Extended Operational Space Kinematics, Dynamics, and Control of Redundant Serial Robots
Abstract
1. Introduction
1.1. Redundant Manipulator Kinematics, Dynamics, and Control
1.2. Traditional Task Space Formulation
1.3. Organization of the Paper
1.4. Contributions of the Paper
- Based on concepts introduced in [3], a fundamentally new extended operational space is defined for serial robot kinematics and dynamics:
- An explicit set-valued inverse kinematic mapping is derived for input coordinates as functions of task and self -motion coordinates.
- Extended operational coordinates are defined and shown to be equivalent to input coordinates in parameterizing robot configuration space.
- ODEs of robot dynamics are derived with extended operational coordinates as state variables
- A fundamentally new operational space control approach is introduced, including the following:
- Robot control laws are defined and implemented using extended operational coordinates and operational space ODEs.
- The control structure explicitly allows for the tracking of self-motion coordinates, which is the only known variant of operational space control that allows this.
- Four control examples are treated using a redundant planar robot with one degree of redundancy, demonstrating superior performance of the extended operational space formulation relative to the traditional task space approach.
- A control example is treated for a robot with eight degrees of redundancy, further demonstrating the superiority of the extended operational space approach.
2. Redundant Serial Robot Kinematics
2.1. Velocity Space Kinematics
2.2. Deficiencies in Redundant Robot Velocity Space Kinematics
2.3. Traditional Task Space Dynamics of Redundant Serial Robots
3. Extended Operational Space
3.1. Inverse Configuration Kinematics
3.2. The Robot Extended Operational Space
3.3. The Robot Functional Configuration Space
3.4. Velocity Kinematics on the Extended Operational Space
3.5. Acceleration Kinematics on the Extended Operational Space
3.6. Computation of
4. ODEs of Input and Extended Operational Space Dynamics
4.1. Input Space ODE of Dynamics
4.2. Extended Operational Space ODE of Dynamics
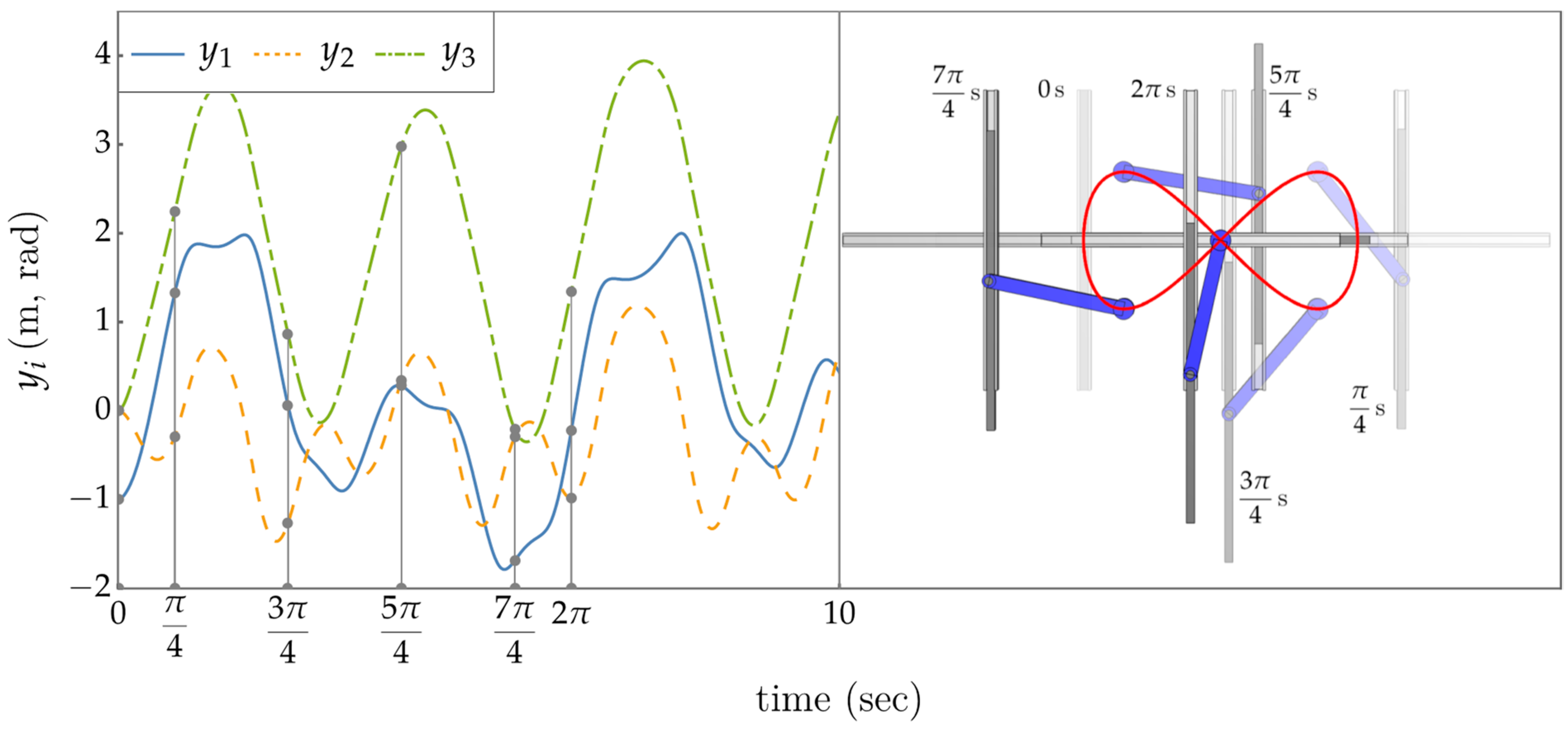
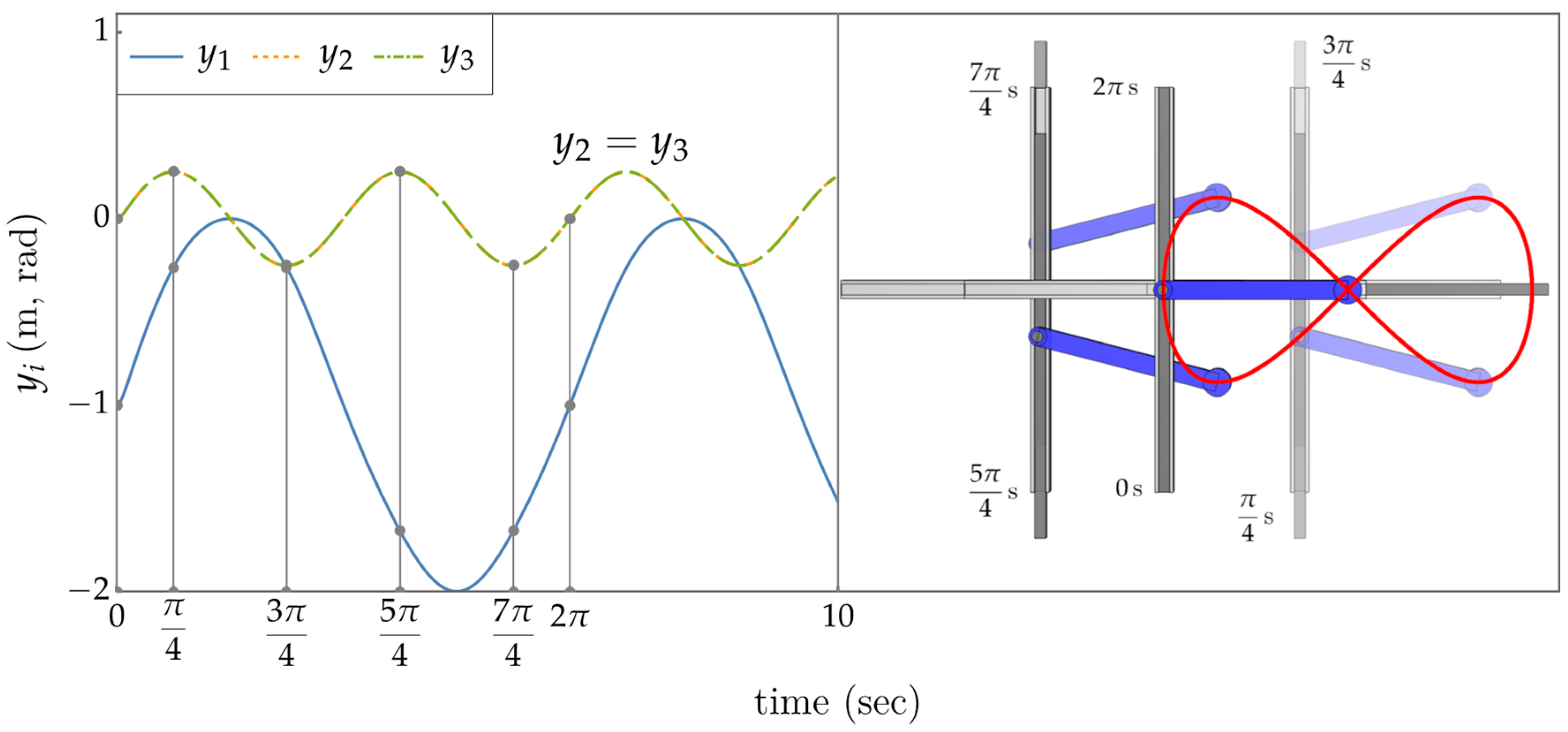
4.3. A Single-Degree-of-Redundancy Serial Robot Example
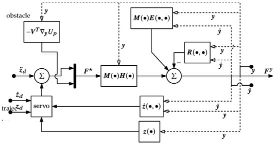
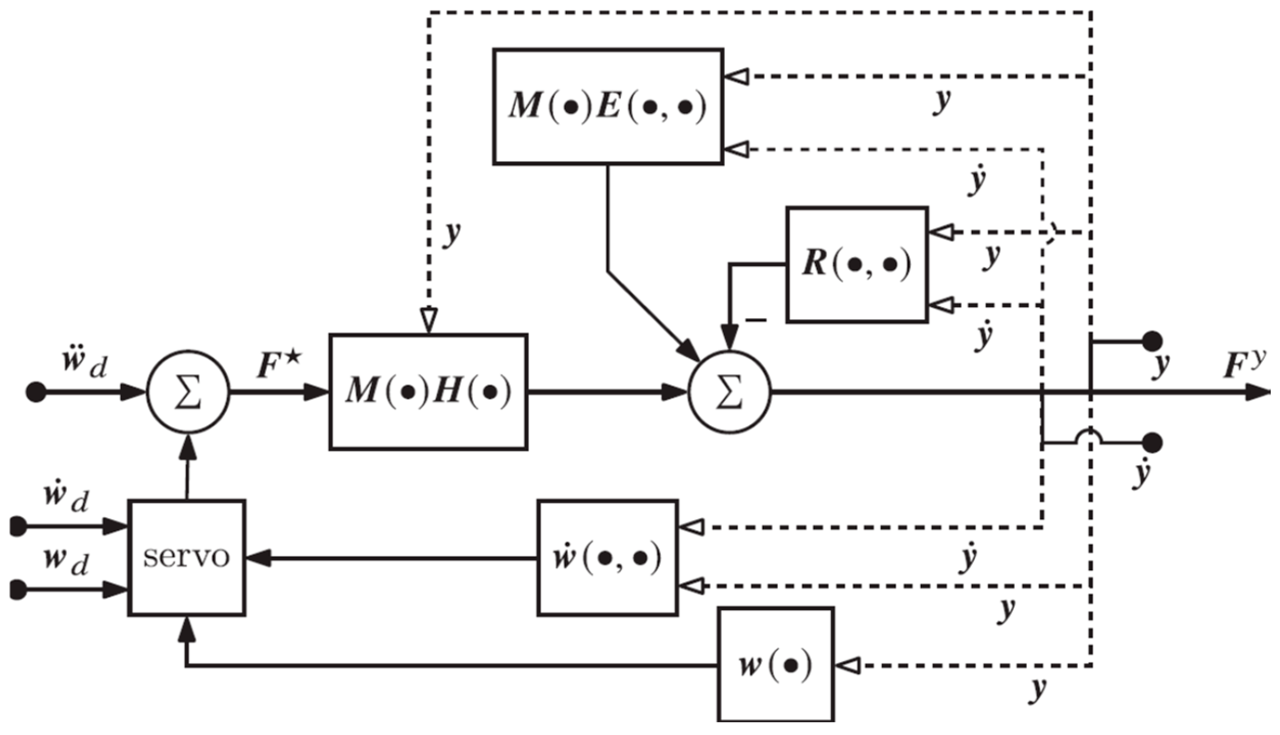
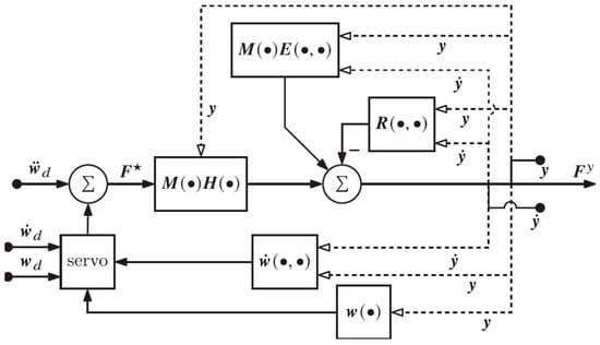
5. Extended Operational Space Control
5.1. Traditional Task Space Example
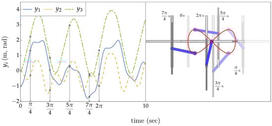
5.2. Extended Operational Space Example with Objective
5.3. Example with Minimum Kinetic Energy Objective
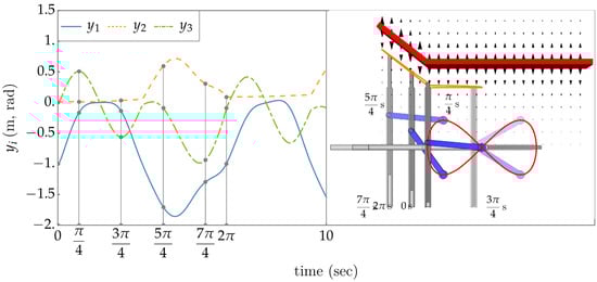
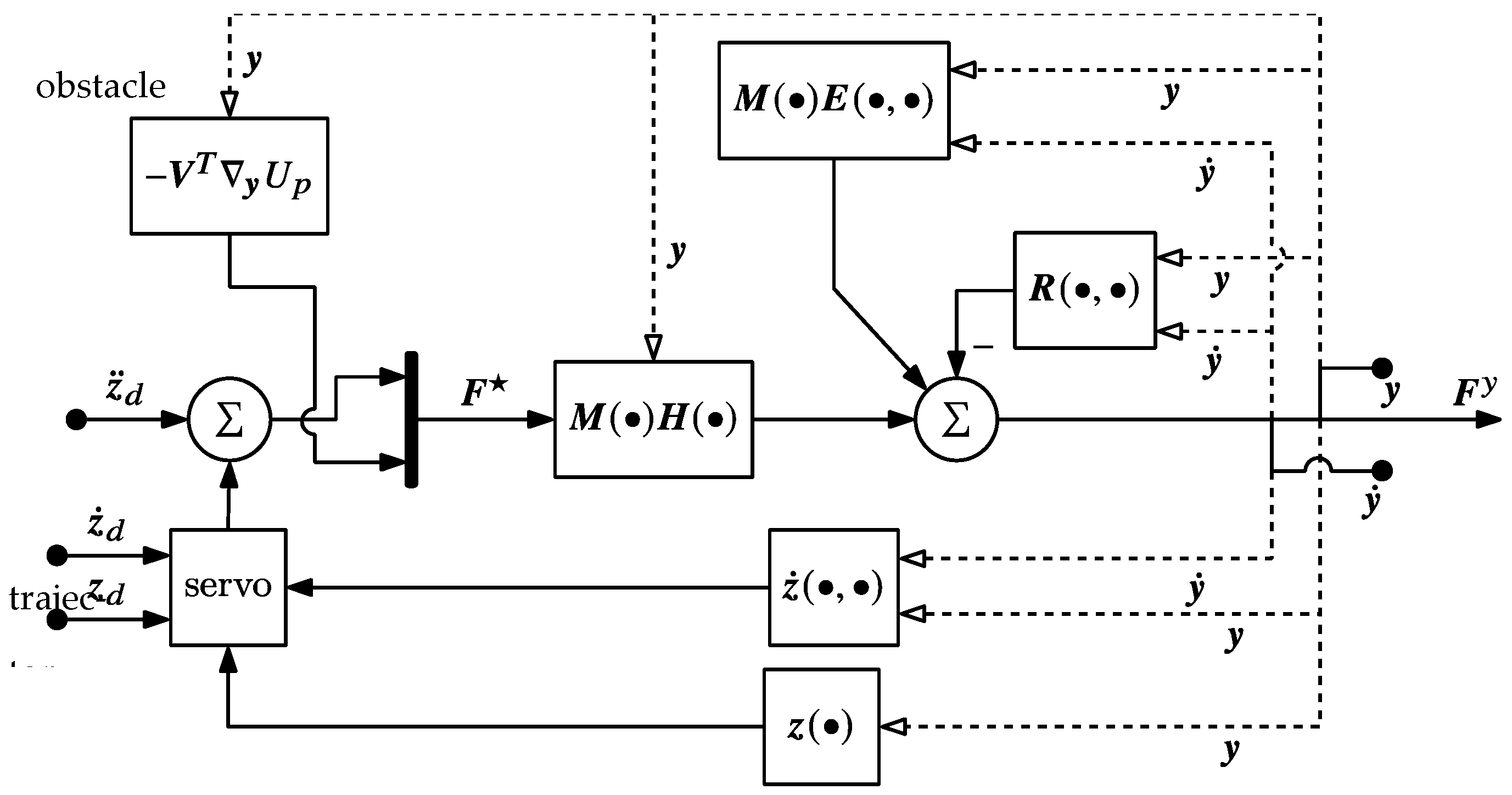
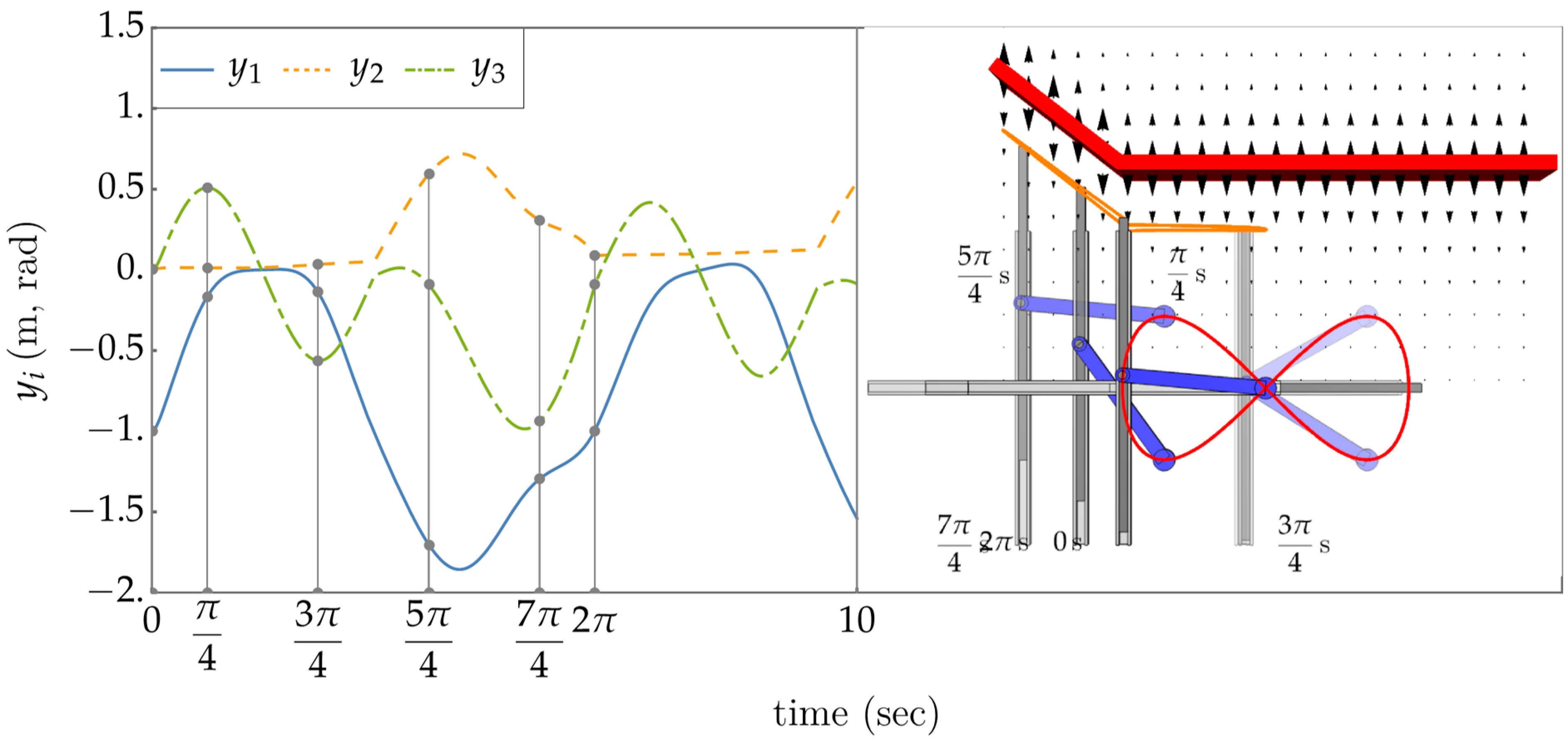
5.4. Extended Operational Space Example with Obstacle Avoidance
6. Eight-Degree-of-Redundancy Test Problem
6.1. Traditional Task Space Control
6.2. Extended Operational Space Control
7. Conclusions and Recommendations for Future Research
7.1. Conclusions
7.2. Future Research
Supplementary Materials
Author Contributions
Funding
Data Availability Statement
Conflicts of Interest
References
- Chiaverini, S.; Oriolo, G.; Maciejewski, A.A. Redundant Robots. In Springer Handbook of Robotics, 2nd ed.; Siciliano, B., Khatib, O., Eds.; Springer: Berlin, Germany, 2016. [Google Scholar]
- Whitney, D.E. Resolved Motion Rate Control of Manipulators and Human Prostheses. IEEE Trans. Man-Mach. Syst. 1969, 10, 47–53. [Google Scholar] [CrossRef]
- Haug, E.J. Redundant Serial Manipulator Inverse Position Kinematics and Dynamics. J. Mech. Robot. 2024, 16, 081008. [Google Scholar] [CrossRef]
- Khatib, O. A Unified Approach for Motion and Force Control of Robot Manipulators: The Operational Space Formulation. IEEE J. Robot. Autom. 1987, RA-3, 43–53. [Google Scholar] [CrossRef]
- Nakanishi, J.; Cory, R.; Mistry, M.; Peters, J.; Schaal, S. Operational Space Control: A Theoretical and Empirical Comparison. Int. J. Robot. Res. 2008, 27, 737–757. [Google Scholar] [CrossRef]
- Park, K.C.; Chang, P.-H.; Lee, S. Analysis and control of redundant manipulator dynamics based on an extended operational space. Robotica 2001, 19, 649–662. [Google Scholar] [CrossRef]
- Pars, L.A. A Treatise on Analytical Dynamics; Ox Bow Press: Woodbridge, CT, USA, 1965. [Google Scholar]
- Haack, W.; Wendland, W. Lectures on Partial and Pfaffian Differential Equations; Pergamon Press: Oxford, UK, 1972. [Google Scholar]
- De Luca, A.; Oriolo, G. Nonholonomic Behavior in Redundant Robots Under Kinematic Control. IEEE Trans. Robot. Autom. 1997, 13, 776–782. [Google Scholar] [CrossRef]
- Shamir, T.; Yomdin, Y. Repeatability of Redundant Manipulators: Mathematical Solution of the Problem. IEEE Trans. Autom. Control 1988, 33, 1004–1009. [Google Scholar] [CrossRef]
- Bowling, A.; Harmeyer, S. Repeatable Redundant Manipulator Control Using Nullspace Quasivelocities. J. Dyn. Syst. Meas. Control 2010, 132, 31007. [Google Scholar] [CrossRef]
- Klein, C.A.; Huang, C.-H. Review of Pseudoinverse Control for Use with Kinematically Redundant Manipulators. IEEE Trans. Syst. Man Cybern. 1983, SMC-13, 245–250. [Google Scholar] [CrossRef]
- Khatib, O. Inertial Properties in Robotic Manipulation: An Object-Level Framework. Int. J. Robot. Res. 1995, 13, 19–36. [Google Scholar] [CrossRef]
- Deo, A.; Walker, I. Overview of Damped Least-Squares Methods for Inverse Kinematics of Robot Manipulators. J. Intell. Robot. Syst. 1995, 14, 43–68. [Google Scholar] [CrossRef]
- Hogan, N. Impedance Control: An Approach to Manipulation: Part I—Theory, Part II—Implementation, Part III—Applications. J. Dyn. Syst. Meas. Control 1985, 107, 1–24. [Google Scholar] [CrossRef]
- Hollerbach, J.; Suh, K.C. Redundancy Resolution of Manipulators Through Torque Optimization. IEEE J. Robot. Autom. 1987, RA-3, 308–316. [Google Scholar] [CrossRef]
- Simas, H.; Di Gregorio, R. A Technique Based on Adaptive Extended Jacobians for Improving the Robustness of the Inverse Numerical Kinematics of Redundant Robots. J. Mech. Robot. 2010, 11, 020913. [Google Scholar] [CrossRef]
- Dietrich, A.; Ott, C.; Albu-Schäeffer, A. An Overview of Null Space Projections for Redundant, Torque-Controlled Robots. Int. J. Robot. Res. 2015, 34, 1385–1400. [Google Scholar] [CrossRef]
- Haug, E.J. Computer-Aided Kinematics and Dynamics of Mechanical Systems, Volume II: Modern Methods, 4th ed.; Ed & Carol Haug Charitable Foundation: Silver City, NM, USA, 2024. [Google Scholar]
- Lee, J.M. Introduction to Smooth Manifolds, 2nd ed.; Springer: New York, NY, USA, 2013. [Google Scholar]
- Robbin, J.W.; Salamon, D.A. Introduction to Differential Geometry; Springer: Berlin, Germany, 2022. [Google Scholar]
- Peidro, A.; Haug, E.J. Obstacle Avoidance in Operational Configuration Space of Kinematically Redundant Serial Manipulators. Machines 2024, 12, 10. [Google Scholar] [CrossRef]
- Atkinson, K.E. An Introduction to Numerical Analysis, 2nd ed.; Wiley: New York, NY, USA, 1989. [Google Scholar]
- Corwin, L.J.; Szczarba, R.H. Multivariable Calculus; Marcel Dekker: New York, NY, USA, 1982. [Google Scholar]
- Haug, E.J.; Peidro, A. Redundant Manipulator Kinematics and Dynamics on Differentiable Manifolds. J. Comput. Nonlinear Dyn. 2022, 17, 111008. [Google Scholar] [CrossRef]
- Chung, W.K.; Fu, L.C.; Kröger, T. Motion control. In Springer Handbook of Robotics; Siciliano, B., Khatib, O., Eds.; Springer: Berlin, Germany, 2016; pp. 174–177. [Google Scholar]
- Haug, E.J. Redundant Non-Serial Implicit Manipulator Kinematics and Dynamics. J. Mech. Robot. 2024, 16, 061017. [Google Scholar] [CrossRef]
- Haug, E.J. Redundant Non-Serial Compound Manipulator Kinematics and Dynamics. Mech. Mach. Theory 2024, 200, 105717. [Google Scholar] [CrossRef]
- Nicolis, D.; Allevi, F.; Rocco, P. Operational space model predictive sliding mode control for redundant manipulators. IEEE Trans. Robot. 2020, 36, 1348–1355. [Google Scholar] [CrossRef]
- Hsu, P.; Hauser, J.; Sastry, S. Dynamic control of redundant manipulators. J. Robot. Syst. 1989, 6, 133–148. [Google Scholar]
- Woolfrey, J.; Lu, W.; Liu, D. A control method for joint torque minimization of redundant manipulators handling large external forces. J. Intell. Robot. Syst. 2019, 96, 3–16. [Google Scholar]
- Zhang, Y.; Guo, D.; Ma, S. Different-level simultaneous minimization of joint-velocity and joint-torque for redundant robot manipulators. J. Intell. Robot. Syst. 2013, 72, 301–323. [Google Scholar]


















Disclaimer/Publisher’s Note: The statements, opinions and data contained in all publications are solely those of the individual author(s) and contributor(s) and not of MDPI and/or the editor(s). MDPI and/or the editor(s) disclaim responsibility for any injury to people or property resulting from any ideas, methods, instructions or products referred to in the content. |
© 2024 by the authors. Licensee MDPI, Basel, Switzerland. This article is an open access article distributed under the terms and conditions of the Creative Commons Attribution (CC BY) license (https://creativecommons.org/licenses/by/4.0/).
Share and Cite
Haug, E.J.; De Sapio, V.; Peidro, A. Extended Operational Space Kinematics, Dynamics, and Control of Redundant Serial Robots. Robotics 2024, 13, 170. https://doi.org/10.3390/robotics13120170
Haug EJ, De Sapio V, Peidro A. Extended Operational Space Kinematics, Dynamics, and Control of Redundant Serial Robots. Robotics. 2024; 13(12):170. https://doi.org/10.3390/robotics13120170
Chicago/Turabian StyleHaug, Edward J., Vincent De Sapio, and Adrian Peidro. 2024. "Extended Operational Space Kinematics, Dynamics, and Control of Redundant Serial Robots" Robotics 13, no. 12: 170. https://doi.org/10.3390/robotics13120170
APA StyleHaug, E. J., De Sapio, V., & Peidro, A. (2024). Extended Operational Space Kinematics, Dynamics, and Control of Redundant Serial Robots. Robotics, 13(12), 170. https://doi.org/10.3390/robotics13120170

