Evaluating the Diagnostic Value of Lymphocyte Subsets in Bronchoalveolar Lavage Fluid and Peripheral Blood Across Various Diffuse Interstitial Lung Disease Subtypes
Abstract
1. Introduction
2. Materials and Methods
2.1. Study Participants
2.2. Quantification of Lymphocyte Frequency in BAL Fluid and Peripheral Blood
2.3. Statistical Analysis
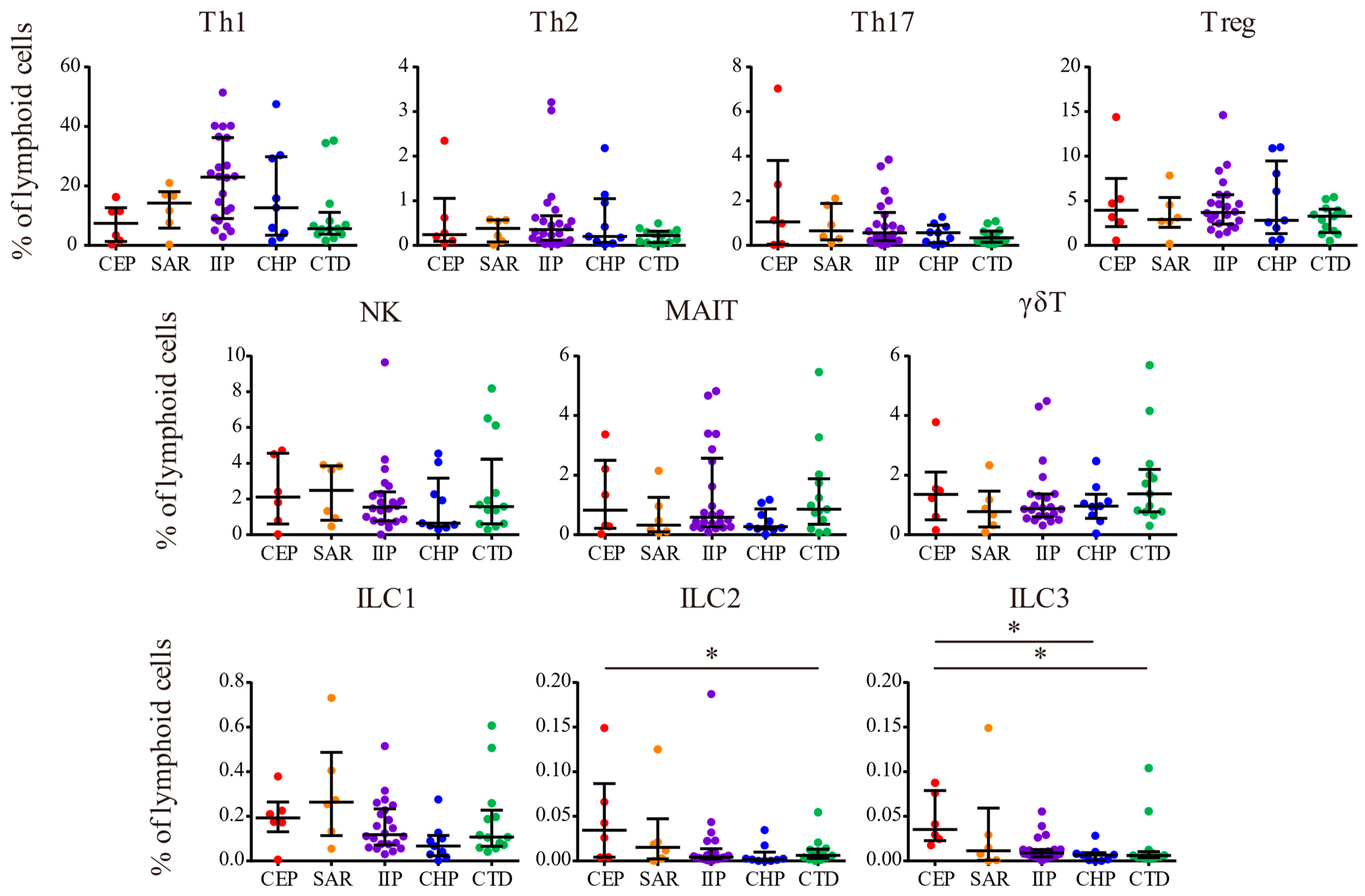
3. Results
3.1. Characteristics of Each ILD
3.2. Parameters for Predicting the Diagnosis of Each ILD Subtype
3.3. Correlation Between BAL WBC Subsets and Various Parameters
4. Discussion
5. Conclusions
Supplementary Materials
Author Contributions
Funding
Institutional Review Board Statement
Informed Consent Statement
Data Availability Statement
Conflicts of Interest
Abbreviations
References
- Behr, J. Approach to the diagnosis of interstitial lung disease. Clin. Chest Med. 2012, 33, 1–10. [Google Scholar] [CrossRef] [PubMed]
- Lo Re, S.; Lison, D.; Huaux, F. CD4+ T lymphocytes in lung fibrosis: Diverse subsets, diverse functions. J. Leukoc. Biol. 2013, 93, 499–510. [Google Scholar] [CrossRef] [PubMed]
- Papakosta, D.; Manika, K.; Gounari, E.; Kyriazis, G.; Kontakiotis, T.; Spyropoulos, G.; Kontakioti, E.; Zarogoulidis, K. Bronchoalveolar lavage fluid and blood natural killer and natural killer T-like cells in cryptogenic organizing pneumonia. Respirology 2014, 19, 748–754. [Google Scholar] [CrossRef]
- Bergantini, L.; d’Alessandro, M.; Cameli, P.; Otranto, A.; Finco, T.; Curatola, G.; Sestini, P.; Bargagli, E. Prognostic role of NK cell percentages in bronchoalveolar lavage from patients with different fibrotic interstitial lung diseases. Clin. Immunol. 2021, 230, 108827. [Google Scholar] [CrossRef] [PubMed]
- d’Alessandro, M.; Carleo, A.; Cameli, P.; Bergantini, L.; Perrone, A.; Vietri, L.; Lanzarone, N.; Vagaggini, C.; Sestini, P.; Bargagli, E. BAL biomarkers’ panel for differential diagnosis of interstitial lung diseases. Clin. Exp. Med. 2020, 20, 207–216. [Google Scholar] [CrossRef]
- Travis, W.D.; Costabel, U.; Hansell, D.M.; King, T.E., Jr.; Lynch, D.A.; Nicholson, A.G.; Ryerson, C.J.; Ryu, J.H.; Selman, M.; Wells, A.U.; et al. An official American Thoracic Society/European Respiratory Society statement: Update of the international multidisciplinary classification of the idiopathic interstitial pneumonias. Am. J. Respir. Crit. Care Med. 2013, 188, 733–748. [Google Scholar] [CrossRef]
- Borchers, A.T.; Chang, C.; Keen, C.L.; Gershwin, M.E. Idiopathic pulmonary fibrosis-an epidemiological and pathological review. Clin. Rev. Allergy Immunol. 2011, 40, 117–134. [Google Scholar] [CrossRef]
- Raghu, G.; Remy-Jardin, M.; Ryerson, C.J.; Myers, J.L.; Kreuter, M.; Vasakova, M.; Bargagli, E.; Chung, J.H.; Collins, B.F.; Bendstrup, E.; et al. Diagnosis of Hypersensitivity Pneumonitis in Adults. An Official ATS/JRS/ALAT Clinical Practice Guideline. Am. J. Respir. Crit. Care Med. 2020, 202, e36–e69. [Google Scholar] [CrossRef]
- Kaul, B.; Cottin, V.; Collard, H.R.; Valenzuela, C. Variability in Global Prevalence of Interstitial Lung Disease. Front. Med. 2021, 8, 751181. [Google Scholar] [CrossRef]
- Collins, J. CT signs and patterns of lung disease. Radiol. Clin. N. Am. 2001, 39, 1115–1135. [Google Scholar] [CrossRef]
- Meyer, K.C.; Raghu, G.; Baughman, R.P.; Brown, K.K.; Costabel, U.; du Bois, R.M.; Drent, M.; Haslam, P.L.; Kim, D.S.; Nagai, S.; et al. An official American Thoracic Society clinical practice guideline: The clinical utility of bronchoalveolar lavage cellular analysis in interstitial lung disease. Am. J. Respir. Crit. Care Med. 2012, 185, 1004–1014. [Google Scholar] [CrossRef] [PubMed]
- Meyer, K.C. The role of bronchoalveolar lavage in interstitial lung disease. Clin. Chest Med. 2004, 25, 637–649. [Google Scholar] [CrossRef] [PubMed]
- Shobha, V.; Fathima, S.; Prakash, R. Granulomatosis with polyangiitis: Clinical course and outcome of 60 patients from a single center in South India. Clin. Exp. Med. 2018, 18, 347–353. [Google Scholar] [CrossRef]
- Bergantini, L.; d’Alessandro, M.; De Vita, E.; Perillo, F.; Fossi, A.; Luzzi, L.; Paladini, P.; Perrone, A.; Rottoli, P.; Sestini, P.; et al. Regulatory and Effector Cell Disequilibrium in Patients with Acute Cellular Rejection and Chronic Lung Allograft Dysfunction after Lung Transplantation: Comparison of Peripheral and Alveolar Distribution. Cells 2021, 10, 780. [Google Scholar] [CrossRef] [PubMed]
- Cameli, P.; Carleo, A.; Bergantini, L.; Landi, C.; Prasse, A.; Bargagli, E. Oxidant/Antioxidant Disequilibrium in Idiopathic Pulmonary Fibrosis Pathogenesis. Inflammation 2020, 43, 1–7. [Google Scholar] [CrossRef]
- Rottoli, P.; Bargagli, E. Is bronchoalveolar lavage obsolete in the diagnosis of interstitial lung disease? Curr. Opin. Pulm. Med. 2003, 9, 418–425. [Google Scholar] [CrossRef]
- d’Alessandro, M.; Bergantini, L.; Cameli, P.; Lanzarone, N.; Perillo, F.; Perrone, A.; Bargagli, E. BAL and serum multiplex lipid profiling in idiopathic pulmonary fibrosis and fibrotic hypersensitivity pneumonitis. Life Sci. 2020, 256, 117995. [Google Scholar] [CrossRef]
- Frye, B.C.; Schupp, J.C.; Rothe, M.E.; Kohler, T.C.; Prasse, A.; Zissel, G.; Vach, W.; Muller-Quernheim, J. The value of bronchoalveolar lavage for discrimination between healthy and diseased individuals. J. Intern. Med. 2020, 287, 54–65. [Google Scholar] [CrossRef]
- Costabel, U.; Bonella, F.; Ohshimo, S.; Guzman, J. Diagnostic modalities in sarcoidosis: BAL, EBUS, and PET. Semin. Respir. Crit. Care Med. 2010, 31, 404–408. [Google Scholar] [CrossRef]
- Iannuzzi, M.C.; Rybicki, B.A.; Teirstein, A.S. Sarcoidosis. N. Engl. J. Med. 2007, 357, 2153–2165. [Google Scholar] [CrossRef]
- Adderley, N.; Humphreys, C.J.; Barnes, H.; Ley, B.; Premji, Z.A.; Johannson, K.A. Bronchoalveolar lavage fluid lymphocytosis in chronic hypersensitivity pneumonitis: A systematic review and meta-analysis. Eur. Respir. J. 2020, 56, 2000206. [Google Scholar] [CrossRef]
- Spits, H.; Artis, D.; Colonna, M.; Diefenbach, A.; Di Santo, J.P.; Eberl, G.; Koyasu, S.; Locksley, R.M.; McKenzie, A.N.; Mebius, R.E.; et al. Innate lymphoid cells—A proposal for uniform nomenclature. Nat. Rev. Immunol. 2013, 13, 145–149. [Google Scholar] [CrossRef] [PubMed]
- Lu, H.; Li, D.J.; Jin, L.P. gammadeltaT Cells and Related Diseases. Am. J. Reprod. Immunol. 2016, 75, 609–618. [Google Scholar] [CrossRef] [PubMed]
- Wen, X.; Zhang, X.; Nian, S.; Wei, G.; Guo, X.; Yu, H.; Xie, X.; Ye, Y.; Yuan, Q. Title of article: Mucosal-associated invariant T cells in lung diseases. Int. Immunopharmacol. 2021, 94, 107485. [Google Scholar] [CrossRef] [PubMed]
- Nakamura, Y.; Sugino, K.; Kitani, M.; Hebisawa, A.; Tochigi, N.; Homma, S. Clinico-radio-pathological characteristics of unclassifiable idiopathic interstitial pneumonias. Respir. Investig. 2018, 56, 40–47. [Google Scholar] [CrossRef]
- Crouser, E.D.; Maier, L.A.; Wilson, K.C.; Bonham, C.A.; Morgenthau, A.S.; Patterson, K.C.; Abston, E.; Bernstein, R.C.; Blankstein, R.; Chen, E.S.; et al. Diagnosis and Detection of Sarcoidosis. An Official American Thoracic Society Clinical Practice Guideline. Am. J. Respir. Crit. Care Med. 2020, 201, e26–e51. [Google Scholar] [CrossRef]
- Mochizuki, Y.; Kobashi, Y.; Nakahara, Y.; Tanaka, A.; Kawamura, T.; Sasaki, S.; Kawanami, R. Chronic eosinophilic pneumonia—A follow-up study of 12 cases. Nihon Kokyuki Gakkai Zasshi 2002, 40, 851–855. [Google Scholar]
- Sasano, H.; Harada, N.; Harada, S.; Takeshige, T.; Sandhu, Y.; Tanabe, Y.; Ishimori, A.; Matsuno, K.; Nagaoka, T.; Ito, J.; et al. Pretreatment circulating MAIT cells, neutrophils, and periostin predicted the real-world response after 1-year mepolizumab treatment in asthmatics. Allergol. Int. 2024, 73, 94–106. [Google Scholar] [CrossRef]
- Akdis, C.A.; Arkwright, P.D.; Bruggen, M.C.; Busse, W.; Gadina, M.; Guttman-Yassky, E.; Kabashima, K.; Mitamura, Y.; Vian, L.; Wu, J.; et al. Type 2 immunity in the skin and lungs. Allergy 2020, 75, 1582–1605. [Google Scholar] [CrossRef]
- Harada, N.; Ito, J.; Takahashi, K. Clinical effects and immune modulation of biologics in asthma. Respir. Investig. 2021, 59, 389–396. [Google Scholar] [CrossRef]
- Kim, H.Y.; Lee, H.J.; Chang, Y.J.; Pichavant, M.; Shore, S.A.; Fitzgerald, K.A.; Iwakura, Y.; Israel, E.; Bolger, K.; Faul, J.; et al. Interleukin-17-producing innate lymphoid cells and the NLRP3 inflammasome facilitate obesity-associated airway hyperreactivity. Nat. Med. 2014, 20, 54–61. [Google Scholar] [CrossRef] [PubMed]
- Everaere, L.; Ait-Yahia, S.; Molendi-Coste, O.; Vorng, H.; Quemener, S.; LeVu, P.; Fleury, S.; Bouchaert, E.; Fan, Y.; Duez, C.; et al. Innate lymphoid cells contribute to allergic airway disease exacerbation by obesity. J. Allergy Clin. Immunol. 2016, 138, 1309–1318.e1311. [Google Scholar] [CrossRef] [PubMed]
- Ishimori, A.; Harada, N.; Chiba, A.; Harada, S.; Matsuno, K.; Makino, F.; Ito, J.; Ohta, S.; Ono, J.; Atsuta, R.; et al. Circulating activated innate lymphoid cells and mucosal-associated invariant T cells are associated with airflow limitation in patients with asthma. Allergol. Int. 2017, 66, 302–309. [Google Scholar] [CrossRef] [PubMed]
- Campos, L.E.; Pereira, L.F. Pulmonary eosinophilia. J. Bras. Pneumol. 2009, 35, 561–573. [Google Scholar] [CrossRef] [PubMed]
- Hong, G.; Lee, K.J.; Jeon, K.; Koh, W.J.; Suh, G.Y.; Chung, M.P.; Kim, H.; Kwon, O.J.; Han, J.; Um, S.W. Usefulness of endobronchial ultrasound-guided transbronchial needle aspiration for diagnosis of sarcoidosis. Yonsei Med. J. 2013, 54, 1416–1421. [Google Scholar] [CrossRef][Green Version]
- Cho, I.; Ji, A.L. Type 1 innate lymphoid cells: A biomarker and therapeutic candidate in sarcoidosis. J. Clin. Investig. 2024, 134, e183708. [Google Scholar] [CrossRef]



| CEP | SAR | IIP | CHP | CTD | p Value | |
|---|---|---|---|---|---|---|
| n = 6 | n = 6 | n = 22 | n = 9 | n = 13 | ||
| Age (years) | 66.0 (57.5–75.8) | 54.5 (51.8–70.8) | 74.5 (67.8–77.3) | 70.0 (67.0–76.0) | 72.0 (61.0–77.0) | 0.17 |
| Male, n (%) | 2 (33.3) | 4 (66.7) | 17 (77.3) | 5 (55.6) | 1 (7.7) | <0.001 * |
| BMI (kg/m2) | 20.6 (17.7–23.9) | 23.3 (21.8–27.5) | 25.5 (23.4–26.9) | 23.0 (21.2–26.6) | 21.4 (19.8–24.7) | 0.045 * |
| Former smoker, n (%) | 3 (50.0) | 3 (50.0) | 16 (72.7) | 6 (66.7) | 3 (23.1) | 0.06 |
| Bronchial asthma, n (%) | 2 (33.3) | 0 (0.0) | 0 (0.0) | 0 (0.0) | 0 (0.0) | 0.02 * |
| Allergic disease, n (%) | 4 (66.6) | 0 (0.0) | 4 (18.2) | 0 (0.0) | 0 (0.0) | 0.003 * |
| Systemic steroid use, n (%) | 1 (16.7) | 0 (0.0) | 0 (0.0) | 1 (11.1) | 2 (15.4) | 0.18 |
| Immunosuppressant use, n (%) | 0 (0.0) | 0 (0.0) | 0 (0.0) | 0 (0.0) | 2 (15.4) | 0.28 |
| Antifibrotic agent use, n (%) | 0 (0.0) | 0 (0.0) | 3 (13.6) | 2 (22.2) | 0 (0.0) | 0.34 |
| VC (% predicted), n = 50 | 85.8 (71.3–99.7) | 77.4 (59.6–110.8) | 77.9 (63.2–86.9) | 81.7 (58.9–86.8) | 73.0 (59.9–90.6) | 0.65 |
| FVC (% predicted), n = 50 | 83.3 (72.5–101.7) | 75.6 (61.0–106.7) | 78.1 (60.1–87.3) | 83.5 (60.2–86.9) | 70.9 (58.1–87.5) | 0.61 |
| FEV1 (% predicted), n = 50 | 80.1 (59.1–96.4) | 71.6 (56.1–100.1) | 78.1 (66.4–85.2) | 80.6 (63.5–93.7) | 75.0 (65.6–93.5) | 0.95 |
| FEV1%, n = 50 | 74.4 (55.4–76.9) | 79.7 (77.2–80.3) | 83.2 (77.7–87.1) | 85.9 (78.5–88.3) | 85.4 (78.1–93.1) | 0.01 * |
| DLco (% predicted), n = 45 | 44.7 (33.9–74.8) | 56.6 (49.1–84.5) | 34.5 (24.5–40.6) | 34.2 (30.2–42.2) | 42.3 (29.9–63.5) | 0.10 |
| DLco/VA (% predicted), n = 44 | 59.5 (44.4–79.4) | 92.9 (71.8–117.7) | 66.0 (54.0–76.2) | 67.6 (48.7–84.6) | 71.2 (58.9–83.5) | 0.24 |
| Serum LD (U/L) | 242 (186–355) | 187 (166–231) | 234 (213–251) | 245 (214–269) | 258 (217–300) | 0.16 |
| Serum KL–6 (U/mL), n = 53 | 307 (253–787) | 200 (163–1461) | 1155 (679–1766) | 2081 (788–4126) | 1344 (775–2049) | 0.01 * |
| Serum SP–D (ng/mL), n = 43 | 161 (70.6–213) | NA | 215 (144–354) | 458 (266–784) | 171 (132–232) | 0.007 *a |
| Serum CRP (mg/dL) | 3.53 (1.74–6.39) | 0.10 (0.10–0.24) | 0.30 (0.10–0.53) | 0.40 (0.15–1.0) | 0.25 (0.10–1.34) | 0.009 * |
| Peripheral WBC (cells/μL) | 10,905 (9025–16,610) | 6800 (5095–8000) | 5500 (4975–7150) | 6300 (5650–8450) | 6500 (5745–7300) | 0.048 * |
| Peripheral lymphocytes (%) | 13.6 (8.6–15.3) | 25.8 (15.7–33.6) | 28.8 (23.2–33.2) | 27.4 (19.1–34.4) | 28.5 (19.0–33.8) | 0.01 * |
| Peripheral lymphocytes (cells/μL) | 1442 (1204–1587) | 1500 (1157–2167) | 1574 (1366–1970) | 1690 (1372–2061) | 1700 (1174–2113) | 0.66 |
| Peripheral neutrophils (%) | 55.9 (24.9–63.2) | 59.5 (52.1–74.3) | 62.9 (56.4–67.4) | 62.9 (55.9–70.9) | 61.1 (53.9–71.4) | 0.59 |
| Peripheral neutrophils (cells/μL) | 6119 (2690–7556) | 3869 (2646–5418) | 3487 (2638–4917) | 3755 (3461–5990) | 3972 (3039–5155) | 0.53 |
| Peripheral eosinophils (%) | 25.8 (16.8–57.0) | 3.2 (2.0–6.3) | 3.3 (1.5–3.9) | 4.0 (2.8–6.0) | 4.0 (1.7–6.8) | 0.001 * |
| Peripheral eosinophils (cells/μL) | 2973 (1417–8281) | 160 (124–447) | 176 (93.8–279.3) | 244 (226–391) | 240 (121–470) | <0.001 * |
| BAL fluid recovery (%) | 50.5 (44.3–61.2) | 71.4 (57.8–74.8) | 55.0 (46.6–70.8) | 64.0 (57.3–68.3) | 61.3 (48.3–76.3) | 0.22 |
| BAL total cell count (×105 cells/mL) | 4.55 (2.08–14.5) | 1.30 (0.75–3.40) | 2.50 (1.80–3.68) | 1.70 (0.95–3.55) | 1.80 (1.35–4.05) | 0.26 |
| BAL macrophages (%) | 41.5 (18.8–59.5) | 77.5 (59.0–92.5) | 82.0 (68.8–90.3) | 76.0 (66.0–94.0) | 68.0 (33.5–84.5) | 0.04 * |
| BAL macrophages (×105 cells/mL) | 1.45 (0.98–2.31) | 1.23 (0.60–1.73) | 1.99 (1.41–2.63) | 1.16 (0.65–1.95) | 1.19 (0.83–1.84) | 0.24 |
| BAL lymphocytes (%) | 5.5 (2.0–24.3) | 17.5 (5.3–39.0) | 13.5 (5.5–27.8) | 10.0 (4.0–24.0) | 12.0 (6.0–58.5) | 0.56 |
| BAL lymphocytes (×105 cells/mL) | 0.58 (0.05–0.92) | 0.12 (0.06–1.58) | 0.30 (0.12–0.73) | 0.22 (0.04–0.67) | 0.17 (0.09–1.80) | 0.88 |
| BAL neutrophils (%) | 2.5 (0.75–5.0) | 1.5 (0.75–2.25) | 1.0 (0.0–2.25) | 2.0 (0.0–4.5) | 3.0 (2.0–12.0) | 0.13 |
| BAL neutrophils (×105 cells/mL) | 0.11 (0.01–0.16) | 0.02 (0.01–0.04) | 0.04 (0.00–0.05) | 0.04 (0.00–0.13) | 0.06 (0.04–0.25) | 0.06 |
| BAL eosinophils (%) | 46.0 (17.8–62.0) | 0.5 (0.0–1.0) | 1.0 (0.0–2.0) | 1.0 (0.0–5.0) | 4.0 (0.5–8.5) | <0.001 * |
| BAL eosinophils (×105 cells/mL) | 2.16 (0.41–10.8) | 0.00 (0.00–0.03) | 0.03 (0.00–0.06) | 0.01 (0.00–0.25) | 0.06 (0.01–0.13) | 0.002 * |
| BAL CD4 (%) | 41.7(23.2–45.9) | 72.5 (65.3–85.4) | 59.4 (46.4–77.3) | 57.9 (24.5–73.0) | 33.0 (19.7–46.9) | <0.001 * |
| BAL CD8 (%) | 27.9 (18.2–34.6) | 10.8 (6.68–16.3) | 25.1 (14.6–29.1) | 22.5(14.5–59.6) | 48.7 (32.4–69.0) | <0.001 * |
| BAL CD4/CD8 ratio | 1.47 (0.82–1.83) | 6.66 (4.09–13.4) | 2.24 (1.65–4.61) | 2.57 (0.41–5.06) | 0.57 (0.28–1.19) | <0.001 * |
| BAL Th1 cells (% of lymphocytes) | 7.41 (1.32–12.7) | 14.2 (5.8–18.1) | 23.0 (9.0–36.3) | 12.7 (3.4–29.9) | 5.6 (3.8–11.1) | 0.03 * |
| BAL Th2 cells (% of lymphocytes) | 0.24 (0.09–1.05) | 0.38 (0.08–0.57) | 0.36 (0.12–0.66) | 0.20 (0.07–1.05) | 0.22 (0.07–0.32) | 0.58 |
| BAL Th17 cells (% of lymphocytes) | 1.06 (0.05–3.81) | 0.66 (0.25–1.89) | 0.57 (0.22–1.48) | 0.57 (0.12–0.91) | 0.34 (0.14–0.65) | 0.48 |
| BAL Treg cells (% of lymphocytes) | 3.9 (2.1–7.5) | 2.9 (2.0–5.4) | 3.7 (2.4–5.7) | 2.8 (1.3–9.5) | 3.3 (1.4–4.1) | 0.70 |
| BAL NK cells (% of lymphocytes) | 2.11 (0.60–4.55) | 2.49 (0.81–3.87) | 1.55 (0.78–2.41) | 0.64 (0.46–3.17) | 1.58 (0.61–4.23) | 0.88 |
| BAL MAIT cells (% of lymphocytes) | 0.83 (0.22–2.50) | 0.32 (0.10–1.26) | 0.59 (0.27–2.57) | 0.27 (0.19–0.87) | 0.86 (0.35–1.89) | 0.32 |
| BAL γδT cells (% of lymphocytes) | 1.36 (0.50–2.11) | 0.78 (0.26–1.47) | 0.88 (0.60–1.37) | 0.96 (0.55–1.36) | 1.38 (0.77–2.20) | 0.58 |
| BAL ILC1 cells (% of lymphocytes) | 0.19 (0.13–0.26) | 0.26 (0.11–0.49) | 0.12 (0.07–0.24) | 0.07 (0.02–0.11) | 0.11 (0.07–0.23) | 0.09 |
| BAL ILC2 cells (% of lymphocytes) | 0.03 (0.00–0.09) | 0.02 (0.00–0.05) | 0.00 (0.00–0.01) | 0.00 (0.00–0.01) | 0.01 (0.00–0.01) | 0.046 * |
| BAL ILC3 cells (% of lymphocytes) | 0.04 (0.02–0.08) | 0.01 (0.00–0.06) | 0.01 (0.00–0.01) | 0.01 (0.00–0.01) | 0.01 (0.00–0.01) | 0.01 * |
| Peripheral Th1 cells (% of lymphocytes) | NA | 7.8 (4.7–9.0) | 7.8 (6.1–10.2) | 6.9 (5.9–9.8) | 4.4 (2.7–5.6) | 0.003 *b |
| Peripheral Th2 cells (% of lymphocytes) | NA | 3.0 (1.6–4.0) | 2.0 (1.1–2.9) | 2.0 (1.9–2.6) | 1.9 (1.2–2.8) | 0.61 b |
| Peripheral Th17 cells (% of lymphocytes) | NA | 1.7 (1.0–3.0) | 1.8 (1.1–2.1) | 2.3 (1.3–2.5) | 0.99 (0.54–1.2) | 0.001 *b |
| Peripheral Treg cells (% of lymphocytes) | NA | 1.7 (0.92–2.5) | 2.0 (1.6–2.8) | 3.3 (1.7–4.7) | 1.0 (0.75–2.1) | 0.01 *b |
| Peripheral NK cells (% of lymphocytes) | NA | 13.4 (3.8–25.5) | 17.4 (12.4–24.5) | 17.9 (11.7–24.3) | 17.1 (11.3–32.0) | 0.84 b |
| Peripheral MAIT cells (% of lymphocytes) | NA | 0.23 (0.14–0.45) | 0.32 (0.15–0.69) | 0.30 (0.11–0.61) | 0.13 (0.08–1.3) | 0.81 b |
| Peripheral γδT cells (% of lymphocytes) | NA | 4.7 (0.85–7.0) | 2.7 (1.4–5.0) | 3.1 (1.1–3.8) | 2.9 (1.6–4.7) | 0.96 b |
| Peripheral ILC1 cells (% of lymphocytes) | NA | 0.04 (0.03–0.05) | 0.03 (0.02–0.05) | 0.02 (0.01–0.12) | 0.04 (0.01–0.06) | 0.90 b |
| Peripheral ILC2 cells (% of lymphocytes) | NA | 0.01 (0.01–0.02) | 0.01 (0.00–0.02) | 0.01 (0.01 –0.01) | 0.01 (0.01–0.05) | 0.76 b |
| Peripheral ILC3 cells (% of lymphocytes) | NA | 0.00 (0.00–0.02) | 0.01 (0.00–0.01) | 0.00 (0.00–0.01) | 0.00 (0.00–0.01) | 0.52 b |
| CEP vs. the Others | SAR vs. the Others | IIP vs. the Others | CHP vs. the Others | CTD vs. the Others | |||||||||||
|---|---|---|---|---|---|---|---|---|---|---|---|---|---|---|---|
| AUC | p Value | Cutoff Value | AUC | p Value | Cutoff Value | AUC | p Value | Cutoff Value | AUC | p Value | Cutoff Value | AUC | p Value | Cutoff Value | |
| Serum LD (U/L) | 0.55 | 0.66 | 0.78 | 0.07 | 0.54 | 0.26 | 0.43 | 1.00 | 0.63 | 0.07 | |||||
| Serum KL-6 (U/mL), n = 53 | 0.85 | 0.047 * | ≤577 | 0.79 | 0.21 | 0.48 | 0.51 | 0.70 | 0.04 * | ≥2081 | 0.60 | 0.85 | |||
| Serum SP-D (ng/mL), n = 43 | 0.72 | 0.25 | NA | 0.51 | 0.51 | 0.87 | 0.009 * | ≥261 | 0.65 | 0.12 | |||||
| Serum CRP (mg/dL) | 0.9 | 0.005 * | ≥2.2 | 0.75 | 0.17 | 0.58 | 0.52 | 0.50 | 0.43 | 0.47 | 0.50 | ||||
| Peripheral WBC (cells/μL) | 0.85 | 0.007 * | ≥10,400 | 0.49 | 0.77 | 0.67 | 0.07 | 0.46 | 0.94 | 0.50 | 0.36 | ||||
| Peripheral lymphocytes (%) | 0.94 | 0.01 * | ≤17.9 | 0.52 | 0.91 | 0.64 | 0.07 | 0.52 | 0.80 | 0.55 | 0.65 | ||||
| Peripheral lymphocytes (cells/μL) | 0.68 | 0.19 | 0.52 | 0.91 | 0.52 | 0.57 | 0.58 | 0.55 | 0.49 | 0.91 | |||||
| Peripheral neutrophils (%) | 0.71 | 0.02 * | ≤25.0 | 0.51 | 0.81 | 0.55 | 0.56 | 0.55 | 0.63 | 0.51 | 0.46 | ||||
| Peripheral neutrophils (cells/μL) | 0.68 | 0.046 * | ≥5789 | 0.50 | 0.97 | 0.61 | 0.15 | 0.55 | 0.58 | 0.50 | 0.70 | ||||
| Peripheral eosinophils (%) | unstable | 0.57 | 0.49 | 0.68 | 0.07 | 0.46 | 0.47 | 0.52 | 0.39 | ||||||
| Peripheral eosinophils (cells/μL) | unstable | 0.57 | 0.56 | 0.70 | 0.06 | 0.42 | 0.54 | 0.52 | 0.45 | ||||||
| BAL total cell count (cells/mL) | 0.71 | 0.11 | 0.66 | 0.31 | 0.44 | 0.43 | 0.61 | 0.55 | 0.52 | 0.80 | |||||
| BAL macrophages (%) | 0.81 | 0.02 * | ≤51.0 | 0.57 | 0.46 | 0.64 | 0.06 | 0.60 | 0.45 | 0.64 | 0.13 | ||||
| BAL macrophages (×105 cells/mL) | 0.50 | 0.90 | 0.63 | 0.35 | 0.68 | 0.04 * | ≥1.5 | 0.62 | 0.28 | 0.58 | 0.34 | ||||
| BAL lymphocytes (%) | 0.68 | 0.26 | 0.53 | 0.98 | 0.49 | 0.78 | 0.55 | 0.76 | 0.61 | 0.16 | |||||
| BAL lymphocytes (cells/mL) | 0.48 | 0.66 | 0.57 | 0.68 | 0.47 | 0.45 | 0.40 | 0.83 | 0.55 | 0.21 | |||||
| BAL neutrophils (%) | 0.43 | 0.80 | 0.58 | 0.39 | 0.65 | 0.11 | 0.50 | 0.93 | 0.71 | 0.02 * | ≥2.0 | ||||
| BAL neutrophils (cells/mL) | 0.63 | 0.52 | 0.68 | 0.19 | 0.63 | 0.05 | 0.47 | 0.50 | 0.72 | 0.03 * | ≥4200 | ||||
| BAL eosinophils (%) | 0.98 | 0.009 * | ≥8.00 | 0.75 | 0.15 | 0.65 | 0.08 | 0.57 | 0.49 | 0.38 | 0.71 | ||||
| BAL eosinophils (×105 cells/mL) | 0.95 | 0.01 * | ≥0.525 | 0.72 | 0.19 | 0.63 | 0.14 | 0.54 | 0.59 | 0.43 | 0.69 | ||||
| BAL CD4 (%) | 0.74 | 0.10 | 0.84 | 0.03 * | ≥65.2 | 0.67 | 0.03 * | ≥39.5 | 0.51 | 0.87 | 0.77 | 0.006 * | ≤40.1 | ||
| BAL CD8 (%) | 0.48 | 0.66 | 0.90 | 0.02 * | ≤17.7 | 0.60 | 0.1 | 0.52 | 0.54 | 0.83 | 0.002 * | ≥29.4 | |||
| BAL CD4/CD8 ratio | 0.65 | 0.19 | 0.90 | 0.009 * | ≥3.95 | 0.64 | 0.61 | 0.50 | 0.72 | 0.81 | 0.03 * | ≤1.2 | |||
| BAL Th1 cells (% of lymphocytes) | 0.72 | 0.14 | 0.53 | 0.51 | 0.74 | 0.009 * | ≥17.4 | 0.49 | 0.84 | 0.68 | 0.10 | ||||
| BAL Th2 cells (% of lymphocytes) | 0.53 | 0.67 | 0.50 | 0.58 | 0.59 | 0.25 | 0.51 | 0.66 | 0.65 | 0.11 | |||||
| BAL Th17 cells (% of lymphocytes) | 0.61 | 0.06 | 0.57 | 0.91 | 0.57 | 0.59 | 0.57 | 0.34 | 0.64 | 0.10 | |||||
| BAL Treg cells (% of lymphocytes) | 0.55 | 0.45 | 0.57 | 0.57 | 0.58 | 0.51 | 0.52 | 0.43 | 0.61 | 0.13 | |||||
| BAL NK cells (% of lymphocytes) | 0.57 | 0.78 | 0.55 | 0.8 | 0.50 | 0.66 | 0.60 | 0.45 | 0.51 | 0.43 | |||||
| BAL MAIT cells (% of lymphocytes) | 0.53 | 0.81 | 0.65 | 0.37 | 0.57 | 0.32 | 0.67 | 0.15 | 0.59 | 0.44 | |||||
| BAL γδT cells (% of lymphocytes) | 0.55 | 0.78 | 0.63 | 0.35 | 0.54 | 0.74 | 0.54 | 0.39 | 0.63 | 0.12 | |||||
| BAL ILC1 cells (% of lymphocytes) | 0.61 | 0.70 | 0.73 | 0.04 * | ≥0.254 | 0.50 | 0.56 | 0.75 | 0.06 | 0.50 | 0.74 | ||||
| BAL ILC2 cells (% of lymphocytes) | 0.78 | 0.06 | 0.60 | 0.43 | 0.53 | 0.77 | 0.74 | 0.31 | 0.47 | 0.41 | |||||
| BAL ILC3 cells (% of lymphocytes) | 0.9 | 0.04 * | ≥0.0176 | 0.53 | 0.2 | 0.48 | 0.24 | 0.70 | 0.20 | 0.60 | 0.80 | ||||
| IIP vs the Others | CHP vs the Others | CTD vs the Others | |||||||
|---|---|---|---|---|---|---|---|---|---|
| % of Lymphocytes | AUC | p Value | Cutoff Value | AUC | p Value | Cutoff Value | AUC | p Value | Cutoff Value |
| Th1 cells | 0.73 | 0.02 * | ≥5.46 | 0.6 | 0.51 | 0.86 | 0.003 * | ≤5.69 | |
| Th2 cells | 0.49 | 0.49 | 0.44 | 0.88 | 0.53 | 0.53 | |||
| Th17 cells | 0.62 | 0.16 | 0.76 | 0.07 | 0.85 | 0.003 * | ≤1.62 | ||
| Treg cells | 0.58 | 0.55 | 0.73 | 0.03 * | ≥3.27 | 0.78 | 0.02 * | ≤1.27 | |
| NK cells | 0.49 | 0.98 | 0.51 | 0.56 | 0.52 | 0.62 | |||
| MAIT cells | 0.43 | 0.45 | 0.53 | 0.54 | 0.43 | 0.20 | |||
| γδT cells | 0.51 | 0.49 | 0.55 | 0.4 | 0.53 | 0.96 | |||
| ILC1 cells | 0.48 | 0.3 | 0.5 | 0.26 | 0.47 | 0.89 | |||
| ILC2 cells | 0.54 | 0.16 | 0.56 | 0.36 | 0.59 | 0.048 * | ≥0.026 | ||
| ILC3 cells | 0.63 | 0.17 | 0.58 | 0.68 | 0.58 | 0.24 | |||
| BAL Lymphocytes (%) | BAL Lymphocytes (×105 cells/mL) | BAL Neutrophils (%) | BAL Neutrophils (×105 cells/mL) | BAL Eosinophils (%) | BAL Eosinophils (×105 cells/mL) | BAL CD4 (%) | BAL CD8 (%) | |||||||||
|---|---|---|---|---|---|---|---|---|---|---|---|---|---|---|---|---|
| n = 56 | rs | p Value | rs | p Value | rs | p Value | rs | p Value | rs | p Value | rs | p Value | rs | p Value | rs | p Value |
| Age (years) | 0.09 | 0.53 | 0.07 | 0.62 | 0.04 | 0.75 | 0.12 | 0.36 | −0.15 | 0.26 | −0.13 | 0.35 | 0.16 | 0.25 | −0.07 | 0.62 |
| BMI (kg/m2) | 0.21 | 0.13 | 0.26 | 0.06 | 0.01 | 0.92 | 0.10 | 0.46 | −0.08 | 0.57 | 0.00 | 0.98 | 0.14 | 0.31 | −0.03 | 0.83 |
| VC (% predicted), n = 50 | 0.18 | 0.21 | 0.08 | 0.57 | 0.00 | 0.99 | −0.06 | 0.68 | 0.08 | 0.59 | 0.00 | 0.98 | 0.08 | 0.59 | −0.12 | 0.40 |
| FVC (% predicted), n = 50 | 0.18 | 0.20 | 0.07 | 0.62 | −0.03 | 0.84 | −0.10 | 0.47 | 0.06 | 0.70 | 0.00 | 0.97 | 0.10 | 0.49 | −0.15 | 0.28 |
| FEV1 (% predicted), n = 50 | 0.12 | 0.39 | 0.04 | 0.79 | 0.01 | 0.93 | 0.00 | 0.97 | −0.01 | 0.97 | −0.06 | 0.66 | 0.10 | 0.47 | −0.06 | 0.68 |
| FEV1%, n = 50 | −0.24 | 0.10 | −0.20 | 0.16 | −0.03 | 0.81 | −0.02 | 0.87 | −0.32 | 0.02 * | −0.32 | 0.02 * | 0.02 | 0.90 | 0.07 | 0.63 |
| DLco (% predicted), n = 45 | 0.38 | 0.01 * | 0.25 | 0.10 | 0.00 | 0.98 | −0.07 | 0.64 | 0.17 | 0.28 | 0.10 | 0.49 | 0.09 | 0.56 | 0.02 | 0.88 |
| DLco/ VA (% predicted), n = 44 | 0.25 | 0.10 | 0.15 | 0.35 | 0.00 | 0.98 | −0.04 | 0.78 | −0.07 | 0.65 | −0.06 | 0.71 | 0.22 | 0.15 | −0.04 | 0.79 |
| Serum LD (U/L) | 0.11 | 0.42 | 0.25 | 0.06 | 0.16 | 0.25 | 0.24 | 0.08 | 0.07 | 0.63 | 0.08 | 0.56 | −0.14 | 0.29 | 0.16 | 0.23 |
| Serum KL-6 (U/mL), n = 53 | 0.36 | 0.008 * | 0.30 | 0.03 * | 0.12 | 0.38 | 0.18 | 0.20 | 0.00 | 0.97 | 0.04 | 0.76 | 0.17 | 0.23 | −0.02 | 0.87 |
| Serum SP-D (ng/mL), n = 43 | 0.08 | 0.61 | 0.09 | 0.59 | −0.04 | 0.80 | −0.01 | 0.96 | −0.16 | 0.32 | −0.07 | 0.67 | −0.02 | 0.89 | 0.03 | 0.86 |
| Serum CRP (mg/dL) | −0.19 | 0.15 | 0.00 | 1.00 | 0.15 | 0.27 | 0.31 | 0.02 * | 0.50 | <0.001 * | 0.48 | <0.001 * | −0.28 | 0.04 * | 0.27 | 0.048 * |
| Peripheral WBC (cells/mL) | −0.09 | 0.53 | 0.07 | 0.63 | 0.02 | 0.89 | 0.10 | 0.48 | 0.44 | <0.001 * | 0.43 | <0.001 * | −0.22 | 0.11 | 0.12 | 0.36 |
| Peripheral lymphocytes (%) | 0.06 | 0.69 | −0.10 | 0.46 | −0.07 | 0.60 | −0.12 | 0.36 | −0.39 | 0.003 * | −0.39 | 0.003 * | 0.16 | 0.24 | −0.08 | 0.57 |
| Peripheral lymphocytes (cells/mL) | −0.02 | 0.87 | −0.04 | 0.79 | −0.07 | 0.63 | −0.06 | 0.65 | −0.03 | 0.83 | −0.03 | 0.84 | −0.05 | 0.74 | 0.05 | 0.70 |
| Peripheral neutrophils (%) | 0.10 | 0.45 | 0.02 | 0.88 | 0.05 | 0.72 | 0.00 | 1.00 | −0.05 | 0.73 | −0.04 | 0.76 | 0.05 | 0.69 | 0.01 | 0.93 |
| Peripheral neutrophils (cells/mL) | −0.07 | 0.61 | 0.03 | 0.83 | −0.04 | 0.75 | 0.00 | 0.97 | 0.28 | 0.04 * | 0.28 | 0.04 * | −0.12 | 0.36 | 0.12 | 0.39 |
| Peripheral eosinophils (%) | −0.29 | 0.03 * | −0.09 | 0.49 | 0.10 | 0.45 | 0.20 | 0.13 | 0.46 | <0.001 * | 0.45 | <0.001 * | −0.22 | 0.10 | 0.12 | 0.39 |
| Peripheral eosinophils (cells/mL) | −0.24 | 0.07 | −0.03 | 0.85 | 0.11 | 0.41 | 0.24 | 0.07 | 0.53 | <0.001 * | 0.53 | <0.001 * | −0.24 | 0.07 | 0.17 | 0.20 |
| BAL CD4/CD8 Ratio | BAL Th1 Cells (% of Lymphocytes) | BAL Th2 Cells (% of Lymphocytes) | BAL Th17 Cells (% of Lymphocytes) | BAL Treg Cells (% of Lymphocytes) | BAL ILC1 cells (% of Lymphocytes) | BAL ILC2 Cells (% of Lymphocytes) | BAL ILC3 Cells (% of Lymphocytes) | |||||||||
| n = 56 | rs | p Value | rs | p Value | rs | p Value | rs | p Value | rs | p Value | rs | p Value | rs | p Value | rs | p Value |
| Age (years) | 0.12 | 0.37 | 0.28 | 0.04 * | 0.00 | 0.98 | 0.08 | 0.54 | 0.05 | 0.73 | 0.02 | 0.87 | −0.13 | 0.33 | −0.11 | 0.43 |
| BMI (kg/m2) | 0.08 | 0.57 | 0.09 | 0.49 | −0.06 | 0.65 | −0.11 | 0.43 | −0.02 | 0.89 | −0.24 | 0.08 | 0.10 | 0.47 | −0.12 | 0.39 |
| VC (% predicted), n = 50 | 0.09 | 0.54 | 0.14 | 0.35 | −0.26 | 0.07 | −0.20 | 0.15 | −0.15 | 0.29 | −0.07 | 0.64 | −0.01 | 0.96 | 0.10 | 0.48 |
| FVC (% predicted), n = 50 | 0.12 | 0.40 | 0.16 | 0.26 | −0.26 | 0.06 | −0.22 | 0.12 | −0.13 | 0.37 | −0.05 | 0.72 | −0.02 | 0.88 | 0.08 | 0.57 |
| FEV1 (% predicted), n = 50 | 0.09 | 0.54 | 0.14 | 0.33 | −0.20 | 0.16 | −0.24 | 0.09 | −0.19 | 0.19 | −0.18 | 0.21 | −0.14 | 0.32 | −0.01 | 0.97 |
| FEV1%, n = 50 | 0.00 | 0.99 | −0.15 | 0.30 | 0.05 | 0.73 | −0.14 | 0.34 | −0.14 | 0.34 | −0.16 | 0.26 | −0.29 | 0.04 * | −0.07 | 0.64 |
| DLco (% predicted), n = 45 | 0.02 | 0.92 | 0.08 | 0.58 | −0.15 | 0.34 | −0.12 | 0.44 | −0.19 | 0.22 | 0.08 | 0.61 | 0.13 | 0.41 | −0.21 | 0.17 |
| DLco/ VA (% predicted), n = 44 | 0.12 | 0.45 | 0.14 | 0.36 | 0.06 | 0.68 | 0.00 | 0.98 | −0.06 | 0.69 | 0.09 | 0.58 | 0.05 | 0.76 | −0.35 | 0.02 * |
| Serum LD (U/L) | −0.17 | 0.20 | −0.04 | 0.76 | −0.22 | 0.10 | −0.31 | 0.02 * | −0.15 | 0.28 | −0.28 | 0.03 * | −0.09 | 0.52 | −0.19 | 0.16 |
| Serum KL-6 (U/mL), n = 53 | 0.10 | 0.48 | 0.26 | 0.06 | −0.38 | 0.005 * | −0.40 | 0.003 * | −0.26 | 0.06 | −0.28 | 0.04 * | −0.12 | 0.39 | −0.31 | 0.02 * |
| Serum SP-D (ng/mL), n = 43 | −0.02 | 0.90 | 0.12 | 0.46 | −0.02 | 0.88 | −0.19 | 0.23 | −0.16 | 0.31 | −0.34 | 0.02 * | −0.04 | 0.78 | −0.35 | 0.02 * |
| Serum CRP (mg/dL) | −0.29 | 0.03 * | −0.19 | 0.16 | 0.16 | 0.23 | 0.11 | 0.44 | 0.09 | 0.53 | −0.04 | 0.75 | 0.12 | 0.37 | 0.29 | 0.03 * |
| Peripheral WBC (cells/mL) | −0.18 | 0.19 | −0.27 | 0.04 * | 0.02 | 0.87 | 0.01 | 0.92 | 0.02 | 0.90 | −0.17 | 0.21 | 0.09 | 0.51 | 0.07 | 0.63 |
| Peripheral lymphocytes (%) | 0.14 | 0.30 | 0.32 | 0.02 * | 0.04 | 0.79 | −0.01 | 0.92 | 0.05 | 0.70 | 0.01 | 0.96 | −0.18 | 0.20 | −0.32 | 0.02 * |
| Peripheral lymphocytes (cells/mL) | −0.03 | 0.81 | 0.05 | 0.71 | 0.03 | 0.84 | −0.01 | 0.92 | 0.02 | 0.86 | −0.18 | 0.18 | −0.14 | 0.31 | −0.35 | 0.008 * |
| Peripheral neutrophils (%) | 0.02 | 0.86 | −0.05 | 0.69 | −0.08 | 0.57 | 0.00 | 1.00 | −0.06 | 0.68 | −0.02 | 0.88 | −0.09 | 0.52 | −0.01 | 0.94 |
| Peripheral neutrophils (cells/mL) | −0.12 | 0.37 | −0.22 | 0.11 | 0.02 | 0.89 | 0.07 | 0.59 | 0.02 | 0.90 | −0.14 | 0.29 | 0.01 | 0.93 | 0.03 | 0.82 |
| Peripheral eosinophils (%) | −0.19 | 0.17 | −0.19 | 0.16 | 0.28 | 0.03 * | 0.22 | 0.10 | 0.11 | 0.42 | 0.10 | 0.49 | 0.34 | 0.01 * | 0.41 | 0.002 * |
| Peripheral eosinophils (cells/mL) | −0.22 | 0.10 | −0.26 | 0.05 | 0.25 | 0.06 | 0.18 | 0.18 | 0.09 | 0.53 | −0.05 | 0.74 | 0.30 | 0.03 * | 0.32 | 0.02 * |
| n = 44 | BAL Lymphocytes (%) | BAL Lymphocytes (×105 cells/mL) | BAL CD4 (%) | BAL CD8 (%) | BAL CD4/CD8 Ratio | BAL Th1 Cells (% of Lymphocytes) | ||||||
|---|---|---|---|---|---|---|---|---|---|---|---|---|
| % of Lymphocytes | rs | p Value | rs | p Value | rs | p Value | rs | p Value | rs | p Value | rs | p Value |
| Peripheral Th1 cells | −0.14 | 0.36 | −0.15 | 0.32 | 0.39 | 0.009 * | −0.37 | 0.01 * | 0.38 | 0.01 * | 0.30 | 0.047 * |
| Peripheral Th2 cells | −0.06 | 0.71 | 0.02 | 0.88 | −0.09 | 0.58 | 0.07 | 0.67 | −0.07 | 0.67 | −0.09 | 0.57 |
| Peripheral Th17 cells | −0.14 | 0.35 | −0.12 | 0.43 | 0.14 | 0.37 | −0.17 | 0.26 | 0.17 | 0.27 | 0.02 | 0.90 |
| Peripheral Treg cells | −0.29 | 0.05 | −0.29 | 0.05 | 0.01 | 0.94 | −0.10 | 0.54 | 0.05 | 0.76 | −0.17 | 0.27 |
| Peripheral NK cells | 0.32 | 0.04 * | 0.34 | 0.02 * | 0.10 | 0.51 | −0.09 | 0.55 | 0.10 | 0.53 | 0.16 | 0.29 |
| Peripheral MAIT cells | −0.06 | 0.69 | −0.03 | 0.85 | −0.04 | 0.80 | 0.04 | 0.80 | −0.03 | 0.85 | −0.05 | 0.74 |
| Peripheral γδT cells | −0.08 | 0.63 | −0.14 | 0.36 | −0.01 | 0.96 | 0.02 | 0.90 | −0.02 | 0.92 | 0.08 | 0.61 |
| Peripheral ILC1 cells | −0.14 | 0.35 | −0.18 | 0.25 | 0.12 | 0.43 | −0.19 | 0.23 | 0.17 | 0.26 | 0.09 | 0.58 |
| Peripheral ILC2 cells | −0.24 | 0.11 | −0.23 | 0.14 | 0.07 | 0.67 | −0.02 | 0.88 | 0.03 | 0.83 | 0.01 | 0.94 |
| Peripheral ILC3 cells | −0.11 | 0.49 | −0.13 | 0.40 | 0.20 | 0.19 | −0.27 | 0.08 | 0.25 | 0.10 | 0.20 | 0.19 |
| BAL Th2 Cells (% of Lymphocytes) | BAL Th17 Cells (% of Lymphocytes) | BAL Treg Cells (% of Lymphocytes) | BAL ILC1 Cells (% of Lymphocytes) | BAL ILC2 Cells (% of Lymphocytes) | BAL ILC3 Cells (% of Lymphocytes) | |||||||
| % of Lymphocytes | rs | p Value | rs | p Value | rs | p Value | rs | p Value | rs | p Value | rs | p Value |
| Peripheral Th1 cells | 0.21 | 0.18 | 0.19 | 0.21 | 0.24 | 0.11 | −0.08 | 0.63 | −0.33 | 0.03 * | −0.07 | 0.67 |
| Peripheral Th2 cells | 0.28 | 0.07 | 0.38 | 0.01 * | 0.18 | 0.24 | −0.07 | 0.64 | 0.17 | 0.26 | 0.11 | 0.47 |
| Peripheral Th17 cells | 0.28 | 0.07 | 0.38 | 0.01 * | 0.30 | 0.045 * | −0.07 | 0.64 | −0.11 | 0.48 | 0.11 | 0.48 |
| Peripheral Treg cells | 0.18 | 0.25 | 0.19 | 0.21 | 0.16 | 0.31 | −0.03 | 0.86 | −0.19 | 0.21 | 0.24 | 0.12 |
| Peripheral NK cells | −0.18 | 0.25 | −0.23 | 0.13 | −0.20 | 0.20 | 0.11 | 0.48 | 0.11 | 0.49 | 0.03 | 0.86 |
| Peripheral MAIT cells | 0.02 | 0.92 | −0.03 | 0.83 | 0.00 | 0.99 | −0.20 | 0.19 | 0.28 | 0.06 | 0.01 | 0.94 |
| Peripheral γδT cells | 0.14 | 0.37 | 0.05 | 0.74 | 0.12 | 0.45 | 0.03 | 0.86 | −0.13 | 0.40 | 0.14 | 0.38 |
| Peripheral ILC1 cells | 0.31 | 0.04 * | 0.20 | 0.18 | 0.06 | 0.70 | 0.31 | 0.04 * | 0.07 | 0.64 | 0.16 | 0.29 |
| Peripheral ILC2 cells | 0.28 | 0.06 | 0.28 | 0.07 | 0.24 | 0.12 | 0.27 | 0.07 | 0.11 | 0.49 | 0.37 | 0.01 * |
| Peripheral ILC3 cells | 0.22 | 0.16 | 0.16 | 0.31 | 0.05 | 0.74 | 0.36 | 0.02 * | 0.07 | 0.65 | 0.23 | 0.13 |
Disclaimer/Publisher’s Note: The statements, opinions and data contained in all publications are solely those of the individual author(s) and contributor(s) and not of MDPI and/or the editor(s). MDPI and/or the editor(s) disclaim responsibility for any injury to people or property resulting from any ideas, methods, instructions or products referred to in the content. |
© 2025 by the authors. Licensee MDPI, Basel, Switzerland. This article is an open access article distributed under the terms and conditions of the Creative Commons Attribution (CC BY) license (https://creativecommons.org/licenses/by/4.0/).
Share and Cite
Harada, S.; Kato, M.; Nakagome, K.; Sasano, H.; Tanabe, Y.; Takeshige, T.; Sandhu, Y.; Matsuno, K.; Ueda, S.; Abe, S.; et al. Evaluating the Diagnostic Value of Lymphocyte Subsets in Bronchoalveolar Lavage Fluid and Peripheral Blood Across Various Diffuse Interstitial Lung Disease Subtypes. Biomolecules 2025, 15, 122. https://doi.org/10.3390/biom15010122
Harada S, Kato M, Nakagome K, Sasano H, Tanabe Y, Takeshige T, Sandhu Y, Matsuno K, Ueda S, Abe S, et al. Evaluating the Diagnostic Value of Lymphocyte Subsets in Bronchoalveolar Lavage Fluid and Peripheral Blood Across Various Diffuse Interstitial Lung Disease Subtypes. Biomolecules. 2025; 15(1):122. https://doi.org/10.3390/biom15010122
Chicago/Turabian StyleHarada, Sonoko, Motoyasu Kato, Kazuyuki Nakagome, Hitoshi Sasano, Yuki Tanabe, Tomohito Takeshige, Yuuki Sandhu, Kei Matsuno, Shoko Ueda, Sumiko Abe, and et al. 2025. "Evaluating the Diagnostic Value of Lymphocyte Subsets in Bronchoalveolar Lavage Fluid and Peripheral Blood Across Various Diffuse Interstitial Lung Disease Subtypes" Biomolecules 15, no. 1: 122. https://doi.org/10.3390/biom15010122
APA StyleHarada, S., Kato, M., Nakagome, K., Sasano, H., Tanabe, Y., Takeshige, T., Sandhu, Y., Matsuno, K., Ueda, S., Abe, S., Nishimaki, T., Shinomiya, S., Ito, J., Miyake, S., Okumura, K., Nagata, M., Takahashi, K., & Harada, N. (2025). Evaluating the Diagnostic Value of Lymphocyte Subsets in Bronchoalveolar Lavage Fluid and Peripheral Blood Across Various Diffuse Interstitial Lung Disease Subtypes. Biomolecules, 15(1), 122. https://doi.org/10.3390/biom15010122

