in each index. The smaller the information entropy value, the greater the degree of dispersion of the indices, and the greater the weight of the indices in the evaluation. The original data matrix R are denoted as follows:
R = r 11 r 12 r 1 m r 21 r 22 r 2 m r k 1 r k 2 r k m ,
where r i j represents the j sample value for the i index, k represents the number of samples, and m represents the number of indices. Different algorithms are used for the standardization of indices, as higher values of the TDC and OCC indicate better monitoring performance, while lower values of the PEW, DOW, and DEOW indicate better performance. The range transformation method is used to standardize the data. The formulas are denoted as follows:
r i j = r i j min { r i 1 , , r i k } max { r i 1 , , r i k } min { r i 1 , , r i k } r i j = max { r i 1 , , r i k } r i j max { r i 1 , , r i k } min { r i 1 , , r i k } .
Then, the information entropy of each index is calculated as follows:
e i = 1 ln k j = 1 k p i j ln p i j ( i = 1 , 2 , , m ) ,
where p i j represents the proportion of the value of the j sample for the i index. It is denoted as follows:
p i j = r i j j = 1 k r i j .
The final weight vector W 2 of the indices is calculated as follows:
W 2 i = 1 e i i = 1 m ( 1 e i )

2.3.3. Comprehensive Evaluation

The linear weighting method is adopted to combine the subjective and objective weights. This combined weighting method helps reduce the subjectivity introduced by the AHP and minimizes the fluctuations in weights calculated with the entropy method due to changes in the data. The formula for combining weights is defined as follows:
C W i = η · W 1 i + ( 1 η ) · W 2 i ( i = 1 , 2 , , m ) ,
where η is the weight coefficient used to control the proportions of subjective and objective weights, which is typically set as 0.5. The final evaluation score for a remote sensing satellite’s monitoring capabilities is defined as follows:
S c o r e = 1 k j = 1 k i = 1 m C W i · f i j .
A larger score indicates better satellite monitoring capabilities. F i j represents the value of the i index with a positive meaning for the j sample, and is defined as follows:
F = f 11 f 12 f 1 m f 21 f 22 f 2 m f k 1 f k 2 f k m .
If f i j represents the value of the PEW, DOW, or DEOW for the j sample, then the value of f i j is denoted as 1 r i j . If f i j represents the value of the TDC or OCC for the j sample, then the value of f i j is the same as that of r i j .

3. Experiments and Results

This section first defines the experimental environment. In the first set of experiments, we set different parameters to investigate the impact of the parameter settings on the effectiveness of the method. In the second set of experiments, we evaluated the monitoring capabilities of remote sensing satellites in various sea areas during different time periods and in environments with varying cloud coverage, in order to demonstrate the usability of this method in various environments. The experiments were conducted on Cesium using JavaScript to calculate the evaluation indices and final scores and were performed on a personal computer with an Intel Core i5 CPU @ 2.0 GHz and 16 GB RAM on an Apple M1 operating system.

3.1. Definition of the Basic Experimental Environment

In this study, the trajectories of ships were decomposed into a series of discrete trajectory points. We sequentially applied the method proposed in this study to the evaluation of satellite monitoring capabilities for each point in chronological order.
A satellite constellation with a scale of 20 remote sensing satellites was selected for experiments on the evaluation of monitoring capabilities in various scenarios. Table 3 presents the payload parameters of each satellite.
The analytic hierarchy process involves the establishment of a judgment matrix, and different scale settings significantly impact the final weight results. In this experiment, a judgment matrix that focused on target detection capabilities was set up, in order to fully consider the impact of the targets’ kinematic characteristics on the evaluation of monitoring capabilities. The construction of the judgment matrix A j u d g e was based on the indices in the following order: TDC, OCC, PEW, DOW, and DEOW. The judgment matrix is defined as follows:
A j u d g e = 1 2 3 3 0.5 0.5 1 2 2 0.33 0.33 0.5 1 1 0.33 0.33 0.5 1 1 0.33 2 3 3 3 1 .
According to the calculation method in the analytic hierarchy process, the C.I. was calculated to be 0.022. Based on the R.I. table, the corresponding R.I. value was found to be 1.12. Therefore, the C.R. was
C . R . = C . I . R . I . = 0.022 1.12 0.02 .
As 0.02 < 0.1 , the consistency test was passed.

3.2. Evaluation of Monitoring Capabilities with Different Parameter Settings for the Method

This set of experiments mainly focused on the impacts of different grid sizes and task durations on the effectiveness of the evaluation method. We established a ship trajectory in a cloud-free area of the Western Pacific during the daytime, as shown in Table 4. The trajectory is similar to that of a Lagrangian drift, proving the usability of the evaluation method in more general scenarios, as shown in Figure 11. The ship’s sailing trajectory was divided into 10 discrete trajectory points, with approximately equal time intervals of 1.2 h, denoted as Δ T . At each trajectory point, we recorded the ship’s length L e n , real-time velocity V, longitude and latitude coordinates L O C , and local arrival time L T .

3.2.1. Evaluation of Monitoring Capabilities with Different Grid Sizes

In this experiment, seven different grid sizes were set: 0.1 km, 0.25 km, 0.5 km, 1 km, 5 km, 10 km and 20 km. For each trajectory point, we set T t a s k = Δ T and R t a s k = 2 V T t a s k . Additionally, if the target could not be observed at the spatial resolution of the passing satellite, the observation results from that satellite were not included in the index calculations.
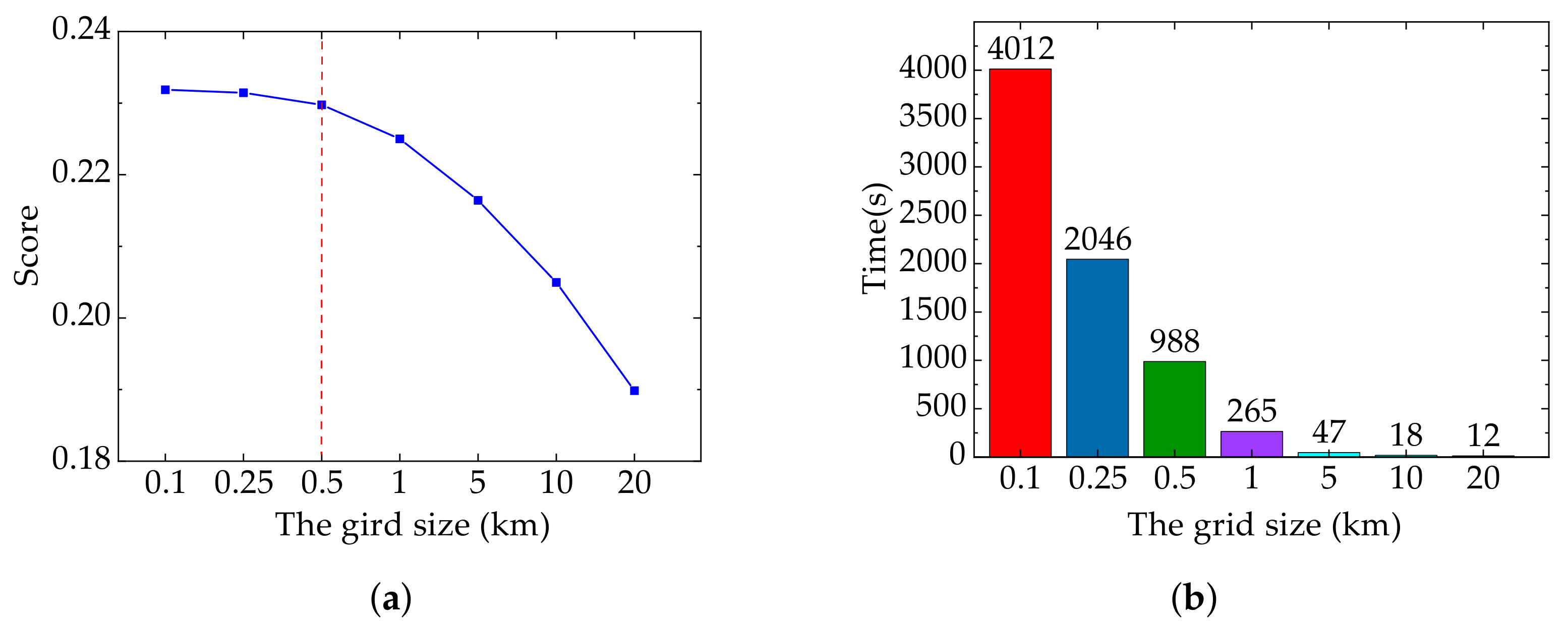
The comprehensive evaluation scores for the monitoring capabilities of remote sensing satellites on Trajectory 1 with seven different grid sizes were calculated, as shown in Figure 12a. The data showed that, as the grid size decreased, the evaluation score presented an upward trend: the lowest score was around 0.19 with a 20 km grid size, while the score for a grid size of 100 m was the highest, at around 0.23. Additionally, the evaluation score decreases more slowly when the grid size is reduced from 500 m to 100 m. However, the decrease is significantly faster when the grid size is reduced from 20 km to 500 m.
The time taken to perform a single simulation under the five grid sizes was recorded, as shown in Figure 12b. The data indicate a significant non-linear increase in simulation time as grid sizes decrease. For larger grid sizes (20 km to 1 km), simulation times increase moderately from around 12 s to 265 s. This increase becomes even more pronounced at smaller grid sizes, with a 0.1 km grid skyrocketing to nearly 4012 s. This trend underscores the exponential rise in computational demands with decreasing grid size.
As the change in grid size only affected the TDC value, we focused solely on the impact of changes in the grid size on the TDC. The values of the TDC are shown in Figure 13.
It is clear that the TDC value decreased with an increase in grid size. At point 7, the TDC value for the 100 m grid size was around 0.6; while, for the 20 km grid size, the TDC value significantly dropped to around 0.25. At points 1 and 10, the TDC value remained relatively high, which could be due to the higher number of passing satellites, thus increasing the number of observation strips in the task area. Moreover, at trajectory points 1, 2, 4, 7, 9, and 10, the TDC values corresponding to grid sizes of 100 m, 250 m, and 500 m are relatively close to each other, and they show a significant difference compared to the values corresponding to other grid sizes.

3.2.2. Evaluation of Monitoring Capabilities with Different Task Durations

In this experiment, the satellite monitoring capabilities were evaluated at each trajectory point for five different values of T t a s k : Δ T , 1.5 Δ T , 2 Δ T , 2.5 Δ T , and 3 Δ T . The grid size was set to 1 km. The other experimental settings were the same as in the first experiment.
The comprehensive evaluation scores for the monitoring capabilities of remote sensing satellites on Trajectory 1 with different values of T t a s k were calculated, as shown in Figure 14. It can be observed that, as T t a s k increased, the evaluation score first increased and then tended to be relatively stable. When T t a s k was extended from Δ T to 2 Δ T , the score significantly increased from 0.22501 to 0.43668. When T t a s k was extended from 2 Δ T to 3 Δ T , the evaluation score continued to slightly fluctuate around 0.38.
The values of each index are shown in Figure 15.
As T t a s k increased from Δ T to 2 Δ T , the line representing the TDC value gradually shifted from having large fluctuations to becoming more stable. After reaching 2 Δ T , the trend of the line remained the same. The DEOW value fluctuated around 0.38 at 2 Δ T . However, with an increase in T t a s k , the DEOW value tended to fluctuate around 0.48, showing an overall increase. The line representing the DOW value gradually deviated downward from the line at a value of 1 until the task reached 2 Δ T , after which the deviation decreased. After reaching 2 Δ T in T t a s k , the overall OCC value slightly increased, although there were some fluctuations. The PEW value remained close to 1.

3.3. Evaluation of Monitoring Capabilities in Various Environments

3.3.1. Evaluation of Monitoring Capabilities in Various Sea Areas during Daytime

In this experiment, ship trajectories were set up in three other geographical regions, as shown in Table 5, Table 6 and Table 7. For the convenience of studying the impact of different sea areas on monitoring capability evaluation, the three trajectories have been processed into approximate linearity, as shown in Figure 16. All ship trajectories were recorded during the daytime, assuming zero cloud cover. Each ship’s sailing trajectory was also divided into 10 discrete trajectory points with approximately equal time intervals. For each trajectory point, we set T t a s k = Δ T . R t a s k = 2 V T t a s k . The grid size was set to 1 km. The same settings were kept in the subsequent experiments.
The comprehensive evaluation scores for the monitoring capabilities of remote sensing satellites with respect to these trajectories in three geographical locations during daytime are shown in Figure 17. The score for Trajectory 2 was 0.2331, while the score for Trajectory 3 was relatively lower at 0.1664. Trajectory 4 had the highest score, reaching 0.2916. Therefore, the differences in geographical location caused significant variations in the evaluation scores.
The values of each index are shown in Figure 18.
The OCC value showed significant differences within each trajectory. At some trajectory points, it reached as high as 0.8, while at other points, it significantly decreased. This demonstrated its sensitivity in reflecting the spatial coverage capabilities of satellites. The TDC value was sensitive to changes in the OCC value and had a positive correlation with it. The DEOW showed fluctuations in all three trajectories. At some trajectory points, the DEOW values were relatively low, indicating that the observation windows were close to the target’s appearance time. Conversely, higher DEOW values suggested a significant deviation between the observation windows and the target’s appearance time. The PEW and DOW generally maintained high values for the three trajectories.

3.3.2. Evaluation of Monitoring Capabilities in Various Sea Areas at Night

This experiment was set up with three cloud-free trajectories that had the same positions as those of Trajectory 2, Trajectory 3, and Trajectory 4 but traveled at night, as shown in Table 8, Table 9 and Table 10, respectively. Each ship’s sailing trajectory was divided into 10 discrete trajectory points with approximately equal time intervals. The other experimental settings were the same as those in the previous experiment.
The experiment took the imaging characteristics of different types of remote sensing satellites into account. Synthetic aperture radar (SAR) satellites excel in nighttime imaging compared to optical satellites because they have the inherent capability to emit and receive radio waves, which are independent of sunlight and the target’s illumination. Optical satellites require visible light to capture images, making them ineffective in darkness. SAR satellites, therefore, possess superior nighttime monitoring capabilities compared to optical satellites.
The comprehensive evaluation scores for the monitoring capabilities of remote sensing satellites on the trajectories in the three geographical locations at night are shown in Figure 19. Compared with the daytime evaluation scores shown in Figure 17, the scores at night were generally lower across all trajectories. This indicates that the monitoring capabilities were generally lower at night than during the daytime.
The values of each indexH are shown in Figure 20.
At night, the OCC and TDC values generally decreased, especially at trajectory points without the involvement of SAR satellites, where the values dropped to 0, thus emphasizing the limitations of optical satellites when monitoring at night. The participation of SAR satellites partially compensated for the optical satellites’ reduced monitoring capabilities at night. The PEW and DOW values remained relatively high at night. The fluctuation in the night DEOW value was greater, indicating a more significant deviation between the observation window and the optimal observation time of the target.

3.3.3. Evaluation of Monitoring Capabilities with Various Levels of Cloud Cover

In this experiment, three sets of tests were conducted on Trajectory 2 while simulating different cloud cover conditions— 25 % , 50 % , and 75 % —as shown in Figure 21. The other experimental settings were the same as those in the previous experiment.
Cloud cover affects the imaging capabilities of optical remote sensing satellites. Optical satellites rely on the reflection of visible light to capture images, and their effectiveness is affected by cloud cover obstructing the line of sight for observation. In contrast, SAR satellites emit and receive microwaves that can penetrate through clouds. This characteristic allows SAR to provide images without interference from cloud cover, offering a significant advantage for monitoring tasks under cloudy conditions.
The comprehensive evaluation scores for the monitoring capabilities of remote sensing satellites on Trajectory 1 with different levels of cloud cover are shown in Figure 22. As the cloud cover increased, the evaluation scores gradually decreased. When the cloud cover increased from 25 % to 75 % , the scores dropped from 0.2189 to 0.1726. This decreasing trend indicated that the increase in cloud cover affected the satellites’ monitoring capabilities.
The values of each index are shown in Figure 23.
The OCC and TDC values showed a decreasing trend as the cloud cover increased. Specifically, the OCC values gradually decreased from the higher values in Figure 23a to significantly lower values in Figure 23c when the cloud cover reached 75 % , indicating that the more clouds there were, the more limited the satellites’ observation capabilities became. Simultaneously, the TDC values also decreased with the increase in cloud cover, with the negative impact on target detection capabilities being more pronounced under high cloud cover conditions. This trend was consistent with the changes in OCC values. The DOW and DEOW presented no significant changes with variations in cloud coverage, and the PEW maintained a high value.

4. Discussion

In this section, we discuss the impact of the grid size and task duration on monitoring effectiveness based on the experimental results presented in Section 3.2, aiming to identify the optimal parameter settings for the method. Then, we demonstrate that this method can be used to evaluate the monitoring capabilities of optical and SAR satellites in various sea areas with different task time periods and in environments with varying cloud coverage based on the experimental results in Section 3.3.

4.1. Optimal Parameter Settings for the Method

Experiments have shown that setting the grid size to 1.6 to 1.8 times the size of a ship results in more accurate evaluations while consuming fewer computational resources. In Figure 12a and Figure 13, it is clear that as the grid size decreases, both the evaluation score and TDC values show an increasing trend. However, when the grid size is reduced to around 500m, which corresponds to 1.6 to 1.8 times the simulated ship size in the experiment, this trend significantly levels off. This indicates that smaller grid sizes provide more precise spatial resolution in target motion prediction, allowing the probability of a target appearing at any location within the task area to be more accurately calculated when using TMPM to predict target transition probabilities. However, when the grid size is smaller than 1.6 to 1.8 times the size of the ship, the impact of increased spatial resolution on prediction accuracy becomes minimal. At the same time, as shown in Figure 12b, computational costs increase exponentially as the grid size decreases. If computational resources are limited, smaller grids may lead to an inability to process data in real time, affecting the timeliness of monitoring. It is necessary to balance these factors to achieve the optimal trade-off between monitoring efficiency and cost. Setting the grid size to 1.6 to 1.8 times the size of the ship can achieve relatively accurate monitoring capability evaluation while consuming relatively fewer computational resources.
A task duration of approximately 2 Δ T is the optimal choice, meaning that the time interval between trajectory points is ideally around 2.4 h. When T t a s k increased from Δ T , the stability of the indices significantly improved. Upon reaching 2 Δ T , the indices achieved an optimal value. The probability of a satellite detecting the target was relatively high, and the observation time window showed minimal dispersion and deviation within the task period. A T t a s k value of approximately 2 Δ T provided the satellites with sufficient observation opportunities. However, further extending the T t a s k value resulted in decreased continuity of the observation time windows. After exceeding 2 Δ T , the improvement in the TDC became negligible, and the dispersion and deviation of the observation time windows tended to increase. This indicated that further extension of the task duration may not yield the expected benefits and may lead to diminishing returns. Moreover, extending the task period reduced the timeliness of the evaluation and increased the complexity of data processing. Therefore, choosing approximately 2 Δ T as the task duration ensured monitoring efficiency while making better use of computational resources.

4.2. Usability of the Method in Various Environments

This evaluation method is highly sensitive to geographical conditions in different sea areas, making it adaptable to them. As shown in Figure 18, there were significant differences in the trends of the OCC values among the different sea areas. In areas with frequent satellite visits, higher OCC values indicated better observation coverage in these areas. Conversely, in areas with fewer satellite visits, lower OCC values suggested a lack of observation opportunities. This difference makes the OCC an accurate index for measuring the spatial coverage capability of a satellite. Moreover, the positive correlation between the TDC and OCC revealed the TDC’s sensitivity to marine geographical conditions, suggesting that it can reflect the ability of satellites to detect targets in various sea areas. The indices in the temporal dimension also showed sensitivity to the geographical locations of sea areas. Lower PEW, DEOW, and DOW values suggested shorter gaps in observation time windows, smaller deviations from the optimal observation time, and a more concentrated distribution, respectively. On the contrary, if these indices showed opposite trends, this could indicate that observation tasks encountered significant interruptions and discontinuities during execution, thereby affecting the overall efficiency of monitoring. Thus, the indices in the temporal dimension can collectively reflect the continuity of observation tasks in various sea areas.
The proposed method not only evaluates the monitoring capabilities of SAR satellites at night but also accurately reveals the limitations of optical satellites under the same conditions. As shown in Figure 20, the evaluation index values were generally lower at night than in the daytime, with optical satellites contributing minimally to the OCC and TDC values. The OCC and TDC values directly reflected the severely limited monitoring capabilities of optical satellites at night due to the lack of light. In contrast, the OCC and TDC values were higher at trajectory points where SAR satellites were involved, reflecting the effectiveness of SAR satellites in night-time monitoring.
The proposed method is also usable under various cloud cover conditions. As shown in Figure 23, as cloud cover increased, the OCC and TDC values showed a decreasing trend at some trajectory points, suggesting that the method can reflect the weakening of the monitoring capabilities of optical satellites with cloud cover. The sensitivity of the OCC and TDC values to cloud cover makes this evaluation method effective in evaluating the monitoring capabilities of satellite constellations under varying cloud cover conditions.

5. Conclusions

To overcome the deficiency of AIS in monitoring maritime moving targets, particularly its potential failure under special circumstances, and to enhance the continuous monitoring capabilities of remote sensing satellites, we first proposed two fundamental models for calculating relevant evaluation indices: one is the TMPM, which calculates the transfer probability to measure the kinematic characteristics of the target, and the other is the SOICM, which takes the side-looking function of remote sensors into account to calculate the observation strip and time window information when satellites pass over. Based on these models, we developed an index system for the evaluation of monitoring capabilities in the temporal and spatial dimensions. We then used an approach combining the analytic hierarchy process and the entropy weight method to conduct a comprehensive evaluation. Finally, two sets of experiments demonstrated that the proposed method is effective when the grid size is between 1.6 and 1.8 times the target size and the task duration is approximately twice the time interval between trajectory points. The proposed method can be applied to various environments. The main contributions of the proposed method are summarized as follows:
1.
This study considers the motion characteristics of the maritime moving target, using the TMPM model and TDC index. The TMPM model assumes target motion follows a Gaussian distribution, aiding in short-term position prediction. The TDC index combines transition probabilities with satellite observation capabilities to evaluate the satellite’s ability to detect moving targets, making the evaluation more reflective of real-world target motion uncertainties.
2.
The SOICM model proposed in this study uses vector and geometric principles to compute satellite ground observation data during transits. SOICM captures the observation swath of the satellite over the Earth’s surface to evaluate its spatial and temporal coverage capabilities.
3.
The index system proposed in this study considers both spatial and temporal characteristics of monitoring. It comprehensively evaluates satellite detection efficiency for maritime moving targets, observation coverage efficiency, and temporal observation continuity. Additionally, this system has been shown to sensitively evaluate the monitoring capabilities of remote sensing satellites across different sea areas, time periods, and various cloud cover conditions.
Future research will focus on evaluating the capabilities for communication between satellites. A ground station needs to send instructions to satellites and receive information from satellites within the coverage range of the station site. Once a satellite carrying out monitoring tasks moves beyond this range, other satellites will need to act as relay stations to assist in information transmission. Reducing the transmission time will directly enhance the efficiency of target monitoring. The evaluation of inter-satellite communication capabilities can serve as an important component of the evaluation system for the monitoring capabilities of remote sensing satellites.

Author Contributions

Conceptualization, Weiming Li; methodology, Weiming Li; software, Weiming Li; validation, Weiming Li; formal analysis, Weiming Li; investigation, Li Wang; resources, Zhiqiang Du; data curation, Tiancheng Zhou; writing––original draft, Weiming Li; writing––review and editing, Zhiqiang Du; visualization, Weiming Li; supervision, Zhiqiang Du; project administration, Zhiqiang Du; funding acquisition, Zhiqiang Du. All authors have read and agreed to the published version of the manuscript.

Funding

This research was funded by National Natural Science Foundation of China (41971347).

Data Availability Statement

All data included in this study are available upon request by contact with the corresponding author.

Conflicts of Interest

The authors declare no conflicts of interest.

References

  1. Aiello, M.; Gianinetto, M. A combined use of multispectral and SAR images for ship detection and characterization through object based image analysis. In Proceedings of the Earth Resources and Environmental Remote Sensing/GIS Applications VIII, Warsaw, Poland, 12–14 September 2017; p. 9. [Google Scholar] [CrossRef]
  2. Balduzzi, M.; Pasta, A.; Wilhoit, K. A security evaluation of AIS automated identification system. In Proceedings of the 30th Annual Computer Security Applications Conference, New Orleans, LA, USA, 8–12 December 2014; pp. 436–445. [Google Scholar] [CrossRef]
  3. Iphar, C.; Ray, C.; Napoli, A. Uses and Misuses of the Automatic Identification System. In Proceedings of the OCEANS 2019-Marseille, Marseille, France, 17–20 June 2019; pp. 1–10. [Google Scholar] [CrossRef]
  4. Mazzarella, F.; Vespe, M.; Alessandrini, A.; Tarchi, D.; Aulicino, G.; Vollero, A. A novel anomaly detection approach to identify intentional AIS on-off switching. Expert Syst. Appl. 2017, 78, 110–123. [Google Scholar] [CrossRef]
  5. Wolsing, K.; Roepert, L.; Bauer, J.; Wehrle, K. Anomaly Detection in Maritime AIS Tracks: A Review of Recent Approaches. J. Mar. Sci. Eng. 2022, 10, 112. [Google Scholar] [CrossRef]
  6. Androjna, A.; Perkovič, M.; Pavic, I.; Mišković, J. AIS Data Vulnerability Indicated by a Spoofing Case-Study. Appl. Sci. 2021, 11, 5015. [Google Scholar] [CrossRef]
  7. Deng, X.; Dong, Y.; Xie, S. Multi-Granularity Mission Negotiation for a Decentralized Remote Sensing Satellite Cluster. Remote Sens. 2020, 12, 3595. [Google Scholar] [CrossRef]
  8. Chowdhury, P.; Paul, S.K. Applications of MCDM methods in research on corporate sustainability: A systematic literature review. Manag. Environ. Qual. Int. J. 2020, 31, 385–405. [Google Scholar] [CrossRef]
  9. Liu, F.; Shi, D.; Xiao, Y.; Zhang, T.; Sun, J. Comprehensive Evaluation on Space Information Network Demonstration Platform Based on Tracking and Data Relay Satellite System. Sensors 2020, 20, 5437. [Google Scholar] [CrossRef]
  10. Pan, Y.; Yang, F.; Wu, Y. Coverage Effectiveness Evaluation of Remote Sensing Satellite System Based on AHP-FCE. Geomat. Sci. Technol. 2015, 3, 42–50. [Google Scholar] [CrossRef]
  11. Hu, X.; Wang, Y.; Sun, H.; Jin, P. A remote sensing satellite observation scheme evaluation method based on granular computing of intuitionistic linguistic preference relation. Ann. Oper. Res. 2022, 316, 343–364. [Google Scholar] [CrossRef]
  12. Chentao, L.; Lei, X.; Guoquan, Z. Effectiveness evaluation for earth observation satellite system based on analytic hierarchy process and ADC model. In Proceedings of the 31st Chinese Control Conference, Hefei, China, 25–27 July 2012; pp. 2851–2854. [Google Scholar]
  13. Meng, S.; Shu, J.; Yang, Q.; Xia, W. Analysis of detection capabilities of LEO reconnaissance satellite constellation based on coverage performance. J. Syst. Eng. Electron. 2018, 29, 98–104. [Google Scholar] [CrossRef]
  14. Zheng, Z.; Li, Q.; Fu, K. Evaluation Model of Remote Sensing Satellites Cooperative Observation Capability. Remote Sens. 2021, 13, 1717. [Google Scholar] [CrossRef]
  15. Chen, S.; Wang, Q. Research on evaluation method of target characteristics detection capability of optical imaging satellite. In Proceedings of the AOPC 2019: Space Optics, Telescopes, and Instrumentation, Beijing, China, 7–9 July 2019; p. 76. [Google Scholar] [CrossRef]
  16. Tang, Y.F.; Yu, X.H. The effectiveness evaluation of nano-satellites used in military operations. In Proceedings of the Proceedings 2013 International Conference on Mechatronic Sciences, Electric Engineering and Computer (MEC), Shengyang, China, 20–22 December 2013; pp. 3012–3016. [Google Scholar] [CrossRef]
  17. Zhai, M.; Cong, H.; Feng, F.; Wu, S. Research on screening method of performance index of PHM system for armored vehicles. In Proceedings of the 2017 Prognostics and System Health Management Conference (PHM-Harbin), Harbin, China, 9–12 July 2017; pp. 1–8. [Google Scholar] [CrossRef]
  18. Li, Z.; Dong, Y.; Li, P.; Li, H.; Liew, Y. A Real-Time Effectiveness Evaluation Method for Remote Sensing Satellite Clusters on Moving Targets. Sensors 2022, 22, 2993. [Google Scholar] [CrossRef] [PubMed]
  19. Li, Z.; Dong, Y.; Li, P.; Li, H.; Liew, Y. A New Method for Remote Sensing Satellite Observation Effectiveness Evaluation. Aerospace 2022, 9, 317. [Google Scholar] [CrossRef]
  20. Zhang, X.; Wang, C.; Li, E.; Xu, C. Assessment Model of Ecoenvironmental Vulnerability Based on Improved Entropy Weight Method. Sci. World J. 2014, 2014, 797814. [Google Scholar] [CrossRef] [PubMed]
  21. Ding, X.; Chong, X.; Bao, Z.; Xue, Y.; Zhang, S. Fuzzy Comprehensive Assessment Method Based on the Entropy Weight Method and Its Application in the Water Environmental Safety Evaluation of the Heshangshan Drinking Water Source Area, Three Gorges Reservoir Area, China. Water 2017, 9, 329. [Google Scholar] [CrossRef]
  22. Zhu, Y.; Tian, D.; Yan, F. Effectiveness of Entropy Weight Method in Decision-Making. Math. Probl. Eng. 2020, 2020, 3564835. [Google Scholar] [CrossRef]
  23. Lu, P.; Liu, Q.; Teng, F.; Mei, L.; Li, J. Inland Moving Ships Detection via Compressive Sensing and Saliency Detection. In Proceedings of the 2016 Chinese Intelligent Systems Conference, Xiamen, China, 22–23 October 2016; Jia, Y., Du, J., Zhang, W., Li, H., Eds.; Springer: Singapore, 2016; Volume 404, pp. 55–63. [Google Scholar] [CrossRef]
  24. Bayındır, C.; Namlı, B. Efficient sensing of von Kármán vortices using compressive sensing. Comput. Fluids 2021, 226, 104975. [Google Scholar] [CrossRef]
  25. Xiao, S.; Zhang, Y.; Chang, X. Ship Detection Based on Compressive Sensing Measurements of Optical Remote Sensing Scenes. IEEE J. Sel. Top. Appl. Earth Obs. Remote Sens. 2022, 15, 8632–8649. [Google Scholar] [CrossRef]
  26. Shen, Y.; Liao, K. An Application of Analytic Hierarchy Process and Entropy Weight Method in Food Cold Chain Risk Evaluation Model. Front. Psychol. 2022, 13, 825696. [Google Scholar] [CrossRef]
  27. Li, L.; Liu, F.; Li, C. Customer satisfaction evaluation method for customized product development using Entropy weight and Analytic Hierarchy Process. Comput. Ind. Eng. 2014, 77, 80–87. [Google Scholar] [CrossRef]
  28. Liu, Z.; Xie, Q.; Dai, L.; Wang, H.; Deng, L.; Wang, C.; Zhang, Y.; Zhou, X.; Yang, C.; Xiang, C.; et al. Research on comprehensive evaluation method of distribution network based on AHP-entropy weighting method. Front. Energy Res. 2022, 10, 975462. [Google Scholar] [CrossRef]
  29. Dai, H.; Wang, J.; Li, G.; Chen, W.; Qiu, B.; Yan, J. A multi-criteria comprehensive evaluation method for distributed energy system. Energy Procedia 2019, 158, 3748–3753. [Google Scholar] [CrossRef]
  30. Saaty, R. The analytic hierarchy process—what it is and how it is used. Math. Model. 1987, 9, 161–176. [Google Scholar] [CrossRef]
Figure 1. The relationship between the models and the index system.
Figure 1. The relationship between the models and the index system.
Ijgi 13 00325 g001
Figure 2. Diagram of the task area.
Figure 2. Diagram of the task area.
Ijgi 13 00325 g002
Figure 3. Calculation of the coordinates in a three-dimensional spherical coordinate system.
Figure 3. Calculation of the coordinates in a three-dimensional spherical coordinate system.
Ijgi 13 00325 g003
Figure 4. Distribution diagram of a target’s transfer probability.
Figure 4. Distribution diagram of a target’s transfer probability.
Ijgi 13 00325 g004
Figure 5. Scene of satellite side-looking imaging: (a) the process of satellite side-looking imaging; and (b) a cross-sectional view of the scene.
Figure 5. Scene of satellite side-looking imaging: (a) the process of satellite side-looking imaging; and (b) a cross-sectional view of the scene.
Ijgi 13 00325 g005
Figure 6. Overlay diagram of the satellite observation strip and the covered task area, yellow represents the area that can be observed by satellites, and red circles represent the task area.
Figure 6. Overlay diagram of the satellite observation strip and the covered task area, yellow represents the area that can be observed by satellites, and red circles represent the task area.
Ijgi 13 00325 g006
Figure 7. The calculation process for the TDC.
Figure 7. The calculation process for the TDC.
Ijgi 13 00325 g007
Figure 8. The process of merging time windows.
Figure 8. The process of merging time windows.
Ijgi 13 00325 g008
Figure 9. The calculation process for the DOW: (a) the conversion for measuring the dispersion between periods; and (b) the calculation process for the DOW when there are only two observation windows.
Figure 9. The calculation process for the DOW: (a) the conversion for measuring the dispersion between periods; and (b) the calculation process for the DOW when there are only two observation windows.
Ijgi 13 00325 g009
Figure 10. The model for evaluation with the analytic hierarchy process.
Figure 10. The model for evaluation with the analytic hierarchy process.
Ijgi 13 00325 g010
Figure 11. Simulated Trajectory 1.
Figure 11. Simulated Trajectory 1.
Ijgi 13 00325 g011
Figure 12. The comparison results of the comprehensive evaluation scores and time consumption for different gird sizes: (a) the comprehensive evaluation score, blue line represents score trend, red dashed line represents trend boundary line; (b) time consumption comparison of the seven different gird sizes.
Figure 12. The comparison results of the comprehensive evaluation scores and time consumption for different gird sizes: (a) the comprehensive evaluation score, blue line represents score trend, red dashed line represents trend boundary line; (b) time consumption comparison of the seven different gird sizes.
Ijgi 13 00325 g012
Figure 13. The values of the TDC at different grid sizes.
Figure 13. The values of the TDC at different grid sizes.
Ijgi 13 00325 g013
Figure 14. The comprehensive evaluation scores.
Figure 14. The comprehensive evaluation scores.
Ijgi 13 00325 g014
Figure 15. The values of each index: (a) Index values for T t a s k of Δ T ; (b) index values for T t a s k of 1.5 Δ T ; (c) index values for T t a s k of 2 Δ T ; (d) index values for T t a s k of 2.5 Δ T ; and (e) index values for T t a s k of 3 Δ T .
Figure 15. The values of each index: (a) Index values for T t a s k of Δ T ; (b) index values for T t a s k of 1.5 Δ T ; (c) index values for T t a s k of 2 Δ T ; (d) index values for T t a s k of 2.5 Δ T ; and (e) index values for T t a s k of 3 Δ T .
Ijgi 13 00325 g015
Figure 16. Simulated trajectories: (a) Trajectory 2; (b) Trajectory 3; and (c) Trajectory 4.
Figure 16. Simulated trajectories: (a) Trajectory 2; (b) Trajectory 3; and (c) Trajectory 4.
Ijgi 13 00325 g016
Figure 17. The comprehensive evaluation scores.
Figure 17. The comprehensive evaluation scores.
Ijgi 13 00325 g017
Figure 18. The values of each index: (a) index values for Trajectory 1; (b) index values for Trajectory 2; and (c) index values for Trajectory 3.
Figure 18. The values of each index: (a) index values for Trajectory 1; (b) index values for Trajectory 2; and (c) index values for Trajectory 3.
Ijgi 13 00325 g018
Figure 19. The comprehensive evaluation scores.
Figure 19. The comprehensive evaluation scores.
Ijgi 13 00325 g019
Figure 20. The values of each index: (a) Index values for Night Trajectory 2; (b) Index values for Night Trajectory 3; and (c) Index values for Night Trajectory 4.
Figure 20. The values of each index: (a) Index values for Night Trajectory 2; (b) Index values for Night Trajectory 3; and (c) Index values for Night Trajectory 4.
Ijgi 13 00325 g020
Figure 21. The trajectory when covered by clouds; for example, 25 % , the number represents the ID of the trajectory point.
Figure 21. The trajectory when covered by clouds; for example, 25 % , the number represents the ID of the trajectory point.
Ijgi 13 00325 g021
Figure 22. The comprehensive evaluation scores.
Figure 22. The comprehensive evaluation scores.
Ijgi 13 00325 g022
Figure 23. The values of each index: (a) Index values with 25 % cloud coverage; (b) Index values with 50 % cloud coverage; and (c) Index values with 75 % cloud coverage.
Figure 23. The values of each index: (a) Index values with 25 % cloud coverage; (b) Index values with 50 % cloud coverage; and (c) Index values with 75 % cloud coverage.
Ijgi 13 00325 g023
Table 1. Santy’s 1–9 scale method.
Table 1. Santy’s 1–9 scale method.
Intensity of Importance on an Absolute ScaleDefinition
1Equal importance
3Moderate importance
5Essential or strong importance
7Very strong importance
9Extreme importance
2, 4, 6, 8Intermediate values between the two adjacent judgments
ReciprocalsIf i has one of the above numbers assigned to it when compared with j, then j has the reciprocal value when compared with i.
Table 2. The fundamental scale.
Table 2. The fundamental scale.
NameValue
m12345678910
R.I000.580.901.121.241.321.411.451.49
Table 3. Payload parameters of each satellite.
Table 3. Payload parameters of each satellite.
NameTypeSwath WidthSide-Looking CapabilitySpatial ResolutionImaging Mode
GAOFEN 1optical60 km 25 2 mnormal
GAOFEN 2optical45 km 35 0.8 mnormal
GAOFEN 3SAR 130 km 63 3 mUFS 2
GAOFEN 3 02SAR30 km 63 3 mUFS
GAOFEN 3 03SAR30 km 63 3 mUFS
GAOFEN 7optical20 km 32 0.8 mnormal
ZY-1 02Doptical115 km 16 2.5 mnormal
ZY-1 02Eoptical115 km 16 2.5 mnormal
ZY 3optical51 km 32 5.8 mnormal
WORLDVIEW 1optical16 km 40 0.45 mnormal
WORLDVIEW 2optical16.4 km 40 0.46 mnormal
IKONOS 2optical11.3 km 30 1 mnormal
GEOEYE 1optical15.2 km 60 0.41 mnormal
TERRA SAR XSAR50 km 45 3 mstrip map
TANDEM XSAR50 km 45 3 mstrip map
SENTINEL 1ASAR80 km 46 . 8 4.3 mstrip map
SENTINEL 1BSAR80 km 46 . 8 4.3 mstrip map
ALOS 2SAR50 km 60 3 mstrip map
SKYMED 1SAR40 km 60 3 mstrip map
SKYMED 2SAR40 km 60 3 mstrip map
1 Synthetic aperture radar. 2 Ultra fine stripe mode.
Table 4. The trajectory of a ship in a certain area of the Western Pacific Ocean (Trajectory 1).
Table 4. The trajectory of a ship in a certain area of the Western Pacific Ocean (Trajectory 1).
IDLenVLOCLT
1300 m15.8 kn[131.305721, 19.687218]2024-04-29 06:05:14
215.9 kn[131.131108, 19.427931]2024-04-29 07:25:01
316 kn[130.745387, 19.238745]2024-04-29 08:43:31
415.8 kn[130.212088, 19.577267]2024-04-29 10:03:40
516 kn[130.205856, 19.937309]2024-04-29 11:22:02
615.8 kn[130.417526, 20.225173]2024-04-29 12:40:11
715.8 kn[130.774083, 20.092722]2024-04-29 14:00:02
816 kn[131.257931, 20.072236]2024-04-29 15:21:43
915.8 kn[131.188195, 20.381299]2024-04-29 16:40:03
1016 kn[131.367175, 20.603419]2024-04-29 18:00:07
Table 5. The trajectory of a ship in a certain area of the Western Pacific Ocean (Trajectory 2).
Table 5. The trajectory of a ship in a certain area of the Western Pacific Ocean (Trajectory 2).
IDLenVLOCLT
1300 m15.8 kn[128.152435, 19.68604]2024-04-29 06:05:14
215.9 kn[128.555443, 19.776331]2024-04-29 07:25:01
316 kn[128.904723, 19.802411]2024-04-29 08:43:31
415.8 kn[129.150125, 19.819351]2024-04-29 10:03:40
516 kn[129.443695, 19.839121]2024-04-29 11:22:02
615.8 kn[129.823684, 19.879232]2024-04-29 12:40:11
715.8 kn[130.134908, 19.88608]2024-04-29 14:00:02
816 kn[130.477587, 19.920828]2024-04-29 15:21:43
915.8 kn[130.792781, 19.917339]2024-04-29 16:40:03
1016 kn[131.136771, 19.929024]2024-04-29 18:00:07
Table 6. The trajectory of a ship in the Northern Arabian Sea (Trajectory 3).
Table 6. The trajectory of a ship in the Northern Arabian Sea (Trajectory 3).
IDLenVLOCLT
1 16.3 kn[65.58542, 18.34539]2024-04-29 06:00:15
2 15.9 kn[65.78023, 18.1744]2024-04-29 07:20:09
3 16.0 kn[65.96897, 18.00761]2024-04-29 08:40:07
4 15.9 kn[66.15768, 17.83912]2024-04-29 10:00:07
5 15.9 kn[66.344985, 17.671685]2024-04-29 11:20:08
6178 m15.5 kn[66.529, 17.50659]2024-04-29 12:40:23
7 15.7 kn[66.71361, 17.347185]2024-04-29 14:00:30
8 15.7 kn[66.89565, 17.18024]2024-04-29 15:20:55
9 15.9 kn[67.08277, 17.01764]2024-04-29 16:40:18
10 15.3 kn[67.26597, 16.858]2024-04-29 18:00:09
Table 7. The trajectory of a ship near the Cape of Good Hope (Trajectory 4).
Table 7. The trajectory of a ship near the Cape of Good Hope (Trajectory 4).
IDLenVLOCLT
1 16.0 kn[7.857113, −24.28847]2024-04-29 06:00:01
2 16.7 kn[8.031458, −24.49615]2024-04-29 07:20:20
3 16.8 kn[8.214701, −24.6969]2024-04-29 08:40:00
4 16.6 kn[8.393788, −24.9024]2024-04-29 10:00:00
5 16.8 kn[8.563036,−25.11444]2024-04-29 11:20:01
6229 m16.6 kn[8.74683, −25.3173]2024-04-29 12:40:02
7 16.6 kn[8.930641,−25.5202]2024-04-29 14:00:21
8 16.8 kn[9.112996, −25.7234]2024-04-29 15:20:02
9 16.6 kn[9.289146, −25.9281]2024-04-29 16:40:01
10 16.9 kn[9.473895, −26.1295]2024-04-29 18:00:02
Table 8. The trajectory points for Trajectory 2 at night (Night 1).
Table 8. The trajectory points for Trajectory 2 at night (Night 1).
IDLenVLOCLT
1300 m15.8 kn[128.152435, 19.68604]2024-04-29 18:01:05
215.9 kn[128.555443, 19.776331]2024-04-29 19:20:11
316 kn[128.904723, 19.802411]2024-04-29 20:40:33
415.8 kn[129.150125, 19.819351]2024-04-29 22:00:02
516 kn[129.443695, 19.839121]2024-04-29 23:21:01
615.8 kn[129.823684, 19.879232]2024-04-30 00:40:12
715.8 kn[130.134908, 19.88608]2024-04-30 02:00:01
816 kn[130.477587, 19.920828]2024-04-30 03:21:04
915.8 kn[130.792781, 19.917339]2024-04-30 04:40:02
1016 kn[131.136771, 19.929024]2024-04-30 05:59:46
Table 9. The trajectory points for Trajectory 3 at night (Night 2).
Table 9. The trajectory points for Trajectory 3 at night (Night 2).
IDLenVLOCLT
1 16.3 kn[65.58542, 18.34539]2024-04-29 18:01:11
2 15.9 kn[65.78023, 18.1744]2024-04-29 19:20:08
3 16.0 kn[65.96897, 18.00761]2024-04-29 20:40:00
4 15.9 kn[66.15768, 17.83912]2024-04-29 22:00:17
5 15.9 kn[66.344985, 17.671685]2024-04-29 23:20:02
6178 m15.5 kn[66.529, 17.50659]2024-04-30 00:40:21
7 15.7 kn[66.71361, 17.347185]2024-04-30 02:00:03
8 15.7 kn[66.89565, 17.18024]2024-04-30 03:20:45
9 15.9 kn[67.08277, 17.01764]2024-04-30 04:40:18
10 15.3 kn[67.26597, 16.858]2024-04-30 05:58:59
Table 10. The trajectory points for Trajectory 4 at night (Night 3).
Table 10. The trajectory points for Trajectory 4 at night (Night 3).
IDLenVLOCLT
1 16.0 kn[7.857113, −24.28847]2024-04-29 18:02:31
2 16.7 kn[8.031458, −24.49615]2024-04-29 19:22:02
3 16.8 kn[8.214701, −24.6969]2024-04-29 20:40:41
4 16.6 kn[8.393788, −24.9024]2024-04-29 22:00:00
5 16.8 kn[8.563036, −25.11444]2024-04-29 23:20:01
6229 m16.6 kn[8.74683, −25.3173]2024-04-30 00:40:02
7 16.6 kn[8.930641,−25.5202]2024-04-30 02:00:21
8 16.8 kn[9.112996, −25.7234]2024-04-30 03:20:02
9 16.6 kn[9.289146, −25.9281]2024-04-30 04:40:01
10 16.9 kn[9.473895,−26.1295]2024-04-30 05:59:39
Disclaimer/Publisher’s Note: The statements, opinions and data contained in all publications are solely those of the individual author(s) and contributor(s) and not of MDPI and/or the editor(s). MDPI and/or the editor(s) disclaim responsibility for any injury to people or property resulting from any ideas, methods, instructions or products referred to in the content.

Share and Cite

MDPI and ACS Style

Li, W.; Du, Z.; Wang, L.; Zhou, T. Evaluation of the Monitoring Capabilities of Remote Sensing Satellites for Maritime Moving Targets. ISPRS Int. J. Geo-Inf. 2024, 13, 325. https://doi.org/10.3390/ijgi13090325

AMA Style

Li W, Du Z, Wang L, Zhou T. Evaluation of the Monitoring Capabilities of Remote Sensing Satellites for Maritime Moving Targets. ISPRS International Journal of Geo-Information. 2024; 13(9):325. https://doi.org/10.3390/ijgi13090325

Chicago/Turabian Style

Li, Weiming, Zhiqiang Du, Li Wang, and Tiancheng Zhou. 2024. "Evaluation of the Monitoring Capabilities of Remote Sensing Satellites for Maritime Moving Targets" ISPRS International Journal of Geo-Information 13, no. 9: 325. https://doi.org/10.3390/ijgi13090325

APA Style

Li, W., Du, Z., Wang, L., & Zhou, T. (2024). Evaluation of the Monitoring Capabilities of Remote Sensing Satellites for Maritime Moving Targets. ISPRS International Journal of Geo-Information, 13(9), 325. https://doi.org/10.3390/ijgi13090325

Note that from the first issue of 2016, this journal uses article numbers instead of page numbers. See further details here.

Article Metrics

Back to TopTop