Abstract
(1) Background: spatial thinking is indirectly applied in numerous daily activities (e.g., when defining the route when going to school/work) or in scientific areas (e.g., predicting the spatial–temporal spread of contagious diseases), and its ability might be improved using geographical information systems (GIS). The main objective of this study was to perform an analysis of the spatial thinking of students in two curricular units (CUs) that had come from different background areas; (2) Methods: to that end, the Spatial Thinking Ability Test (STAT), composed of 15 multiple choice questions to measure spatial thinking, was given to 83 students before and after exposure to GIS concepts and software. Students’ answers were analyzed question-by-question and as total scores. The statistical analysis was performed using the paired samples t-test, the independent samples t-test or the Mann–Whitney statistical test and the nonparametric Kruskal–Wallis test; (3) Results: an overall significant improvement was observed from the pre- to the post-test. Additionally, total scores were not significantly different between students of different CUs, courses, or genders; (4) Conclusions: this exploratory study can be considered as a support methodology for pedagogical didactics that have been implemented in the CUs and may be readily applied in other academic environments, namely with students from different backgrounds, countries, and teaching strategies, thus promoting the discussion of all such experiences and consequent improvement in geographical education.
1. Introduction
1.1. Definition of Spatial Thinking
Spatial thinking is indirectly applied in numerous daily activities, such as defining the route when going to school or work, organizing objects at home or work, or even in activities such as navigation and assembling equipment. It can also be applied in scientific areas, such as the visualization of seafloor geology or predicting the spatial–temporal spread of contagious diseases caused by bacteria or viruses [1].
There are different definitions of spatial thinking in geography education literature, some of which are more psychological [2], while others are more related to spatial abilities, skills, and concepts [1,3,4,5,6]; the definition adopted in our study falls in the latter category. Spatial thinking can be considered as knowledge about spatial concepts and their application to address problems or challenges in real life [1,7] and is critical to achieving success in several areas within science, technology, engineering, and mathematics (STEM), in general and in the geosciences area [8]. According to the National Research Council [6], spatial thinking is a collection of cognitive skills that consists of declarative and perceptual forms of knowledge, and is composed of three elements: concepts of space, tools of representation, and processes of reasoning, where (i) the space concepts are, for example, relationships among measurement units, coordinate systems concepts, and dimensional representation, among others; (ii) tools of representation, such as different views and projections and the principles of graphic design; and (iii) reasoning, for instance, different forms to think about the shortest distances, interpolate and extrapolate, and make decisions [6].
Geospatial thinking is a subset of spatial thinking in the field of Earth science and its representation, i.e., it consists of making use of geographical knowledge of the Earth’s surface to improve our spatial cognitive skills [9]. The relationship between spatial thinking and geospatial thinking is very close. This relationship can be defined as the incorporation of spatial thinking in geography classrooms regarding the use of geospatial technologies for teaching. Geospatial thinking can be considered as the first step to differentiate geography spatial thinking from other types of spatial thinking applied in other disciplines, such as medical science and engineering [7]. Several studies emphasize the importance of geospatial thinking for reading, using, and understanding maps, so in teaching in the field of Earth science, there is a need to integrate geospatial thinking into educational settings [6,9,10]. Geospatial technology has been heavily used for education in many countries to improve geography knowledge and the skills fundamental for understanding spatial concepts and improving spatial thinking [11]. In some countries, however, such as Indonesia, geospatial technology has not been sufficiently used in education due to poor facilities and infrastructure; therefore, Ridha and Kamil [11] provided an overview of the progress and potential in implementing geospatial technology in higher education, highlighting the importance of geospatial technology for future education.
1.2. Spatial Thinking in Geographical Information System (GIS)
Geographic information systems (GIS) reinforces spatial thinking capacities, providing tools that allow integrating, visualizing, and analyzing data [12]. In particular, GIS offers the potential to support the learning of geographical concepts through the exploration of real-world problems, resulting in the consequent development of spatial thinking skills. In particular, spatial thinking can be enhanced using GIS tools, since they allow answers for spatial-related questions to be obtained from data by performing spatial operations on spatial databases (questions such as “What is at…?”, “Where is…?”, or “What if…?”) [6]. Therefore, GIS teaching contributes to an increase in spatial thinking and plays an important role in promoting the development and application of spatial thinking evaluation methods [13,14]. In fact, GIS software has been used all around the world. For example, Milson et al. [15] provide an invaluable and inspirational examination of innovation in geospatial technologies in secondary schools around the world (in 33 countries), demonstrating the international perspective regarding the use of GIS for teaching and learning, demonstrating that there are differences between and within countries in terms of the context of schooling, the technological infrastructure, and the recognition of GIS as a vital tool for teaching and learning.
The use of new spatial technologies, such as GIS, remote sensing (RS), and global navigation satellite systems (GNSS), allows the development of and increase in spatial thinking. To achieve these skills, the education system should have the role of helping the students to develop these capacities of spatial thinking [16]. Baker et al. [17] proposed an agenda focused on geospatial technologies and learning to emphasize existing knowledge gaps to discuss the potential opportunities in consideration of teaching and learning multidisciplinary approaches, and identified four key aspects for research: (i) connection between geospatial technologies and geospatial thinking; (ii) learning geospatial technologies; (iii) professional development with geospatial technologies; and (iv) student learning through these technologies.
1.3. Measurement of Spatial Thinking Abilities
Spatial thinking is an indispensable skill in the contemporary world [18]. Therefore, GIS professors need to find and develop effective ways to enhance such skills among students [18]. Spatial thinking can be improved through students’ learning experiences and the evaluation of their abilities [19]. Several tests were developed and applied to collegial students or higher education students. For instance, the Spatial Skills Test (SST), a test composed of the components of spatial relations defined in Golledge and Stimson [20], was created in 2005 to evaluate the effect of GIS learning on students’ spatial thinking.
To meet the demand for an instrument with which to measure spatial thinking in a geography and Earth science context, the Spatial Thinking Ability Test (STAT) was developed in 2012, based on the Lee and Bednarz [21] spatial skills test. The STAT is a revised version of the SST. In the development of the STAT, several factors were considered: (i) the delineation of the assessment objective and the description of the content to be measured were the first considerations; (ii) it was based on Learning to Think Spatially [6] and Gersmehl and Gersmehl’s [5] studies, which present the neuroscientific evidence outlined as a “taxonomy” of spatial thinking skills. The referred studies suggest a set of spatial thinking concepts, identifying thirteen modes of spatial thinking (defining location, tracing spatial connections, etc.) that can be used concerning the evaluation of spatial thinking methods; and (iii) it was also based on Golledge’s list of geographic thinking elements and other factors [22]. The STAT was designed to evaluate students’ spatial thinking ability using a set of multiple choice questions and performance tasks involving, for instance, dissolving a map, reading topographic maps, and finding the best location, among others [22]. Several studies applied the STAT as a measure of spatial thinking ability. For example, Liu et al. [23] conducted a standardized STAT to examine the spatial thinking abilities of a group of Chinese undergraduates with a focus on their spatial reasoning. In this study, a modified STAT test, composed of 28 items, was applied at the end of human geography courses. It was concluded that there is a deep gap in human geography teaching in China, where the spatial thinking capacity is not fully embraced as a strategy in the curriculum. In 2013, Kim and Bednarz [24] applied the Spatial Concepts And Skills Test (SCAST) to a group of students, measuring the students’ spatial concepts and thinking skills (as in the STAT). It is composed of questions from previously validated spatial thinking tests [21,25,26]. Due to the difficulty in measuring critical thinking using a standardized multiple choice test, Kim and Bednarz [24] proposed the Critical Spatial Thinking Oral Test (CSTOT), containing an interview-based oral test [24]. Besides the multiple choice questions to examine critical thinking, the test incorporates a “think aloud method”, where the students are interviewed to understand how they solve a geographic problem. Kim and Bednarz’s [24] study demonstrated the benefits of GIS learning in the enhancement of students’ critical spatial thinking, not only in their learning concepts and definitions, but also in their learning how to acquire skills to apply those concepts in real problems. In addition, in 2019, Jant et al. [14] presented the STEM-relevant spatial thinking approach to integrating spatial thinking into STEM, focusing on spatial practices that are relevant to inquiry-based spatial thinking. This study demonstrated that GIS-based STEM instruction can influence the students’ approach to problem-solving and helps them to understand and implement spatial solutions. Hollenbeck [27] tested the hypothesis for teaching students in higher education, namely, whether a one-year GIS course would benefit spatial abilities and higher-order spatial thinking. The results obtained in the Hollenbeck [27] study was congruent because students demonstrated an improvement on spatial abilities and an increase in the use of spatial problem-solving. Romadlon and Sarwono [28] applied STAT to 45 students of 12th grades of MAS AL ISLAM in the academic year 2018/2019, in pre-test and post-test, to analyze how GIS material affects the spatial thinking abilities. This evaluation was performed with the creation of a project-based learning model, which is a model that uses the project/activity as a learning process to achieve competence attitudes, knowledge, and skills. The results were analyzed by SPSS software through observation, documentation, and testing STAT (pretest and posttest) with quantitative data analysis techniques. It was concluded that the project-based learning model, with the help of digital maps and thematic maps, has a significant effect on students’ spatial thinking skills, and also that taking advantage of technological and geospatial technologies is a great advantage to improve the spatial skills. This work, however, was focused only on 12th grade students, and thus did not include higher education students. In this way, the findings provide support for the use of GIS as a spatial learning tool and its potential benefits for future researchers studying the effects of geospatial technology in higher education teaching.
1.4. Educational Approaches
The study of spatial ability and its relationship with problem solving skills in engineering education has been recently studied [29]. GIS higher education includes teaching, research, learning, and assessments of student and professor performance [30]. Several studies support the fact that exposure to and learning with GIS software or GIS-based tools greatly improves the students’ capacity to develop geospatial relational thinking [22,31]. More recently, Carbonell-Carrera et al. [9] provide strategies, 3D tools, and geospatial technologies, such as computer-aided design (CAD), to improve geospatial thinking.
Bearman et al. [32] considered and discussed the methods of teaching GIS and the fact that including GIS without specific skills often limits the ability of the material to include the initial project requirements. Therefore, it was proposed that two approaches be integrated into GIS teaching to improve the spatial thinking of students: (i) one approach is to administer a pre-test before the teaching course and final testing as a baseline of spatial skills; and (ii) to create a research agenda outlining some ideas to define the “spatial citizen”, linking to available research on this subject, benefiting those who teach the skills associated with critical spatial thinking. Bearman et al. [32] defend the notion that GIS must be taught from a problem-based learning rather than technical GIS point of view.
1.5. Factors That Influence the Spatial Thinking
Several factors can influence spatial thinking ability, such as personal attributes—not only the gender, age, residential location (urban or rural), and socioeconomic status (regarding their experiences), but also the number of geography courses completed, academic major, and experience with domestic and international travel [22,33]. Several studies performed the evaluation considering these factors [34,35,36,37], concluding that there are some differences regarding the gender, age, academic classification, the location of the school (rural or urban), and the number of GIS courses that the students have taken. On the other hand, there is no difference when analyzing the travel experiences. In our study, we did not have access to these factors, with the exception of gender.
In the era of new technologies, the development of web GIS and mobile GIS applications can also have positive effects on the enhancement of student’s spatial thinking skills. For example, Jo et al. [18] applied the STAT pre- and post-test at the beginning and end of the semester, respectively, where it was found out that web GIS activities significantly improved the students’ spatial thinking. Perugini and Bodzin [38] also examined the impacts of web GIS in terms of enhancing students’ spatial thinking.
1.6. Objective of the Work
In the geomatic context—the methods and technologies to acquire, store, process, and present geographical data—geospatial technology has become a tool for supporting learning activities, so the improvement of spatial perception is crucial to develop/increase the students’ skills. It is important that professors introduce learning activities within the learning contents and that students’ conceptual development follows this learning framework. The STAT test applied is an example of a traditional method used to measure the influence of using GIS in the improvement of spatial thinking. Within the STAT test, there are questions related with the use of GIS software tools, allowing us to to understand if the emergence of new technologies helps to improve the spatial thinking concept.
The overall objective of this exploratory study was to perform an analysis of the spatial thinking of higher education students who were exposed to GIS concepts in two different curricular units (CUs)—namely GIS and GIS Applied to Natural Sciences, in the Faculty of Sciences, University of Porto (FCUP), Portugal—applying the STAT. The students of the two analyzed CUs had come from different academic background areas, namely undergraduate and master’s degrees. The STAT was given to the students to test their ability to think spatially and reason geographically. The specific objectives of this study were to evaluate whether there were (i) pre- and post-test differences, i.e., before and after exposure to GIS concepts and software; (ii) differences between the students’ STAT values regarding the different courses (where GIS concepts are taught) in different temporal moments (pre- and post-test); (iii) differences between the two CUs; and (iv) similarly to other studies, the influence of the student’s gender on the obtained results was also evaluated. To clarify, the word “courses” that will be used in this study refers to a program of study needed to complete a degree.
To the best of our knowledge, the questions raised in (ii) and (iii) have not been studied until this moment, and thus the proposed objectives are relevant and contribute to the improvement of spatial thinking in the context of higher education teaching, namely in engineering education. From the results obtained with the STAT, higher education professors can, for instance, conclude that students with more difficulties (or underdeveloped spatial thinking skills) should undergo an intensive initial training course. The teaching methods presented in this work are similar to other universities and, therefore, the results of this study may be useful for other professors.
2. Materials and Methods
2.1. Curricular Units and Credits in Portugal Higher Education
In Portugal, CUs are teaching units with training objectives and are subject to administrative registration and evaluation translated into a final classification. One of the objectives of the Bologna Agreement is based on the possibility that a student from a certain institution and country can see that the work carried out along their training course can be translated in a numerical, unambiguous, readable, and transferable way across the European Higher Education Area (EHEA). The aim is to recognize the studies and diplomas obtained in the different countries that are signatories to the Bologna Agreement and, thus, promote the mobility of students and graduates within the EHEA and between EHEA and the rest of the world. To achieve this goal, a credit system to be applied in all those countries was conceived, which became known as European Credit Transfer System (ECTS).
2.2. Curricular Units and Course Background
The GIS CU is mandatory in the courses of “Geospatial Engineering” (third year) and “Landscape Architecture”, whereas it is an optional CU in Biology, Computer Science, Physics, Geology, Mathematics, and Chemistry degrees and is part of the minor in Geographic Information. For all these courses, the CU value is 6 ECTS in a total of 180 ECTS courses. The GIS Applied to Natural Sciences CU is part of the master’s degrees in “Environmental Sciences and Technologies”, “Geology”, and “Ecology and Environment”. The teaching and assessment methodology is similar to the GIS CU. For all these courses, the CU value is 6 ECTS in a total of 120 ECTS courses.
The two CUs are taught in different ways in terms of subjects, where the GIS Applied to Natural Sciences CU is more focused on environmental applications. In the practical component of the two CUs, the use of proprietary and Free and Open Source Software (FOSS) to solve the proposed practical exercises is encouraged, where students are expected to master the GIS tools for manipulating and analyzing geographic information. The experience with these tools prepares the students to use them, whether in a private company, public institution, or following a scientific career, where the capacity and aptitude for spatial thinking are fundamental. The student must be able to solve a problem with different variables using the tools available in the software. This type of geographic reasoning and the different spatial analysis approaches, using the latest computing technologies, contribute to increasing the student’s logical and spatial reasoning abilities.
GIS (https://sigarra.up.pt/fcup/en/UCURR_GERAL.FICHA_UC_VIEW?pv_ocorrencia_id=449008 (accessed on 6 April 2022)): The syllabus of GIS CU consists of:
- Introduction to GIS;
- Vector data acquisition and manipulation;
- Open source applications within the scope of GIS;
- Vector data analysis operations;
- Storage and handling of alphanumeric data;
- Acquisition, manipulation, and analysis of data in raster form;
- Digital terrain models and terrain analysis;
- Some GIS applications;
- Development of plugins;
- WebGIS and GIS mobile;
- GIS principles and applications.
With some of these topics, namely the development of plugins and WebGIS and GIS mobile, the students learn how to program in GIS open source software, which constitutes a solid contribution to students’ logical and reasoning thinking.
GIS Applied to Natural Sciences (https://sigarra.up.pt/fcup/en/UCURR_GERAL.FICHA_UC_VIEW?pv_ocorrencia_id=446901 (accessed on 6 April 2022)): The syllabus of GIS Applied to Natural Sciences CU does not have the concepts and learning of GIS open source software computer language because it is more focused on geostatistical algorithms and the application of GIS to natural sciences. The syllabus is composed of:
- Introduction to GIS;
- Vector data acquisition and manipulation;
- Vector data analysis operations;
- Storage and handling of alphanumeric data;
- Open source applications within the scope of GIS;
- Acquisition, manipulation, and analysis of data in raster form;
- Digital terrain models and terrain analysis;
- Notions of geostatistics;
- WebGIS, GIS mobile and geomarketing applications;
- Applications of GIS to natural sciences.
The students of the first degree belong to courses where they learn more concepts about spatial thinking in their CUs (of the first years) compared to the master’s degree students, whose CUs of the first-degree course were not related with geographic information and spatial relationships.
The background of the courses is also different. For example, the “Geospatial Engineering” degree intends to provide knowledge on fundamental sciences and informatics composed of technological areas such as RS, satellite positioning, and GIS. The course relies on the acquisition, processing, treatment, and analysis of geospatial information using recent technologies from aerial, terrestrial, or marine platforms. This is a three-year course, where the first year and part of the second are composed essentially of basic subjects in the areas of mathematics, computer science, physics, geology, and management, whereas in the third year, the subjects are more related with the geospatial engineering area, such as RS, GIS technologies and Earth observation (EO). In the case of “Landscape Architecture”, it relies on natural, social, and technological sciences, humanities, and arts, where the landscape is the focus of study and intervention. It consists of the planning, conservation, and management of large and complex natural and cultural landscapes to the design of public squares, parks, and gardens in the cities. These students have mathematics, biology, geology, and ecology CUs in the first year, and biogeography, ecophysiology, and art history projects and CUs related to green spaces techniques and projects. In this second year, the landscape students come into contact with the Fundamentals of Geographical Information CU, where they are exposed to geographic information concepts. The students of “Landscape Architecture” also come into contact with geospatial CUs, the GIS CU in the third year, along with the students of “Geospatial Engineering”. Hence, spatial thinking learning is fundamental to the second and third years of education.
Concerning the background of students in the GIS Applied to Natural Sciences CU, they come from different first degrees, such as “Environmental Sciences and Technologies”, “Geology”, and “Biology”, among others, and have taken some CUs related to GIS and/or RS such as topography, cartography, RS, Fundamentals of Geographical Information, and Satellite Localization and Earth Observation by Satellite. Therefore, these students also have some background related to geographical knowledge and spatial thinking. The first year in the “Environmental Sciences and Technologies” degree is composed of CUs more related to environment, energy, biology, and chemistry. In the second year, however, the students have the Fundamentals of Geographical Information CU. In the “Geology” degree, there is some exposure to spatial thinking concepts in the first year, through methods of geological cartography. In the second year, the CU Informatics Applied to Geology also introduces some GIS software and helps in understanding geographical/geological data treatment using different data and different GIS software. This fact can help to improve the spatial thinking of these students. In the third year, the students also have the Geological Cartography CU. The students that come from “Biology” as a first degree have contact with Biology and Statistical CUs in the first year. In the second and third years, these students also have specific CUs from such areas of biology as microbiology, vegetal physiology, and ecology, among others. It is obvious that in the CUs of some courses, there is more exposure to spatial concepts than in others.
The students of both CUs are prepared to learn and use the GIS open source software QGIS [39] and the proprietary software ArcGIS [40]. The students of GIS CU also used AutoCAD Map in some practical exercises [41]. Within the two CUs, a variety of geographical information is used as input for the analysis and manipulation of geographical information, such as maps and satellite images. The used data are usually provided by the professors and can be freely acquired from satellite imagery (such as from Earth Explorer or Copernicus platforms [42,43] or vector and raster information from Direção Geral do Território (DGT) [44] and other sources). The geographical information is prepared and manipulated in GIS software, both open source and proprietary, using several algorithms, depending on the proposed problem. The description given of the students’ backgrounds illustrates their different backgrounds and, as consequence, they have different levels of knowledge in the GIS area.
2.3. Participants
The participants were selected on the basis of a statistical convenience sampling consisting of a sample obtained from a part of the population (GIS students) that was close at hand and was obtained in the academic year of 2019/2020 at the FCUP, with 38 students from the GIS CU (from the BSc “Geospatial Engineering” and “Landscape Architecture”) and 60 MSc students from the GIS Applied to Natural Sciences CU (“Environmental Sciences and Technologies”, “Geology” and “Ecology and Environment”). The number of students available to participate in this study from each CU was 30 and 53, respectively. The remaining 15 students did not attend the course in 2019/2020. The study sample included 61.4% female and 38.6% male students. Table 1 presents the distribution of the students in the different courses.
Table 1.
Distribution of the students in the different curricular units (CUs) and courses. GIS: Geographic Information Systems; GIS-ANS: GIS Applied to Natural Sciences.
2.4. Instrument (STAT) for the Evaluation of Spatial Thinking Ability
To evaluate the students’ spatial thinking ability, the STAT instrument was applied [21]. In this work, question #16 from the original STAT was excluded due to a detected error in the validation of the STAT, detailed afterward in subsection Portuguese translation and validation of the STAT. It is composed of eight types of question items [21,25], as presented in Table 2, where the description and spatial thinking abilities of each of the eight domains are presented. There are two versions (A and B) from the STAT, where the difference is in the order of multiple choice options, and the figures are inverted in some questions. In this study, the A version was used.
Table 2.
Item description based on item number and components to measure spatial thinking (adapted from [21,25]).
Table 3 presents the assignment between both CUs components (GIS and GIS Applied to Natural Sciences) compared to STAT components. In Table 3, NA means Not Applicable and refers to a particular content that does not have any association with STAT components.
Table 3.
Curricular units (CUs) components compared to STAT components. GIS: Geographic Information Systems; GIS-ANS: GIS Applied to Natural Sciences.
2.5. Application of the STAT Instrument
The STAT was carried out at two time points, designated as pre- and post-test (at the beginning and end of the semester, respectively); that is, before and after students’ exposure to the concepts taught in the two CUs, respectively. To adapt the STAT to the students of the present study, two steps were followed: (i) Portuguese translation and Portuguese validation of the STAT; and (ii) pilot study. The scoring and analysis were performed after these two steps were carried out. This procedure was based on Lee and Bednarz [21].
2.5.1. Portuguese Translation and Validation of the STAT
The STAT was translated into Portuguese and was validated by three PhD researchers from the GIS area that belonged to FCUP. The final STAT was also solved by these three PhD researchers. In this step, question #16 from the original STAT was excluded, since none of the possible options is the answer to the question. The STAT can be used without modifications, as is the case with the majority of the studies; however, some studies have added, omitted, or modified the questions [22]. For instance, Verma [37] omitted six STAT questions. Nevertheless, these modifications did not change the basic concept of spatial thinking ability components evaluated in the test [35]. This procedure helped to improve the STAT considering the interpretation and the clarity of the text in a geospatial context.
2.5.2. Pilot Study
After translation and validation, the STAT was individually applied to 14 (4 female and 10 male) students from different courses as a pilot study (from the class of a CU belonging to the Remote Sensing master’s degree). In this process, a description of the test content was performed, and the students carefully evaluated the test language, interpretation, clarity of the text, reliability, content validity, discrimination ability, and difficulty level, helping to improve its content validity and reduce the incidence of errors in the application of the test. They read the questions and asked the professor when the question was not well understood or if a grammatical error was found. At that moment, the authors would change the language and correct the errors. All the evaluation criteria referred to were discussed until the students solved the test. To conclude, the general revision was repeated. The STAT was considered to be reliable when the students were capable of understanding the objectives and successfully finishing the test [45]. Moreover, reliability was achieved when the three PhD researchers, experts in the GIS area, solved and validated the test. Its completion time was also recorded to estimate the time required to solve the STAT. In the pilot study, the time used to solve the test was between 15 and 20 min.
2.6. Data Scoring and Statistical Analysis
The performance of the students on the spatial skills test was evaluated for each question separately, as well as for the total score, based on the total number of correctly answered questions [25]. Categorical variables were described as absolute and relative frequencies, while quantitative variables were described using the mean to describe the central tendency and the standard deviation for dispersion, after checking the assumption of normality based on the histogram visualization. Average differences between the pre- and post-test scores were evaluated using the paired samples t-test. Scores comparison between the CUs (GIS and GIS Applied to Natural Sciences) was performed using the independent samples t-test or Mann–Whitney statistical test depending on the variable distribution, while the comparison between the five courses was performed through the nonparametric Kruskal–Wallis test due to the lower sizes of the subgroups. The statistical significance level was set at p < 0.05. The p-values were corrected for multiple comparisons based on Bonferroni correction. All statistical calculations were performed using the IBM SPSS Statistics, Version 24.0 (IBM Corp., Armonk, NY, USA), and data representation using MATLAB R2020a (Mathworks, Inc., Natick, MA, USA).
3. Results
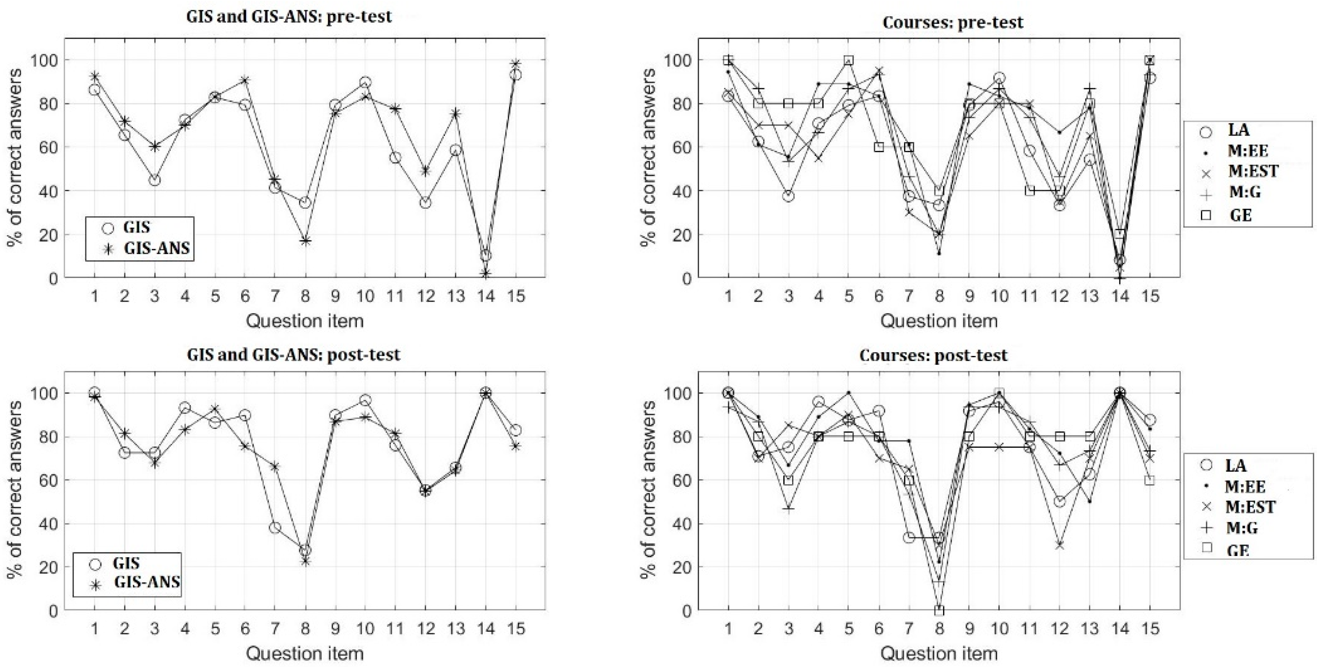
Figure 1 presents the percentage of correct answers on each STAT question according to the CU and course for the pre- and post-test. Students from the two CUs or different courses displayed similar performance patterns throughout the 15 questions. It was observed that question #8 (mental visualization of 3D image based on 2D information) was the most difficult to the students, even when analyzing by CU or by course, both in the pre- and post-tests. On the other hand, there was a clear improvement from the pre- to the post-test based on the percentage of correct answers in question #14, which consists of the comprehension of spatial shapes and patterns (points, lines, and polygons) based on verbal information.
Figure 1.
Percentages of students with correct answers by Curricular Units (first row) and courses (second row) in the pre- and post-test.
We have also considered the eight domains described in Table 2 and presented an analysis similar to the one shown in Figure 1 (Figure 2), where the analysis by gender is also included. The differences with greater amplitude were found between courses for domains ii (“Recognition of map patterns and graphical representation”), vi (“Mentally visualization of 3D image based on 2D information”), and vii (“Verification of map overlay process (Boolean logic)”), in both the pre- and post-tests, although none of these was considered statistically significant (after correcting p-values for multiple comparisons). Male students tend to have higher performance for domain vii (“Verification of map overlay process (Boolean logic)”) than female counterparts, though without statistical significance (also after correcting p-values for multiple comparisons).
Figure 2.
Percentages of students with correct answers on each STAT question, by curricular units (first row) and courses (second row), in the pre- (left plots) and post-test (right plots) moments.
The average (standard deviation) of the STAT total score significantly increased from 9.7 (1.9) in the pre-test to 11.3 (2.0) in the post-test (p < 0.001, Figure 3), suggesting that the contact with the GIS concepts and GIS software likely contributed to an increase in the students’ overall spatial thinking and spatial reasoning.
Figure 3.
Global STAT score obtained in the pre- and post-test moments.
The average (standard deviation) STAT total score was higher in GIS Applied to Natural Sciences than in GIS in the pre-test (9.9 (2.0) vs. 9.3 (1.7)), as well as in the post-test (11.4 (2.2) vs. 11.2 (1.9)), but none of these differences was statistically significant (p = 0.144 and p = 0.760, respectively). The increase in total score from the pre- to the post-test was more marked in GIS than in GIS Applied to Natural Sciences (2.0 (2.0) vs. 1.5 (2.2)), but this difference was not statistically significant (p = 0.309, Figure 4).
Figure 4.
Global STAT scores by curricular unit in the pre-test and post-test.
Although the differences in student performance between the five courses were not statistically significant for the pre-test (p = 0.068), some differences should be highlighted, namely the lower scores for students of “Landscape Architecture” and master in “Environmental Sciences and Technologies” (Figure 5). On the other hand, the student performance between the courses was more similar based on the post-test (p = 0.556). From Figure 5, an outlier in the “Landscape Architecture” course can also be observed, where a student obtained the worst classification among all students. The differences between the courses in the increase from the pre- to the post-test were not statistically significant (p = 0.303).
Figure 5.
Global STAT scores in the pre- and post-test for each course.
Male students achieved higher scores than female counterparts both in the pre- (10.0 (1.9) vs. 9.5 (1.9)) and post-test (11.5 (1.9) vs. 11.2 (2.1)) (Figure 6), but these differences were not statistically significant (p = 0.268 and 0.472, respectively). The increase from the pre-test to the post-test was slighter higher for females than for male students (1.7 (2.3) vs. 1.6 (1.8)), but not statistically significant (p = 0.751).
Figure 6.
Global STAT score obtained by gender in the pre- and post-test.
Figure 7 illustrates the distribution of these increases according to the CU and gender, where the similar improvement from the pre- to the post-test for both male and female students is evident. The higher percentage of female students was similar in both GIS (62.1%) and GIS Applied to Natural Sciences (60.4%), and, accordingly, no significant association was found between gender and the CUs (p = 0.790).
Figure 7.
Improvement in the global STAT score from the pre- to the post-test (post-test–pre-test), by gender and curricular unit.
4. Discussion
We have shown that, following exposure to GIS software and concepts in the analyzed CUs, the spatial thinking and spatial reasoning abilities of all students is improved. This hypothesis was proven in the global comparison between the pre- and post-test of the students in all courses (Figure 1) and supported by an increase in the total score average. Observing Figure 1, we can evaluate the differences: (i) regarding the questions; (ii) between the CUs; and (iii) regarding the courses.
In addition to the global analysis, when analyzing some of the questions individually:
- Question #8, which is about mentally visualizing a 3D image based on 2D information, was that with the worst results (by course and by CU), in pre- and post-test. Hence, we can conclude that the 3D visualization can be a barrier to students, and the results did not improve even when using GIS software;
- On the other hand, question #14, which is related to the comprehension of spatial shapes and patterns (points, lines, and polygons) based on verbal information, provided worse results in the pre-test, but the results of the post-test showed improvement. This improvement can be justified by the exposure to GIS software during the semester;
- The discrepancy between the answers can also be verified in questions #3 and #12, especially in the results provided by the different courses. Question #3 is related to the recognition of map patterns and graphical representation, and question #12 is related to the verification of the map overlay process considering Boolean logic. In these two questions, there were good and bad results when considering the correct answers. Regarding the differences between the CUs (Figure 1, upper left and right), it was verified that there were no significant differences. Considering the differences between the courses (Figure 1, lower, left, and right) in terms of questions #3 and #11 in the pre-test, the results were different between the courses, where the students of the “Landscape Architecture” obtained the worst results for question #3. In the post-test, some discrepancy in question #3 can be verified in addition to question #12.
In the comparison between CUs, courses, or gender, no significant differences were observed. Therefore, we did not find evidence to support the notion that the gender, course background, or CU might significantly influence the development of students’ spatial thinking and spatial reasoning throughout the semester. The difference between the two CUs in the scores obtained in the pre- to the post-test was not statistically significant, suggesting that the topics addressed in both CUs are identical and may not influence students’ GIS learning.
Previous exposure to GIS software could eventually enhance the students’ abilities and knowledge of spatial relationships concepts, according to some authors, although other factors such as experiences might also be related. For example, Jo and Hong [7] administrated spatial thinking tests to students to understand whether learning GIS enhances the ability to generate and recognize spatial relationship concepts. In Jo and Hong’s [7] study, it was concluded that learning GIS enhances students’ understanding of spatial relationships concepts and their spatial vocabulary, especially those explicitly learned using tools and functions of GIS software. However, the students that had previous experience with GIS courses did not demonstrate better skills in the recognition of appropriate concepts to describe spatial relationships than those that had not. Jo and Hong [7] conclude that the understanding of many of the basic spatial relationship concepts was acquired incidentally by students, rather than explicitly or intentionally. This was verified in the study presented here, since the students of “Landscape Architecture” and master in “Environmental Sciences and Technologies” exhibited lower scores than those of the other courses, though the difference was not statistically significant. However, this does not mean that there is a lack of GIS course instruction but, rather, that the domain of spatial thinking can be learned in other CUs and in a live context. Even so, Jo and Hong [7] emphasize that GIS should be used more as a support system in teaching and learning because it increases capabilities related to the recognition of spatial concepts (such as direction, pattern, clustering, dispersion, and spatial association, among others). The statistical values obtained in our study demonstrate that the exposure to GIS software slightly increased the skills and abilities of spatial thinking in the students, since there is a slight increase in the results from pre- to post-test. Therefore, we suggest that exposure to GIS software may increase the students’ thinking and spatial abilities and skills in spatial problem-solving.
Given the variety of training areas applicable to the studied CUs, it is important to know the basic training of students in each area, since, for example, a student in the “Environmental Sciences and Technologies” course would have different basic training in the domain of spatial analysis tools than a “Geology” course student. Another example is that students whose first degree is in “Geospatial Engineering” would have different basic training than a student of “Landscape Architecture”, especially in terms of software computing and file manipulation, which is prevalent in this CU. Thus, it is essential for the professors of these CUs to understand the levels of knowledge and training, specifically in terms of spatial thinking, so that the subjects adopted for the teaching of these CUs can be more appropriate and the pedagogical practices are suitable to reduce the heterogeneity of the students who attend them.
Considering the scores obtained in the comparison between the five courses and pre- and post-test results, a tendency to higher scores in “Geospatial Engineering” and lower in “Landscape Architecture” was observed, though the differences lack statistical significance. Additionally, the students of “Geospatial Engineering” have more knowledge in the GIS area than those of “Landscape Architecture”, which can be explained by the background of each course (Figure 5). It can also be related to the background acquired by the “Geospatial Engineering” students, which had a complete set of CUs related to geoinformation in the previous two years. In addition, in some of these CUs, the students have direct exposure and experience with the interpretation of analogic maps, but also have contact with digital information. This difference between the courses was expected by the professors, since the background of the students are characterized by different contents. Hence, the STAT results confirmed our expectations. As Collins [36] stated, the different spatial thinking skills are taught through different media and can be improved through use of both paper and digital media acquisition. Collins [36] also demonstrated the importance of using analogic maps as complementary tools to learn how to use digital maps.
Regarding the analysis of total scores by gender (female and male), none of the differences were statistically significant. Gender differences have been studied in several areas, such as psychology, cognitive neuroscience, and even spatial ability [46]. The absence of evidence between male and female students is following Gilmartin and Patton [2]. Bednarz and Lee [22] also stated that the gender effect was variable, insignificant, and inconclusive in several studies. For instance, Shin et al. [34] and Tomaszewski et al. [35] found that scores were higher for males than females, anticipating that males will develop better spatial thinking skills than females. However, Collins [36] and Verma [37] reported that there was no significant difference between males and females. Collins [36] stated that a possible explanation for such absence of significance is that there is conceivably more equal exposure to maps via smartphones and Internet mapping applications. Actually, in the past, there might have been the perception of women having a lower performance in terms of spatial thinking, due to the fact that women did not have activities that fostered this development (due to historical social barriers), but there might have not existed any lower gender ability. Instead, with the widespread use of smartphones and apps currently transversal to both sexes, these differences, which could have existed in the past, are now no longer verified. This can be also a possible explanation for the results of this study.
This study allowed us to analyze the differences between students in the different areas as well as to analyze the evolution of students from the beginning to the end of the semester to understand if there was a progression in the students’ spatial thinking. Thus, this study presents some contributions towards the improvement of spatial thinking with GIS learning: (i) it contributes to an improvement in the pedagogical practices that have been adopted, given the number of the students and the different basic training; (ii) it contributes to improving the learning of students in these areas; (iii) it can help professors in a more effective, interdisciplinary, and targeted manner through the management of knowledge within the scope of the CUs; (iv) it can guide the CU subjects and didactics for learning that must be guaranteed to all students; and (v) it facilitates the development of new learning methodologies that are always appropriated to the different areas of student training. Over the years, the professors of these CUs noticed differences between students from different courses. Hence, application of the STAT helps us to better understand this difference and thus create new pedagogical strategies to improve the teaching of these CUs such that all students learn to solve the type of problems that are posed to them and that involve spatial thinking.
Limitations
However, as with most research, this study also presents some limitations, including the low number of students that participated in the study, which might have led to the lack of statistical significance in some situations, namely those with a p-value slightly above 0.05, which did not allow us to go further in the investigation or explanation of the observed differences. Another possible limitation might be the relatively low number of first-degree students compared to the master’s degree. Although most of the students enrolled in this study, this situation can be overcome in the future by including more than one school year and other universities.
The lack of knowledge about other course work that students were doing during the time is another identified limitation, since these external activities can also influence the development of spatial reasoning capabilities. Moreover, the absence of other considered factors, such as the age, residential location (urban or rural), socioeconomic status (regarding their experiences), number of completed geography courses, academic major, academic classification, ethnicity, language, culture, grade level, and travel experiences, is a crucial limitation of this study.
Some of these factors which were not available in our study could partially explain some of the observed differences in mean scores between the groups. This is the most fundamental limitation of this study, which consists of a one-dimensional experiment design that simply compares test scores between groups. In the future, other topics of research might include different types of questions that can be explored, such as practical questions (solved in the software), questions on development, and questions introducing the use of videos, virtual reality, and 3D technologies, in addition to building a smartphone application or a web application that allows easily interacting with the students. Further research with a larger dataset is also warranted in order to allow the employment of multivariable regression models to identify the contribution that each factor (e.g., course, gender, or CU) has on the achieved performances. Besides, with the recent new geospatial technologies, there are new spatial thinking measure methods adopted and new procedures to evaluate the GIS spatial thinking among higher education, regarding web GIS and mobile GIS systems [29,47,48].
5. Conclusions
This exploratory study presents itself as a support methodology for pedagogical didactics that have been implemented in the GIS and GIS Applied to Natural Sciences, where the intention is to provide students with the domain of GIS software tools for manipulation and analysis of geographic information. The use of new technologies, such as GIS, have a great impact on the learning capabilities. For example, we concluded that an external GIS formation can be crucial to helping some students improve their spatial thinking skills. Moreover, the ability to use a computer can be determined before starting the CUs. This study was applied to Portuguese students and presents some advantages regarding evaluation of the differences between students that came from different areas and the differences between the GIS knowledge considering the exposure to GIS software. It can be readily applied in other academic environments, namely with students from different backgrounds, countries, and teaching strategies, thus promoting the discussion of all such experiences and consequent improvement in geographical education. One of the greater challenges of higher education is to encourage and stimulate students to develop their skills and abilities. Regarding the results obtained with the STAT, this challenge can be addressed, and the professors of a faculty should be trained to not only understand the concepts and skills required in CUs, such as the ones in this study, but also to know the thematic position within the department or faculty.
Therefore, this study can positively contribute to improvements in the pedagogical practices in GIS learning, such as in the development of new learning methodologies adopted by all students. It is possible to conclude that GIS is associated with an improvement in the students’ spatial skills regardless of the CU, course, or gender. To the best of our knowledge, the influence regarding different CUs or courses has not been studied until this moment. The study of Baker et al. [17] demonstrated that geospatial technologies are of critical importance in 21st century learning, and a better understanding of the relationships between geospatial technologies and learning is important to prevent oversights from persisting. From the moment this test was applied, the CUs referred were improved in terms of practical exercises and that the professors paid more attention to the students of the different courses. Moreover, it is intended that new technologies, such as web GIS concepts, are added to the CU contents, but this strategy must be carefully introduced, always taking into account the background of each student and their spatial thinking skills. This is also a continuous learning process for the professors. Spatial technologies are constantly evolving and, thus, the pedagogical didactics must be adapted.
Besides, the rapid emerging of the new technologies, especially web GIS and mobile GIS, consequently, requires new adaptations in the higher education teaching, and so, the methods for measure the spatial thinking skills in students must accomplish that evolution, and should in the future be adapted to new tests including questions related with these new technologies.
Author Contributions
Conceptualization, Lia Duarte and Ana Cláudia Teodoro; Data curation, Hernâni Gonçalves; Formal analysis, Hernâni Gonçalves; Investigation, Lia Duarte; Methodology, Lia Duarte and Ana Cláudia Teodoro; Resources, Lia Duarte and Ana Cláudia Teodoro; Writing—original draft, Lia Duarte; Writing—review & editing, Lia Duarte, Ana Cláudia Teodoro and Hernâni Gonçalves. All authors have read and agreed to the published version of the manuscript.
Funding
This work is supported by national funding awarded by FCT—Foundation for Science and Technology, I.P., projects UIDB/04683/2020 (ICT R&D Unit), UIDP/04683/2020 (ICT R&D Unit) and UIDB/4255/2020 (CINTESIS, R&D Unit).
Institutional Review Board Statement
Not applicable.
Informed Consent Statement
Not applicable.
Data Availability Statement
Not applicable.
Conflicts of Interest
The authors declare no conflict of interest.
References
- Scholz, M.A.; Huynh, N.T.; Brysch, C.P.; Scholz, R.W. An Evaluation of University World Geography Textbook Questions for Components of Spatial Thinking. J. Geogr. 2014, 113, 208–219. [Google Scholar] [CrossRef]
- Gilmartin, P.P.; Patton, J.C. Comparing the sexes on spatial abilities: Map-use skills. Ann. Assoc. Am. Geogr. 1984, 74, 605–619. [Google Scholar] [CrossRef]
- Self, C.M.; Golledge, R.G. Sex-related differences in spatial ability: What every geography educator should know. J. Geogr. 1994, 93, 234–243. [Google Scholar] [CrossRef]
- Gersmehl, P.J. Teaching Geography; Guilford Press: New York, NY, USA, 2005. [Google Scholar]
- Gersmehl, P.J.; Gersmehl, C.A. Wanted: A concise list of neurologically defensible and assessable spatial thinking skills. Res. Geogr. Educ. 2006, 8, 5–38. [Google Scholar]
- National Research Council. Learning to Think Spatially; The National Academies Press: Washington, DC, USA, 2006. [CrossRef]
- Jo, I.; Hong, J.E. Effect of Learning GIS on Spatial Concept Understanding. J. Geogr. 2020, 119, 87–97. [Google Scholar] [CrossRef]
- Gold, A.U.; Pendergast, P.M.; Ormand, C.J.; Budd, D.A.; Stempien, J.A.; Mueller, K.J.; Kravitz, K.A. Spatial skills in undergraduate students—Influence of gender, motivation, academic training, and childhood play. Geosphere 2018, 14, 668–683. [Google Scholar] [CrossRef] [Green Version]
- Carbonell-Carrera, C.; Saorin, J.L.; Hess-Medler, S. A Geospatial Thinking Multiyear Study. Sustainability 2020, 12, 4586. [Google Scholar] [CrossRef]
- Kainz, W. Cartography and the others—Aspects of a complicated relationship. Geo-Spat. Inf. Sci. 2020, 23, 52–60. [Google Scholar] [CrossRef]
- Ridha, S.; Kamil, P.A. The Problems of Teaching Geospatial Technology in Developing Countries: Concepts, Curriculum, and Implementation in Indonesia. J. Geogr. 2021, 120, 72–82. [Google Scholar] [CrossRef]
- Hwang, S. Placing GIS in sustainability education. J. Geogr. High. Educ. 2013, 37, 276–291. [Google Scholar] [CrossRef]
- Walshe, N. Developing trainee teacher practice with geographic information systems (GIS). J. Geogr. High. Educ. 2017, 41, 608–628. [Google Scholar] [CrossRef] [Green Version]
- Jant, E.A.; Uttal, D.H.; Kolvoord, B.; James, K.; Msall, C. Defining and Measuring the Influences of GIS-Based Instruction on Students’ STEM-Relevant Reasoning. J. Geogr. 2019, 119, 22–31. [Google Scholar] [CrossRef]
- Milson, A.J.; Demirci, A.; Kerski, J.J. International Perspectives on Teaching and Learning with GIS in Secondary Schools; Springer Science+Business Media B.V.: Berlin/Heidelberg, Germany, 2012. [Google Scholar] [CrossRef] [Green Version]
- Bednarz, R.S.; Bednarz, S.W. Chapter 16 The Importance of Spatial Thinking in an Uncertain World. In Geospatial Technologies and Homeland Security; The GeoJournal Library, Springer: Dordrecht, The Netherlands, 2008; Volume 94. [Google Scholar] [CrossRef]
- Baker, T.R.; Battersby, S.; Bednarz, S.W.; Bodzin, A.M.; Kolvoord, B.; Moore, S.; Sinton, D.; Uttal, D. A Research Agenda for Geospatial Technologies and Learning. J. Geogr. 2015, 114, 118–130. [Google Scholar] [CrossRef] [Green Version]
- Jo, I.; Hong, J.E.; Verma, K. Facilitating spatial thinking in world geography using Web-based GIS. J. Geogr. High. Educ. 2016, 40, 442–459. [Google Scholar] [CrossRef]
- Carbonell, C.; Martín-Dorta, N.; Saorín Pérez, J.L.; De La Torre Cantero, J. Specific Professional Skills Development for Engineering Studies: Spatial Orientation. Int. J. Eng. Educ. 2015, 31, 316–322. [Google Scholar]
- Golledge, R.G.; Stimson, R.J. Spatial Behavior: A Geographic Perspective; Guilford Press: New York, NY, USA, 1997. [Google Scholar]
- Lee, J.; Bednarz, R. Effect of GIS Learning on Spatial Thinking. J. Geogr. High. Educ. 2009, 33, 183–198. [Google Scholar] [CrossRef]
- Bednarz, R.; Lee, J. What improves spatial thinking? Evidence from the Spatial Thinking Abilities Test. Int. Res. Geogr. Environ. Educ. 2019, 28, 262–280. [Google Scholar] [CrossRef]
- Liu, R.; Greene, R.; Li, X.; Wang, T.; Lu, M.; Xu, Y. Comparing Geoinformation and Geography Students’ Spatial Thinking Skills with a Human Geography Pedagogical Approach in a Chinese Context. Sustainability 2019, 11, 5573. [Google Scholar] [CrossRef] [Green Version]
- Kim, M.; Bednarz, R. Development of critical spatial thinking through GIS learning. J. Geogr. High. Educ. 2013, 37, 350–366. [Google Scholar] [CrossRef]
- Lee, J.; Bednarz, R. Components of Spatial Thinking: Evidence from a Spatial Thinking Ability Test. J. Geogr. 2012, 111, 15–26. [Google Scholar] [CrossRef]
- Bednarz, R.; Lee, J. The components of spatial thinking: Empirical evidence. In International Conference: Spatial Thinking and Geographic Information Sciences 2011. Procedia Soc. Behav. Sci. 2011, 21, 103–107. [Google Scholar] [CrossRef]
- Hollenbeck, E. The Role of GIS-Based Spatial Learning for Promoting Spatial Abilities and Spatial Thinking in Context. Ph.D. Dissertation, Northwestern University ProQuest Dissertations Publishing, Evanston, IL, USA, 2018. [Google Scholar]
- Romadlon, R.W.; Yusuf, Y. Effect of learning project model-based learning on GIS spatial thinking skills students. IOP Conf. Ser. Earth Environ. Sci. 2021, 683, 012045. [Google Scholar] [CrossRef]
- Duffy, G.; Sorby, S.; Bowe, B. An investigation of the role of spatial ability in representing and solving word problems among engineering students. J. Eng. Educ. 2020, 109, 424–442. [Google Scholar] [CrossRef]
- Hodza, P.; Berendsen, M.E.; Hamerlinck, J.D. Towards a holistic framework for delivering quality GIS education within and across disciplines. Trans. GIS 2021, 25, 2146–2167. [Google Scholar] [CrossRef]
- Favier, T.T.; van der Schee, J.A. The effects of geography lessons with geospatial technologies on the development of high school students’ relational thinking. Comput. Educ. 2014, 76, 225–236. [Google Scholar] [CrossRef]
- Bearman, N.; Jones, N.; André, I.; Cachinho, A.; DeMers, M. The future role of GIS education in creating critical spatial thinkers. J. Geogr. High. Educ. 2016, 40, 394–408. [Google Scholar] [CrossRef]
- Xie, S.; Zheng, X.; Sun, Y.; Wan, J.; Lu, X. The Factors and Mechanisms That Influence Geospatial Thinking: A Structural Equation Modeling Approach. J. Geogr. 2021, 120, 165–175. [Google Scholar] [CrossRef]
- Shin, E.E.; Milson, A.J.; Smith, T.J. Future Teachers’ Spatial Thinking Skills and Attitudes. J. Geogr. 2016, 115, 139–146. [Google Scholar] [CrossRef]
- Tomaszewski, B.; Vodacek, A.; Parody, R.; Holt, N. Spatial Thinking Ability Assessment in Rwandan Secondary Schools: Baseline Results. J. Geogr. 2015, 114, 39–48. [Google Scholar] [CrossRef]
- Collins, L. The Impact of Paper Versus Digital Map Technology on Students’ Spatial Thinking Skill Acquisition. J. Geogr. 2018, 117, 137–152. [Google Scholar] [CrossRef]
- Verma, K. Influence of Academic Variables on Geospatial Skills of Undergraduate Students: An Exploratory Study. Geogr. Bull. 2014, 56, 41–55. [Google Scholar]
- Perugini, S.; Bodzin, A.M. Using Web-Based GIS to Assess Students’ Geospatial Knowledge of Hurricanes and Spatial Habits of Mind. J. Geogr. 2020, 119, 63–73. [Google Scholar] [CrossRef]
- QGIS. QGIS Project. Available online: https://qgis.org/en/site/ (accessed on 10 March 2020).
- ArcGIS. Available online: https://www.arcgis.com/index.html (accessed on 10 March 2020).
- AutoCAD Map. Available online: https://www.autodesk.pt/products/autocad-map-3d/overview (accessed on 10 March 2020).
- Copernicus. Available online: https://www.copernicus.eu/en (accessed on 10 March 2020).
- Earth Explorer. Available online: https://earthexplorer.usgs.gov/ (accessed on 10 March 2020).
- DGT. Direção-Geral do Território. Available online: http://www.dgterritorio.pt/ (accessed on 10 March 2020).
- Mayalagu, G.; Jaafar, M.; Choy, L.K.; Mahmud, M.I. Reliability of Geographic Information System Spatial Thinking Skills (GIS STS) Module. Int. J. Recent Technol. Eng. 2019, 7, 512–518. [Google Scholar]
- Yuan, L.; Kong, F.; Luo, Y.; Zeng, S.; Lan, J.; You, X. Gender Differences in Large-Scale and Small-Scale Spatial Ability: A Systematic Review Based on Behavioral and Neuroimaging Research. Syst. Rev. 2019, 13, 128. [Google Scholar] [CrossRef] [Green Version]
- DeMers, M.N.; Kerski, J.J.; Sroka, C.J. The Teachers Teaching Teachers GIS Institute: Assessing the Effectiveness of a GIS Professional Development Institute. Ann. Am. Assoc. Geogr. 2021, 111, 1160–1182. [Google Scholar] [CrossRef]
- Havelková, L.; Hanus, M. Upper-Secondary Students’ Strategies for Spatial Tasks. J. Geogr. 2021, 120, 176–190. [Google Scholar] [CrossRef]
Publisher’s Note: MDPI stays neutral with regard to jurisdictional claims in published maps and institutional affiliations. |
© 2022 by the authors. Licensee MDPI, Basel, Switzerland. This article is an open access article distributed under the terms and conditions of the Creative Commons Attribution (CC BY) license (https://creativecommons.org/licenses/by/4.0/).






