Automatic Detection and Mapping of Dolines Using U-Net Model from Orthophoto Images
Abstract
:1. Introduction
Literature Review
2. Material and Methods
2.1. Data Preparation
2.1.1. Study Area
2.1.2. DenseNet121
2.1.3. U-Net Model
2.1.4. Data Augmentation
- –
- Horizontal flip;
- –
- Affine and perspective transforms;
- –
- Brightness, contrast and color adjustments;
- –
- Sharpening and blurring process;
- –
- Adding gaussian noise.
2.2. Evaluation Metrics and Loss Functions
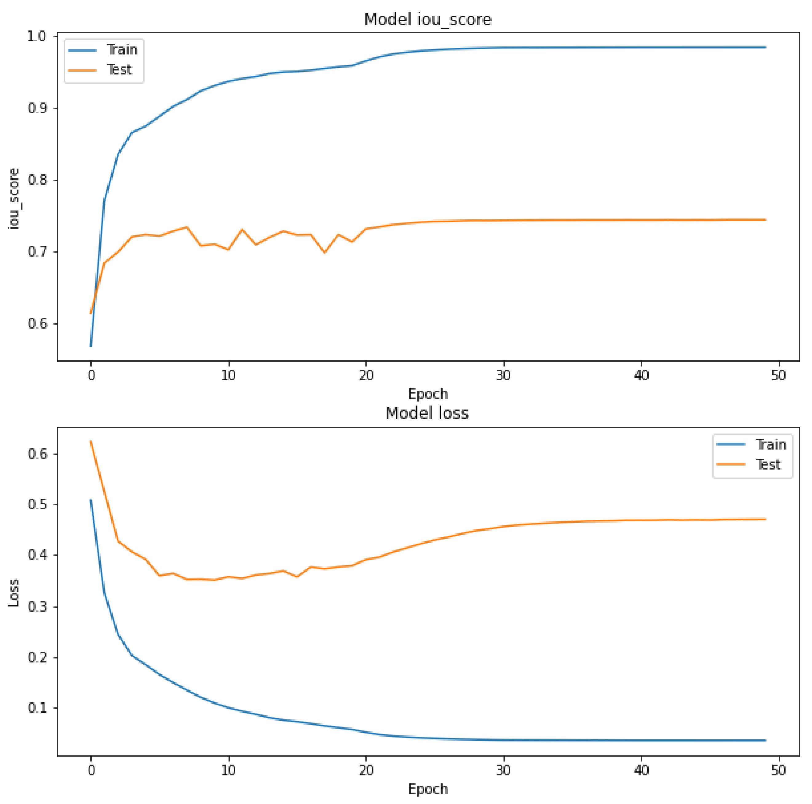
3. Results and Discussion
4. Conclusions
Author Contributions
Funding
Data Availability Statement
Acknowledgments
Conflicts of Interest
References
- Alagöz, C. Türkiye’de karst olayları hakkında bir araştırma. Türk Coğrafya Dergisi 2014, 1, 86–92. [Google Scholar]
- Thomas, B.; Roth, M. Evaluation of site characterization methods for sinkholes in Pennsylvania and New Jersey. Eng. Geol. 1999, 52, 147–152. [Google Scholar] [CrossRef]
- Arkin, Y.; Gilat, A. Dead Sea sinkholes–an ever-developing hazard. Environ. Geol. 2000, 39, 711–722. [Google Scholar] [CrossRef]
- Hu, R.; Yeung, M.; Lee, C.; Wang, S.; Xiang, J. Regional risk assessment of karst collapse in Tangshan, China. Environ. Geol. 2001, 40, 1377–1389. [Google Scholar]
- Cooley, T. Geological and geotechnical context of cover collapse and subsidence in mid-continent US clay-mantled karst. Environ. Geol. 2002, 42, 469–475. [Google Scholar]
- Doğan, U. Dipsiz Göl Kapalı Havzası’ndaki Çökme ve Sübsidans Dolinleri (Batı Toroslar). Fırat Üniversitesi Sosyal Bilimler Dergisi 2003, 13, 1–21. [Google Scholar]
- Zhou, G.; Yan, H.; Chen, K.; Zhang, R. Spatial analysis for susceptibility of second-time karst sinkholes: A case study of Jili Village in Guangxi, China. Comput. Geosci. 2016, 89, 144–160. [Google Scholar] [CrossRef]
- Keskin, I.; Yılmaz, I. Morphometric and geological features of karstic depressions in gypsum (Sivas, Turkey). Environ. Earth Sci. 2016, 75, 1040. [Google Scholar] [CrossRef]
- Karimpouli, S.; Tahmasebi, P. Segmentation of digital rock images using deep convolutional autoencoder networks. Comput. Geosci. 2019, 126, 142–150. [Google Scholar] [CrossRef]
- Rahmani, H.; Scanlan, C.; Nadeem, U.; Bennamoun, M.; Bowles, R. Automated segmentation of gravel particles from depth images of gravel-soil mixtures. Comput. Geosci. 2019, 128, 1–10. [Google Scholar] [CrossRef]
- Chen, Z.; Liu, X.; Yang, J.; Little, E.; Zhou, Y. Deep learning-based method for SEM image segmentation in mineral characterization, an example from Duvernay Shale samples in Western Canada Sedimentary Basin. Comput. Geosci. 2020, 138, 104450. [Google Scholar] [CrossRef]
- Kotaridis, I.; Lazaridou, M. Remote sensing image segmentation advances: A meta-analysis. ISPRS J. Photogramm. Remote Sens. 2021, 173, 309–322. [Google Scholar] [CrossRef]
- Taghanaki, S.; Abhishek, K.; Cohen, J.; Cohen-Adad, J.; Hamarneh, G. Deep semantic segmentation of natural and medical images: A review. Artif. Intell. Rev. 2021, 54, 137–178. [Google Scholar] [CrossRef]
- Ronneberger, O.; Fischer, P.; Brox, T. U-net: Convolutional networks for biomedical image segmentation. In Proceedings of the International Conference on Medical Image Computing and Computer-Assisted Intervention, Munich, Germany, 5–9 October 2015; pp. 234–241. [Google Scholar]
- Bai, Y.; Mas, E.; Koshimura, S. Towards operational satellite-based damage-mapping using u-net convolutional network: A case study of 2011 tohoku earthquake-tsunami. Remote Sens. 2018, 10, 1626. [Google Scholar] [CrossRef]
- Iglovikov, V.; Shvets, A. Ternausnet: U-net with vgg11 encoder pre-trained on imagenet for image segmentation. arXiv 2018, arXiv:1801.05746. [Google Scholar]
- Hordiiuk, D.; Oliinyk, I.; Hnatushenko, V.; Maksymov, K. Semantic segmentation for ships detection from satellite imagery. In Proceedings of the 2019 IEEE 39th International Conference On Electronics and Nanotechnology (ELNANO), Kyiv, Ukraine, 16–18 April 2019; pp. 454–457. [Google Scholar]
- Soares, L.; Dias, H.; Grohmann, C. Landslide Segmentation with U-Net: Evaluating Different Sampling Methods and Patch Sizes. arXiv 2020, arXiv:2007.06672. [Google Scholar]
- Pan, Z.; Xu, J.; Guo, Y.; Hu, Y.; Wang, G. Deep learning segmentation and classification for urban village using a worldview satellite image based on U-Net. Remote Sens. 2020, 12, 1574. [Google Scholar] [CrossRef]
- Khryashchev, V.; Larionov, R. Wildfire Segmentation on Satellite Images using Deep Learning. In Proceedings of the 2020 Moscow Workshop On Electronic and Networking Technologies (MWENT), Moscow, Russia, 11–13 March 2020; pp. 1–5. [Google Scholar]
- Marangio, P.; Christodoulou, V.; Filgueira, R.; Rogers, H.; Beggan, C. Automatic detection of Ionospheric Alfvén Resonances in magnetic spectrograms using U-net. Comput. Geosci. 2020, 145, 104598. [Google Scholar] [CrossRef]
- Mochales, T.; Pueyo, E.L.; Casas, A.M.; Soriano, M.A. Magnetic prospection as an efficient tool for doline detection: A case study in the central Ebro Basin (northern Spain). Geol. Soc. 2007, 279, 73–84. [Google Scholar] [CrossRef]
- Pueyo-Anchuela, O.; Casas-Sainz, A.; Soriano, M.; Pocovi-Juan, A. A geophysical survey routine for the detection of doline areas in the surroundings of Zaragoza (NE Spain). Eng. Geol. 2010, 114, 382–396. [Google Scholar] [CrossRef]
- Nahhas, F.; Shafri, H.; Sameen, M.; Pradhan, B.; Mansor, S. Deep learning approach for building detection using lidar–orthophoto fusion. J. Sens. 2018, 2018, 7212307:1–7212307:12. [Google Scholar] [CrossRef]
- Hussain, Y.; Uagoda, R.; Borges, W.; Prado, R.; Hamza, O.; Cárdenas-Soto, M.; Havenith, H.; Dou, J. Detection of cover collapse doline and other Epikarst features by multiple geophysical techniques, case study of Tarimba cave, Brazil. Water 2020, 12, 2835. [Google Scholar] [CrossRef]
- Čarni, A.; Čonč, Š.; Valjavec, M. Landform-vegetation units in karstic depressions (dolines) evaluated by indicator plant species and Ellenberg indicator values. Ecol. Indic. 2022, 135, 108572. [Google Scholar] [CrossRef]
- Pradhan, B.; Al-Najjar, H.; Sameen, M.; Tsang, I.; Alamri, A. Unseen land cover classification from high-resolution orthophotos using integration of zero-shot learning and convolutional neural networks. Remote Sens. 2020, 12, 1676. [Google Scholar] [CrossRef]
- Abdollahi, A.; Pradhan, B.; Shukla, N.; Chakraborty, S.; Alamri, A. Multi-object segmentation in complex urban scenes from high-resolution remote sensing data. Remote Sens. 2021, 13, 3710. [Google Scholar] [CrossRef]
- Abdollahi, A.; Pradhan, B. Integrated technique of segmentation and classification methods with connected components analysis for road extraction from orthophoto images. Expert Syst. Appl. 2021, 176, 114908. [Google Scholar] [CrossRef]
- Abdollahi, A.; Pradhan, B.; Alamri, A. SC-RoadDeepNet: A New Shape and Connectivity-preserving Road Extraction Deep Learning-based Network from Remote Sensing Data. IEEE Trans. Geosci. Remote Sens. 2022, 60, 5617815. [Google Scholar] [CrossRef]
- Ghasemkhani, N.; Vayghan, S.; Abdollahi, A.; Pradhan, B.; Alamri, A. Urban development modeling using integrated fuzzy systems, ordered weighted averaging (owa), and geospatial techniques. Sustainability 2020, 12, 809. [Google Scholar] [CrossRef]
- Abdollahi, A.; Pradhan, B. Integrating semantic edges and segmentation information for building extraction from aerial images using UNet. Mach. Learn. Appl. 2021, 6, 100194. [Google Scholar] [CrossRef]
- Abdollahi, A.; Pradhan, B. Urban vegetation mapping from aerial imagery using Explainable AI (XAI). Sensors 2021, 21, 4738. [Google Scholar] [CrossRef]
- Öztürk, M.; Şener, M.; Şener, M.; Şimşek, M. Structural controls on distribution of dolines on Mount Anamas (Taurus Mountains, Turkey). Geomorphology 2018, 317, 107–116. [Google Scholar] [CrossRef]
- Yakubovskiy, P. Segmentation Models. GitHub Repository. 2019. Available online: https://github.com/qubvel/segmentation_models (accessed on 9 February 2021).
- Chollet, F. Others Keras: Deep Learning Library for Theano and Tensorflow. 2015. Available online: https://keras.io (accessed on 12 June 2023).
- Abadi, M.; Agarwal, A.; Barham, P.; Brevdo, E.; Chen, Z.; Citro, C.; Corrado, G.; Davis, A.; Dean, J.; Devin, M.; et al. TensorFlow: Large-Scale Machine Learning on Heterogeneous Systems. 2015. Available online: https://www.tensorflow.org (accessed on 10 June 2023).
- Poisson, A.; Guezou, J.; Ozturk, A.; Inan, S.; Temiz, H.; Gürsöy, H.; Kavak, K.S.; Özden, S. Tectonic setting and evolution of the Sivas Basin, central Anatolia, Turkey. Int. Geol. Rev. 1996, 38, 838–853. [Google Scholar] [CrossRef]
- Huang, G.; Liu, Z.; Van Der Maaten, L.; Weinberger, K. Densely connected convolutional networks. In Proceedings of the IEEE Conference on Computer Vision and Pattern Recognition, Honolulu, HI, USA, 21–26 July 2017; pp. 4700–4708. [Google Scholar]
- Polat, Ö.; Güngen, C. Classification of brain tumors from MR images using deep transfer learning. J. Supercomput. 2021, 77, 7236–7252. [Google Scholar] [CrossRef]
- Buslaev, A.; Iglovikov, V.; Khvedchenya, E.; Parinov, A.; Druzhinin, M.; Kalinin, A. Albumentations: Fast and Flexible Image Augmentations. Information 2020, 11, 125. [Google Scholar] [CrossRef]
- Jaccard, P. The Distribution of the Flora in the Alpine Zone. New Phytol. 1912, 11, 37–50. [Google Scholar] [CrossRef]
- Elgeldawi, E.; Sayed, A.; Galal, A.; Zaki, A. Hyperparameter Tuning for Machine Learning Algorithms Used for Arabic Sentiment Analysis. Informatics 2021, 8, 79. [Google Scholar] [CrossRef]
- Polat, A. An innovative, fast method for landslide susceptibility mapping using GIS-based LSAT toolbox. Environ. Earth Sci. 2021, 80, 217. [Google Scholar] [CrossRef]
- Jadon, S. A survey of loss functions for semantic segmentation. In Proceedings of the 2020 IEEE Conference on Computational Intelligence in Bioinformatics and Computational Biology (CIBCB), Virtual, 27–29 October 2020; pp. 1–7. [Google Scholar]











| Pre-Trained Model | Train IoU | Train F-Score | Test IoU | Test F-Score |
|---|---|---|---|---|
| ResNet34-1 | 0.8433 | 0.9146 | 0.7634 | 0.8537 |
| ResNet34-2 | 0.8533 | 0.9203 | 0.7668 | 0.8575 |
| ResNet34-3 | 0.8386 | 0.9117 | 0.7586 | 0.8500 |
| Mean | 0.8451 | 0.9155 | 0.7630 | 0.8538 |
| EfficientNetB3-1 | 0.8513 | 0.9191 | 0.7741 | 0.8634 |
| EfficientNetB3-2 | 0.8392 | 0.9121 | 0.7728 | 0.8624 |
| EfficientNetB3-3 | 0.8334 | 0.9082 | 0.7710 | 0.8598 |
| Mean | 0.8413 | 0.9131 | 0.7726 | 0.8619 |
| DenseNet121-1 | 0.8323 | 0.9079 | 0.7712 | 0.8622 |
| DenseNet121-2 | 0.8634 | 0.9265 | 0.7800 | 0.8689 |
| DenseNet121-3 | 0.8490 | 0.9279 | 0.7773 | 0.8672 |
| Mean | 0.8482 | 0.9180 | 0.7762 | 0.8661 |
Disclaimer/Publisher’s Note: The statements, opinions and data contained in all publications are solely those of the individual author(s) and contributor(s) and not of MDPI and/or the editor(s). MDPI and/or the editor(s) disclaim responsibility for any injury to people or property resulting from any ideas, methods, instructions or products referred to in the content. |
© 2023 by the authors. Licensee MDPI, Basel, Switzerland. This article is an open access article distributed under the terms and conditions of the Creative Commons Attribution (CC BY) license (https://creativecommons.org/licenses/by/4.0/).
Share and Cite
Polat, A.; Keskin, İ.; Polat, Ö. Automatic Detection and Mapping of Dolines Using U-Net Model from Orthophoto Images. ISPRS Int. J. Geo-Inf. 2023, 12, 456. https://doi.org/10.3390/ijgi12110456
Polat A, Keskin İ, Polat Ö. Automatic Detection and Mapping of Dolines Using U-Net Model from Orthophoto Images. ISPRS International Journal of Geo-Information. 2023; 12(11):456. https://doi.org/10.3390/ijgi12110456
Chicago/Turabian StylePolat, Ali, İnan Keskin, and Özlem Polat. 2023. "Automatic Detection and Mapping of Dolines Using U-Net Model from Orthophoto Images" ISPRS International Journal of Geo-Information 12, no. 11: 456. https://doi.org/10.3390/ijgi12110456
APA StylePolat, A., Keskin, İ., & Polat, Ö. (2023). Automatic Detection and Mapping of Dolines Using U-Net Model from Orthophoto Images. ISPRS International Journal of Geo-Information, 12(11), 456. https://doi.org/10.3390/ijgi12110456

