Insights into the Effects of Ligand Binding on Leucyl-tRNA Synthetase Inhibitors for Tuberculosis: In Silico Analysis and Isothermal Titration Calorimetry Validation
Abstract
1. Introduction
2. Materials and Methods
2.1. Preparing Protein
2.2. Preparing Database
2.3. Structure-Based Virtual Screening
2.4. Glide XP Docking
2.5. MMGBSA
2.6. ADMET Studies
2.7. Dynamics Simulation Studies
2.8. Isothermal Calorimetry (ITC)
2.9. Inhibition of Mycobacterial Biofilm Formation
2.10. Antimycobacterial Activity
2.11. Leucyl t-RNA Synthetase Gene Expression Inhibition Study
3. Results and Discussion
3.1. Virtual Screening
3.2. Docking and MMGBSA Studies
3.3. Glide XP Docking
3.4. MMGBSA Studies
3.5. Predicting Pharmacokinetic Parameters
3.6. Dynamics Simulation Studies
3.7. Comparison of Interactions after XP Docking and Dynamics Simulation
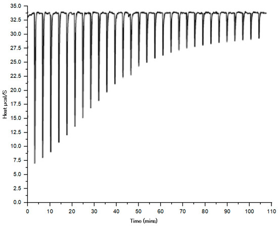
3.8. Isothermal Calorimetry (ITC)
3.9. Inhibition of Mycobacterial Biofilm Formation
3.10. Leucyl t-RNA Synthetase Inhibition Study
4. Conclusions
Supplementary Materials
Author Contributions
Funding
Institutional Review Board Statement
Informed Consent Statement
Data Availability Statement
Conflicts of Interest
References
- Global Tuberculosis Report 2022. Available online: https://www.who.int/teams/global-tuberculosis-programme/tb-reports/global-tuberculosis-report-2022 (accessed on 20 October 2023).
- Ndagi, U.; Kumalo, H.M.; Mhlongo, N.N. A Consequence of Drug Targeting of Aminoacyl-TRNA Synthetases in Mycobacterium tuberculosis. Chem. Biol. Drug Des. 2021, 98, 421–434. [Google Scholar] [CrossRef] [PubMed]
- Faiz Arshad, M.; Kumar, S.; Al Rohaimi, A.H.; Hassan, A.A.; Elkerdasy, A.; Upmanyu, N. Synthesis of 3-Chloro-4-Fluorophenyl-3,4-Dichlorophenyl Substituted Thiocarbamide Derivatives as Potential Antitubercular Agents. Med. Chem. Res. 2015, 24, 334–343. [Google Scholar] [CrossRef]
- Zhang, P.; Ma, S. Recent Development of Leucyl-TRNA Synthetase Inhibitors as Antimicrobial Agents. Medchemcomm 2019, 10, 1329–1341. [Google Scholar] [CrossRef] [PubMed]
- Alsulaimany, F.A.; Almukadi, H.; Zabermawi, N.M.O.; Aljuhani, T.A.; Rashidi, O.M.; Albaqami, W.F.; Alghamdi, A.A.; Ahmad, A.; Shaik, N.A.; Banaganapalli, B. Identification of Novel Mycobacterium tuberculosis Leucyl-TRNA Synthetase Inhibitor Using a Knowledge-Based Computational Screening Approach. J. King Saud Univ.—Sci. 2022, 34, 102032. [Google Scholar] [CrossRef]
- Hu, Q.H.; Huang, Q.; Wang, E.D. Crucial Role of the C-Terminal Domain of Mycobacterium tuberculosis Leucyl-TRNA Synthetase in Aminoacylation and Editing. Nucleic Acids Res. 2013, 41, 1859–1872. [Google Scholar] [CrossRef] [PubMed][Green Version]
- Liu, R.J.; Long, T.; Li, H.; Zhao, J.; Li, J.; Wang, M.; Palencia, A.; Lin, J.; Cusack, S.; Wang, E.D. Molecular Basis of the Multifaceted Functions of Human Leucyl-TRNA Synthetase in Protein Synthesis and Beyond. Nucleic Acids Res. 2020, 48, 4946–4959. [Google Scholar] [CrossRef] [PubMed]
- Ganapathy, U.S.; González del Rio, R.; Cacho-Izquierdo, M.; Ortega, F.; Lelièvre, J.; Barros-Aguirre, D.; Lindman, M.; Dartois, V.; Gengenbacher, M.; Dick, T. A Leucyl-TRNA Synthetase Inhibitor with Broad-Spectrum Antimycobacterial Activity. Antimicrob. Agents Chemother. 2021, 65, 10–128. [Google Scholar] [CrossRef] [PubMed]
- Palencia, A.; Li, X.; Bu, W.; Choi, W.; Ding, C.Z.; Easom, E.E.; Feng, L.; Hernandez, V.; Houston, P.; Liu, L.; et al. Discovery of Novel Oral Protein Synthesis Inhibitors of Mycobacterium tuberculosis that Target Leucyl-TRNA Synthetase. Antimicrob. Agents Chemother. 2016, 60, 6271–6280. [Google Scholar] [CrossRef] [PubMed]
- Li, X.; Hernandez, V.; Rock, F.L.; Choi, W.; Mak, Y.S.L.; Mohan, M.; Mao, W.; Zhou, Y.; Easom, E.E.; Plattner, J.J.; et al. Discovery of a Potent and Specific M. Tuberculosis Leucyl-TRNA Synthetase Inhibitor: (S)-3-(Aminomethyl)-4-Chloro-7-(2-Hydroxyethoxy)Benzo[c][1,2]Oxaborol-1(3H)-Ol (GSK656). J. Med. Chem. 2017, 60, 8011–8026. [Google Scholar] [CrossRef] [PubMed]
- Gudzera, O.I.; Golub, A.G.; Bdzhola, V.G.; Volynets, G.P.; Kovalenko, O.P.; Boyarshin, K.S.; Yaremchuk, A.D.; Protopopov, M.V.; Yarmoluk, S.M.; Tukalo, M.A. Identification of Mycobacterium tuberculosis Leucyl-TRNA Synthetase (LeuRS) Inhibitors among the Derivatives of 5-Phenylamino-2H-[1,2,4]Triazin-3-One. J. Enzyme Inhib. Med. Chem. 2016, 31, 201–207. [Google Scholar] [CrossRef] [PubMed]
- Gudzera, O.I.; Golub, A.G.; Bdzhola, V.G.; Volynets, G.P.; Lukashov, S.S.; Kovalenko, O.P.; Kriklivyi, I.A.; Yaremchuk, A.D.; Starosyla, S.A.; Yarmoluk, S.M.; et al. Discovery of Potent Anti-Tuberculosis Agents Targeting Leucyl-TRNA Synthetase. Bioorg. Med. Chem. 2016, 24, 1023–1031. [Google Scholar] [CrossRef] [PubMed]
- Mahapatra, M.K.; Karuppasamy, M. Fundamental Considerations in Drug Design Chapter Outline. In Computer Aided Drug Design (CADD): From Ligand-Based Methods to Structure-Based Approaches; Elsevier: Amsterdam, The Netherlands, 2022; pp. 17–55. [Google Scholar] [CrossRef]
- Devi, B.; Vasishta, S.S.; Das, B.; Baidya, A.T.K.; Rampa, R.S.; Mahapatra, M.K.; Kumar, R. Integrated Use of Ligand and Structure-Based Virtual Screening, Molecular Dynamics, Free Energy Calculation and ADME Prediction for the Identification of Potential PTP1B Inhibitors. Mol. Divers. 2023, 28, 649–669. [Google Scholar] [CrossRef] [PubMed]
- Mahapatra, M.K.; Bera, K.; Singh, D.V.; Kumar, R.; Kumar, M. In Silico Modelling and Molecular Dynamics Simulation Studies of Thiazolidine Based PTP1B Inhibitors. J. Biomol. Struct. Dyn. 2018, 36, 1195–1211. [Google Scholar] [CrossRef] [PubMed]
- Mahapatra, M.K.; Kumar, R.; Kumar, M. N-Alkylated Thiazolidine-2,4-Dione Analogs as PTP1B Inhibitors: Synthesis, Biological Activity, and Docking Studies. Med. Chem. Res. 2017, 26, 1176–1183. [Google Scholar] [CrossRef]
- Sterling, T.; Irwin, J.J. ZINC 15—Ligand Discovery for Everyone. J. Chem. Inf. Model. 2015, 55, 2324–2337. [Google Scholar] [CrossRef] [PubMed]
- Schrodinger Release. 2021–2022|Schrödinger [WWW Document]. 2021. Available online: https://www.schrodinger.com/releases/release-2021-2 (accessed on 20 October 2023).
- Uniyal, A.; Mahapatra, M.K.; Tiwari, V.; Sandhir, R.; Kumar, R. Targeting SARS-CoV-2 Main Protease: Structure Based Virtual Screening, in Silico ADMET Studies and Molecular Dynamics Simulation for Identification of Potential Inhibitors. J. Biomol. Struct. Dyn. 2022, 40, 3609–3625. [Google Scholar] [CrossRef] [PubMed]
- Friesner, R.A.; Banks, J.L.; Murphy, R.B.; Halgren, T.A.; Klicic, J.J.; Mainz, D.T.; Repasky, M.P.; Knoll, E.H.; Shelley, M.; Perry, J.K.; et al. Glide: A New Approach for Rapid, Accurate Docking and Scoring. 1. Method and Assessment of Docking Accuracy. J. Med. Chem. 2004, 47, 1739–1749. [Google Scholar] [CrossRef] [PubMed]
- Friesner, R.A.; Murphy, R.B.; Repasky, M.P.; Frye, L.L.; Greenwood, J.R.; Halgren, T.A.; Sanschagrin, P.C.; Mainz, D.T. Extra Precision Glide: Docking and Scoring Incorporating a Model of Hydrophobic Enclosure for Protein-Ligand Complexes. J. Med. Chem. 2006, 49, 6177–6196. [Google Scholar] [CrossRef] [PubMed]
- Mahapatra, M.K.; Kumar, R.; Kumar, M. Synthesis, Biological Evaluation and in Silico Studies of 5-(3-Methoxybenzylidene)Thiazolidine-2,4-Dione Analogues as PTP1B Inhibitors. Bioorg. Chem. 2017, 71, 1–9. [Google Scholar] [CrossRef] [PubMed]
- QikProp|Schrödinger. Available online: https://www.schrodinger.com/products/qikprop (accessed on 20 October 2023).
- Mahapatra, M.K.; Kumar, R.; Kumar, M. Exploring Sulfonate Esters of 5-Arylidene Thiazolidine-2,4-Diones as PTP1B Inhibitors with Anti-Hyperglycemic Activity. Med. Chem. Res. 2018, 27, 476–487. [Google Scholar] [CrossRef]
- Bowers, K.J.; Chow, E.; Xu, H.; Dror, R.O.; Eastwood, M.P.; Gregersen, B.A.; Klepeis, J.L.; Kolossvary, I.; Moraes, M.A.; Sacerdoti, F.D.; et al. Scalable Algorithms for Molecular Dynamics Simulations on Commodity Clusters. In Proceedings of the 2006 ACM/IEEE Conference on Supercomputing, Tampa, FL, USA, 11–17 November 2006; p. 84-es. [Google Scholar] [CrossRef]
- Rehman, Z.; Najmi, A. Exploring EGFR Inhibitors with the Aid of Virtual Screening, Docking, and Dynamics Simulation Studies. J. Biomol. Struct. Dyn. 2023, 1–21. [Google Scholar] [CrossRef] [PubMed]
- Imran, M.; Alotaibi, N.M.; Thabet, H.K.; Alruwaili, J.A.; Asdaq, S.M.B.; Eltaib, L.; Kamal, M.; Alshammari, A.B.H.; Alshammari, A.M.A.; Alshehri, A. Computer-Assisted Discovery of Safe and Effective DprE1/AaRSs Inhibitors against TB Utilizing Drug Repurposing Approach. J. Infect. Public Health 2023, 16, 554–572. [Google Scholar] [CrossRef] [PubMed]
- Damian, L. Isothermal titration calorimetry for studying protein-ligand interactions. Methods Mol. Biol. 2013, 1008, 103–118. [Google Scholar] [CrossRef] [PubMed]
- Chakraborty, P.; Bajeli, S.; Kaushal, D.; Radotra, B.D.; Kumar, A. Biofilm Formation in the Lung Contributes to Virulence and Drug Tolerance of Mycobacterium Tuberculosis. Nat. Commun. 2021, 12, 1606. [Google Scholar] [CrossRef] [PubMed]
- Sambanthamoorthy, K.; Feng, X.; Patel, R.; Patel, S.; Paranavitana, C. Antimicrobial and antibiofilm potential of biosurfactants isolated from lactobacilli against multi-drug-resistant pathogens. BMC Microbiol. 2014, 14, 197. [Google Scholar] [CrossRef] [PubMed]
- Sánchezm, J.G.; Kouznetsov, V.V. Antimycobacterial susceptibility testing methods for natural products research. Braz. J. Microbiol. 2010, 41, 270–277. [Google Scholar] [CrossRef] [PubMed]
- Sambandan, D.; Dao, D.N.; Weinrick, B.C.; Vilchèze, C.; Gurcha, S.S.; Ojha, A.; Kremer, L.; Besra, G.S.; Hatfull, G.F.; Jacobs, W.R. Keto-Mycolic Acid-Dependent Pellicle Formation Confers Tolerance to Drug-Sensitive Mycobacterium tuberculosis. MBio 2013, 4, 10–128. [Google Scholar] [CrossRef]
- Nayak, N. Mycobacterium tuberculosis Biofilm—A New Perspective. Indian J. Tuberc. 2015, 62, 4–6. [Google Scholar] [CrossRef] [PubMed]
- Li, J.; Abel, R.; Zhu, K.; Cao, Y.; Zhao, S.; Friesner, R.A. The VSGB 2.0 model: A next generation energy model for high resolution protein structure modeling. Proteins 2011, 79, 2794–2812. [Google Scholar] [CrossRef] [PubMed]















| Ligand | XP Docking Score | MMGBSA dG Bind |
|---|---|---|
| 1035 | −8.819 | −87.56 |
| 1054 | −9.006 | −79.79 |
| 2077 | −7.986 | −77.34 |
| 1425 | −6.908 | −75.21 |
| 2350 | −7.584 | −74.15 |
| 1098 | −6.394 | −73.03 |
| 2102 | −6.326 | −73.02 |
| 1008 | −7.245 | −70.52 |
| 1256 | −6.001 | −67.01 |
| 1104 | −7.974 | −61.83 |
| 179 | −7.012 | −59.99 |
| 365 | −6.883 | −58.99 |
| 207 | −6.864 | −58.95 |
| 906 | −7.006 | −57.78 |
| 2057 | −5.738 | −57.09 |
| 1327 | −6.689 | −55.11 |
| 97 | −5.677 | −54.91 |
| 2128 | −6.641 | −53.97 |
| 2103 | −7.454 | −52.49 |
| 2202 | −7.385 | −52.22 |
| 479 | −6.294 | −52.11 |
| 233 | −6.176 | −52.08 |
| 534 | −6.131 | −52.01 |
| 1033 | −4.888 | −51.05 |
| 2031 | −4.852 | −49.67 |
| 194 | −5.582 | −48.17 |
| 640 | −4.598 | −48.11 |
| 1213 | −5.354 | −46.84 |
| 118 | −4.767 | −45.71 |
| 2524 | −3.091 | −42.38 |
| 1973 | −2.061 | −39.73 |
| Ligand | MW | Dipole | SASA | PSA | Volume | QPlog Po/w | QPlogS | QPP Caco | QPlog BB | QPlog Kp | QPlog Khsa | Oral Absorption | Rule of Five | Rule of Three |
|---|---|---|---|---|---|---|---|---|---|---|---|---|---|---|
| 1035 | 354.365 | 10.74 | 623.453 | 176.713 | 1098.301 | −1.464 | −1.054 | 5.248 | −2.457 | −7.497 | −0.925 | 1 | 2 | 1 |
| 1054 | 474.561 | 6.49 | 791.223 | 156.869 | 1462.906 | 2.07 | −3.236 | 10.173 | −1.824 | −5.008 | −0.199 | 2 | 1 | 1 |
| 2077 | 585.607 | 11.953 | 859.859 | 322.444 | 1629.256 | −8.741 | −0.194 | 0.002 | −5.453 | −12.732 | −2.65 | 1 | 3 | 2 |
| Ligand | Structure | IUPAC Name | XP Docking Score | MMGBSA dG Bind |
|---|---|---|---|---|
| 1035 (ZINC000001543916) Valganciclovir | ![]() | 2-((2-amino-6-oxo-1H-purin-9(6H)-yl)methoxy)-3-hydroxypropyl 2-amino-3-methylbutanoate | −8.819 | −87.56 |
| 1054 (ZINC000001554197) Macimorelin | ![]() | 2-amino-N-((R)-1-(((R)-1-formamido-2-(1H-indol-3-yl)ethyl)amino)-3-(1H-indol-3-yl)-1-oxopropan-2-yl)-2-methylpropanamide | −9.006 | −79.79 |
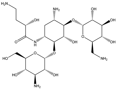
| 2077 (ZINC000008214483) Amikacin | ![]() | (S)-4-amino-N-((1R,2S,3S,4R,5S)-5-amino-2-(((2S,3R,4S,5S,6R)-4-amino-3,5-dihydroxy-6-(hydroxymethyl)tetrahydro-2H-pyran-2-yl)oxy)-4-(((2R,3R,4S,5S,6R)-6-(aminomethyl)-3,4,5-trihydroxytetrahydro-2H-pyran-2-yl)oxy)-3-hydroxycyclohexyl)-2-hydroxybutanamide | −7.986 | −77.34 |
| Compound | Interactions | |||||
|---|---|---|---|---|---|---|
| After XP Docking | After MD Simulation | |||||
| H Bonding | Pi–Pi | Salt Bridge | H Bonding | Pi–Pi | Water Bridge | |
| 1035 | Thr336, Leu432, Met441, Arg449, Asp450 | Tyr435 | Asp447, Asp450 | Thr337, Met441, Asp450 | - | - |
| 1054 | Thr336, Thr337, Tyr435, His446, Asp447, Arg449, Asp450 | Tyr435 | Asp447, Asp450 | Thr336, Thr337, His446, Asp447, Asp450 | Tyr435, Arg449 | Asp447, Asp450 |
| 2077 | Thr336, Thr337, Leu432, Tyr435, Ala439, Met441, Asp447, Asp450 | - | Asp447, Asp450 | - | - | - |
| Conc. of Ligand/Protein (µM) | ΔH (kJ/mol) for Ligands | ||
|---|---|---|---|
| 1035 | 1054 | 2077 | |
| 00 | −86.84 | −82.11 | −84.16 |
| 0.0125 | −81.65 | −76.15 | −80.13 |
| 0.025 | −75.56 | −68.25 | −73.79 |
| 0.050 | −63.41 | −60.11 | −61.36 |
| 0.100 | −57.85 | −52.27 | −55.16 |
| 0.200 | −43.88 | −41.25 | −41.42 |
| 0.400 | −34.16 | −29.73 | −31.25 |
| 0.800 | −23.10 | −20.46 | −20.16 |
| 1.600 | −16.25 | −13.16 | −13.45 |
| 3.20 | −12.65 | −10.42 | −10.36 |
| 5.00 | 00 | 00 | 00 |
| Ligands | Floating Association Constant ka (1/M) | Binding Enthalpy ΔH (kJ/mol) | Binding Sites (n) |
|---|---|---|---|
| 1035 | 4.18 × 104 | −49.16 | 1.14 |
| 1054 | 6.32 × 106 | −48.23 | 1.72 |
| 2077 | 7.74 × 103 | −49.87 | 0.85 |
| 2077 | 1035 | 1054 | Control | ||||
|---|---|---|---|---|---|---|---|
| Conc. | OD | Conc. | OD | Conc. | OD | Conc. | OD |
| 0 | 0.9195 | 0 | 0.8658 | 0 | 0.6804 | 0 | 0.5482 |
| 5.0 | 0.7588 | 5.0 | 0.7685 | 5.0 | 0.5428 | 5.0 | 0.4256 |
| 10.0 | 0.5358 | 10.0 | 0.6255 | 10.0 | 0.4548 | 10.0 | 0.3658 |
| 15.0 | 0.3585 | 15.0 | 0.5454 | 15.0 | 0.3425 | 15.0 | 0.2452 |
| 20.0 | 0.2544 | 20.0 | 0.3256 | 20.0 | 0.2186 | 20.0 | 0.2048 |
| 25.0 | 0.1456 | 25.0 | 0.1854 | 25.0 | 0.1254 | 25.0 | 0.0980 |
| Ligands | Anti-Mycobacteial Activity | |
|---|---|---|
| Zone of Inhibition (mm) | MIC (µg/mL) | |
| 1035 | 13.68 ± 0.21 | 119.87 ± 0.10 |
| 1054 | 18.45 ± 0.19 | 186.39 ± 0.21 |
| 2077 | 15.57 ± 0.80 | 147.43 ± 0.80 |
Disclaimer/Publisher’s Note: The statements, opinions and data contained in all publications are solely those of the individual author(s) and contributor(s) and not of MDPI and/or the editor(s). MDPI and/or the editor(s) disclaim responsibility for any injury to people or property resulting from any ideas, methods, instructions or products referred to in the content. |
© 2024 by the authors. Licensee MDPI, Basel, Switzerland. This article is an open access article distributed under the terms and conditions of the Creative Commons Attribution (CC BY) license (https://creativecommons.org/licenses/by/4.0/).
Share and Cite
Rehman, Z.U.; Najmi, A.; Zoghebi, K. Insights into the Effects of Ligand Binding on Leucyl-tRNA Synthetase Inhibitors for Tuberculosis: In Silico Analysis and Isothermal Titration Calorimetry Validation. Biomolecules 2024, 14, 711. https://doi.org/10.3390/biom14060711
Rehman ZU, Najmi A, Zoghebi K. Insights into the Effects of Ligand Binding on Leucyl-tRNA Synthetase Inhibitors for Tuberculosis: In Silico Analysis and Isothermal Titration Calorimetry Validation. Biomolecules. 2024; 14(6):711. https://doi.org/10.3390/biom14060711
Chicago/Turabian StyleRehman, Zia Ur, Asim Najmi, and Khalid Zoghebi. 2024. "Insights into the Effects of Ligand Binding on Leucyl-tRNA Synthetase Inhibitors for Tuberculosis: In Silico Analysis and Isothermal Titration Calorimetry Validation" Biomolecules 14, no. 6: 711. https://doi.org/10.3390/biom14060711
APA StyleRehman, Z. U., Najmi, A., & Zoghebi, K. (2024). Insights into the Effects of Ligand Binding on Leucyl-tRNA Synthetase Inhibitors for Tuberculosis: In Silico Analysis and Isothermal Titration Calorimetry Validation. Biomolecules, 14(6), 711. https://doi.org/10.3390/biom14060711




