PMSFF: Improved Protein Binding Residues Prediction through Multi-Scale Sequence-Based Feature Fusion Strategy
Abstract
1. Introduction
| PBRs Type | Method | Model Type | MSA Feature | Predicted Structural Feature | PLM Feature | Window Size |
|---|---|---|---|---|---|---|
| P | SPPIDER [45] | MLP | ✓ | × | × | 11 |
| ISIS [46] | MLP | ✓ | ✓ | × | - | |
| PSIVER [47] | Naïve Bayes | ✓ | ✓ | × | 9 | |
| LORIS [48] | LR | ✓ | ✓ | × | 9 | |
| SPRINGS [49] | MLP | ✓ | ✓ | × | 9 | |
| CRFPPI [50] | RF | ✓ | ✓ | × | 9 | |
| SPRINT [51] | SVM | ✓ | ✓ | × | 9 | |
| SSWRF [52] | SVM and RF | ✓ | ✓ | × | 9 | |
| RFPPI [53] | RF | × | ✓ | × | 9 | |
| SeRenDIP [54] | RF | ✓ | ✓ | × | 9 | |
| DLPred [55] | LSTM | ✓ | × | × | - | |
| Lu et al. [43] | CNN and Attention | ✓ | ✓ | × | 5 | |
| N+S+P | SCRIBER [56] | LR | ✓ | ✓ | × | 11 |
| ProNA2020 [57] | MLP | ✓ | ✓ | ✓ | 11 | |
| PROBselect [58] | LR and SVM | ✓ | ✓ | × | - | |
| DELPHI [24] | CNN and GRU | ✓ | ✓ | ✓ | 31 | |
| PPISP-XGBoost [59] | XGBoost | ✓ | ✓ | × | 9 | |
| PIPENN [25] | CNN and RNN | ✓ | ✓ | × | 9 | |
| AttCNNPPI [44] | CNN and Attention | ✓ | ✓ | × | 5 | |
| PITHIA [26] | CNN and RNN | ✓ | ✓ | × | 9 | |
| StackingPPInet [60] | DCNN and Attention | ✓ | × | × | 32 | |
| EDLMPPI [27] | GRU | × | × | ✓ | 25 | |
| D-PPIsite [61] | CNN | ✓ | ✓ | × | 17 | |
| ISPRED-SEQ [62] | CNN | ✓ | × | ✓ | 31 | |
| EnsePPIs [63] | CNN | × | × | ✓ | - | |
| DeeBSRPred [64] | MLP | ✓ | ✓ | × | 11 | |
| DeepRObind [65] | CNN and Attention | ✓ | ✓ | × | 25 | |
| Pa | proABC [66] | RF | × | × | × | - |
| Parapred [67] | CNN and RNN | × | × | × | - | |
| Ag-Fast-Parapred [68] | CNN and RNN | × | × | × | - | |
| proABC-2 [69] | CNN | ✓ | × | × | - | |
| DeepANIS [70] | BiLSTM and Transformer | ✓ | ✓ | × | - | |
| Lu et al. [71] | CNN and BiLSM | ✓ | ✓ | × | - | |
| Ep | Bepipred-1.0 [72] | Hidden Markov | × | × | × | 11 |
| AAPPred [73] | MLP | × | × | × | 7 | |
| CBTOPE [74] | SVM | × | × | × | 13 | |
| Bepipred-2.0 [75] | RF | ✓ | ✓ | × | 9 | |
| SeRenDIP-CE [76] | RF | ✓ | ✓ | × | 9 | |
| SEMA [77] | MLP | × | × | ✓ | 9 |
- We construct multi-scale features through multi-size windows for applying more key neighboring residues and multi-size kernels on various scales. Inspired by the NLP technique, we take a protein sequence as a sentence and utilize bidirectional GRU for multi-scale feature fusion. This allows for better matching of different types of PBRs and obtaining proper residue local context and global semantic information.
- To leverage transfer learning, PMSFF incorporates ProtT5-XL-UniRef50 (ProtT5), a variant of the ProtTrans model trained on the UniRef50 dataset, for protein feature generation. A comparative analysis between ProtT5 features and traditional concatenated features reveals a substantial reduction in computational time while achieving significantly improved prediction performance.
- We collect and reorganize benchmark PBRs datasets covering most of the categories, including PBRs from protein interactions with nucleotide (DNA, RNA), small ligand, common protein, heteromeric protein, homomeric protein as well as antibody and antigen interaction. The results on these datasets demonstrate the superior performance of PMSFF compared with the state-of-the-art methods.
2. Materials and Methods
2.1. Benchmark Dataset Construction
2.2. Framework Architecture of the PMSFF
2.2.1. The Input Representation of Proteins
2.2.2. Attention Layer
2.2.3. CNN Layer
2.2.4. GRU Layer
3. Results
3.1. The Effectiveness of Multi-Scale Feature
3.2. The Evaluation Results of ProtT5 Feature
3.3. Performance Comparison with Other Baselines on NSP448 Dataset
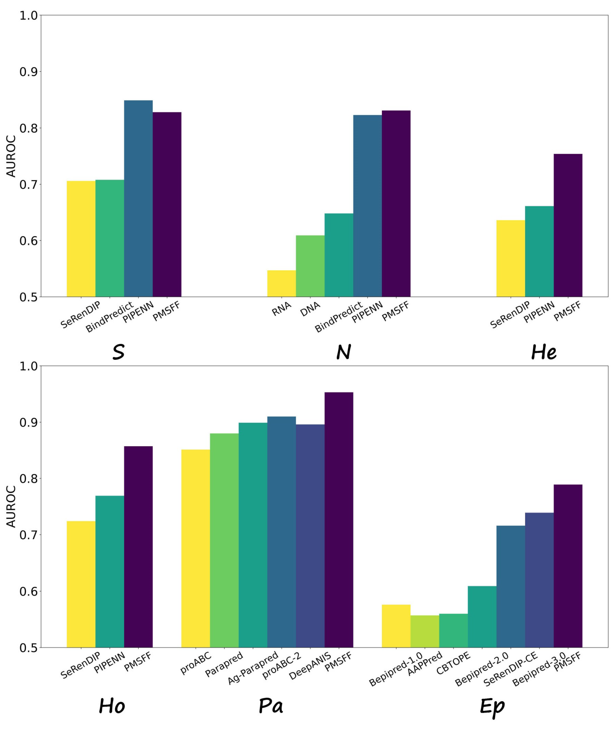
3.4. Evaluation Results on Type-Specific Datasets
4. Conclusions
Supplementary Materials
Author Contributions
Funding
Institutional Review Board Statement
Informed Consent Statement
Data Availability Statement
Acknowledgments
Conflicts of Interest
Appendix A
Appendix A.1. Evaluation Metrics
Appendix A.2. Implementation Details
References
- Pairo-Castineira, E.; Rawlik, K.; Bretherick, A.D.; Qi, T.; Wu, Y.; Nassiri, I.; McConkey, G.A.; Zechner, M.; Klaric, L.; Griffiths, F.; et al. GWAS and meta-analysis identifies 49 genetic variants underlying critical COVID-19. Nature 2023, 617, 764–768. [Google Scholar] [CrossRef] [PubMed]
- Zhang, J.; Kurgan, L. Review and comparative assessment of sequence-based predictors of protein-binding residues. Briefings Bioinform. 2018, 19, 821–837. [Google Scholar] [CrossRef] [PubMed]
- Kundu, S.; Lin, C.; Jaiswal, M.; Mullapudi, V.B.; Craig, K.C.; Chen, S.; Guo, Z. Profiling glycosylphosphatidylinositol (GPI)-interacting proteins in the cell membrane using a bifunctional GPI analogue as the probe. J. Proteome Res. 2023, 22, 919–930. [Google Scholar] [CrossRef] [PubMed]
- Zhang, J.; Ma, Z.; Kurgan, L. Comprehensive review and empirical analysis of hallmarks of DNA-, RNA- and protein-binding residues in protein chains. Briefings Bioinform. 2019, 20, 1250–1268. [Google Scholar] [CrossRef]
- Akbar, R.; Robert, P.A.; Pavlović, M.; Jeliazkov, J.R.; Snapkov, I.; Slabodkin, A.; Weber, C.R.; Scheffer, L.; Miho, E.; Haff, I.H.; et al. A compact vocabulary of paratope-epitope interactions enables predictability of antibody-antigen binding. Cell Rep. 2021, 34, 108856. [Google Scholar] [CrossRef]
- Gao, Z.; Jiang, C.; Zhang, J.; Jiang, X.; Li, L.; Zhao, P.; Yang, H.; Huang, Y.; Li, J. Hierarchical graph learning for protein–protein interaction. Nat. Commun. 2023, 14, 1093. [Google Scholar] [CrossRef]
- Gao, H.; Chen, C.; Li, S.; Wang, C.; Zhou, W.; Yu, B. Prediction of protein-protein interactions based on ensemble residual convolutional neural network. Comput. Biol. Med. 2023, 152, 106471. [Google Scholar] [CrossRef]
- Yu, B.; Chen, C.; Wang, X.; Yu, Z.; Ma, A.; Liu, B. Prediction of protein–protein interactions based on elastic net and deep forest. Expert Syst. Appl. 2021, 176, 114876. [Google Scholar] [CrossRef]
- Basu, S.; Zhao, B.; Biró, B.; Faraggi, E.; Gsponer, J.; Hu, G.; Kloczkowski, A.; Malhis, N.; Mirdita, M.; Söding, J.; et al. DescribePROT in 2023: More, higher-quality and experimental annotations and improved data download options. Nucleic Acids Res. 2024, 52, D426–D433. [Google Scholar] [CrossRef]
- Orii, N.; Ganapathiraju, M.K. Wiki-Pi: A Web-Server of Annotated Human Protein-Protein Interactions to Aid in Discovery of Protein Function. PLoS ONE 2012, 7, e49029. [Google Scholar] [CrossRef]
- Panaitiu, A.E.; Basiashvili, T.; Mierke, D.F.; Pellegrini, M. An engineered construct of cFLIP provides insight into DED1 structure and interactions. Structure 2022, 30, 229–239.e5. [Google Scholar] [CrossRef] [PubMed]
- Qiu, J.; Liu, Q.; Li, P.; Jiang, Q.; Chen, W.; Li, D.; Li, G.; Shan, G. Ligand-directed photodegradation of interacting proteins: Oxidative HER2/HER3 heterodimer degradation with a lapatinib-derived photosensitizer. J. Med. Chem. 2023, 66, 10265–10272. [Google Scholar] [CrossRef] [PubMed]
- Parvizpour, S.; Pourseif, M.M.; Razmara, J.; Rafi, M.A.; Omidi, Y. Epitope-based vaccine design: A comprehensive overview of bioinformatics approaches. Drug Discov. Today 2020, 25, 1034–1042. [Google Scholar] [CrossRef] [PubMed]
- Lu, R.M.; Hwang, Y.C.; Liu, I.J.; Lee, C.C.; Tsai, H.Z.; Li, H.J.; Wu, H.C. Development of therapeutic antibodies for the treatment of diseases. J. Biomed. Sci. 2020, 27, 1. [Google Scholar] [CrossRef] [PubMed]
- Yang, J.; Roy, A.; Zhang, Y. BioLiP: A semi-manually curated database for biologically relevant ligand-protein interactions. Nucleic Acids Res. 2013, 41, D1096–D1103. [Google Scholar] [CrossRef] [PubMed]
- The UniProt Consortium. UniProt: The Universal Protein Knowledgebase in 2023. Nucleic Acids Res. 2023, 51, D523–D531. [Google Scholar] [CrossRef]
- Tang, T.; Zhang, X.; Liu, Y.; Peng, H.; Zheng, B.; Yin, Y.; Zeng, X. Machine learning on protein–protein interaction prediction: Models, challenges and trends. Briefings Bioinform. 2023, 24, bbad076. [Google Scholar] [CrossRef]
- Soleymani, F.; Paquet, E.; Viktor, H.L.; Michalowski, W.; Spinello, D. ProtInteract: A deep learning framework for predicting protein–protein interactions. Comput. Struct. Biotechnol. J. 2023, 21, 1324–1348. [Google Scholar] [CrossRef]
- Jumper, J.; Evans, R.; Pritzel, A.; Green, T.; Figurnov, M.; Ronneberger, O.; Tunyasuvunakool, K.; Bates, R.; Žídek, A.; Potapenko, A.; et al. Highly accurate protein structure prediction with AlphaFold. Nature 2021, 596, 583–589. [Google Scholar] [CrossRef]
- Varadi, M.; Anyango, S.; Deshpande, M.; Nair, S.; Natassia, C.; Yordanova, G.; Yuan, D.; Stroe, O.; Wood, G.; Laydon, A.; et al. AlphaFold protein structure database: Massively expanding the structural coverage of protein-sequence space with high-accuracy models. Nucleic Acids Res. 2022, 50, D439–D444. [Google Scholar] [CrossRef]
- Jakubec, D.; Skoda, P.; Krivak, R.; Novotny, M.; Hoksza, D. PrankWeb 3: Accelerated ligand-binding site predictions for experimental and modelled protein structures. Nucleic Acids Res. 2022, 50, W593–W597. [Google Scholar] [CrossRef] [PubMed]
- McGreig, J.E.; Uri, H.; Antczak, M.; Sternberg, M.J.E.; Michaelis, M.; Wass, M. 3DLigandSite: Structure-based prediction of protein–ligand binding sites. Nucleic Acids Res. 2022, 50, W13–W20. [Google Scholar] [CrossRef] [PubMed]
- Esmaielbeiki, R.; Krawczyk, K.; Knapp, B.; Nebel, J.C.; Deane, C.M. Progress and challenges in predicting protein interfaces. Briefings Bioinform. 2016, 17, 117–131. [Google Scholar] [CrossRef] [PubMed]
- Li, Y.; Golding, G.B.; Ilie, L. DELPHI: Accurate deep ensemble model for protein interaction sites prediction. Bioinformatics 2021, 37, 896–904. [Google Scholar] [CrossRef] [PubMed]
- Stringer, B.; de Ferrante, H.; Abeln, S.; Heringa, J.; Feenstra, K.A.; Haydarlou, R. PIPENN: Protein interface prediction from sequence with an ensemble of neural nets. Bioinformatics 2022, 38, 2111–2118. [Google Scholar] [CrossRef]
- Hosseini, S.; Ilie, L. PITHIA: Protein Interaction Site Prediction Using Multiple Sequence Alignments and Attention. Int. J. Mol. Sci. 2022, 23, 12814. [Google Scholar] [CrossRef]
- Hou, Z.; Yang, Y.; Ma, Z.; Wong, K.c.; Li, X. Learning the protein language of proteome-wide protein-protein binding sites via explainable ensemble deep learning. Commun. Biol. 2023, 6, 73. [Google Scholar] [CrossRef]
- Fout, A.; Byrd, J.; Shariat, B.; Ben-Hur, A. Protein interface prediction using graph convolutional networks. In Proceedings of the Advances in Neural Information Processing Systems 30: Annual Conference on Neural Information Processing Systems 2017, Long Beach, CA, USA, 4–9 December 2017; pp. 6530–6539. [Google Scholar]
- Mahbub, S.; Bayzid, M.S. EGRET: Edge aggregated graph attention networks and transfer learning improve protein–protein interaction site prediction. Briefings Bioinform. 2022, 23, bbab578. [Google Scholar] [CrossRef]
- Zhou, Y.; Jiang, Y.; Yang, Y. AGAT-PPIS: A novel protein–protein interaction site predictor based on augmented graph attention network with initial residual and identity mapping. Briefings Bioinform. 2023, 24, bbad122. [Google Scholar] [CrossRef]
- Tubiana, J.; Schneidman-Duhovny, D.; Wolfson, H.J. ScanNet: An interpretable geometric deep learning model for structure-based protein binding site prediction. Nat. Methods 2022, 19, 730–739. [Google Scholar] [CrossRef]
- Jiménez, J.; Doerr, S.; Martínez-Rosell, G.; Rose, A.S.; Fabritiis, G.D. DeepSite: Protein-binding site predictor using 3D-convolutional neural networks. Bioinformatics 2017, 33, 3036–3042. [Google Scholar] [CrossRef] [PubMed]
- Altschul, S.F.; Madden, T.L.; Schäffer, A.A.; Zhang, J.; Zhang, Z.; Miller, W.; Lipman, D.J. Gapped BLAST and PSI-BLAST: A new generation of protein database search programs. Nucleic Acids Res. 1997, 25, 3389–3402. [Google Scholar] [CrossRef] [PubMed]
- Remmert, M.; Biegert, A.; Hauser, A.; Söding, J. HHblits: Lightning-fast iterative protein sequence searching by HMM-HMM alignment. Nat. Methods 2011, 9, 173–175. [Google Scholar] [CrossRef] [PubMed]
- Mirdita, M.; Steinegger, M.; Breitwieser, F.; Söding, J.; Levy Karin, E. Fast and sensitive taxonomic assignment to metagenomic contigs. Bioinformatics 2021, 37, 3029–3031. [Google Scholar] [CrossRef]
- Høie, M.H.; Kiehl, E.N.; Petersen, B.; Nielsen, M.; Winther, O.; Nielsen, H.; Hallgren, J.; Marcatili, P. NetSurfP-3.0: Accurate and fast prediction of protein structural features by protein language models and deep learning. Nucleic Acids Res. 2022, 50, W510–W515. [Google Scholar] [CrossRef]
- Buchan, D.W.A.; Minneci, F.; Nugent, T.C.O.; Bryson, K.; Jones, D.T. Scalable web services for the PSIPRED Protein Analysis Workbench. Nucleic Acids Res. 2013, 41, W349–W357. [Google Scholar] [CrossRef]
- Elnaggar, A.; Heinzinger, M.; Dallago, C.; Rehawi, G.; Wang, Y.; Jones, L.; Gibbs, T.; Feher, T.; Angerer, C.; Steinegger, M.; et al. ProtTrans: Towards Cracking the Language of Lifes Code Through Self-Supervised Deep Learning and High Performance Computing. IEEE Trans. Pattern Anal. Mach. Intell. 2021, 44, 7112–7127. [Google Scholar] [CrossRef]
- Rives, A.; Meier, J.; Sercu, T.; Goyal, S.; Lin, Z.; Liu, J.; Guo, D.; Ott, M.; Zitnick, C.L.; Ma, J.; et al. Biological structure and function emerge from scaling unsupervised learning to 250 million protein sequences. Proc. Natl. Acad. Sci. USA 2021, 118, e2016239118. [Google Scholar] [CrossRef]
- Clifford, J.N.; Høie, M.H.; Deleuran, S.; Peters, B.; Nielsen, M.; Marcatili, P. BepiPred-3.0: Improved B-cell epitope prediction using protein language models. Protein Sci. 2022, 31, e4497. [Google Scholar] [CrossRef]
- Yuan, Q.; Chen, S.; Wang, Y.; Zhao, H.; Yang, Y. Alignment-free metal ion-binding site prediction from protein sequence through pretrained language model and multi-task learning. Briefings Bioinform. 2022, 23, bbac444. [Google Scholar] [CrossRef]
- Littmann, M.; Heinzinger, M.; Dallago, C.; Weissenow, K.; Rost, B. Protein embeddings and deep learning predict binding residues for various ligand classes. Sci. Rep. 2021, 11, 23916. [Google Scholar] [CrossRef] [PubMed]
- Lu, S.; Li, Y.; Nan, X.; Zhang, S. Attention-based Convolutional Neural Networks for Protein-Protein Interaction Site Prediction. In Proceedings of the 2021 IEEE International Conference on Bioinformatics and Biomedicine (BIBM), Houston, TX, USA, 9–12 December 2021; pp. 141–144. [Google Scholar] [CrossRef]
- Li, Y.; Lu, S.; Ma, Q.; Nan, X.; Zhang, S. Protein-Protein Interaction Site Prediction Based on Attention Mechanism and Convolutional Neural Networks. IEEE/Acm Trans. Comput. Biol. Bioinform. 2023, 20, 3820–3829. [Google Scholar] [CrossRef] [PubMed]
- Porollo, A.; Meller, J. Prediction-based fingerprints of protein-protein interactions. Proteins Struct. Funct. Bioinform. 2006, 66, 630–645. [Google Scholar] [CrossRef]
- Ofran, Y.; Rost, B. ISIS: Interaction sites identified from sequence. Bioinformatics 2007, 23, e13–e16. [Google Scholar] [CrossRef]
- Murakami, Y.; Mizuguchi, K. Applying the Naïve Bayes classifier with kernel density estimation to the prediction of protein–protein interaction sites. Bioinformatics 2010, 26, 1841–1848. [Google Scholar] [CrossRef] [PubMed]
- Dhole, K.; Singh, G.; Pai, P.P.; Mondal, S. Sequence-based prediction of protein–protein interaction sites with L1-logreg classifier. J. Theor. Biol. 2014, 348, 47–54. [Google Scholar] [CrossRef] [PubMed]
- Singh, G.; Dhole, K.; Pai, P.P.; Mondal, S. SPRINGS: Prediction of Protein-Protein Interaction Sites Using Artificial Neural Networks. J. Proteom. Comput. Biol. 2014, 1, 7. [Google Scholar] [CrossRef]
- Wei, Z.S.; Yang, J.Y.; Shen, H.B.; Yu, D.J. A Cascade Random Forests Algorithm for Predicting Protein-Protein Interaction Sites. IEEE Trans. Nanobioscience 2015, 14, 746–760. [Google Scholar] [CrossRef]
- Taherzadeh, G.; Yang, Y.; Zhang, T.; Liew, A.W.; Zhou, Y. Sequence-based prediction of protein–peptide binding sites using support vector machine. J. Comput. Chem. 2016, 37, 1223–1229. [Google Scholar] [CrossRef]
- Wei, Z.S.; Han, K.; Yang, J.Y.; Shen, H.B.; Yu, D.J. Protein–protein interaction sites prediction by ensembling SVM and sample-weighted random forests. Neurocomputing 2016, 193, 201–212. [Google Scholar] [CrossRef]
- Hou, Q.; De Geest, P.; Vranken, W.F.; Heringa, J.; Feenstra, K.A. Seeing the Trees through the Forest: Sequence-based Homo- and Heteromeric Protein-protein Interaction sites prediction using Random Forest. Bioinformatics 2017, 33, 1479–1487. [Google Scholar] [CrossRef] [PubMed]
- Hou, Q.; De Geest, P.F.G.; Griffioen, C.J.; Abeln, S.; Heringa, J.; Feenstra, K.A. SeRenDIP: SEquential REmasteriNg to DerIve profiles for fast and accurate predictions of PPI interface positions. Bioinformatics 2019, 35, 4794–4796. [Google Scholar] [CrossRef] [PubMed]
- Zhang, B.; Li, J.; Quan, L.; Chen, Y.; Lü, Q. Sequence-based prediction of protein-protein interaction sites by simplified long short-term memory network. Neurocomputing 2019, 357, 86–100. [Google Scholar] [CrossRef]
- Zhang, J.; Kurgan, L. SCRIBER: Accurate and partner type-specific prediction of protein-binding residues from proteins sequences. Bioinformatics 2019, 35, i343–i353. [Google Scholar] [CrossRef] [PubMed]
- Qiu, J.; Bernhofer, M.; Heinzinger, M.; Kemper, S.; Norambuena, T.; Melo, F.; Rost, B. ProNA2020 predicts protein–DNA, protein–RNA, and protein–protein binding proteins and residues from sequence. J. Mol. Biol. 2020, 432, 2428–2443. [Google Scholar] [CrossRef] [PubMed]
- Zhang, F.; Shi, W.; Zhang, J.; Zeng, M.; Li, M.; Kurgan, L. PROBselect: Accurate prediction of protein-binding residues from proteins sequences via dynamic predictor selection. Bioinformatics 2020, 36, i735–i744. [Google Scholar] [CrossRef]
- Wang, X.; Zhang, Y.; Yu, B.; Salhi, A.; Chen, R.; Wang, L.; Liu, Z. Prediction of protein-protein interaction sites through eXtreme gradient boosting with kernel principal component analysis. Comput. Biol. Med. 2021, 134, 104516. [Google Scholar] [CrossRef]
- Cong, H. Protein–protein interaction site prediction by model ensembling with hybrid feature and self-attention. BMC Bioinform. 2023, 24, 456. [Google Scholar] [CrossRef]
- Hu, J.; Dong, M.; Tang, Y.X.; Zhang, G.J. Improving protein-protein interaction site prediction using deep residual neural network. Anal. Biochem. 2023, 670, 115132. [Google Scholar] [CrossRef]
- Manfredi, M.; Savojardo, C.; Martelli, P.L.; Casadio, R. ISPRED-SEQ: Deep Neural Networks and Embeddings for Predicting Interaction Sites in Protein Sequences. J. Mol. Biol. 2023, 435, 167963. [Google Scholar] [CrossRef]
- Mou, M.; Pan, Z.; Zhou, Z.; Zheng, L.; Zhang, H.; Shi, S.; Li, F.; Sun, X.; Zhu, F. A Transformer-Based Ensemble Framework for the Prediction of Protein–Protein Interaction Sites. Research 2023, 6, 0240. [Google Scholar] [CrossRef] [PubMed]
- Nikam, R.; Yugandhar, K.; Gromiha, M.M. DeepBSRPred: Deep learning-based binding site residue prediction for proteins. Amino Acids 2023, 55, 1305–1316. [Google Scholar] [CrossRef] [PubMed]
- Zhang, F.; Li, M.; Zhang, J.; Shi, W.; Kurgan, L. DeepPRObind: Modular Deep Learner that Accurately Predicts Structure and Disorder-Annotated Protein Binding Residues. J. Mol. Biol. 2023, 435, 167945. [Google Scholar] [CrossRef] [PubMed]
- Olimpieri, P.P.; Chailyan, A.; Tramontano, A.; Marcatili, P. Prediction of site-specific interactions in antibody-antigen complexes: The proABC method and server. Bioinformatics 2013, 29, 2285–2291. [Google Scholar] [CrossRef] [PubMed]
- Liberis, E.; Veličković, P.; Sormanni, P.; Vendruscolo, M.; Liò, P. Parapred: Antibody paratope prediction using convolutional and recurrent neural networks. Bioinformatics 2018, 34, 2944–2950. [Google Scholar] [CrossRef]
- Deac, A.; Veličković, P.; Sormanni, P. Attentive cross-modal paratope prediction. J. Comput. Biol. 2019, 26, 536–545. [Google Scholar] [CrossRef]
- Ambrosetti, F.; Olsen, T.H.; Olimpieri, P.P.; Jiménez-García, B.; Milanetti, E.; Marcatilli, P.; Bonvin, A.M.J.J. proABC-2: PRediction of AntiBody contacts v2 and its application to information-driven docking. Bioinformatics 2020, 36, 5107–5108. [Google Scholar] [CrossRef]
- Zhang, P.; Zheng, S.; Chen, J.; Zhou, Y.; Yang, Y. DeepANIS: Predicting antibody paratope from concatenated CDR sequences by integrating bidirectional long-short-term memory and transformer neural networks. In Proceedings of the 2021 IEEE International Conference on Bioinformatics and Biomedicine (BIBM), Houston, TX, USA, 9–12 December 2021; pp. 118–124. [Google Scholar] [CrossRef]
- Lu, S.; Li, Y.; Nan, X.; Zhang, S. A Sequence-Based Antibody Paratope Prediction Model Through Combing Local-Global Information and Partner Features. In Proceedings of the 17th International Symposium on Bioinformatics Research and Applications (ISBRA 2021), Shenzhen, China, 26–28 November 2021; Lecture Notes in Computer Science. Springer: Berlin/Heidelberg, Germany, 2021; Volume 13064, pp. 179–190. [Google Scholar] [CrossRef]
- Larsen, J.; Lund, O.; Nielsen, M. Improved method for predicting linear B-cell epitopes. Immunome Res. 2006, 2, 2. [Google Scholar] [CrossRef][Green Version]
- Davydov, Y.I.; Tonevitsky, A.G. Prediction of linear B-cell epitopes. Mol. Biol. 2009, 43, 150–158. [Google Scholar] [CrossRef]
- Ansari, H.; Raghava, G.P. Identification of conformational B-cell Epitopes in an antigen from its primary sequence. Immunome Res. 2010, 6, 6. [Google Scholar] [CrossRef]
- Jespersen, M.C.; Peters, B.; Nielsen, M.; Marcatili, P. BepiPred-2.0: Improving sequence-based B-cell epitope prediction using conformational epitopes. Nucleic Acids Res. 2017, 45, W24–W29. [Google Scholar] [CrossRef] [PubMed]
- Hou, Q.; Stringer, B.; Waury, K.; Capel, H.; Haydarlou, R.; Xue, F.; Abeln, S.; Heringa, J.; Feenstra, K.A. SeRenDIP-CE: Sequence-based interface prediction for conformational epitopes. Bioinformatics 2021, 37, 3421–3427. [Google Scholar] [CrossRef] [PubMed]
- Shashkova, T.I.; Umerenkov, D.; Salnikov, M.; Strashnov, P.V.; Konstantinova, A.V.; Lebed, I.; Shcherbinin, D.N.; Asatryan, M.N.; Kardymon, O.L.; Ivanisenko, N.V. SEMA: Antigen B-cell conformational epitope prediction using deep transfer learning. Front. Immunol. 2022, 13, 960985. [Google Scholar] [CrossRef] [PubMed]
- Schaeffer, R.D.; Liao, Y.; Cheng, H.; Grishin, N.V. ECOD: New developments in the evolutionary classification of domains. Nucleic Acids Res. 2017, 45, D296–D302. [Google Scholar] [CrossRef] [PubMed]
- Mirdita, M.; Steinegger, M.; Söding, J. MMseqs2 desktop and local web server app for fast, interactive sequence searches. Bioinformatics 2019, 35, 2856–2858. [Google Scholar] [CrossRef]
- Zeng, M.; Zhang, F.; Wu, F.X.; Li, Y.; Wang, J.; Li, M. Protein–protein interaction site prediction through combining local and global features with deep neural networks. Bioinformatics 2019, 36, btz699. [Google Scholar] [CrossRef]
- Stave, J.W.; Lindpaintner, K. Antibody and Antigen Contact Residues Define Epitope and Paratope Size and Structure. J. Immunol. 2013, 191, 1428–1435. [Google Scholar] [CrossRef]
- Dunbar, J.; Krawczyk, K.; Leem, J.; Baker, T.; Fuchs, A.; Georges, G.; Shi, J.; Deane, C.M. SAbDab: The structural antibody database. Nucleic Acids Res. 2014, 42, D1140–D1146. [Google Scholar] [CrossRef]
- Steinegger, M.; Mirdita, M.; Söding, J. Protein-level assembly increases protein sequence recovery from metagenomic samples manyfold. Nat. Methods 2019, 16, 603–606. [Google Scholar] [CrossRef]
- Suzek, B.E.; Huang, H.; McGarvey, P.; Mazumder, R.; Wu, C.H. UniRef: Comprehensive and non-redundant UniProt reference clusters. Bioinformatics 2007, 23, 1282–1288. [Google Scholar] [CrossRef]
- Klausen, M.S.; Jespersen, M.C.; Nielsen, H.; Jensen, K.K.; Jurtz, V.I.; Sønderby, C.K.; Sommer, M.O.A.; Winther, O.; Nielsen, M.; Petersen, B.; et al. NetSurfP-2.0: Improved prediction of protein structural features by integrated deep learning. Proteins Struct. Funct. Bioinform. 2019, 87, 520–527. [Google Scholar] [CrossRef] [PubMed]
- Yang, J.; Anishchenko, I.; Park, H.; Peng, Z.; Ovchinnikov, S.; Baker, D. Improved protein structure prediction using predicted interresidue orientations. Proc. Natl. Acad. Sci. USA 2020, 117, 1496–1503. [Google Scholar] [CrossRef] [PubMed]
- Karimi, M.; Wu, D.; Wang, Z.; Shen, Y. DeepAffinity: Interpretable deep learning of compound-protein affinity through unified recurrent and convolutional neural networks. Bioinformatics 2019, 35, 3329–3338. [Google Scholar] [CrossRef] [PubMed]
- Kim, Y. Convolutional Neural Networks for Sentence Classification. In Proceedings of the 2014 Conference on Empirical Methods in Natural Language Processing (EMNLP). Association for Computational Linguistics, Doha, Qatar, 25–29 October 2014; pp. 1746–1751. [Google Scholar] [CrossRef]
- Yan, W.; Calhoun, V.; Song, M.; Cui, Y.; Yan, H.; Liu, S.; Fan, L.; Zuo, N.; Yang, Z.; Xu, K.; et al. Discriminating schizophrenia using recurrent neural network applied on time courses of multi-site FMRI data. EBioMedicine 2019, 47, 543–552. [Google Scholar] [CrossRef]
- Elman, J.L. Finding Structure in Time. Cogn. Sci. 1990, 14, 179–211. [Google Scholar] [CrossRef]
- Hochreiter, S.; Schmidhuber, J. Long short-term memory. Neural Comput. 1997, 9, 1735–1780. [Google Scholar] [CrossRef]
- Gulcehre, C.; Cho, K.; Pascanu, R.; Bengio, Y. Learned-norm pooling for deep feedforward and recurrent neural networks. In Proceedings of the Machine Learning and Knowledge Discovery in Databases—European Conference, ECML PKDD 2014, Nancy, France, 15–19 September 2014. Proceedings, Part I; Calders, T., Esposito, F., Hüllermeier, E., Meo, R., Eds.; Lecture Notes in Computer Science; Springer: Berlin/Heidelberg, Germany, 2014; Volume 8724, pp. 530–546. [Google Scholar] [CrossRef]
- Lu, S.; Li, Y.; Ma, Q.; Nan, X.; Zhang, S. A Structure-Based B-cell Epitope Prediction Model Through Combing Local and Global Features. Front. Immunol. 2022, 13, 890943. [Google Scholar] [CrossRef]
- Pittala, S.; Bailey-Kellogg, C. Learning context-aware structural representations to predict antigen and antibody binding interfaces. Bioinformatics 2022, 36, 3996–4003. [Google Scholar] [CrossRef]
- Staeheli, L.A.; Mitchell, D. The Relationship Between Precision-Recall and ROC Curves. In Proceedings of the International Conference on Machine Learning, New York, NY, USA, 25–29 June 2006; pp. 233–240. [Google Scholar] [CrossRef]
- Prechelt, L. Early Stopping-But When? In Neural Networks: Tricks of the Trade; Lecture Notes in Computer Science; Springer: Berlin/Heidelberg, Germany, 1996; Volume 1524, pp. 55–69. [Google Scholar] [CrossRef]




| Dataset | Proteins | Residues | Binding Residues | Evaluation Method | PBRs Type |
|---|---|---|---|---|---|
| NSP6373 | 6373 | 2,068,793 | 203,880 (10.60%) | Hold-out (Training Set) | N+S+P |
| NSP355 | 355 | 95,940 | 11,467 (11.95%) | Hold-out (Test Set) | |
| NSP448 | 448 | 116,500 | 22,643 (19.44%) | Hold-out (Test Set) | |
| P346 | 346 | 75,204 | 11,027 (14.66%) | Hold-out (Training Set) | P |
| P70 | 70 | 11,791 | 2330 (19.76%) | Hold-out (Test Set) | |
| N376 | 376 | 124,476 | 15,821 (12.71%) | Hold-out (Training Set) | S |
| N38 | 38 | 10,212 | 1233 (12.07%) | Hold-out (Test Set) | |
| S3874 | 3874 | 1,246,682 | 129,245 (10.37%) | Hold-out (Training Set) | N |
| S354 | 354 | 99,318 | 7175 (3.20%) | Hold-out (Test Set) | |
| HHC489 | 489 | 126,997 | 25,564 (20.13%) | Hold-out (Training Set) | He+Ho |
| He48 | 48 | 14,056 | 1313 (9.34%) | Hold-out (Test Set) | |
| Ho95 | 95 | 24,766 | 5564 (22.47%) | Hold-out (Test Set) | |
| Pa277 | 277 | 115,341 | 6151 (5.33%) | K-fold Cross-validation | Pa |
| Ep280 | 280 | 75,956 | 6971 (9.18%) | K-fold Cross-validation | Ep |
| Methods | SPE | ACC | F1 | MCC | AUROC | AUPRC | |
|---|---|---|---|---|---|---|---|
| Attention | W0K3GRU1 | ||||||
| W1K3GRU1 | |||||||
| W2K3GRU1 | |||||||
| W4K3GRU1 | |||||||
| CNN | W3K0GRU1 | ||||||
| W3K1GRU1 | |||||||
| W3K2GRU1 | |||||||
| W3K4GRU1 | |||||||
| GRU | W3K3GRU0 | ||||||
| W3K3GRU2 | |||||||
| W3K3GRU3 | |||||||
| Proposed | W3K3GRU1 (PMSFF) | 0.881(0.000) | 0.808(0.001) | 0.694(0.001) | 0.388(0.003) | 0.800(0.001) | 0.514(0.002) |
| Methods | SPE | ACC | F1 | MCC | AUROC | AUPRC |
|---|---|---|---|---|---|---|
| SPPIDER a | 0.870 | 0.781 | 0.198 | 0.071 | 0.517 | 0.159 |
| SPRINT a | 0.873 | 0.781 | 0.183 | 0.057 | 0.570 | 0.167 |
| PSIVER a | 0.874 | 0.783 | 0.191 | 0.066 | 0.581 | 0.170 |
| SPRINGS a | 0.882 | 0.796 | 0.229 | 0.111 | 0.625 | 0.201 |
| LORIS a | 0.887 | 0.805 | 0.263 | 0.151 | 0.656 | 0.228 |
| CRFPPI a | 0.887 | 0.805 | 0.266 | 0.154 | 0.681 | 0.238 |
| SSWRF a | 0.891 | 0.811 | 0.287 | 0.178 | 0.687 | 0.256 |
| SCRIBER a | 0.896 | 0.821 | 0.333 | 0.230 | 0.715 | 0.287 |
| DELPHI b | 0.901 | 0.829 | 0.371 | 0.272 | 0.737 | 0.337 |
| PIPENN b | 0.870 | 0.785 | 0.385 | 0.254 | 0.729 | 0.357 |
| AttCNNPPI b | 0.831 | 0.737 | 0.587 | 0.174 | 0.634 | 0.316 |
| PITHIA b | 0.907 | 0.840 | 0.408 | 0.315 | 0.778 | 0.387 |
| StackingPPINet b | NA | NA | 0.387 | 0.129 | 0.593 | 0.406 |
| EDLMPPI b | 0.922 | 0.858 | 0.464 | 0.383 | 0.820 | 0.460 |
| D-PPIsite b | 0.919 | 0.859 | 0.480 | 0.399 | 0.824 | 0.476 |
| ISPRED-SEQ b | NA | NA | 0.470 | 0.390 | 0.820 | NA |
| EnsePPIs b | NA | 0.821 | 0.385 | 0.291 | 0.770 | 0.354 |
| DeepBSRPred b | 0.630 | NA | 0.380 | 0.260 | 0.740 | 0.340 |
| DeepRObind c | 0.949 | 0.802 | 0.272 | 0.206 | 0.666 | 0.354 |
| PMSFF | 0.881 | 0.808 | 0.694 | 0.388 | 0.800 | 0.514 |
| Methods | SPE | ACC | F1 | MCC | AUROC | AUPRC |
|---|---|---|---|---|---|---|
| SPPIDER a | 0.889 | 0.804 | 0.180 | 0.068 | 0.515 | 0.138 |
| SPRINT a | 0.886 | 0.801 | 0.168 | 0.054 | 0.571 | 0.150 |
| PSIVER a | 0.888 | 0.803 | 0.177 | 0.065 | 0.583 | 0.155 |
| SPRINGS a | 0.892 | 0.811 | 0.211 | 0.103 | 0.608 | 0.178 |
| LORIS a | 0.896 | 0.818 | 0.241 | 0.137 | 0.637 | 0.203 |
| CRFPPI a | 0.897 | 0.819 | 0.246 | 0.143 | 0.662 | 0.214 |
| SSWRF a | 0.901 | 0.825 | 0.268 | 0.168 | 0.667 | 0.228 |
| SCRIBER a | 0.908 | 0.838 | 0.322 | 0.230 | 0.719 | 0.275 |
| DLPred a | 0.906 | 0.835 | 0.308 | 0.214 | 0.724 | 0.272 |
| DELPHI a | 0.914 | 0.848 | 0.364 | 0.278 | 0.746 | 0.326 |
| PIPENN c | 0.863 | 0.863 | 0.375 | 0.237 | 0.710 | 0.351 |
| PITHIA b | 0.916 | 0.852 | 0.381 | 0.297 | 0.762 | 0.344 |
| D-PPIsite b | 0.927 | 0.871 | 0.460 | 0.387 | 0.822 | 0.448 |
| ISPRED-SEQ b | NA | NA | 0.460 | 0.390 | 0.820 | NA |
| EnsePPIs b | NA | 0.821 | 0.385 | 0.291 | 0.770 | 0.354 |
| DeepBSRPred c | 0.557 | 0.533 | 0.244 | −0.018 | NA | NA |
| DeepRObind c | 0.957 | 0.815 | 0.248 | 0.196 | 0.662 | 0.331 |
| PMSFF | 0.890 | 0.819 | 0.499 | 0.389 | 0.805 | 0.502 |
| Methods | PRE | SEN | ACC | F1 | MCC | AUROC | AUPRC |
|---|---|---|---|---|---|---|---|
| PSIVER a | 0.253 | 0.468 | 0.653 | 0.328 | 0.138 | NA | 0.250 |
| SPPIDER a | 0.209 | 0.459 | 0.622 | 0.287 | 0.089 | NA | 0.230 |
| SPPIDER b | 0.240 | 0.315 | 0.667 | 0.273 | 0.063 | 0.518 | 0.235 |
| SPRINGS a | 0.248 | 0.598 | 0.631 | 0.350 | 0.181 | NA | 0.280 |
| ISIS a | 0.211 | 0.362 | 0.622 | 0.267 | 0.097 | NA | 0.240 |
| RFPPI a | 0.173 | 0.512 | 0.598 | 0.258 | 0.118 | NA | 0.210 |
| IntPred a | 0.247 | 0.508 | 0.672 | 0.332 | 0.165 | NA | NA |
| DeepPPISP a | 0.303 | 0.577 | 0.655 | 0.397 | 0.206 | 0.671 | 0.320 |
| DLPred b | 0.325 | 0.577 | 0.680 | 0.416 | 0.235 | 0.697 | 0.380 |
| ProNA2020 b | 0.297 | 0.229 | 0.741 | 0.258 | 0.106 | NA | NA |
| SCRIBER b | 0.274 | 0.569 | 0.616 | 0.370 | 0.159 | 0.635 | 0.307 |
| DELPHI b | 0.319 | 0.604 | 0.667 | 0.418 | 0.236 | 0.690 | 0.360 |
| EGRET b | 0.358 | 0.561 | 0.715 | 0.438 | 0.270 | 0.719 | 0.405 |
| EnsemPPIS b | 0.375 | 0.532 | 0.732 | 0.440 | 0.277 | 0.719 | 0.405 |
| AttCNNPPI c | 0.587 | 0.635 | 0.536 | 0.610 | 0.216 | 0.690 | 0.338 |
| PMSFF | 0.629 | 0.679 | 0.717 | 0.304 | 0.653 | 0.747 | 0.435 |
Disclaimer/Publisher’s Note: The statements, opinions and data contained in all publications are solely those of the individual author(s) and contributor(s) and not of MDPI and/or the editor(s). MDPI and/or the editor(s) disclaim responsibility for any injury to people or property resulting from any ideas, methods, instructions or products referred to in the content. |
© 2024 by the authors. Licensee MDPI, Basel, Switzerland. This article is an open access article distributed under the terms and conditions of the Creative Commons Attribution (CC BY) license (https://creativecommons.org/licenses/by/4.0/).
Share and Cite
Li, Y.; Nan, X.; Zhang, S.; Zhou, Q.; Lu, S.; Tian, Z. PMSFF: Improved Protein Binding Residues Prediction through Multi-Scale Sequence-Based Feature Fusion Strategy. Biomolecules 2024, 14, 1220. https://doi.org/10.3390/biom14101220
Li Y, Nan X, Zhang S, Zhou Q, Lu S, Tian Z. PMSFF: Improved Protein Binding Residues Prediction through Multi-Scale Sequence-Based Feature Fusion Strategy. Biomolecules. 2024; 14(10):1220. https://doi.org/10.3390/biom14101220
Chicago/Turabian StyleLi, Yuguang, Xiaofei Nan, Shoutao Zhang, Qinglei Zhou, Shuai Lu, and Zhen Tian. 2024. "PMSFF: Improved Protein Binding Residues Prediction through Multi-Scale Sequence-Based Feature Fusion Strategy" Biomolecules 14, no. 10: 1220. https://doi.org/10.3390/biom14101220
APA StyleLi, Y., Nan, X., Zhang, S., Zhou, Q., Lu, S., & Tian, Z. (2024). PMSFF: Improved Protein Binding Residues Prediction through Multi-Scale Sequence-Based Feature Fusion Strategy. Biomolecules, 14(10), 1220. https://doi.org/10.3390/biom14101220

