Do Amino Acid Antiporters Have Asymmetric Substrate Specificity?
Abstract
:1. Introduction
2. Materials and Methods
3. Results
3.1. Experimental Design
3.2. Flux Analysis of Antiporters
3.2.1. LAT1 and LAT2
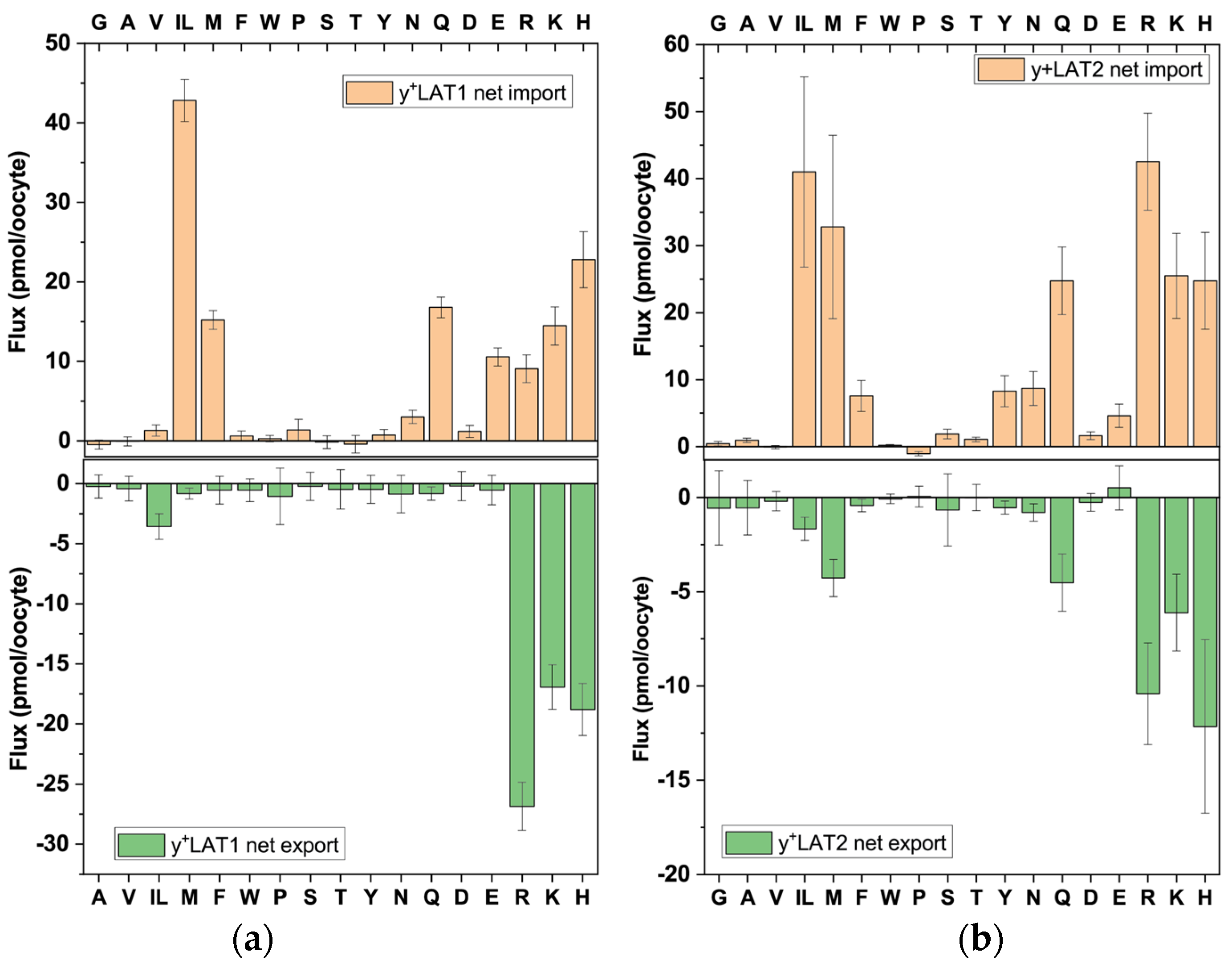
3.2.2. y+LAT1 and y+LAT2
3.2.3. asc-1 and xCT
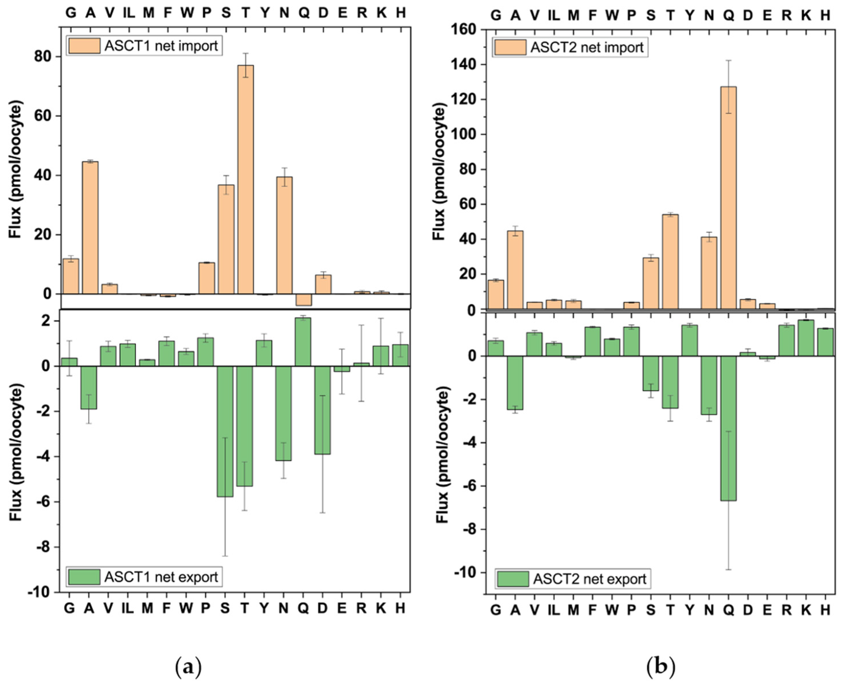
3.2.4. ASCT1 and ASCT2
4. Discussion
Author Contributions
Funding
Institutional Review Board Statement
Informed Consent Statement
Data Availability Statement
Acknowledgments
Conflicts of Interest
References
- Broer, S.; Gauthier-Coles, G. Amino Acid Homeostasis in Mammalian Cells with a Focus on Amino Acid Transport. J. Nutr. 2022, 152, 16–28. [Google Scholar] [CrossRef]
- Gauthier-Coles, G.; Vennitti, J.; Zhang, Z.; Comb, W.C.; Xing, S.; Javed, K.; Broer, A.; Broer, S. Quantitative modelling of amino acid transport and homeostasis in mammalian cells. Nat. Commun. 2021, 12, 5282. [Google Scholar] [CrossRef]
- Scalise, M.; Console, L.; Cosco, J.; Pochini, L.; Galluccio, M.; Indiveri, C. ASCT1 and ASCT2: Brother and Sister? SLAS Discov. 2021, 26, 1148–1163. [Google Scholar] [CrossRef]
- Fukasawa, Y.; Segawa, H.; Kim, J.Y.; Chairoungdua, A.; Kim, D.K.; Matsuo, H.; Cha, S.H.; Endou, H.; Kanai, Y. Identification and characterization of a Na+-independent neutral amino acid transporter that associates with the 4F2 heavy chain and exhibits substrate selectivity for small neutral D- and L-amino acids. J. Biol. Chem. 2000, 275, 9690–9698. [Google Scholar]
- Chillaron, J.; Roca, R.; Valencia, A.; Zorzano, A.; Palacin, M. Heteromeric amino acid transporters: Biochemistry, genetics, and physiology. Am. J. Physiol. Ren. Physiol. 2001, 281, F995–F1018. [Google Scholar]
- Wagner, C.; Lang, F.; Broer, S. Function and structure of heterodimeric amino acid transporters. Am. J. Physiol. -Cell Physiol. 2001, 281, C1077–C1093. [Google Scholar]
- Sato, H.; Tamba, M.; Ishii, T.; Bannai, S. Cloning and expression of a plasma membrane cystine/glutamate exchange transporter composed of two distinct proteins. J. Biol. Chem. 1999, 274, 11455–11458. [Google Scholar]
- Fotiadis, D.; Kanai, Y.; Palacin, M. The SLC3 and SLC7 families of amino acid transporters. Mol. Asp. Med. 2013, 34, 139–158. [Google Scholar] [CrossRef]
- Palacin, M. A new family of proteins (rBAT and 4F2hc) involved in cationic and zwitterionic amino acid transport: A tale of two proteins in search of a transport function. J. Exp. Biol. 1994, 196, 123–137. [Google Scholar]
- Forrest, L.R.; Kramer, R.; Ziegler, C. The structural basis of secondary active transport mechanisms. Biochim. Biophys Acta 2011, 1807, 167–188. [Google Scholar] [CrossRef]
- Nicolas-Arago, A.; Fort, J.; Palacin, M.; Errasti-Murugarren, E. Rush Hour of LATs towards Their Transport Cycle. Membranes 2021, 11, 602. [Google Scholar] [CrossRef]
- Fairweather, S.J.; Rajendran, E.; Blume, M.; Javed, K.; Steinhofel, B.; McConville, M.J.; Kirk, K.; Broer, S.; van Dooren, G.G. Coordinated action of multiple transporters in the acquisition of essential cationic amino acids by the intracellular parasite Toxoplasma gondii. PLoS Pathog 2021, 17, e1009835. [Google Scholar] [CrossRef]
- Cloherty, E.K.; Diamond, D.L.; Heard, K.S.; Carruthers, A. Regulation of GLUT1-mediated sugar transport by an antiport/uniport switch mechanism. Biochemistry 1996, 35, 13231–13239. [Google Scholar] [CrossRef]
- Coady, M.J.; Chen, X.Z.; Lapointe, J.Y. rBAT is an amino acid exchanger with variable stoichiometry. J. Membr. Biol. 1996, 149, 1–8. [Google Scholar]
- Scalise, M.; Pochini, L.; Pingitore, P.; Hedfalk, K.; Indiveri, C. Cysteine is not a substrate but a specific modulator of human ASCT2 (SLC1A5) transporter. FEBS Lett. 2015, 589, 3617–3623. [Google Scholar] [CrossRef]
- Meier, C.; Ristic, Z.; Klauser, S.; Verrey, F. Activation of system L heterodimeric amino acid exchangers by intracellular substrates. Embo J. 2002, 21, 580–589. [Google Scholar]
- Scalise, M.; Pochini, L.; Panni, S.; Pingitore, P.; Hedfalk, K.; Indiveri, C. Transport mechanism and regulatory properties of the human amino acid transporter ASCT2 (SLC1A5). Amino Acids 2014, 46, 2463–2475. [Google Scholar] [CrossRef]
- Errasti-Murugarren, E.; Fort, J.; Bartoccioni, P.; Diaz, L.; Pardon, E.; Carpena, X.; Espino-Guarch, M.; Zorzano, A.; Ziegler, C.; Steyaert, J.; et al. L amino acid transporter structure and molecular bases for the asymmetry of substrate interaction. Nat. Commun. 2019, 10, 1807. [Google Scholar] [CrossRef]
- Pingitore, P.; Pochini, L.; Scalise, M.; Galluccio, M.; Hedfalk, K.; Indiveri, C. Large scale production of the active human ASCT2 (SLC1A5) transporter in Pichia pastoris--functional and kinetic asymmetry revealed in proteoliposomes. Biochim. Biophys Acta 2013, 1828, 2238–2246. [Google Scholar] [CrossRef]
- Mizraji, E. The biological Maxwell's demons: Exploring ideas about the information processing in biological systems. Theory Biosci. 2021, 140, 307–318. [Google Scholar] [CrossRef]
- Slater, E.C. Maxwell demons and enzymes. Trends Biochem. Sci. 1981, 6, 280–281. [Google Scholar]
- Van Winkle, L.J. Biomembrane Transport, 1st ed.; Academic Press: San Diego, CA, USA, 1999. [Google Scholar]
- Nath, S. The new unified theory of ATP synthesis/hydrolysis and muscle contraction, its manifold fundamental consequences and mechanistic implications and its applications in health and disease. Int. J. Mol. Sci. 2008, 9, 1784–1840. [Google Scholar] [CrossRef]
- Broer, A.; Rahimi, F.; Broer, S. Deletion of Amino Acid Transporter ASCT2 (SLC1A5) Reveals an Essential Role for Transporters SNAT1 (SLC38A1) and SNAT2 (SLC38A2) to Sustain Glutaminolysis in Cancer Cells. J. Biol. Chem. 2016, 291, 13194–13205. [Google Scholar] [CrossRef]
- Broer, A.; Friedrich, B.; Wagner, C.A.; Fillon, S.; Ganapathy, V.; Lang, F.; Broer, S. Association of 4F2hc with light chains LAT1, LAT2 or y+LAT2 requires different domains. Biochem. J. 2001, 355, 725–731. [Google Scholar]
- Broer, A.; Wagner, C.A.; Lang, F.; Broer, S. The heterodimeric amino acid transporter 4F2hc/y+LAT2 mediates arginine efflux in exchange with glutamine. Biochem. J. 2000, 349 Pt 3, 787–795. [Google Scholar] [CrossRef]
- Broer, S.; Rahman, B.; Pellegri, G.; Pellerin, L.; Martin, J.; Verleysdonk, S.; Hamprecht, B.; Magistretti, P. Comparison of lactate transport in astroglial cells and monocarboxylate transporter 1 (MCT 1) expressing Xenopus laevis oocytes—Expression of two different monocarboxylate transporters in astroglial cells and neurons. J. Biol. Chem. 1997, 272, 30096–30102. [Google Scholar] [CrossRef]
- Das, A.; Gauthier-Coles, G.; Bröer, S.; Rae, C.D. Impact of Inhibition of Glutamine and Alanine Transport on Cerebellar Glial and Neuronal Metabolism. Biomolecules 2022, 12, 1189. [Google Scholar]
- Sutton, T.R.; Minnion, M.; Barbarino, F.; Koster, G.; Fernandez, B.O.; Cumpstey, A.F.; Wischmann, P.; Madhani, M.; Frenneaux, M.P.; Postle, A.D.; et al. A robust and versatile mass spectrometry platform for comprehensive assessment of the thiol redox metabolome. Redox Biol. 2018, 16, 359–380. [Google Scholar] [CrossRef]
- Pino, L.K.; Searle, B.C.; Bollinger, J.G.; Nunn, B.; MacLean, B.; MacCoss, M.J. The Skyline ecosystem: Informatics for quantitative mass spectrometry proteomics. Mass Spectrom. Rev. 2020, 39, 229–244. [Google Scholar] [CrossRef]
- Taylor, M.A.; Smith, L.D. Accumulation of free amino acids in growing Xenopus laevis oocytes. Dev. Biol. 1987, 124, 287–290. [Google Scholar] [CrossRef]
- Widdows, K.L.; Panitchob, N.; Crocker, I.P.; Please, C.P.; Hanson, M.A.; Sibley, C.P.; Johnstone, E.D.; Sengers, B.G.; Lewis, R.M.; Glazier, J.D. Integration of computational modeling with membrane transport studies reveals new insights into amino acid exchange transport mechanisms. FASEB J. 2015, 29, 2583–2594. [Google Scholar] [CrossRef]
- Segawa, H.; Fukasawa, Y.; Miyamoto, K.; Takeda, E.; Endou, H.; Kanai, Y. Identification and functional characterization of a Na+-independent neutral amino acid transporter with broad substrate selectivity. J. Biol. Chem. 1999, 274, 19745–19751. [Google Scholar]
- Broer, A.; Hamprecht, B.; Broer, S. Discrimination of two amino acid transport activities in 4F2 heavy chain- expressing Xenopus laevis oocytes. Biochem. J. 1998, 333, 549–554. [Google Scholar]
- Fairweather, S.J.; Okada, S.; Gauthier-Coles, G.; Javed, K.; Broer, A.; Broer, S. A GC-MS/Single-Cell Method to Evaluate Membrane Transporter Substrate Specificity and Signaling. Front. Mol. Biosci. 2021, 8, 646574. [Google Scholar] [CrossRef]
- Deves, R.; Boyd, C.A. Transporters for cationic amino acids in animal cells: Discovery, structure, and function. Physiol. Rev. 1998, 78, 487–545. [Google Scholar]
- Broer, S. Xenopus laevis Oocytes. Methods Mol. Biol. 2010, 637, 295–310. [Google Scholar] [CrossRef]
- Torrents, D.; Estevez, R.; Pineda, M.; Fernandez, E.; Lloberas, J.; Shi, Y.B.; Zorzano, A.; Palacin, M. Identification and characterization of a membrane protein (y+L amino acid transporter-1) that associates with 4F2hc to encode the amino acid transport activity y+L. A candidate gene for lysinuric protein intolerance. J. Biol. Chem. 1998, 273, 32437–32445. [Google Scholar]
- Pfeiffer, R.; Rossier, G.; Spindler, B.; Meier, C.; Kuhn, L.; Verrey, F. Amino acid transport of y+L-type by heterodimers of 4F2hc/CD98 and members of the glycoprotein-associated amino acid transporter family. Embo J. 1999, 18, 49–57. [Google Scholar]
- Kanai, Y.; Fukasawa, Y.; Cha, S.H.; Segawa, H.; Chairoungdua, A.; Kim, D.K.; Matsuo, H.; Kim, J.Y.; Miyamoto, K.; Takeda, E.; et al. Transport properties of a system y+L neutral and basic amino acid transporter. Insights into the mechanisms of substrate recognition. J. Biol. Chem. 2000, 275, 20787–20793. [Google Scholar]
- Broer, S. Amino acid transporters as modulators of glucose homeostasis. Trends Endocrinol. Metab. 2022, 33, 120–135. [Google Scholar] [CrossRef]
- Bannai, S. Transport of cystine and cysteine in mammalian cells. Biochim. Biophys Acta 1984, 779, 289–306. [Google Scholar]
- Kanai, Y.; Clemencon, B.; Simonin, A.; Leuenberger, M.; Lochner, M.; Weisstanner, M.; Hediger, M.A. The SLC1 high-affinity glutamate and neutral amino acid transporter family. Mol. Asp. Med. 2013, 34, 108–120. [Google Scholar] [CrossRef]
- Broer, A.; Wagner, C.; Lang, F.; Broer, S. Neutral amino acid transporter ASCT2 displays substrate-induced Na+ exchange and a substrate-gated anion conductance. Biochem. J. 2000, 346, 705–710. [Google Scholar] [CrossRef]
- Wang, J.; Dong, Y.; Grewer, C. Functional and Kinetic Comparison of Alanine Cysteine Serine Transporters ASCT1 and ASCT2. Biomolecules 2022, 12, 113. [Google Scholar] [CrossRef]
- Guan, X.; Hoffman, B.; Dwivedi, C.; Matthees, D.P. A simultaneous liquid chromatography/mass spectrometric assay of glutathione, cysteine, homocysteine and their disulfides in biological samples. J. Pharm. Biomed. Anal. 2003, 31, 251–261. [Google Scholar] [CrossRef]
- Scopelliti, A.J.; Ryan, R.M.; Vandenberg, R.J. Molecular determinants for functional differences between alanine-serine-cysteine transporter 1 and other glutamate transporter family members. J. Biol. Chem. 2013, 288, 8250–8257. [Google Scholar] [CrossRef]
- Scalise, M.; Mazza, T.; Pappacoda, G.; Pochini, L.; Cosco, J.; Rovella, F.; Indiveri, C. The Human SLC1A5 Neutral Amino Acid Transporter Catalyzes a pH-Dependent Glutamate/Glutamine Antiport, as Well. Front. Cell Dev. Biol. 2020, 8, 603. [Google Scholar] [CrossRef]
- Le Guellec, B.; Rousseau, F.; Bied, M.; Supplisson, S. Flux coupling, not specificity, shapes the transport and phylogeny of SLC6 glycine transporters. Proc. Natl. Acad. Sci. USA 2022, 119, e2205874119. [Google Scholar] [CrossRef]
- Levy, L.M.; Warr, O.; Attwell, D. Stoichiometry of the glial glutamate transporter GLT-1 expressed inducibly in a Chinese hamster ovary cell line selected for low endogenous Na+-dependent glutamate uptake. J. Neurosci. 1998, 18, 9620–9628. [Google Scholar]
- Broer, A.; Albers, A.; Setiawan, I.; Edwards, R.H.; Chaudhry, F.A.; Lang, F.; Wagner, C.A.; Broer, S. Regulation of the glutamine transporter SN1 by extracellular pH and intracellular sodium ions. J. Physiol. 2002, 539, 3–14. [Google Scholar] [CrossRef]
- Garaeva, A.A.; Guskov, A.; Slotboom, D.J.; Paulino, C. A one-gate elevator mechanism for the human neutral amino acid transporter ASCT2. Nat. Commun. 2019, 10, 3427. [Google Scholar] [CrossRef]
- Boudker, O.; Verdon, G. Structural perspectives on secondary active transporters. Trends Pharm. Sci. 2010, 31, 418–426. [Google Scholar] [CrossRef]
- Alleva, C.; Machtens, J.P.; Kortzak, D.; Weyand, I.; Fahlke, C. Molecular Basis of Coupled Transport and Anion Conduction in Excitatory Amino Acid Transporters. Neurochem. Res. 2022, 47, 9–22. [Google Scholar] [CrossRef]
- Garaeva, A.A.; Oostergetel, G.T.; Gati, C.; Guskov, A.; Paulino, C.; Slotboom, D.J. Cryo-EM structure of the human neutral amino acid transporter ASCT2. Nat. Struct. Mol. Biol. 2018, 25, 515–521. [Google Scholar] [CrossRef]
- Broer, A.; Brookes, N.; Ganapathy, V.; Dimmer, K.S.; Wagner, C.A.; Lang, F.; Broer, S. The astroglial ASCT2 amino acid transporter as a mediator of glutamine efflux. J. Neurochem. 1999, 73, 2184–2194. [Google Scholar]
- Shi, L.; Quick, M.; Zhao, Y.; Weinstein, H.; Javitch, J.A. The mechanism of a neurotransmitter:sodium symporter--inward release of Na+ and substrate is triggered by substrate in a second binding site. Mol. Cell 2008, 30, 667–677. [Google Scholar] [CrossRef]
- Pineda, M.; Wagner, C.A.; Broer, A.; Stehberger, P.A.; Kaltenbach, S.; Gelpi, J.L.; Martin Del Rio, R.; Zorzano, A.; Palacin, M.; Lang, F.; et al. Cystinuria-specific rBAT(R365W) mutation reveals two translocation pathways in the amino acid transporter rBAT-b0,+AT. Biochem. J. 2004, 377, 665–674. [Google Scholar]
- Mazza, T.; Scalise, M.; Pappacoda, G.; Pochini, L.; Indiveri, C. The involvement of sodium in the function of the human amino acid transporter ASCT2. FEBS Lett. 2021, 595, 3030–3041. [Google Scholar] [CrossRef]
- Van Winkle, L.J. Importance of direct determination of amino acid co- and counter-transport stoichiometries. Amino Acids 2001, 20, 105–111. [Google Scholar] [CrossRef]
- Grewer, C.; Grabsch, E. New inhibitors for the neutral amino acid transporter ASCT2 reveal its Na+-dependent anion leak. J. Physiol. 2004, 557, 747–759. [Google Scholar] [CrossRef]
- Zander, C.B.; Albers, T.; Grewer, C. Voltage-dependent processes in the electroneutral amino acid exchanger ASCT2. J. Gen. Physiol. 2013, 141, 659–672. [Google Scholar] [CrossRef]
- Wagner, C.; Friedrich, B.; Setiawan, I.; Lang, F.; Broer, S. The use of Xenopus laevis oocytes for the functional characterization of heterologously expressed membrane proteins. Cell. Physiol. Biochem. 2000, 10, 1–12. [Google Scholar] [CrossRef]
- Stegen, C.; Matskevich, I.; Wagner, C.A.; Paulmichl, M.; Lang, F.; Broer, S. Swelling-induced taurine release without chloride channel activity in Xenopus laevis oocytes expressing anion channels and transporters. Biochim. Biophys Acta 2000, 1467, 91–100. [Google Scholar]
- Erecinska, M.; Pleasure, D.; Nelson, D.; Nissim, I.; Yudkoff, M. Cerebral aspartate utilization: Near-equilibrium relationships in aspartate aminotransferase reaction. J. Neurochem. 1993, 60, 1696–1706. [Google Scholar]
- Yanagida, O.; Kanai, Y.; Chairoungdua, A.; Kim, D.K.; Segawa, H.; Nii, T.; Cha, S.H.; Matsuo, H.; Fukushima, J.; Fukasawa, Y.; et al. Human L-type amino acid transporter 1 (LAT1): Characterization of function and expression in tumor cell lines. Biochim. Biophys Acta 2001, 1514, 291–302. [Google Scholar]
- Kekuda, R.; Torres-Zamorano, V.; Fei, Y.J.; Prasad, P.D.; Li, H.W.; Mader, L.D.; Leibach, F.H.; Ganapathy, V. Molecular and functional characterization of intestinal Na+-dependent neutral amino acid transporter B0. Am. J. Physiol. 1997, 272, G1463–G1472. [Google Scholar]
- Bröer, S.; Gauthier-Coles, G. Are Amino Acid Antiporters Biological Maxwell Demons. In Mendeley Data, Version 1 ed; Elsevier: Amsterdam, The Netherlands, 2022. [Google Scholar] [CrossRef]








| Transporter | Primer | Sequence (5′–3′) |
|---|---|---|
| LAT1 | Forward | atcaattccccggggatccgCCACCATGGCGGGTGCGG |
| Reverse | agatcaagcttgctctagagCTATGTCTCCTGGGGGACCACC | |
| LAT2 | Forward | atcaattccccggggatccgCCACCATGGAAGAAGGAGCCAGG |
| Reverse | agatcaagcttgctctagagTCAGGGCTGGGGCTGCCC | |
| y+LAT1 | Forward | atcaattccccggggatccgCCACCATGGTTGACAGCAC |
| Reverse | agatcaagcttgctctagagTTAGTTAGATTTGGGATCCCGTTG | |
| asc-1 | Forward | ttccccggggatccgCCACCATGGCCGGCCACACGCA |
| Reverse | tcaagcttgctctagagTCATTGTGGCTTCGAGGGCTTG | |
| xCT | Forward | ttccccggggatccgCCACCATGGTCAGAAAGCCTGTT |
| Reverse | tcaagcttgctctagagTCATAACTTATCTTCTTCTGGTAC |
Disclaimer/Publisher’s Note: The statements, opinions and data contained in all publications are solely those of the individual author(s) and contributor(s) and not of MDPI and/or the editor(s). MDPI and/or the editor(s) disclaim responsibility for any injury to people or property resulting from any ideas, methods, instructions or products referred to in the content. |
© 2023 by the authors. Licensee MDPI, Basel, Switzerland. This article is an open access article distributed under the terms and conditions of the Creative Commons Attribution (CC BY) license (https://creativecommons.org/licenses/by/4.0/).
Share and Cite
Gauthier-Coles, G.; Fairweather, S.J.; Bröer, A.; Bröer, S. Do Amino Acid Antiporters Have Asymmetric Substrate Specificity? Biomolecules 2023, 13, 301. https://doi.org/10.3390/biom13020301
Gauthier-Coles G, Fairweather SJ, Bröer A, Bröer S. Do Amino Acid Antiporters Have Asymmetric Substrate Specificity? Biomolecules. 2023; 13(2):301. https://doi.org/10.3390/biom13020301
Chicago/Turabian StyleGauthier-Coles, Gregory, Stephen J. Fairweather, Angelika Bröer, and Stefan Bröer. 2023. "Do Amino Acid Antiporters Have Asymmetric Substrate Specificity?" Biomolecules 13, no. 2: 301. https://doi.org/10.3390/biom13020301
APA StyleGauthier-Coles, G., Fairweather, S. J., Bröer, A., & Bröer, S. (2023). Do Amino Acid Antiporters Have Asymmetric Substrate Specificity? Biomolecules, 13(2), 301. https://doi.org/10.3390/biom13020301

