Quantitative Analysis of the Interactions of Metal Complexes and Amphiphilic Systems: Calorimetric, Spectroscopic and Theoretical Aspects
Abstract
1. Introduction
2. Calorimetric Investigation of the Interactions of Metal-Based Compounds with Amphiphilic Systems
2.1. Solution Thermodynamics of Drug-Delivery Systems
2.2. Metal Ions’ Binding with Model Membranes
2.3. Micelles/Vesicles for Nanoparticles’ Stabilization
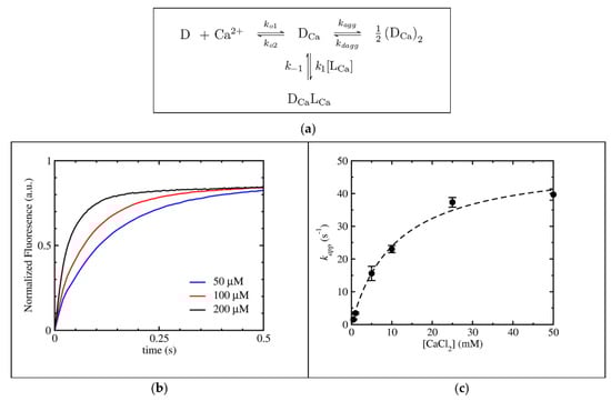
3. Spectroscopic Analysis of Metal Complexes in Amphiphilic Media
3.1. Interaction of Metal Ions with Lipid Membrane Mimicking Systems
3.2. Metal Complexes Speciation in Amphiphilic Media
4. Computational Approaches to Examine Metal-Based Compound/Amphiphile Interactions
4.1. DFT Calculations
4.2. MD Simulations
5. Conclusions
Author Contributions
Funding
Acknowledgments
Conflicts of Interest
Abbreviations
| BDHAC | Benzyldimethylhexadecylammonium |
| Brij 30 | Polyoxyethylenglycol dodecyl ether |
| Brij 58 | Polyoxyethylenglycol hexadecyl ether |
| CPC | Hexadecylpyridinium chloride |
| CTAB | Hexadecyltrimethylammonium bromide |
| CTAC | Hexadecyltrimethylammonium chloride |
| DFT | Density functional theory |
| DMPA | 1, 2-dimyristoyl-sn-glycero-3-phosphatidic acid |
| DOPC | Dioleoylphosphatidylcholine |
| DOPG | Dioleoylphosphatidylglycerol |
| DPPC | Dipalmitoyl-phosphatidylcholine |
| DTAB | Dodecyltrimethylammonium bromide |
| DTAC | Dodecyltrimethylammonium chloride |
| FRET | Fluorescence resonance energy transfer |
| Gd-DTPA | Gadolinium-diethylenetriamine penta-acetic acid |
| HCPT | 10-hydroxycamptothecine |
| hCtr | Human copper transporters |
| hDMT | Human divalent metal transporter |
| HP | HCPT-peptide |
| ITC | Isothermal titration calorimetry |
| LUV | Large unilamellar vesicle |
| LMWF8775 | Low molecular weight fucoidan |
| M2-motif | Second methionine-rich motif |
| MD | Molecular dynamics |
| MEUF | Micellar-enhanced ultrafiltration |
| MR | Magnetic resonance |
| MRI | Magnetic resonance imaging |
| PADA | Pyridine-2-azo-p-dimethylaniline |
| PAN | 1-pyridyl-2-azo-2-naphthol |
| PAR | 4-(2-pyridylazo)resorcinol |
| PCplasm | Phosphatidylcholine plasmalogen |
| PEplasmas | Phosphatidylethanolamine plasmalogen |
| PIE | Polyoxyethylenglycol dodecyl ether |
| POPC | Palmitoyloleoylphosphatidylcholine |
| PP | Pseudo-phase model |
| SANS | Small-angle neutron scattering |
| SDP | Sodium dodecylphosphonate |
| SDS | Sodium dodecyl sulfate |
| SL | Sodium laurate |
| SO | Sodium oleate |
| TMD | Transmembrane domain |
| TPP1880 | Thermolysin-hydrolyzed protamine peptide |
| TRIS | Tris(hydroxymethyl)aminomethane |
| TTAB | Tetradecyltrimethylammonium |
References
- Zoroddu, M.A.; Aaseth, J.; Crisponi, G.; Medici, S.; Peana, M.; Nurchi, V.M. The essential metals for humans: A brief overview. J. Inorg. Biochem. 2019, 195, 120–129. [Google Scholar] [CrossRef] [PubMed]
- Melnikov, P.; Zanoni, L.Z. Clinical effects of cesium intake. Biol. Trace Elem. Res. 2010, 135, 1–9. [Google Scholar] [CrossRef] [PubMed]
- Vashishtha, A.K.; Wang, J.; Konigsberg, W.H. Different divalent cations alter the kinetics and fidelity of DNA polymerases. J. Biol. Chem. 2016, 291, 20869–20875. [Google Scholar] [CrossRef] [PubMed]
- Yang, Z.; Hayes, J.J. The divalent cations Ca2+ and Mg2+ play specific roles in stabilizing histone–DNA interactions within nucleosomes that are partially redundant with the core histone tail domains. Biochemistry 2011, 50, 9973–9981. [Google Scholar] [CrossRef] [PubMed]
- Smith, A.M. CHAPTER 1: Interaction of Metal Ions with Proteins as a Source of Inspiration for Biomimetic Materials. In Functional Metallosupramolecular Materials; Hardy, J.G., Schacher, F.H., Eds.; Royal Society of Chemistry, Thomas Graham House, Science Park, Milton Road: Cambridge, UK, 2015; pp. 1–31. [Google Scholar]
- Available online: https://www.epa.gov/caddis-vol2/metals (accessed on 31 January 2022).
- Li, Z.; Ma, Z.; van der Kuijp, T.J.; Yuan, Z.; Huang, L. A review of soil heavy metal pollution from mines in China: Pollution and health risk assessment. Sci. Total Environ. 2014, 468, 843–853. [Google Scholar] [CrossRef]
- Järup, L. Hazards of heavy metal contamination. Br. Med. Bull. 2003, 68, 167–182. [Google Scholar] [CrossRef]
- Friberg, L.; Mottet, N.K. Accumulation of methylmercury and inorganic mercury in the brain. Biol. Trace Elem. Res. 1989, 21, 201–206. [Google Scholar] [CrossRef]
- Rice, K.M.; Walker, E.M., Jr.; Wu, M.; Gillette, C.; Blough, E.R. Environmental mercury and its toxic effects. J. Prev. Med. Public Health 2014, 47, 74. [Google Scholar] [CrossRef]
- Guzzi, G.; Ronchi, A.; Pigatto, P. Toxic effects of mercury in humans and mammals. Chemosphere 2021, 263, 127990. [Google Scholar] [CrossRef]
- Jan, A.T.; Azam, M.; Siddiqui, K.; Ali, A.; Choi, I.; Haq, Q.M. Heavy metals and human health: Mechanistic insight into toxicity and counter defense system of antioxidants. Int. J. Mol. Sci. 2015, 16, 29592–29630. [Google Scholar] [CrossRef]
- Huat, T.J.; Camats-Perna, J.; Newcombe, E.A.; Valmas, N.; Kitazawa, M.; Medeiros, R. Metal toxicity links to Alzheimer’s disease and neuroinflammation. J. Mol. Biol. 2019, 431, 1843–1868. [Google Scholar] [CrossRef]
- Lazarević, T.; Rilak, A.; Bugarčić, Ž.D. Platinum, palladium, gold and ruthenium complexes as anticancer agents: Current clinical uses, cytotoxicity studies and future perspectives. Eur. J. Med. Chem. 2017, 142, 8–31. [Google Scholar] [CrossRef] [PubMed]
- Florea, A.M.; Büsselberg, D. Cisplatin as an anti-tumor drug: Cellular mechanisms of activity, drug resistance and induced side effects. Cancers 2011, 3, 1351–1371. [Google Scholar] [CrossRef] [PubMed]
- Thota, S.; Rodrigues, D.A.; Crans, D.C.; Barreiro, E.J. Ru (II) compounds: Next-generation anticancer metallotherapeutics? J. Med. Chem. 2018, 61, 5805–5821. [Google Scholar] [CrossRef] [PubMed]
- Sun, Q.; Li, Y.; Shi, H.; Wang, Y.; Zhang, J.; Zhang, Q. Ruthenium Complexes as Promising Candidates against Lung Cancer. Molecules 2021, 26, 4389. [Google Scholar] [CrossRef]
- Guarra, F.; Pratesi, A.; Gabbiani, C.; Biver, T. A focus on the biological targets for coinage metal-NHCs as potential anticancer complexes. J. Inorg. Biochem. 2021, 217, 111355. [Google Scholar] [CrossRef]
- Ndagi, U.; Mhlongo, N.; Soliman, M.E. Metal complexes in cancer therapy–an update from drug design perspective. Drug Des. Dev. Ther. 2017, 11, 599. [Google Scholar] [CrossRef]
- Sambhy, V.; MacBride, M.M.; Peterson, B.R.; Sen, A. Silver bromide nanoparticle/polymer composites: Dual action tunable antimicrobial materials. J. Am. Chem. Soc. 2006, 128, 9798–9808. [Google Scholar] [CrossRef]
- Aderibigbe, B.A. Metal-based nanoparticles for the treatment of infectious diseases. Molecules 2017, 22, 1370. [Google Scholar] [CrossRef]
- Ahmad, M.Z.; Akhter, S.; Jain, G.K.; Rahman, M.; Pathan, S.A.; Ahmad, F.J.; Khar, R.K. Metallic nanoparticles: Technology overview & drug delivery applications in oncology. Expert Opin. Drug Deliv. 2010, 7, 927–942. [Google Scholar]
- Savić, S.; Tamburić, S.; Savić, M.M. From conventional towards new–natural surfactants in drug delivery systems design: Current status and perspectives. Expert Opin. Drug Deliv. 2010, 7, 353–369. [Google Scholar] [CrossRef] [PubMed]
- Shah, A.; Shahzad, S.; Munir, A.; Nadagouda, M.N.; Khan, G.S.; Shams, D.F.; Dionysiou, D.D.; Rana, U.A. Micelles as soil and water decontamination agents. Chem. Rev. 2016, 116, 6042–6074. [Google Scholar] [CrossRef] [PubMed]
- Rasheed, T.; Shafi, S.; Bilal, M.; Hussain, T.; Sher, F.; Rizwan, K. Surfactants-based remediation as an effective approach for removal of environmental pollutants—A review. J. Mol. Liq. 2020, 318, 113960. [Google Scholar] [CrossRef]
- Arena, G.; Sgarlata, C. Modern Calorimetry: An Invaluable Tool in Supramolecular Chemistry. In Comprehensive Supramolecular Chemistry II; Atwood, J.L., Ed.; Elsevier: Oxford, UK, 2017; Volume 2, pp. 213–237. [Google Scholar]
- Ghai, R.; Falconer, R.J.; Collins, B.M. Applications of isothermal titration calorimetry in pure and applied research—Survey of the literature from 2010. J. Mol. Recognit. 2012, 25, 32–52. [Google Scholar] [CrossRef]
- Vega, S.; Abian, O.; Velazquez-Campoy, A. A unified framework based on the binding polynomial for characterizing biological systems by isothermal titration calorimetry. Methods 2015, 76, 99–115. [Google Scholar] [CrossRef]
- Du, X.; Li, Y.; Xia, Y.L.; Ai, S.M.; Liang, J.; Sang, P.; Ji, X.-L.; Liu, S.Q. Insights into protein–ligand interactions: Mechanisms, models, and methods. Int. J. Mol. Sci. 2016, 17, 144. [Google Scholar] [CrossRef] [PubMed]
- Sgarlata, C.; Schneider, B.L.; Zito, V.; Migliore, R.; Tegoni, M.; Pecoraro, V.L.; Arena, G. Lanthanide Identity Governs Guest-Induced Dimerization in LnIII[15-MCCuIIN(L-pheHA)-5])3+ Metallacrowns. Chem. Eur. J. 2021, 27, 17669–17675. [Google Scholar] [CrossRef]
- Bonaccorso, C.; Migliore, R.; Volkova, M.A.; Arena, G.; Sgarlata, C. Self-assembling of supramolecular adducts by sulfonato-calix[4]arene and pyridinium gemini guests in neutral aqueous solution. Thermochim. Acta 2017, 656, 47–52. [Google Scholar] [CrossRef]
- Bonaccorso, C.; Brancatelli, G.; Forte, G.; Arena, G.; Geremia, S.; Sciotto, D.; Sgarlata, C. Factors driving the self-assembly of water-soluble calix [4] arene and gemini guests: A combined solution, computational and solid-state study. RSC Adv. 2014, 4, 53575–53587. [Google Scholar] [CrossRef]
- Claveria-Gimeno, R.; Vega, S.; Abian, O.; Velazquez-Campoy, A. A look at ligand binding thermodynamics in drug discovery. Expert Opin. Drug Discov. 2017, 12, 363–377. [Google Scholar] [CrossRef]
- Loh, W.; Brinatti, C.; Tam, K.C. Use of isothermal titration calorimetry to study surfactant aggregation in colloidal systems. Biochim. Biophys. Acta Gen. Subj. 2016, 1860, 999–1016. [Google Scholar] [CrossRef] [PubMed]
- Archer, W.R.; Schulz, M.D. Isothermal titration calorimetry: Practical approaches and current applications in soft matter. Soft Matter 2020, 16, 8760–8774. [Google Scholar] [CrossRef] [PubMed]
- Choudhary, S.; Talele, P.; Kishore, N. Thermodynamic insights into drug–surfactant interactions: Study of the interactions of naporxen, diclofenac sodium, neomycin, and lincomycin with hexadecytrimethylammonium bromide by using isothermal titration calorimetry. Colloids Surf. B Biointerfaces 2015, 132, 313–321. [Google Scholar] [CrossRef] [PubMed]
- Mukhija, A.; Kishore, N. Partitioning of drugs in micelles and effect on micellization: Physicochemical insights with tryptophan and diclofenac sodium. Colloids Surf. A Physicochem. Eng. Asp. 2017, 513, 204–214. [Google Scholar] [CrossRef]
- Banipal, T.S.; Kaur, H.; Banipal, P.K. Studies on the binding ability of diclofenac sodium to cationic surfactants micelles in aqueous ethanol solutions. J. Therm. Anal. Calorim. 2017, 128, 501–511. [Google Scholar] [CrossRef]
- Kaur, R.; Rani, A.; Banipal, P.K.; Banipal, T.S. Study on interactions of vitamin B1 with sodium dodecyl sulfate for potential food applications: Conductometric, volumetric, calorimetric and spectroscopic approach. J. Mol. Liq. 2019, 285, 616–625. [Google Scholar] [CrossRef]
- Dasgupta, M.; Judy, E.; Kishore, N. Partitioning of anticancer drug 5-fluorouracil in micellar media explored by physicochemical properties and energetics of interactions: Quantitative insights for implications in drug delivery. Colloids Surf. B Biointerfaces 2020, 187, 110730. [Google Scholar] [CrossRef]
- Le, V.H.; Buscaglia, R.; Chaires, J.B.; Lewis, E.A. Modeling complex equilibria in isothermal titration calorimetry experiments: Thermodynamic parameters estimation for a three-binding-site model. Anal. Biochem. 2013, 434, 233–241. [Google Scholar] [CrossRef]
- Ikonen, M.; Murtomäki, L.; Kontturi, K. Microcalorimetric and zeta potential study on binding of drugs on liposomes. Colloids Surf. B Biointerfaces 2010, 78, 275–282. [Google Scholar] [CrossRef]
- Migliore, R.; Granata, G.; Rivoli, A.; Consoli, G.M.L.; Sgarlata, C. Binding affinity and driving forces for the interaction of calixarene-based micellar aggregates with model antibiotics in neutral aqueous solution. Front. Chem. 2021, 8, 626467. [Google Scholar] [CrossRef]
- Migliore, R.; D’Antona, N.; Sgarlata, C.; Consoli, G.M.L. Co-Loading of Temozolomide and Curcumin into a Calix [4] arene-Based Nanocontainer for Potential Combined Chemotherapy: Binding Features, Enhanced Drug Solubility and Stability in Aqueous Medium. Nanomaterials 2021, 11, 2930. [Google Scholar] [CrossRef] [PubMed]
- Arena, G.; Gans, P.; Sgarlata, C. HypCal, a general-purpose computer program for the determination of standard reaction enthalpy and binding constant values by means of calorimetry. Anal. Bioanal. Chem. 2016, 408, 6413–6422. [Google Scholar] [CrossRef] [PubMed]
- Cheng, T.M.; Li, R.; Kao, Y.C.J.; Hsu, C.H.; Chu, H.L.; Lu, K.Y.; Changou, C.A.; Chang, C.C.; Chang, L.H.; Tsai, M.L.; et al. Synthesis and characterization of Gd-DTPA/fucoidan/peptide complex nanoparticle and in vitro magnetic resonance imaging of inflamed endothelial cells. Mater. Sci. Eng. C 2020, 114, 111064. [Google Scholar] [CrossRef] [PubMed]
- Cai, Y.; Shen, H.; Zhan, J.; Lin, M.; Dai, L.; Ren, C.; Shi, Y.; Liu, J.; Gao, J.; Yang, Z. Supramolecular “Trojan Horse” for nuclear delivery of dual anticancer drugs. J. Am. Chem. Soc. 2017, 139, 2876–2879. [Google Scholar] [CrossRef]
- Xiao, H.; Song, H.; Zhang, Y.; Qi, R.; Wang, R.; Xie, Z.; Huang, Y.; Li, Y.; Wu, Y.; Jing, X. The use of polymeric platinum (IV) prodrugs to deliver multinuclear platinum (II) drugs with reduced systemic toxicity and enhanced antitumor efficacy. Biomaterials 2012, 33, 8657–8669. [Google Scholar] [CrossRef]
- Eisenberg, M.; Gresalfi, T.; Riccio, T.; McLaughlin, S. Adsorption of monovalent cations to bilayer membranes containing negative phospholipids. Biochemistry 1979, 18, 5213–5223. [Google Scholar] [CrossRef]
- Ohki, S.; Ohshima, H. Interaction and aggregation of lipid vesicles (DLVO theory versus modified DLVO theory). Colloids Surf. B Biointerfaces 1999, 14, 27–45. [Google Scholar] [CrossRef]
- Claessens, M.M.A.E.; Leermakers, F.A.M.; Hoekstra, F.A.; Cohen Stuart, M.A. Opposing effects of cation binding and hydration on the bending rigidity of anionic lipid bilayers. J. Phys. Chem. B 2007, 111, 7127–7132. [Google Scholar] [CrossRef]
- Klasczyk, B.; Knecht, V.; Lipowsky, R.; Dimova, R. Interactions of alkali metal chlorides with phosphatidylcholine vesicles. Langmuir 2010, 26, 18951–18958. [Google Scholar] [CrossRef]
- Maity, P.; Saha, B.; Kumar, G.S.; Karmakar, S. Binding of monovalent alkali metal ions with negatively charged phospholipid membranes. Biochim. Biophys. Acta-Biomembr. 2016, 1858, 706–714. [Google Scholar] [CrossRef]
- Kerek, E.; Hassanin, M.; Zhang, W.; Prenner, E.J. Preferential binding of Inorganic Mercury to specific lipid classes and its competition with Cadmium. Biochim. Biophys. Acta-Biomembr. 2017, 1859, 1211–1221. [Google Scholar] [CrossRef]
- Chang, L.W. Neurotoxic effects of mercury—A review. Environ. Res. 1977, 14, 329–373. [Google Scholar] [CrossRef]
- Méndez-Armenta, M.; Ríos, C. Cadmium neurotoxicity. Environ. Toxicol. Pharmacol. 2007, 23, 350–358. [Google Scholar] [CrossRef] [PubMed]
- Garidel, P.; Blume, A. Electrostatic interactions of alkaline earth cations with 1, 2-dimyristoyl-sn-glycero-3-phosphatidic acid (DMPA) model membranes at neutral and acidic pH. Eur. Biophys. J. 2019, 48, 757–772. [Google Scholar] [CrossRef] [PubMed]
- Wang, Y.; Wang, L.; Li, F. Micelle-bound structure of an extracellular Met-rich domain of hCtr1 and its binding with silver. RSC Adv. 2013, 3, 15245–15253. [Google Scholar] [CrossRef]
- Dong, Z.; Wang, Y.; Wang, C.; Xu, H.; Guan, L.; Li, Z.; Li, F. Self-Assembly of the Second Transmembrane Domain of hCtr1 in Micelles and Interaction with Silver Ion. J. Phys. Chem. B 2015, 119, 8302–8312. [Google Scholar] [CrossRef] [PubMed]
- Dong, Z.; Guan, L.; Wang, C.; Xu, H.; Li, Z.; Li, F. Reconstruction of a helical trimer by the second transmembrane domain of human copper transporter 2 in micelles and the binding of the trimer to silver. RSC Adv. 2016, 6, 4335–4342. [Google Scholar] [CrossRef]
- Yang, Y.; Zhu, Y.; Hu, H.; Cheng, L.; Liu, M.; Ma, G.; Yuan, S.; Cui, P.; Liu, Y. Cuprous binding promotes interaction of copper transport protein hCTR1 with cell membranes. Chem. Commun. 2019, 55, 11107–11110. [Google Scholar] [CrossRef]
- Chakraborty, M.; Hsiao, F.W.; Naskar, B.; Chang, C.H.; Panda, A.K. Surfactant-assisted synthesis and characterization of stable silver bromide nanoparticles in aqueous media. Langmuir 2012, 28, 7282–7290. [Google Scholar] [CrossRef]
- Majumder, S.; Naskar, B.; Ghosh, S.; Lee, C.H.; Chang, C.H.; Moulik, S.P.; Panda, A.K. Synthesis and characterization of surfactant stabilized nanocolloidal dispersion of silver chloride in aqueous medium. Colloids Surf. A Physicochem. Eng. Asp. 2014, 443, 156–163. [Google Scholar] [CrossRef]
- Wang, Z.; Xu, S.; Acosta, E. Heat of adsorption of surfactants and its role on nanoparticle stabilization. J. Chem. Thermodyn. 2015, 91, 256–266. [Google Scholar] [CrossRef]
- Balleza, D.; Mescola, A.; Marín–Medina, N.; Ragazzini, G.; Pieruccini, M.; Facci, P.; Alessandrini, A. Complex phase behavior of GUVs containing different sphingomyelins. Biophys. J. 2019, 116, 503–517. [Google Scholar] [CrossRef] [PubMed]
- Mescola, A.; Ragazzini, G.; Alessandrini, A. Daptomycin Strongly Affects the Phase Behavior of Model Lipid Bilayers. J. Phys. Chem. B 2020, 124, 8562–8571. [Google Scholar] [CrossRef] [PubMed]
- Kaur, R.; Mehta, S.K. Self aggregating metal surfactant complexes: Precursors for nanostructures. Coord. Chem. Rev. 2014, 262, 37–54. [Google Scholar] [CrossRef]
- Wagay, T.A.; Dey, J.; Kumar, S.; Aswal, V.K.; Ismail, K. Aggregation, adsorption, counterion binding, thermal and scattering behavior of metallosurfactant cis-[Co(en)2(C12H25NH2)Cl](NO3)2. Colloids Surf. A Physicochem. Eng. Asp. 2016, 503, 61–69. [Google Scholar] [CrossRef]
- Grein, F.; Müller, A.; Scherer, K.M.; Liu, X.; Ludwig, K.C.; Klöckner, A.; Strach, M.; Sahl, H.-G.; Kubitscheck, U.; Schneider, T. Ca2+-Daptomycin targets cell wall biosynthesis by forming a tripartite complex with undecaprenyl-coupled intermediates and membrane lipids. Nat. Commun. 2020, 11, 1455. [Google Scholar] [CrossRef]
- Kreutzberger, M.A.; Pokorny, A.; Almeida, P.F. Daptomycin–phosphatidylglycerol domains in lipid membranes. Langmuir 2017, 33, 13669–13679. [Google Scholar] [CrossRef]
- Pokorny, A.; Khatib, T.O.; Stevenson, H. A quantitative model of daptomycin binding to lipid bilayers. J. Phys. Chem. B 2018, 122, 9137–9146. [Google Scholar] [CrossRef]
- Khalid, K.; Zain, S.M.; Khan, M.N. Catalytic effects of cationic nanoparticle (CTABr/NaX/H2O, X = Cl, Br) for the piperidinolysis of phenyl salicylate ions. Kinet. Catal. 2017, 58, 513–521. [Google Scholar] [CrossRef]
- Brandariz, I.; Iglesias, E. Micellar effects on aromatic esters hydrolysis. Colloids Surf. A Physicochem. Eng. Asp. 2014, 454, 180–188. [Google Scholar] [CrossRef]
- Basu, A.; Saha, B. Kinetic studies on hexavalent chromium reduction. Am. J. Analyt. Chem. 2010, 1, 25. [Google Scholar] [CrossRef]
- Monteleone, G.; Morroni, L.; Robinson, B.; Tinè, M.R.; Venturini, M.; Secco, F. Metal ion extraction in surfactant solution: Ni2+(aq) and Cd2+ (aq) with the ligands PADA and PAR in SDS micellar systems. Colloids Surf. A Physicochem. Eng. Asp. 2004, 243, 23–31. [Google Scholar] [CrossRef]
- Ghezzi, L.; Robinson, B.H.; Secco, F.; Tiné, M.R.; Venturini, M. Binding of Pd (II) to Pada in water/micellar system: Complex formation, kinetics in water and DTAC solution. Colloids Surf. A Physicochem. Eng. Asp. 2007, 292, 139–147. [Google Scholar] [CrossRef]
- Biver, T.; Boggioni, A.; Secco, F.; Venturini, M. Gallium (III)/4-(2-pyridylazo) resorcinol system in water and SDS solution: Kinetics and thermodynamics. Langmuir 2008, 24, 36–42. [Google Scholar] [CrossRef]
- Biver, T.; Aydinoglu, S.; Greco, D.; Macii, F. Mechanistic details on Pd (II)/5, 10, 15, 20-tetrakis (1-methyl-4-pyridyl) porphyrin complex formation and reactivity in the presence of DNA. Monatsh. Chem. 2018, 149, 175–183. [Google Scholar] [CrossRef]
- Aydinoglu, S.; Biver, T.; Secco, F.; Venturini, M. Effects of micelle nature and concentration on the acid dissociation constants of the metal extractor PADA. Colloids Surf. A Physicochem. Eng. Asp. 2014, 461, 303–309. [Google Scholar] [CrossRef][Green Version]
- Aydinoglu, S.; Biver, T.; Secco, F.; Venturini, M. The mechanism of the reaction between Au (III) and PADA in sodium dodecylsulphate. Colloids Surf. A Physicochem. Eng. Asp. 2016, 498, 81–87. [Google Scholar] [CrossRef]
- Kreutzberger, A.J.; Pokorny, A. On the origin of multiphasic kinetics in peptide binding to phospholipid vesicles. J. Phys. Chem. B 2012, 116, 951–957. [Google Scholar] [CrossRef][Green Version]
- Hubbard, C.D.; van Eldik, R. Mechanistic information on some inorganic and bioinorganic reactions from volume profile analysis. Inorg. Chim. Acta 2010, 363, 2357–2374. [Google Scholar] [CrossRef]
- Gazzaz, H.A.; Ember, E.; Zahl, A.; van Eldik, R. Mechanistic information from volume profiles for water exchange and complex-formation reactions of aquated Ni (II). pH, buffer and medium effects. Dalton Trans. 2009, 43, 9486–9495. [Google Scholar] [CrossRef]
- Cabaleiro-Lago, C.; Garcia-Rio, L.; Hervés, P.; Pérez-Juste, J. Spectrophotometric study of metal–ligand reactions in isooctane/Brij30/water nonionic microemulsions. Colloids Surf. A Physicochem. Eng. Asp. 2007, 295, 49–54. [Google Scholar] [CrossRef]
- Cabaleiro-Lago, C.; Garcia-Rio, L.; Hervés, P.; Pérez-Juste, J. Nonionic microemulsions: Effects of the interface on metal–ligand reactions Colloids Surf. A Physicochem. Eng. Asp. 2007, 309, 286–291. [Google Scholar] [CrossRef]
- Biver, T.; Ghezzi, L.; Malvaldi, V.; Secco, F.; Tiné, M.R.; Venturini, M. Kinetics and equilibria of the interaction of 8-hydroxyquinoline with gallium (III) in water and sodium dodecyl sulfate solution. J. Phys. Chem. B 2009, 113, 1598–1606. [Google Scholar] [CrossRef]
- Aydinoglu, S.; Biver, T.; Secco, F.; Venturini, M. The kinetics of gold (III) extraction by pyridine-2-azo-p-dimethylaniline in water and in micellar systems. Colloids Surf. A Physicochem. Eng. Asp. 2015, 481, 431–438. [Google Scholar] [CrossRef]
- Aydinoglu, S.; Biver, T.; Ceccarini, A.; Secco, F.; Venturini, M. Gold (III) extraction and recovery and gold (III)/copper (II) separation using micelles. Colloids Surf. A Physicochem. Eng. Asp. 2015, 482, 324–328. [Google Scholar] [CrossRef][Green Version]
- Biver, T.; Paoletti, C.; Secco, F.; Venturini, M. Extraction, separation and recovery of palladium and platinum by a kinetic method combined with ultrafiltration. Colloids Surf. A Physicochem. Eng. Asp. 2014, 441, 466–473. [Google Scholar] [CrossRef]
- Li, X.; Zeng, G.M.; Huang, J.H.; Zhang, D.M.; Shi, L.J.; He, S.B.; Ruan, M. Simultaneous removal of cadmium ions and phenol with MEUF using SDS and mixed surfactants. Desalination 2011, 276, 136–141. [Google Scholar] [CrossRef]
- Zhao, B.; Ran, J.; Zhong, J. Simultaneous cadmium (II)/phenol removal from water by mixed micellar-enhanced ultrafiltration using Brij 35/SDS. Asian J. Chem. 2013, 25, 10217–10220. [Google Scholar] [CrossRef]
- Menger, F.M.; Portnoy, C.E. Chemistry of reactions proceeding inside molecular aggregates. J. Am. Chem. Soc. 1967, 89, 4698–4703. [Google Scholar] [CrossRef]
- Acharjee, A.; Rakshit, A.; Chowdhury, S.; Saha, B. Micelle catalysed conversion of ‘on water’ reactions into ‘in water ’one. J. Mol. Liq. 2021, 321, 114897. [Google Scholar] [CrossRef]
- Beccia, M.R.; Biver, T.; García, B.; Leal, J.M.; Secco, F.; Ruiz, R.; Venturini, M. Mechanism of Ni2+ and NiOH+ interaction with hydroxamic acids in SDS: Evaluation of the contributions to the equilibrium and rate parameters in the aqueous and micellar phase. Dalton Trans. 2012, 41, 7372–7381. [Google Scholar] [CrossRef]
- Dupont-Leclercq, L.; Giroux, S.; Parant, S.; Khoudour, L.; Henry, B.; Rubini, P. Complexation of Cu(II) by Original Tartaric Acid− Based Ligands in Nonionic Micellar Media: Thermodynamic Study and Applications. Langmuir 2009, 25, 3450–3458. [Google Scholar] [CrossRef] [PubMed]
- Berberich, K.A.; Reinsborough, V.C.; Shaw, C.N. Kinetic and solubility studies in zwitterionic surfactant solutions. J. Solut. Chem. 2000, 29, 1017–1026. [Google Scholar] [CrossRef]
- Fletcher, P.D.; Robinson, B.H. Effect of organised surfactant systems on the kinetics of metal–ligand complex formation and dissociation. J. Chem. Soc. Faraday Trans. 1 1984, 80, 2417–2437. [Google Scholar] [CrossRef]
- Mandal, H.K.; Patel, B.K.; Dasmandal, S.; Mahapatra, A. Kinetic investigations on the alkaline hydrolysis of tris-(1, 10-phenenthroline) Fe (II) with guar gum–surfactant interactions. J. Dispers. Sci. Technol. 2018, 39, 552–559. [Google Scholar] [CrossRef]
- Singh, K.V. Biomimetic membranes: Effective tool for understanding the drug biomembrane thermodynamic interactions-A review. In AIP Conference Proceedings; AIP Publishing LLC: Melville, NY, USA, 2020; Volume 2224, p. 070001. [Google Scholar]
- Arslan, E.; Findik, B.K.; Aviyente, V. A blind SAMPL6 challenge: Insight into the octanol-water partition coefficients of drug-like molecules via a DFT approach. J. Comput. Aided Mol. Des. 2020, 34, 463–470. [Google Scholar] [CrossRef]
- Popović-Nikolić, M.R.; Popović, G.V.; Grujić, M.; Nikolić, K.M.; Agbaba, D.D. A theoretical study on ionization of sartans in aqueous media and on interactions with surfactant micelles. J. Mol. Graph. Model. 2018, 82, 67–73. [Google Scholar] [CrossRef]
- Oliver, M.; Bauza, A.; Frontera, A.; Miro, M. Fluorescent lipid nanoparticles as biomembrane models for exploring emerging contaminant bioavailability supported by density functional theory calculations. Environ. Sci. Technol. 2016, 50, 7135–7143. [Google Scholar] [CrossRef]
- John, L.H.; Preston, G.M.; Sansom, M.S.; Clifton, L.A. Large scale model lipid membrane movement induced by a cation switch. J. Colloid Interface Sci. 2021, 596, 297–311. [Google Scholar] [CrossRef]
- Pezeshkian, W.; Marrink, S.J. Simulating realistic membrane shapes. Curr. Opin. Cell Biol. 2021, 71, 103–111. [Google Scholar] [CrossRef]
- Kinnun, J.J.; Scott, H.L.; Ashkar, R.; Katsaras, J. Biomembrane Structure and Material Properties Studied with Neutron Scattering. Front. Chem. 2021, 9, 203. [Google Scholar] [CrossRef] [PubMed]
- Tsukanov, A.A.; Pervikov, A.V.; Lozhkomoev, A.S. Bimetallic Ag–Cu nanoparticles interaction with lipid and lipopolysaccharide membranes. Comput. Mater. Sci. 2020, 173, 109396. [Google Scholar] [CrossRef]
- Kozma, D.; Simon, I.; Tusnady, G.E. PDBTM: Protein Data Bank of transmembrane proteins after 8 years. Nucleic Acids Res. 2012, 41, D524–D529. [Google Scholar] [CrossRef] [PubMed]










Publisher’s Note: MDPI stays neutral with regard to jurisdictional claims in published maps and institutional affiliations. |
© 2022 by the authors. Licensee MDPI, Basel, Switzerland. This article is an open access article distributed under the terms and conditions of the Creative Commons Attribution (CC BY) license (https://creativecommons.org/licenses/by/4.0/).
Share and Cite
Migliore, R.; Biver, T.; Barone, G.; Sgarlata, C. Quantitative Analysis of the Interactions of Metal Complexes and Amphiphilic Systems: Calorimetric, Spectroscopic and Theoretical Aspects. Biomolecules 2022, 12, 408. https://doi.org/10.3390/biom12030408
Migliore R, Biver T, Barone G, Sgarlata C. Quantitative Analysis of the Interactions of Metal Complexes and Amphiphilic Systems: Calorimetric, Spectroscopic and Theoretical Aspects. Biomolecules. 2022; 12(3):408. https://doi.org/10.3390/biom12030408
Chicago/Turabian StyleMigliore, Rossella, Tarita Biver, Giampaolo Barone, and Carmelo Sgarlata. 2022. "Quantitative Analysis of the Interactions of Metal Complexes and Amphiphilic Systems: Calorimetric, Spectroscopic and Theoretical Aspects" Biomolecules 12, no. 3: 408. https://doi.org/10.3390/biom12030408
APA StyleMigliore, R., Biver, T., Barone, G., & Sgarlata, C. (2022). Quantitative Analysis of the Interactions of Metal Complexes and Amphiphilic Systems: Calorimetric, Spectroscopic and Theoretical Aspects. Biomolecules, 12(3), 408. https://doi.org/10.3390/biom12030408

