Online Feet Potential Fields for Quadruped Robots Navigation in Harsh Terrains
Abstract
1. Introduction
2. Related Works
3. Dynamic Model
3.1. Model Formulation
3.2. Friction Cone
- Fixed contact if the ground reaction force is contained within the boundaries of the relative friction cone;
- Sliding contact if the ground reaction force is not contained within the boundaries of the relative friction cone.
4. System Architecture
4.1. Feet Potential Field
- The attractive potential: a potential field that pushes the robot towards the goal;
- The repulsive potential: a repulsive field that pushes the robot away from obstacles or other dangerous regions.
- The attractive potential bringing the i-th foot towards the goal ;
- The repulsive field that exploits the robustness index of the foot.
4.2. Exit from Local Minima
- and , then all the feet are situated within a single slipperiness region;
- and , then the left legs of the robot will be in an area with different levels of slipperiness compared to the right legs. This can result in the robot being stuck in a local minimum. If the right legs are in a more slippery region, the robot will be pushed to the left and then back to the right, remaining trapped in this repetitive movement. The applied strategy to overcome this situation is to move the feet either forward or backward (randomly chosen) until they are in the same region;
- and . This indicates that the front legs of the robot are situated in an area with a different level of slipperiness compared to the rear legs. In such a scenario, the robot becomes stuck in a local minimum. When the front legs are placed in a slipperier region, the robot tends to move backwards before moving forward again, creating a cycle. To overcome this situation, the employed exit strategy is to move the robot towards the right or left side (randomly chosen) until all its feet are in the same region. Afterwards, the robot can move forward without being trapped.
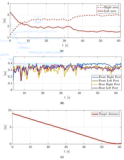
5. Case Study
5.1. Case Study 1
5.2. Case Study 2
5.3. Case Study 3
5.4. Case Study 4
6. Conclusions and Future Work
Author Contributions
Funding
Conflicts of Interest
References
- Ferreira, J.; Moreira, A.P.; Silva, M.; Santos, F. A survey on localization, mapping, and trajectory planning for quadruped robots in vineyards. In Proceedings of the 2022 IEEE International Conference on Autonomous Robot Systems and Competitions (ICARSC), Feira, Portugal, 29–30 April 2022; pp. 237–242. [Google Scholar] [CrossRef]
- Morlando, V.; Teimoorzadeh, A.; Ruggiero, F. Whole-body control with disturbance rejection through a momentum-based observer for quadruped robots. Mech. Mach. Theory 2021, 164, 104412. [Google Scholar] [CrossRef]
- Dudzik, T.; Chignoli, M.; Bledt, G.; Lim, B.; Miller, A.; Kim, D.; Kim, S. Robust Autonomous Navigation of a Small-Scale Quadruped Robot in Real-World Environments. In Proceedings of the 2020 IEEE/RSJ International Conference on Intelligent Robots and Systems (IROS), Las Vegas, ND, USA, 25–29 October 2020; pp. 3664–3671. [Google Scholar] [CrossRef]
- Hu, X.; He, F.; Xiao, P.; Wang, T.; Zhang, D.; Zhou, X.; Fan, Y. Design of a Quadruped inspection Robot Used in Substation. In Proceedings of the 2021 IEEE 4th Advanced Information Management, Communicates, Electronic and Automation Control Conference (IMCEC), Chongqing, China, 18–20 June 2021; Volume 4, pp. 766–769. [Google Scholar] [CrossRef]
- Chen, Z.; Fan, T.; Zhao, X.; Liang, J.; Shen, C.; Chen, H.; Manocha, D.; Pan, J.; Zhang, W. Autonomous Social Distancing in Urban Environments Using a Quadruped Robot. IEEE Access 2021, 9, 8392–8403. [Google Scholar] [CrossRef]
- Morlando, V.; Selvaggio, M.; Ruggiero, F. Nonprehensile Object Transportation with a Legged Manipulator. In Proceedings of the 2022 International Conference on Robotics and Automation (ICRA), Philadelphia, PA, USA, 23–27 May 2022; pp. 6628–6634. [Google Scholar] [CrossRef]
- Bogue, R. Robots in the offshore oil and gas industries: A review of recent developments. Ind. Robot. Int. J. Robot. Res. Appl. 2020, 47, 1–6. [Google Scholar] [CrossRef]
- Hutter, M.; Sommer, H.; Gehring, C.; Hoepflinger, M.; Bloesch, M.; Siegwart, R. Quadrupedal locomotion using hierarchical operational space control. Int. J. Robot. Res. 2014, 33, 1047–1062. [Google Scholar] [CrossRef]
- Xin, G.; Lin, H.C.; Smith, J.; Cebe, O.; Mistry, M. A Model-Based Hierarchical Controller for Legged Systems Subject to External Disturbances. In Proceedings of the 2018 IEEE International Conference on Robotics and Automation (ICRA), Brisbane, Australia, 21–25 May 2018; pp. 4375–4382. [Google Scholar] [CrossRef]
- Winkler, A.; Havoutis, I.; Bazeille, S.; Ortiz, J.; Focchi, M.; Dillmann, R.; Caldwell, D.; Semini, C. Path planning with force-based foothold adaptation and virtual model control for torque controlled quadruped robots. In Proceedings of the 2014 IEEE International Conference on Robotics and Automation (ICRA), Hong Kong, China, 31 May–7 June 2014; pp. 6476–6482. [Google Scholar] [CrossRef]
- Wermelinger, M.; Fankhauser, P.; Diethelm, R.; Krüsi, P.; Siegwart, R.; Hutter, M. Navigation planning for legged robots in challenging terrain. In Proceedings of the 2016 IEEE/RSJ International Conference on Intelligent Robots and Systems (IROS), Daejeon, Republic of Korea, 9–14 October 2016; pp. 1184–1189. [Google Scholar] [CrossRef]
- Papadakis, P. Terrain traversability analysis methods for unmanned ground vehicles: A survey. Eng. Appl. Artif. Intell. 2013, 26, 1373–1385. [Google Scholar] [CrossRef]
- Haddeler, G.; Chan, J.; You, Y.; Verma, S.; Adiwahono, A.H.; Meng Chew, C. Explore Bravely: Wheeled-Legged Robots Traverse in Unknown Rough Environment. In Proceedings of the 2020 IEEE/RSJ International Conference on Intelligent Robots and Systems (IROS), Las Vegas, ND, USA, 25–29 October 2020; pp. 7521–7526. [Google Scholar] [CrossRef]
- Ahtiainen, J.; Stoyanov, T.; Saarinen, J. Normal Distributions Transform Traversability Maps: LIDAR-Only Approach for Traversability Mapping in Outdoor Environments. J. Field Robot. 2017, 34, 600–621. [Google Scholar] [CrossRef]
- Haddeler, G.; Chuah, M.Y.M.; You, Y.; Chan, J.; Adiwahono, A.H.; Yau, W.Y.; Chew, C.M. Traversability analysis with vision and terrain probing for safe legged robot navigation. Front. Robot. AI 2022, 9, 887910. [Google Scholar] [CrossRef] [PubMed]
- Khatib, O. Real-time obstacle avoidance for manipulators and mobile robots. In Proceedings of the 1985 IEEE International Conference on Robotics and Automation, St. Louis, MO, USA, 25–28 March 1985; Volume 2, pp. 500–505. [Google Scholar] [CrossRef]
- Szczepanski, R.; Bereit, A.; Tarczewski, T. Efficient Local Path Planning Algorithm Using Artificial Potential Field Supported by Augmented Reality. Energies 2021, 14, 6642. [Google Scholar] [CrossRef]
- Wu, E.; Sun, Y.; Huang, J.; Zhang, C.; Li, Z. Multi UAV Cluster Control Method Based on Virtual Core in Improved Artificial Potential Field. IEEE Access 2020, 8, 131647–131661. [Google Scholar] [CrossRef]
- Huang, Y.; Ding, H.; Zhang, Y.; Wang, H.; Cao, D.; Xu, N.; Hu, C. A Motion Planning and Tracking Framework for Autonomous Vehicles Based on Artificial Potential Field Elaborated Resistance Network Approach. IEEE Trans. Ind. Electron. 2020, 67, 1376–1386. [Google Scholar] [CrossRef]
- Harik, E.H.C.; Korsaeth, A. Combining Hector SLAM and Artificial Potential Field for Autonomous Navigation Inside a Greenhouse. Robotics 2018, 7, 22. [Google Scholar] [CrossRef]
- Hongyu, H.; Chi, Z.; Yuhuan, S.; Bin, Z.; Fei, G. An Improved Artificial Potential Field Model Considering Vehicle Velocity for Autonomous Driving. IFAC-PapersOnLine 2018, 51, 863–867. [Google Scholar] [CrossRef]
- Cacace, J.; Finzi, A.; Lippiello, V. A mixed-initiative control system for an Aerial Service Vehicle supported by force feedback. In Proceedings of the 2014 IEEE/RSJ International Conference on Intelligent Robots and Systems, Chicago, IL, USA, 14–18 September 2014; pp. 1230–1235. [Google Scholar] [CrossRef]
- Cacace, J.; Finzi, A.; Lippiello, V. Enhancing Shared Control via Contact Force Classification in Human-Robot Cooperative Task Execution. In Human Friendly Robotics: 10th International Workshop; Ficuciello, F., Ruggiero, F., Finzi, A., Eds.; Springer International Publishing: Cham, Switzerland, 2019; pp. 167–179. [Google Scholar]
- Chilian, A.; Hirschmüller, H. Stereo camera based navigation of mobile robots on rough terrain. In Proceedings of the 2009 IEEE/RSJ International Conference on Intelligent Robots and Systems, St. Louis, MO, USA, 10–15 October 2009; pp. 4571–4576. [Google Scholar] [CrossRef]
- Henze, B.; Ott, C.; Roa, M. Posture and balance control for humanoid robots in multi-contact scenarios based on model predictive control. In Proceedings of the 2014 IEEE/RSJ International Conference on Intelligent Robots and Systems, Chicago, IL, USA, 14–18 September 2014; pp. 3253–3258. [Google Scholar]
- Ott, C.; Roa, M.A.; Hirzinger, G. Posture and balance control for biped robots based on contact force optimization. In Proceedings of the 2011 11th IEEE-RAS International Conference on Humanoid Robots, Bled, Slovenia, 26–28 October 2011; pp. 26–33. [Google Scholar]
- Fahmi, S.; Mastalli, C.; Focchi, M.; Semini, C. Passive whole-body control for quadruped robots: Experimental validation over challenging terrain. IEEE Robot. Autom. Lett. 2019, 4, 2553–2560. [Google Scholar] [CrossRef]
- Henze, B.; Roa, M.A.; Ott, C. Passivity-based whole-body balancing for torque-controlled humanoid robots in multi-contact scenarios. Int. J. Robot. Res. 2016, 35, 1522–1543. [Google Scholar] [CrossRef]
- Caron, S.; Pham, Q.C.; Nakamura, Y. Stability of surface contacts for humanoid robots: Closed-form formulae of the contact wrench cone for rectangular support areas. In Proceedings of the 2015 IEEE International Conference on Robotics and Automation (ICRA), Seattle, WA, USA, 26–30 May 2015; pp. 5107–5112. [Google Scholar]
- Murray, R.M.; Li, Z.; Sastry, S.S.; Sastry, S.S. A Mathematical Introduction to Robotic Manipulation; CRC Press: Boca Raton, FL, USA, 1994. [Google Scholar]
- Selvaggio, M.; Cacace, J.; Pacchierotti, C.; Ruggiero, F.; Giordano, P.R. A shared-control teleoperation architecture for nonprehensile object transportation. IEEE Trans. Robot. 2021, 38, 569–583. [Google Scholar] [CrossRef]
- Morlando, V.; Ruggiero, F. Disturbance rejection for legged robots through a hybrid observer. In Proceedings of the 2022 30th Mediterranean Conference on Control and Automation (MED), Athens, Greece, 28 June–1 July 2022; pp. 743–748. [Google Scholar]
- Marigold, D.S.; Patla, A.E. Strategies for dynamic stability during locomotion on a slippery surface: Effects of prior experience and knowledge. J. Neurophysiol. 2002, 88, 339–353. [Google Scholar] [CrossRef] [PubMed]
- Xu, P.; Ding, L.; Li, Z.; Yang, H.; Wang, Z.; Gao, H.; Zhou, R.; Su, Y.; Deng, Z.; Huang, Y. Learning physical characteristics like animals for legged robots. Natl. Sci. Rev. 2023, 10, nwad045. [Google Scholar] [CrossRef] [PubMed]
- Siciliano, B.; Sciavicco, L.; Villani, L.; Oriolo, G. Motion planning. Robotics: Modelling, Planning and Control; Springer: Berlin/Heidelberg, Germany, 2009; pp. 524–559. [Google Scholar]
- Holt, C.C. Forecasting seasonals and trends by exponentially weighted moving averages. Int. J. Forecast. 2004, 20, 5–10. [Google Scholar] [CrossRef]
- Lucas, J.M.; Saccucci, M.S. Exponentially weighted moving average control schemes: Properties and enhancements. Technometrics 1990, 32, 1–12. [Google Scholar] [CrossRef]
- Caselli, S.; Reggiani, M.; Rocchi, R. Heuristic methods for randomized path planning in potential fields. In Proceedings of the 2001 IEEE International Symposium on Computational Intelligence in Robotics and Automation (Cat. No. 01EX515), Banff, AB, Canada, 29 July–1 August 2001; pp. 426–431. [Google Scholar]
- Joseph, L.; Cacace, J. Mastering ROS for Robotics Programming—Second Edition: Design, Build, and Simulate Complex Robots Using the Robot Operating System, 2nd ed.; Packt Publishing: Birmingham, UK, 2018. [Google Scholar]












| Test Mode | Average Robustness Index | Standard Deviation |
|---|---|---|
| Repulsive field ON | 0.49 | 0.05 |
| Repulsive field OFF | 0.2 | 0.03 |
Disclaimer/Publisher’s Note: The statements, opinions and data contained in all publications are solely those of the individual author(s) and contributor(s) and not of MDPI and/or the editor(s). MDPI and/or the editor(s) disclaim responsibility for any injury to people or property resulting from any ideas, methods, instructions or products referred to in the content. |
© 2023 by the authors. Licensee MDPI, Basel, Switzerland. This article is an open access article distributed under the terms and conditions of the Creative Commons Attribution (CC BY) license (https://creativecommons.org/licenses/by/4.0/).
Share and Cite
Morlando, V.; Cacace, J.; Ruggiero, F. Online Feet Potential Fields for Quadruped Robots Navigation in Harsh Terrains. Robotics 2023, 12, 86. https://doi.org/10.3390/robotics12030086
Morlando V, Cacace J, Ruggiero F. Online Feet Potential Fields for Quadruped Robots Navigation in Harsh Terrains. Robotics. 2023; 12(3):86. https://doi.org/10.3390/robotics12030086
Chicago/Turabian StyleMorlando, Viviana, Jonathan Cacace, and Fabio Ruggiero. 2023. "Online Feet Potential Fields for Quadruped Robots Navigation in Harsh Terrains" Robotics 12, no. 3: 86. https://doi.org/10.3390/robotics12030086
APA StyleMorlando, V., Cacace, J., & Ruggiero, F. (2023). Online Feet Potential Fields for Quadruped Robots Navigation in Harsh Terrains. Robotics, 12(3), 86. https://doi.org/10.3390/robotics12030086

