Abstract
Sketch maps are an abstract and conceptual expression of humans’ cognition of geographic space. Humans perceive geographical space at different spatial scales. However, few researchers have considered the spatial relationships of geographic elements in sketch maps at multiple spatial scales. Considering the meso and micro spatial scales, this study analyses the accuracy of the spatial relationships depicted in 52 sketch maps of urban areas, including qualitative orientation, order, qualitative distance, and topological relationships. We utilized OpenStreetMap (OSM) to assess the accuracy of the four spatial relationship representations in the sketch maps. This study evaluates the reliability of spatial relationships in capturing the invariant spatial information of geographic elements in sketch maps. It helps to understand the differences in human cognition of multi-scale space.
1. Introduction
People have general perceptions and memories of the physical environments they have visited, and can approximately understand the characteristics of geographic elements, such as name, size, location, and spatial relations [1]. Sketch maps are external representations of cognitive maps, and drawing sketch maps is a way to express people’s spatial knowledge [2]. Even though the geographic information in a sketch map is vague and incomplete, and a sketch map does not comprise standard geo-reference coordinates [3], the global and local aspects depicted in a sketch map can reflect real geographic space [4,5]. Humans have multi-scale cognitive mechanisms for processing geographic space, and the human brain generalizes the structure of geographic space at multiple levels [6]. Sketch maps can convey humans’ spatial cognition; when drawing sketch maps, people usually generalize the areas with dense geographical elements [7]. In map generalization, the spatial scale is divided into the macro, meso, and micro spatial scales depending on the spatial area and generalization level of the geographical elements [8]. Considering the generalization of geographical elements at different levels, it is possible to define sketch maps at multiple scales.
Sketch maps include different geographic elements such as points, polylines, and polygons linked spatially through orientation, distance, and topological relationships [9]. One way to understand people’s spatial cognition in sketch maps is to study the invariant spatial relationship of geographic elements. Thus far, several studies have focused on the invariant spatial information in sketch maps [10,11,12]. Geographic elements at multiple spatial scales show different spatial representations owing to the difference in their size and shape [13]. Presently, some scholars have applied various spatial relationships to single or multiple types of geographic elements in sketch maps at the micro spatial scale [14,15,16]. However, owing to people’s multi-scale spatial knowledge of space [17], the issue of spatial relationships of geographic elements for multiple-spatial-scale sketch maps needs to be explored. Based on Tang’s [15] research, our study focuses on two aspects: (1) spatial scale and (2) spatial relationships. This study selects urban space at the meso and micro spatial scales as sketching objects, and analyses the spatial relationship of multiple geographic elements in sketch maps, including orientation, distance, order, and topological relationships. Then, the accuracy of each spatial relationship in the collected sketch maps is calculated, and the reliability and availability of each spatial relationship measure are discussed. This study makes a contribution to the field by extending the application of sketch map analysis at different scales.
The remainder of this article is structured as follows. Section 2 outlines related works in this field. Section 3 defines geographical elements in sketch maps at the meso and micro spatial scales and describes the study area and sketch maps drawn by the participants. Section 4 explains the spatial relation representation methods used in this study. Section 5 analyses the spatial relationship of geographic elements based on sketch maps at the meso and micro spatial scales and discusses the results. Finally, Section 6 presents conclusions and future work.
2. Related Work
Considerable research has been carried out in the field of multi-scale geographic data and the spatial relationship of geographic elements in sketch maps. The following subsections provide a brief review of related works in this field.
2.1. Geospatial Data at Multiple Spatial Scales
Spatial scale is a key research topic in geography. Many scholars have focused their research on multi-scale geographic data [18,19,20]. Stell and Worboys [21] proposed the notion of stratified map spaces, which includes the semantic and geometric information of geographic data. This study provides a foundation for multi-scale spatial data modelling and map generalization. Stoter [22] established a multi-scale information model for terrain datasets to integrate geographic information at different scales. In cartography, map generalization is a subfield based on spatial scales, which studies the spatial similarity transformation of multi-scale maps [23,24]. It generalizes the geographic elements of a map by scale, purpose, and mapping area. In addition, to further explain the map patterns at multiple spatial scales, Harrie and Weibel [25] summarized the modelling algorithms in the automated map generalization process. However, their research objects were metric maps, not sketch maps.
Limited studies explore the spatial scale of sketch maps. For instance, Timpf [26] proposed a multi-scale hierarchical spatial structure: a directed acyclic graph, which enables drawing sketches at arbitrary scales. Some scholars have focused on sketch maps at the global or local levels [27,28]. To measure spatial data similarity, Yan [29] proposed a model calculating the spatial similarity among different scales for a river basin network. Du [30] considered the variation in geometric representations and spatial relationships at different spatial scales and used qualitative locations to achieve a similarity measure of multi-scale spatial data. In summary, some studies have explored multi-scale geospatial data rather than multi-scale sketch maps. As sketch maps are non-standard, defining them for multiple spatial scales is challenging.
2.2. Spatial Relationships of Geographic Elements in Sketch Maps
Lynch [31] proposed five geographic elements in sketch maps of American cities: paths, edges, districts, nodes, and landmarks. Based on Lynch’s research, Wang [12] further defined four types of spatial objects for sketch maps: named landmarks, street segments, junctions, and city blocks. Geographic elements of multi-scale sketch maps have different definitions; therefore, it is necessary to define them at the meso and micro spatial scales.
To examine the spatial relationships of geographic elements in sketch maps, Egenhofer [32] first proposed a spatial-query-by-sketch system, which used a nine-intersection model to describe topological relationships among spatial objects. Following this, Nedas and Egenhofer [33] developed a comprehensive approach towards spatial relationships for similarity queries. Inspired by spatial-query-by-sketch, Wang and Schwering [12] analyzed the orientation, order, and topological relationships among four types of geographic elements from the local- and global-level sketch maps. They proposed seven aspects to describe the invariant spatial information in sketch maps. Thereafter, Jan et al. [34] constructed a corresponding qualitative constraint network based on these seven sketch aspects and further evaluated their reliability for sketch map representation. In recent years, some scholars have studied sketch map alignment based on geographic elements’ attributes and spatial relationships. Zardiny et al. [16] analyzed the accuracy of each factor in sketch map matching based on the attributes and spatial relationships of junctions, roads, and POIs. Tang et al. [15] developed qualitative and quantitative similarity measures based on the attribute features and spatial relationships of geographic objects in sketch maps and OpenStreetMap (OSM). They used various methods to recommend characteristics with high reliability. However, only a few studies have focused on spatial relationships in sketch maps at different scales.
The aforementioned studies have inspired us to explore the reliability of spatial relationships of geographic elements in sketch maps at different scales. Geographical space at the meso and micro spatial scales is closely related to people’s daily lives and relies on their familiarity with the space. Therefore, this study considers meso- and micro-scale sketch maps and focuses on analyzing the spatial relationships of the geographic elements depicted in sketch maps.
3. Definition of Geographic Elements in Sketch Maps at the Meso and Micro Spatial Scales and Data Acquisition
3.1. Definition of Geographic Elements
Different research fields have different grading standards for spatial scales. Generally, the macro scale is mainly oriented towards the city level and above, whereas the meso and micro spatial scales are oriented towards communities, schools, buildings, and so on. The study areas of this research are meso and micro spatial scales, based on the concept of the spatial scale in geography [35]. The meso-scale area ranges from 1 km2–10,000 km2, and the micro-scale area ranges from 1 m2–1 km2 (Figure 1). For geographic space in cities, a meso-scale study area combines geographic elements with the same attributes, closeness, and land-use similarity, such as building groups, which represent the structural characteristics of these elements at the meso-scale; in this case, the roads are at the arterial road level. The micro-scale study area considers an individual geographic element as the object, reflects its approximate shape and size, and has a corresponding relationship with the real geographic elements.
Figure 1.
Examples of meso- and micro-scale study areas: (a) meso-scale (1 km2–10,000 km2) and (b) micro-scale (1 m2–1 km2).
Based on the definition of meso and micro spatial scales and Wang’s definition of geographic elements in sketch maps, we preliminarily define the geographic elements in meso- and micro-scale sketch maps of urban areas (Figure 2); the blue labels in Figure 2 represent the geographical elements in the sketch map. The meso spatial scale involves the generalization of geographic elements. In Figure 2a, the polygon of landmarks in the meso-scale sketch map is an area with the same land use and function, such as the overall area of a community or a park (solid line polygon in Figure 2a). The landmark in a meso-scale sketch map contains several individual elements, such as residential buildings (dotted line polygon in Figure 2a) in the community. Therefore, the area covered by the landmark is larger than that of a micro-scale sketch map. City roads are divided into different categories based on functions. Meso-scale sketch maps include mostly urban roads, excluding roads inside the community and narrow roads and alleys with low traffic. Therefore, the street segments are part of arterial roads in meso-scale sketch maps (the blue line segment in Figure 2), and the junctions (the orange point in Figure 2) are the intersections between two or more street segments. The city block represents the two-dimensional area enclosed by the street segment in meso-scale sketch maps (the shaded area in Figure 2a). Roads are continuous, and people generally draw the whole road in the study area rather than drawing them one by one as street segments. Reflecting people’s drawing habits, we consider the main road (the bold black line in Figure 2) instead of the street segment, wherein the main road is the road with important traffic function in the study area and has been frequently drawn by the participants; it is an extension of the street segment. Figure 2b shows the landmarks in the micro-scale; that is, individual objects, such as a building or a swimming pool, are represented by a symbolic polygon (solid line polygon in Figure 2b). Street segments cover the part of the street between two junctions, including local streets. Conversely, the junctions are the nodes where one street segment intersects another. A city block is the smallest two-dimensional area surrounded by street segments (the shaded area in Figure 2b).
Figure 2.
Definition of geographic elements in (a) meso-scale and (b) micro-scale sketch maps.
3.2. Sketch Map Acquisition at the Meso and Micro Spatial Scales
We selected four study areas (two meso-scale and two micro-scale), as shown in Figure 3. Participants drew survey sketch maps of urban areas as defined. Excluding some sketch maps that did not meet the research requirements of the survey map, 52 sketch maps were used.
Figure 3.
Samples of sketch maps, digitized sketch maps, and OSM data for meso-scale study areas R1, R2 and micro-scale study areas R3, R4.
Meso scale. A community area is considered a suitable choice for the meso scale. Therefore, we chose Olympic Community (R1) and Xianlinhu Community (R2) in Nanjing, China as the meso-scale study areas; each of these areas is depicted by 15 sketch maps. R1 mainly includes residences and geographical elements such as schools and commercial areas. It covers an area of approximately 2.1 km2, and its spatial distribution pattern is a regular grid. R2 covers an area of approximately 3.6 km2. This study area includes geographical elements such as lakes, shopping malls, residential areas, and schools. In addition, the area has many main roads, with geographical elements distributed along them.
Micro scale. The micro-scale study area covers a relatively small area. To ensure functional completeness and traffic accessibility, we selected universities as the micro-scale research area. Specifically, we chose the North Campus of Nanjing Normal University (R3) in China and the University of Bremen (R4) in Germany as the micro-scale study areas; each of these areas is represented by 11 sketch maps. R3 is one of the campuses of Nanjing Normal University, covering an area of approximately 0.17 km2. Its geographical elements include playgrounds, teaching buildings, dormitories, supermarkets, and canteens. It has an irregular spatial distribution with few main roads. R4 is the main part of the University of Bremen. It includes geographical elements such as teaching buildings, canteens, libraries, gymnasiums, small lakes, and supermarkets, distributed irregularly within an area of approximately 0.52 km2.
Participants. Previous studies have shown that participants’ occupations, cartographic knowledge, and gender do not affect drawing sketch maps [36,37]. Therefore, we invited participants familiar with the study areas. Most of them had been active in the study area for more than one year, and they could draw the approximate spatial distribution of geographical elements in the study area. We briefed the participants on the drawing requirements of the meso- and micro-scale sketch maps. Next, they completed the sketch maps within 20 min based on their spatial memory of the study area. The meso-scale study areas are dominated by residential areas. Thus, the participants were mainly 20–40-year-old community residents, shop owners, employees, and people with various other occupations, including a junior high school student and three people aged 60, comprising 15 males and 15 females in total. The micro-scale study area covered two universities; the participants were mainly 20–30-year-old university students with different professional backgrounds, comprising 18 males and 4 females. Figure 3 presents some sample sketch maps and OSM of four study areas.
4. Spatial Relationship Representations of Geographical Elements in Sketch Maps
This study investigates the reliability of four types of spatial relationships among geographic elements represented in sketch maps. We analyzed landmarks, roads, and city blocks that are relatively important in the survey maps [38]. The representation methods capture the qualitative orientation and distance relationships of landmarks, the order relationship of landmarks along the main road, and the topological relationship between generalized city blocks and landmarks.
We digitized the 52 sketch maps using ArcGIS 10.4, which helped preserve the authenticity of the geographic elements in the original sketch maps. Figure 3 presents some examples. For landmarks, we digitized along the polygon boundaries in sketch maps. For the main roads, some participants drew two lines to represent a road; for this case, we digitized along the center of the two lines. In the four study areas, landmarks and city blocks are polygon elements, and the main road is a polyline element. Since the OSM is volunteered geographic information, we carefully compared it with the electronic map of the four study areas. We confirmed that the geographical elements in the OSM of the selected study area were complete.
4.1. Qualitative Orientation Relationship of Landmarks
The qualitative orientation relationship describes the relative positions of spatial objects. In people’s orientation, polygon spatial objects are often represented by a point, and their qualitative orientation relationships are described. In this study, we used the eight cone-shaped directions model proposed by Frank [39] to analyze the qualitative orientation relationship of landmarks. This model divides the spatial plane into eight mutually disjointed directional regions, and each ‘cone’ has equal angles denoted as E, SE, S, SW, W, NW, N, NE (Figure 4a). First, we found the center of gravity of each landmark in the sketch map and then calculated the direction angle between the two centers of gravity. Based on the area pointed by the direction angle in the model, we obtained the qualitative orientation relationship between the two landmarks. As shown in Figure 4b, B is located northeast of A. We used this method to calculate the orientation relationship of all landmarks in the sketch map and compare the results with the OSM.
Figure 4.
(a) Eight cone-shaped directions model and (b) an example of qualitative orientation relationship of landmarks.
4.2. Order Relationship of Landmarks along the Main Road
The main roads were drawn frequently by participants. Landmarks in the study area have an order relationship along the main road. The intersection of the landmark’s center of gravity and the shortest Euclidean distance between the main roads shows an orderly arrangement on the main road [15]. Figure 5 illustrates the order relationship of landmarks along the main road in the order C, A, D, E, and B. We stipulated that landmarks are ordered from left to right for the east–west main road and from top to bottom for the north–south main road. We calculated the number of landmarks in the same order by comparing the arrangement order of landmarks on the main road in OSM with that in the sketch map.
Figure 5.
An example of the order relationship of landmarks along the main road.
4.3. Qualitative Distance Relationship of Landmarks
When people draw a sketch map, two geographical elements that are close to each other will be drawn closer. We used the qualitative distance calculation method proposed by Tang [15] to analyze this relationship. First, we calculated the shortest Euclidean distance between two landmarks in the sketch map (Equation (1)).
A and B are two polygons, is a point on polygon A, and is a point on polygon B. is the shortest Euclidean distance between A and B. and are the X coordinates of A and B, and and are the Y coordinates of A and B. Since the spatial scales of the sketch map and OSM are inconsistent, the shortest distance of the polygons needs to be normalized by calculating the shortest distance between the two landmarks divided by the maximum value of all landmarks in the sketch map. Finally, we set a threshold for the relative distance (Table 1), divided into three levels (Figure 6): Short Distance (SD), Middle Distance (MD), and Long Distance (LD).
Table 1.
Definition of qualitative relative distance.
Figure 6.
An example of qualitative distance relationship of landmarks.
4.4. Topological Relationship between Generalized City Blocks and Landmarks
Based on the generalization of geographical elements, we propose a representation of the topological relationship between generalized city blocks and landmarks. A spatial reference coordinate is determined by two main roads that divide the two-dimensional geographic space into different areas. This area is then regarded as a generalization of multiple city blocks, which can be a three- or four-space area (two main roads can form a three-way or four-way junction). Thereafter, landmarks in the study area are divided into different space areas using the topological relationship inside or outside.
As shown in Figure 7, this method uses two main roads to divide the study area into four space areas: Sa, Sb, Sc, and Sd. Each area is generalized by several city blocks containing the corresponding landmarks. Next, by referring to the OSM data and counting the correct number of landmarks in the corresponding space area under the same reference coordinates, we calculated the ratio of the correct number of landmarks in each space area to all landmarks.
Figure 7.
An example of the topological relationship between generalized city blocks and landmarks: Sa, Sb, Sc, and Sd are the generalized city blocks divided by two main roads.
4.5. Evaluation Method
Equation (2) evaluates the accuracy of each spatial relationship of all the sketch maps in each study area. represents the correct number of a spatial relationship in sketch map i of a study area; represents the total number of a spatial relationship in i; and Y represents the accuracy of a spatial relationship representation method in the study area.
Equation (3) represents the overall accuracy of a spatial relationship in all study areas. represents the correct number of a spatial relationship in R1, represents the total number of a spatial relationship in R1, and Z is the overall accuracy of a spatial relationship representation method.
5. Spatial Relationship Representations of Geographical Elements in Sketch Maps
5.1. Spatial Relationship Analysis of Each Sketch Map
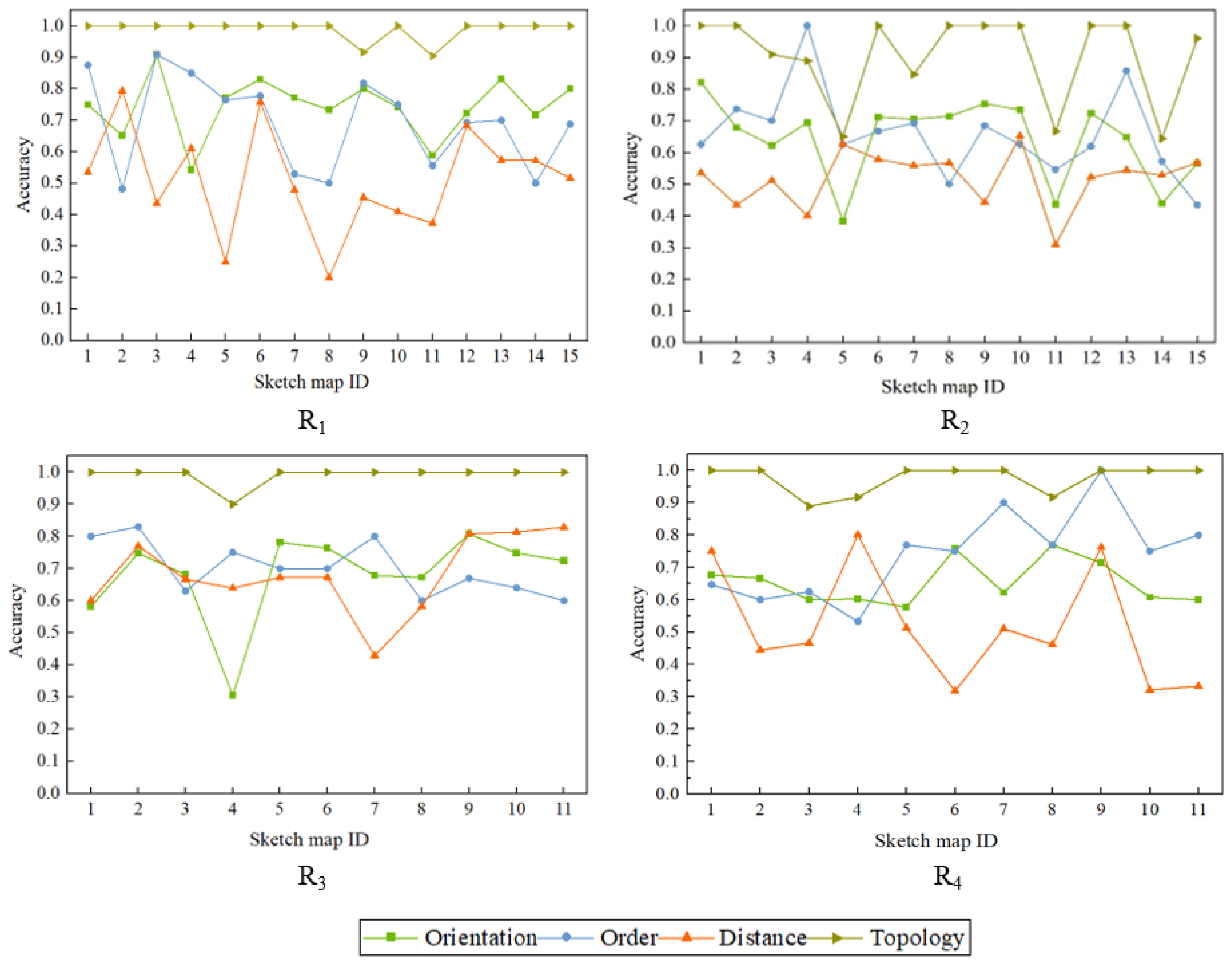
In accordance with the four methods of spatial relationship representation introduced in Section 4, this study uses OSM data as a reference to compare 52 sketch maps. The accuracy of the four methods in each sketch map is shown in Figure 8. Among the four study areas, the result of the topological relationship between generalized city blocks and landmarks is the best, with 39 sketch maps showing an accuracy of 100%. This shows that people accurately understand the approximate spatial distribution of elements in geographic space. Despite the deviations between the specific locations of geographic elements depicted on the maps and the actual geographic space, their maps could reliably distinguish the spatial regions to which they belong.
Figure 8.
Spatial relationship accuracy of sketch maps in R1, R2, R3, and R4.
The qualitative orientation relationship of landmarks and the order relationship of landmarks along the main road have similar accuracy levels. Some participants expressed the qualitative orientation relationship of landmarks with high accuracy. However, as this research is aimed at the qualitative orientation relationship of all landmarks, and we strictly adhered to the orientation standard of the eight cone-shaped directions model, the qualitative orientation relationship had a low accuracy among 52 sketch maps. The results also demonstrated that the accuracy of the qualitative distance relationship in this study was lower than that of other spatial relationships, which shows that most people have a weaker perception of distance, and they draw distance more casually in a sketch map. As we used OSM as reference data, quantifying distances in sketch maps and comparing the qualitative distance relationship of the corresponding geographic elements in sketch maps with OSM showed lower accuracy.
5.2. Spatial Relationship Analysis of Sketch Maps at Different Scales
The evaluation of spatial relationships in sketch maps at different scales is a key point in this study. The boxplot in Figure 9 shows the statistical results of sketch maps at different scales. It shows the degree of dispersion of the spatial relationship accuracy of the elements in the sketch maps at meso and micro spatial scales within a quantile range of 20–80%. The qualitative orientation relationship of landmarks and the order relationship of landmarks along the main road are generally equivalent in meso- and micro-scale sketch maps. Our evaluation indicates that changing the spatial scale has little effect on the sketch maps’ qualitative orientation and order relationship. An analysis of the landmarks’ qualitative distance relationship showed that the results of the micro-scale sketch maps were better than that of the meso-scale ones. The spatial area involved in the micro-scale sketch map is smaller than that of the meso-scale, and people’s cognitive ability regarding the distance of geographical elements in the micro-scale is stronger than that in the meso-scale. The topological relationship between generalized city blocks and landmarks shows better results for both spatial scales, with micro-scale sketch maps being more accurate than meso-scale ones. Since the meso-scale study area is larger and contains more geographical elements, people have a vague cognition of the spatial distribution of some elements; therefore, the misjudgment rate is higher. This experiment indicates that spatial scales affect some analysis results of spatial relationships in sketch maps.
Figure 9.
Boxplots of spatial relationship accuracy in meso- and micro-scale sketch maps.
5.3. Overall Evaluation of Spatial Relationships in Sketch Maps
We use Equation (2) to evaluate the accuracy of each method of spatial relationship representation used in this study; the results are shown in Table 2. The overall accuracy in the table refers to the accuracy of the spatial relationships in all study areas, which is summed up using Equation (3). Among the four methods of spatial relationship representation, the topological relationship between generalized city blocks and landmarks has the highest overall accuracy for all study areas, over 90%. Thus, this method is highly reliable for capturing the invariant spatial information of sketch maps (Table 2). In particular, R2 has the lowest accuracy for spatial relationships among all study areas. Since R2 has the largest area and contains the largest number and types of geographic elements, the sketch maps drawn by the participants in this study area had more errors than those in other study areas.
Table 2.
Accuracy of spatial relationships in sketch maps.
Owing to the limited amount of data in this study, we used the Kolmogorov–Smirnov test to further verify the reliability of the results by analyzing whether there was a difference between the sample and the population of the data in this study [40]. The significance of qualitative orientation, distance relationships of landmarks, and order relationships of landmarks along the main road are all greater than 0.05. Thus, the data conform to the normal distribution, but the upper limit of their 95% confidence level does not exceed 0.75 (Table 3). Hence, these three methods of spatial relationship representation were generally effective across all sketch maps.
Table 3.
Kolmogorov–Smirnov test and Confidence Interval (CI); note that topological relationships between generalized city blocks and landmarks are not calculated, because most of the accuracy in this spatial relationship is 100%.
5.4. Meso and Micro Spatial Scale Study Areas in the Same Area
Our research objects are sketch maps of the meso- and micro scales, and R1, R2, R3, and R4 are four different study areas. To analyze the impact of meso- and micro-scale study areas on the same area, we again invited participants No. 1, 3, 6, 12, and 13, who had drawn sketch maps of R3, to draw sketch maps of Xianlin Community (R5, the North Campus of Nanjing Normal University, belongs to the Xianlin Community in the meso-scale). Figure 10 shows OSM and an example of sketch maps for R5. We analyzed the four spatial relationships of geographical elements in the sketch map. Table 4 shows the analysis results of the five sketch maps. The results demonstrate that (1) in the qualitative orientation relationship of landmarks, the accuracy of four sketch maps conforms to the 20–80% quantile of the meso-scale in Figure 9; that is, 0.60–0.78. (2) For the order relationship of landmarks along the main road, the accuracy of the four sketch maps is between 0.53–0.79. (3) For the qualitative distance relationship of landmarks, the accuracy of the three sketch maps is between 0.43–0.62, and the accuracy of the other two sketch maps is 0.65 and 0.71, which conforms to the data distribution of the meso-scale in Figure 9. (4) The accuracy of the topological relationship between generalized city blocks and landmarks of the five sketch maps is 1.
Figure 10.
Samples of (a) sketch map; (b) digitized sketch map; and (c) OSM data for R5 (meso-scale study area).
Table 4.
Accuracy of spatial relationships in sketch maps of Xianlin Community.
Since the micro-scale study area in our research is only a polygon in the meso-scale study area (Figure 1), for the participants, the meso-scale and micro-scale study areas were two separate objects. Therefore, whether the meso and micro spatial scale study areas were in the same area was not an impact factor in this study.
In addition, we compared the spatial relationship accuracy of sketch maps between R3 and R5 (Figure 11). The figure shows that, except for the topological relationship between generalized city blocks and landmarks, the accuracy of the other three spatial relationships in sketch maps did not show the same trend even though the same person drew them. The reason is that people perceive meso- and micro-scale study areas as different geographic scenarios as per their spatial cognition.
Figure 11.
Spatial relationship accuracy of meso- and micro-scale sketch maps of the same area drawn by 5 participants, where the 1st, 2nd, 3rd, and 4th histograms in each participant represent orientation, order, distance, and topological relationship, respectively.
6. Conclusions and Future Work
Research on the reliability of spatial relationships of geographic elements in sketch maps at different spatial scales and metric maps is crucial for exploring humans’ spatial cognition. To further investigate people’s spatial cognition through sketch maps, this study provides a view of sketch maps at different scales. We define the geographic elements in meso- and micro-scale sketch maps and focus on both spatial scales through a total of 52 sketch maps across four study areas. The meso- and micro-scale study areas include (1) the Olympic and Xianlinhu communities in Nanjing, China and (2) parts of Nanjing Normal University, China, and the University of Bremen, Germany, respectively.
We use qualitative orientation and distance relationships of landmarks, order relationships of landmarks along the main road, and topological relationship between generalized city blocks and landmarks to evaluate the accuracy of the sketch maps drawn by participants. The results demonstrate that the topological relationship between generalized city blocks and landmarks achieves the highest accuracy among the four spatial relationship representation methods; that is, more than 90% accuracy in each study area. The accuracy of the qualitative orientation relationship of landmarks is equivalent to the order relationship of landmarks along the main road, whereas that of the qualitative distance relationship of landmarks is the lowest. In addition, the results prove that changing the spatial scale affects the accuracy of some spatial relationships in sketch maps, especially the qualitative distance relationship. Simultaneously, this research illustrates that expanding the scope of the study area increases people’s cognitive errors for some spatial relationships in geographic space. We also analyzed sketch maps of the meso- and micro-scale study areas in the same area, and it was found that the drawing of meso- and micro-scale sketch maps was different for the same participants, and whether the meso- and micro-scale study areas were in the same area was not an impact factor in this study.
In our future work, we will focus on sketching maps at different scales and explore more spatial relationship methods. The characteristics of the different participants should also be further discussed. In addition, we will also develop a model based on the spatial distribution of geographic elements, enabling a better understanding of people’s perception of the environment through sketch maps.
Author Contributions
Conceptualization, Chen Zhang and Yehua Sheng; methodology, Chen Zhang and Ming Tang; validation, Ming Tang; formal analysis, Chen Zhang; investigation, Chen Zhang; resources, Yehua Sheng; data curation, Chen Zhang; writing—original draft preparation, Chen Zhang; writing—review & editing, Yehua Sheng and Ming Tang; visualization, Chen Zhang; project administration, Yehua Sheng; funding acquisition, Yehua Sheng. All authors have read and agreed to the published version of the manuscript.
Funding
This work was supported by the National Natural Science Foundation of China [grant numbers 41631175 and 42071364]; Postgraduate Research & Practice Innovation Program of Jiangsu Province [grant number KYCX21_1347]; and Start-up Funding for Qualified Professional People of Nanjing Vocational University of Industry Technology [grant number 201050622RS029].
Data Availability Statement
Dataset available on request from the authors.
Acknowledgments
The authors express sincere gratitude to the State Scholarship Fund of the China Scholarship Council for their generous support of this project. Additionally, heartfelt thanks are extended to all participants in our study.
Conflicts of Interest
The authors declare no conflicts of interest.
References
- Tversky, B. Cognitive maps, cognitive collages, and spatial mental models. In Proceedings of the European Conference on Spatial Information Theory, Elba, Italy, 19–22 September 1993. [Google Scholar]
- Tversky, B. What do sketches say about thinking. In Proceedings of the 2002 AAAI Spring Symposium on Sketch Understanding, Palo Alto, CA, USA, 25–27 March 2002. [Google Scholar]
- Hátlová, K.; Hanus, M. A systematic review into factors influencing sketch map quality. ISPRS Int. J. Geo-Inf. 2020, 9, 271. [Google Scholar] [CrossRef]
- Boschmann, E.E.; Cubbon, E. Sketch maps and qualitative GIS: Using cartographies of individual spatial narratives in geographic research. Prof. Geogr. 2014, 66, 236–248. [Google Scholar] [CrossRef]
- Schwering, A.; Wang, J.; Chipofya, M.; Jan, S.; Li, R.; Broelemann, K. SketchMapia: Qualitative representations for the alignment of sketch and metric maps. Spat. Cogn. Comput. 2014, 14, 220–254. [Google Scholar] [CrossRef]
- Hubel, D.H. Eye, Brain, and Vision; Scientific American Library/Scientific American Books: Berlin, Germany, 1995. [Google Scholar]
- Golledge, R.G. Human wayfinding and cognitive maps. In The Colonization of Unfamiliar Landscapes; Routledge: Oxfordshire, UK, 2003; pp. 49–54. [Google Scholar]
- Sylvain, B. Quality assessment of generalised geographical data. In Proceedings of the Accuracy 2002: 5th International Symposium on Spatial Accuracy Assessment in Natural Resources and Environmental Sciences, Melbourne, Australia, 10–12 July 2002. [Google Scholar]
- Worboys, M.F. A generic model for planar geographical objects. Int. J. Geogr. Inf. Sci. 1992, 6, 353–372. [Google Scholar] [CrossRef]
- Chipofya, M.C.; Schultz, C.; Schwering, A. A metaheuristic approach for efficient and effective sketch-tometric map alignment. Int. J. Geogr. Inf. Sci. 2016, 30, 405–425. [Google Scholar] [CrossRef]
- Forbus, K.D.; Usher, J.; Chapman, V. Qualitative spatial reasoning about sketch maps. AI Mag. 2004, 25, 61. [Google Scholar] [CrossRef]
- Wang, J.; Schwering, A. Invariant spatial information in sketch maps-A study of survey sketch maps of urban areas. J. Spat. Inf. Sci. 2015, 11, 31–52. [Google Scholar] [CrossRef]
- Yan, X.; Ai, T.; Zhang, X. Template matching and simplification method for building features based on shape cognition. ISPRS Int. J. Geo-Inf. 2017, 6, 250. [Google Scholar] [CrossRef]
- Lopez, A.; Caffò, A.O.; Postma, A.; Bosco, A. How to separate coordinate and categorical spatial relation components in integrated spatial representations: A new methodology for analysing sketch maps. Scand. J. Psychol. 2020, 61, 607–615. [Google Scholar] [CrossRef]
- Tang, M.; Falomir, Z.; Freksa, C.; Sheng, Y.; Lv, H. Extracting invariant characteristics of sketch maps: Towards place query-by-sketch. Trans. GIS. 2020, 24, 903–943. [Google Scholar] [CrossRef]
- Zare Zardiny, A.; Hakimpour, F.; Shahbazi, M. Sketch maps for searching in spatial data. Trans. GIS. 2020, 24, 780–808. [Google Scholar] [CrossRef]
- Montello, D.R. Scale and multiple psychologies of space. In Proceedings of the European Conference on Spatial Information Theory, Elba, Italy, 19–22 September 1993. [Google Scholar]
- Brewer, C.A.; Buttenfield, B.P. Framing guidelines for multi-scale map design using databases at multiple resolutions. Cartogr. Geogr. Inf. Sci. 2007, 34, 3–15. [Google Scholar] [CrossRef]
- Dabiri, Z.; Blaschke, T. Scale matters: A survey of the concepts of scale used in spatial disciplines. Eur. J. Remote Sens. 2019, 52, 419–434. [Google Scholar] [CrossRef]
- Jones, C.B.; Kidner, D.R. Database design for a multi scale spatial information system. Int. J. Geogr. Inf. Sci. 1996, 10, 901–920. [Google Scholar] [CrossRef]
- Stell, J.; Worboys, M. Stratified Map Spaces: A formal basis for multi-resolution spatial databases. In Proceedings of the 8th International Symposium on Spatial Data Handling, Vancouver, BC, Canada, 11–15 July 1998. [Google Scholar]
- Stoter, J.; Visser, T.; Oosterom, P.V.; Quak, W.; Bakker, N. A semantic-rich multi-scale information model for topography. Int. J. Geogr. Inf. Sci. 2011, 25, 739–763. [Google Scholar] [CrossRef]
- Weibel, R.; Keller, S.; Reichenbacher, T. Overcoming the knowledge acquisition bottleneck in map generalization: The role of interactive systems and computational intelligence. In Proceedings of the 2nd International Conference on Spatial Information Theory (COSIT 95), Semmering, Austria, 21–23 September 1995. [Google Scholar]
- Ai, T.; Cheng, X.; Liu, P.; Yang, M. A shape analysis and template matching of building features by the Fourier transform method. Comput.Environ.Urban. Syst. 2013, 41, 219–233. [Google Scholar] [CrossRef]
- Harrie, L.; Weibel, R. Modelling the overall process of generalisation. In Generalisation of Geographic Information; Elsevier: Amsterdam, The Netherlands, 2007; pp. 67–87. [Google Scholar]
- Timpf, S.; Frank, A.U. A multi-scale DAG for cartographic objects. In Proceedings of the International Symposium on Computer-Assisted Cartography (Auto-Carto XII), Charlotte, NC, USA, 27–29 February 1995. [Google Scholar]
- Battersby, S.E.; Montello, D.R. Area estimation of world regions and the projection of the global-scale cognitive map. Ann. AAG. 2009, 99, 273–291. [Google Scholar] [CrossRef]
- Thommen, E.; Avelar, S.; Sapin, V.Z.; Perrenoud, S.; Malatesta, D. Mapping the journey from home to school: A study on children’s representation of space. Int. Res. Geogr. Enviro. 2010, 19, 191–205. [Google Scholar] [CrossRef]
- Yan, H.; Shen, Y.; Li, J. Approach to calculating spatial similarity degrees of the same river basin networks on multi-scale maps. Geocarto Int. 2016, 31, 765–782. [Google Scholar] [CrossRef]
- Du, S.; Guo, L. Similarity measurements on multi-scale qualitative locations. Trans. GIS. 2015, 20, 824–847. [Google Scholar] [CrossRef]
- Lynch, K. The Image of the City; MIT Press: Cambridge, MA, USA, 1960. [Google Scholar]
- Egenhofer, M.J. Query processing in spatial-query-by-sketch. J. Vis. Lang. Comput. 1997, 8, 403–424. [Google Scholar] [CrossRef]
- Nedas, K.A.; Egenhofer, M. Spatial-scene similarity queries. Trans. GIS. 2008, 12, 661–681. [Google Scholar] [CrossRef]
- Jan, S.; Schwering, A.; Schultz, C.; Chipofya, M. Cognitively plausible representations for the alignment of sketch and geo-referenced maps. J. Spat. Inf. Sci. 2017, 14, 31–59. [Google Scholar] [CrossRef]
- Spatial Scale. Available online: https://en.wikipedia.org/wiki/Spatial_scale. (accessed on 23 July 2021).
- Baskaya, A.; Wilson, C.; Oezcan, Y.Z. Wayfinding in an unfamiliar environment: Different spatial settings of two polyclinics. Environ. Behav. 2004, 36, 839–867. [Google Scholar] [CrossRef]
- Kulhavy, R.W.; Stock, W.A. How cognitive maps are learned and remembered. Ann. AAG. 1996, 86, 123–145. [Google Scholar] [CrossRef]
- Son, A. The measurement of tourist destination image: Applying a sketch map technique. Int. J. Tour. Res. 2005, 7, 279–294. [Google Scholar] [CrossRef]
- Frank, A.U.; Egenhofer, M.J. Computer cartography for GIS: An object-oriented view on the display transformation. Comput. Geosci. 1992, 18, 975–987. [Google Scholar] [CrossRef]
- Mishra, P.; Pandey, C.; Singh, U.; Gupta, A.; Keshri, A. Descriptive statistics and normality tests for statistical data. Ann. Card. Anaesth. 2019, 22, 67–72. [Google Scholar] [CrossRef]
Disclaimer/Publisher’s Note: The statements, opinions and data contained in all publications are solely those of the individual author(s) and contributor(s) and not of MDPI and/or the editor(s). MDPI and/or the editor(s) disclaim responsibility for any injury to people or property resulting from any ideas, methods, instructions or products referred to in the content. |
© 2024 by the authors. Licensee MDPI, Basel, Switzerland. This article is an open access article distributed under the terms and conditions of the Creative Commons Attribution (CC BY) license (https://creativecommons.org/licenses/by/4.0/).










