Nitroaromatic Antibiotics as Nitrogen Oxide Sources
Abstract
1. Introduction
2. Nitroimidazoles
2.1. 5-Nitroimidazoles
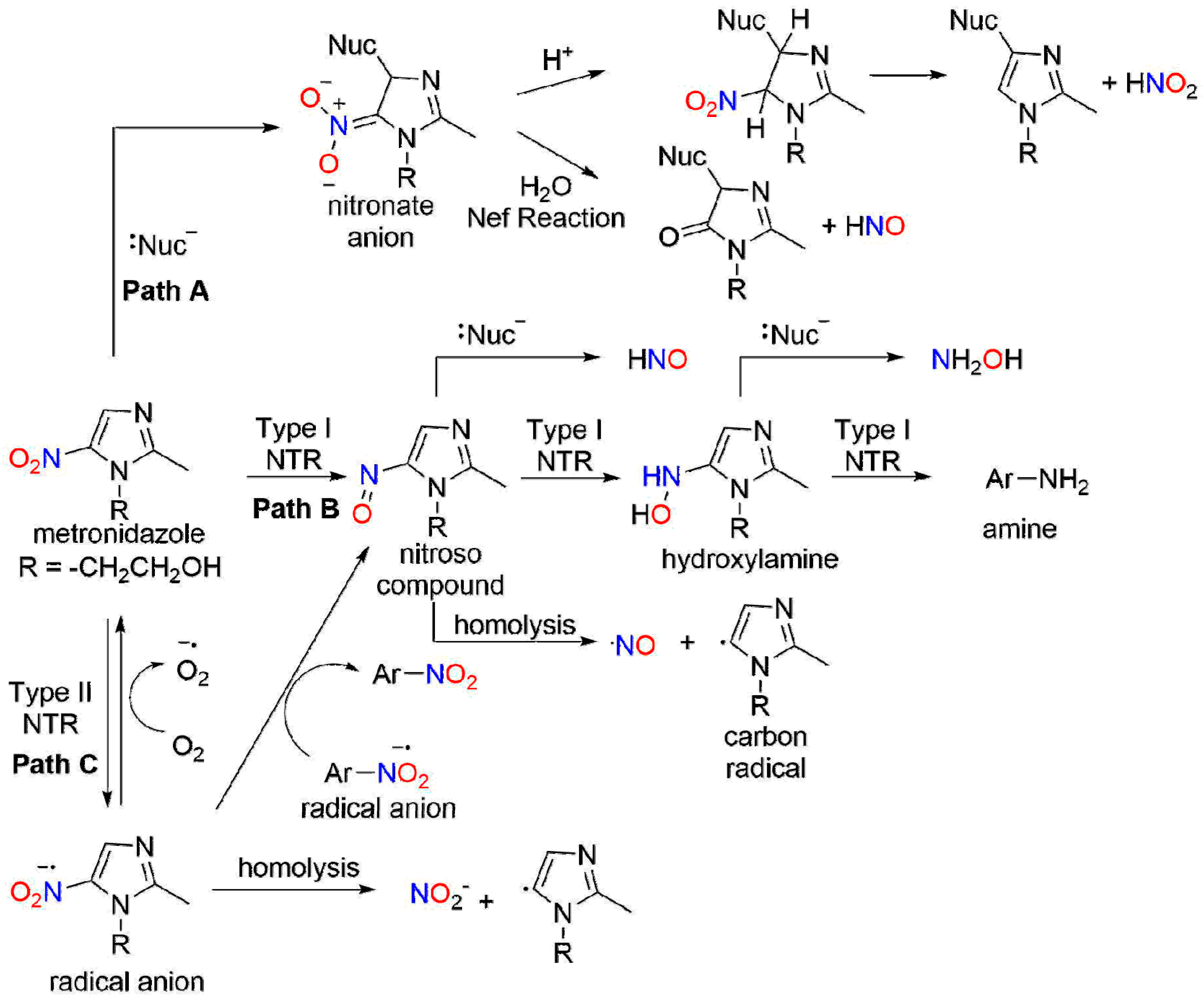
2.1.1. Metronidazole
2.1.2. Metronidazole–NO Donor Hybrids
2.1.3. Tinidazole
2.1.4. Secnidazole
2.1.5. Ornidazole
2.1.6. Fexinidazole
2.2. 2-Nitroimidazoles
2.2.1. Azomycin
2.2.2. Misonidazole
2.2.3. Benznidazole
2.3. 4-Nitroimidazoles
2.3.1. CGI-17341
2.3.2. PA-824 (Pretomanid)
2.3.3. (R)-PA-824
2.3.4. OPC-67683 (Delamanid)
2.3.5. DNDI Series
2.3.6. TBA-354
3. Nitrofurans/Nitrothiophenes
3.1. Nifurtimox
3.2. Nitrofurantoin
3.3. Nitrothiophenes/Thienopyrimidine (TP053)
3.4. 1,3-Benzothiazin-4-ones (BTZs)
BTZ043
4. Summary/Perspectives/Future Directions
Author Contributions
Funding
Institutional Review Board Statement
Informed Consent Statement
Conflicts of Interest
References
- Patterson, S.; Wyllie, S. Nitro Drugs for the treatment of trypanosomatid diseases: Past, present, and future prospects. Trends Parasitol. 2014, 30, 289–298. [Google Scholar] [CrossRef]
- Nepali, K.; Lee, H.Y.; Liou, J.P. Nitro-group-containing drugs. J. Med. Chem. 2019, 62, 2851–2893. [Google Scholar] [CrossRef] [PubMed]
- Ang, C.W.; Jarrad, A.M.; Cooper, M.A.; Blaskovich, M.A.T. Nitroimidazoles: Molecular fireworks that combat a broad spectrum of infectious diseases. J. Med. Chem. 2017, 60, 7636–7657. [Google Scholar] [CrossRef] [PubMed]
- Strauss, M.J. The Nitroaromatic group in drug design. pharmacology and toxicology (for nonpharmacologists). Ind. Eng. Chem. Prod. Res. Dev. 1979, 18, 158–166. [Google Scholar] [CrossRef]
- Martínez-Júlvez, M.; Rojas, A.L.; Olekhnovich, I.; Angarica, V.E.; Hoffman, P.S.; Sancho, J. Structure of RdxA-an oxygen-insensitive nitroreductase essential for metronidazole activation in Helicobacter pylori. FEBS J. 2012, 279, 4306–4317. [Google Scholar] [CrossRef] [PubMed]
- Race, P.R.; Lovering, A.L.; White, S.A.; Grove, J.I.; Searle, P.F.; Wrighton, C.W.; Hyde, E.I. Kinetic and structural characterisation of Escherichia Coli nitroreductase mutants showing improved efficacy for the prodrug substrate CB1954. J. Mol. Biol. 2007, 368, 481–492. [Google Scholar] [CrossRef]
- Hall, B.S.; Wu, X.; Hu, L.; Wilkinson, S.R. Exploiting the drug-activating properties of a novel trypanosomal nitroreductase. Antimicrob. Agents Chemother. 2010, 54, 1193–1199. [Google Scholar] [CrossRef] [PubMed]
- Searle, P.F.; Chen, M.J.; Hu, L.; Race, P.R.; Lovering, A.L.; Grove, J.I.; Guise, C.; Jaberipour, M.; James, N.D.; Mautner, V.; et al. Nitroreductase: A prodrug-activating enzyme for cancer gene therapy. Clin. Exp. Pharm. Physiol. 2004, 31, 811–816. [Google Scholar] [CrossRef]
- Müller, J.; Rout, S.; Leitsch, D.; Vaithilingam, J.; Hehl, A.; Müller, N. Comparative characterisation of two nitroreductases from giardia lamblia as potential activators of nitro compounds. Int. J. Parasitol. Drugs Drug Resist. 2015, 5, 37–43. [Google Scholar] [CrossRef] [PubMed]
- Bryant, C.; DeLuca, M. Purification and characterization of an oxygen-insensitive NAD(P)H nitroreductase from Enterobacter Cloacae. J. Biol. Chem. 1991, 266, 4119–4125. [Google Scholar] [CrossRef]
- Heikal, A.A. Intracellular coenzymes as natural biomarkers for metabolic activites and mitochondrial anomalies. Biomark. Med. 2011, 4, 241–263. [Google Scholar] [CrossRef]
- Xiao, W.; Wang, R.S.; Handy, D.E.; Loscalzo, J. NAD(H) and NADP(H) redox couples and cellular energy metabolism. Antioxid. Redox Signal. 2018, 28, 251–272. [Google Scholar] [CrossRef] [PubMed]
- Schairer, D.O.; Chouake, J.S.; Nosanchuk, J.D.; Friedman, A.J. The potential of nitric oxide releasing therapies as antimicrobial agents. Virulence 2012, 3, 271–279. [Google Scholar] [CrossRef] [PubMed]
- Hall, J.R.; Rouillard, K.R.; Suchyta, D.J.; Brown, M.D.; Ahonen, M.J.R.; Schoenfisch, M.H. Mode of nitric oxide delivery affects antibacterial action. ACS Biomater. Sci. Eng. 2020, 6, 433–441. [Google Scholar] [CrossRef] [PubMed]
- Jones, M.L.; Ganopolsky, J.G.; Labbé, A.; Wahl, C.; Prakash, S. Antimicrobial properties of nitric oxide and its application in antimicrobial formulations and medical devices. Appl. Microbiol. Biotechnol. 2010, 88, 401–407. [Google Scholar] [CrossRef] [PubMed]
- Fang, F.C. Antimicrobial reactive oxygen and nitrogen species: Concepts and controversies. Nat. Rev. Microbiol. 2004, 2, 820–832. [Google Scholar] [CrossRef] [PubMed]
- Privett, B.J.; Broadnax, A.D.; Bauman, S.J.; Riccio, D.A.; Schoenfisch, M.H. Examination of bacterial resistance to exogenous nitric oxide. Nitric Oxide Biol. Chem. 2012, 26, 169–173. [Google Scholar] [CrossRef]
- Fang, F.C. Mechanisms of nitric oxide–Related antimicrobial activity. J. Clin. Investig. 1997, 99, 2818–2825. [Google Scholar] [CrossRef] [PubMed]
- Carpenter, A.W.; Schoenfisch, M.H. Nitric oxide release: Part II. Therapeutic applications. Chem. Soc. Rev. 2012, 41, 3742–3752. [Google Scholar] [CrossRef] [PubMed]
- Stratton, C.W. Dead bugs don’t mutate: Susceptibility issues in the emergence of bacterial resistance. Emerg. Infect. Dis. 2003, 9, 10–16. [Google Scholar] [CrossRef]
- Miranda, K.M. The chemistry of nitroxyl (HNO) and implications in biology. Coord. Chem. Rev. 2005, 249, 433–455. [Google Scholar] [CrossRef]
- DeMaster, E.G.; Redfern, B.; Nagasawa, H.T. Mechanisms of inhibition of aldehyde dehydrogenase by nitroxyl, the active metabolite of the alcohol deterrent agent cyanamide. Biochem. Pharm. 1998, 55, 2007–2015. [Google Scholar] [CrossRef]
- Lopez, B.E.; Wink, D.A.; Fukuto, J.M. The inhibition of glyceraldehyde-3-phosphate dehydrogenase by nitroxyl (HNO). Arch. Biochem. Biophys. 2007, 465, 430–436m. [Google Scholar] [CrossRef] [PubMed]
- Dierks, E.A.; Burstyn, J.N. Nitric Oxide (NO•), the only nitrogen monoxide redox form capable of activating soluble guanylyl cyclase. Biochem. Pharm. 1996, 51, 1593–1600. [Google Scholar] [CrossRef]
- Miller, T.W.; Cherney, M.M.; Lee, A.J.; Francolean, N.E.; Farmer, P.J.; King, S.B.; Hobbs, A.J.; Miranda, K.M.; Burstyn, J.N.; Fukuto, J.M. The effects of nitroxyl (HNO) on soluble guanylate cyclase activity. Interactions at ferrous heme and cysteine thiols. J. Biol. Chem. 2009, 284, 21788–21796. [Google Scholar] [CrossRef]
- Dai, T.; Tian, Y.; Tocchetti, C.G.; Katori, T.; Murphy, A.M.; Kass, D.A.; Paolocci, N.; Gao, W.D. Nitroxyl increases force development in rat cardiac muscle. J. Physiol. 2007, 580, 951–960. [Google Scholar] [CrossRef] [PubMed]
- Tocchetti, C.G.; Stanley, B.A.; Murray, C.I.; Sivakumaran, V.; Donzelli, S.; Mancardi, D.; Pagliaro, P.; Gao, W.D.; Van Eyk, J.; Kass, D.A.; et al. Playing with cardiac redox switches: The HNO way to modulate cardiac function. Antioxid. Redox Signal. 2011, 14, 1687–1698. [Google Scholar] [CrossRef]
- Tocchetti, C.G.; Wang, W.; Froehlich, J.P.; Huke, S.; Aon, M.A.; Wilson, M.; Di Benedetto, G.; Rourke, B.O.; Gao, W.D.; Wink, D.A.; et al. Nitroxyl improves cellular heart function by directly enhancing cardiac sarcoplasmic reticulum Ca2+ cycling. Circ. Res. 2007, 100, 96–104. [Google Scholar] [CrossRef]
- Bellavia, L.; Daniel, B.; King, S.B. Detecting and monitoring NO, SNO and nitrite in vivo. Futur. Sci. OA 2015, 1, FSO36. [Google Scholar] [CrossRef]
- Tiberi, S.; Muñoz-Torrico, M.; Duarte, R.; Dalcolmo, M.; D’Ambrosio, L.; Migliori, G.B. New drugs and perspectives for new anti-tuberculosis regimens. Rev. Port. Pneumol. 2018, 24, 86–98. [Google Scholar] [CrossRef] [PubMed]
- Cole, S.T.; Riccardi, G. New tuberculosis drugs on the horizon. Curr. Opin. Microbiol. 2011, 14, 570–576. [Google Scholar] [CrossRef]
- Freeman, C.D.; Klutman, N.E.; Lamp, K.C. Metronidazole. A therapeutic review and update. Drugs 1997, 54, 679–708. [Google Scholar] [CrossRef] [PubMed]
- Dingsdag, S.A.; Hunter, N. Metronidazole: An update on metabolism, structure-cytotoxicity and resistance mechanisms. J. Antimicrob. Chemother. 2018, 73, 265–279. [Google Scholar] [CrossRef] [PubMed]
- Hernández Ceruelos, A.; Romero-Quezada, L.C.; Ruvalcaba Ledezma, J.C.; López Contreras, L. Therapeutic uses of metronidazole and its side effects: An update. Eur. Rev. Med. Pharm. Sci. 2019, 23, 397–401. [Google Scholar] [CrossRef]
- Edwards, D.I. Mechanism of antimicrobial action of metronidazole. J. Antimicrob. Chemother. 1979, 5, 499–502. [Google Scholar] [CrossRef] [PubMed]
- Church, D.L.; Laishley, E.J. Reduction of metronidazole by hydrogenase from Clostridia. Anaerobe 1995, 1, 81–92. [Google Scholar] [CrossRef]
- Church, D.L.; Rabin, H.R.; Laishley, E.J. Reduction of 2-, 4- and 5-nitroimidazole drugs by hydrogenase 1 in Clostridium Pasteurianum. J. Antimicrob. Chemother. 1990, 25, 15–23. [Google Scholar] [CrossRef]
- Roldán, M.D.; Pérez-Reinado, E.; Castillo, F.; Moreno-Vivián, C. Reduction of polynitroaromatic compounds: The bacterial Nitroreductases. FEMS Microbiol. Rev. 2008, 32, 474–500. [Google Scholar] [CrossRef]
- Peterson, F.J.; Mason, R.P.; Hovsepain, J.; Holtzman, J.L. Oxygen-sensitive and -insensitive nitroreductoin by Esherichia Coli and rat hepatic microsomes. J. Biol. Chem. 1979, 254, 4009–4014. [Google Scholar] [CrossRef]
- Lockerby, D.L.; Rabin, H.R.; Bryan, L.E.; Laishley, E.J. Ferredoxin-linked reduction of metronidazole in Clostridium Pasteurianum. Antimicrob. Agents Chemother. 1984, 26, 665–669. [Google Scholar] [CrossRef]
- Chen, J.-S.; Blanchard, D.K. A simple hydrogenase-linked assay for ferredoxin and flavodoxin. Anal. Biochem. 1979, 93, 216–222. [Google Scholar] [CrossRef]
- Church, D.L.; Rabin, H.R.; Lalshley, E.J. Role of hydrogenase 1 of Clostridium Pasteurianum in the reduction of metronidazole. Biochem. Pharm. 1988, 37, 1525–1534. [Google Scholar] [CrossRef]
- Goldman, P.; Wuest, J.D. Reactions of nitroimidazoles. Nucleophilic substitution of the nitro group. J. Am. Chem. Soc. 1981, 103, 6224–6226. [Google Scholar] [CrossRef]
- Boyland, E.; Speyer, B.E. Enzyme-catalysed reactions between some 2-substituted 5-nitrofuran derivatives and glutathione. Biochem. J. 1970, 119, 463–472. [Google Scholar] [CrossRef] [PubMed]
- Wilson, R.L.; Searle, A.J.F. Metronidazole (Flagyl): Iron catalyzed reaction with sulphydryl groups and tumour radiosensitisation. Nature 1975, 255, 498–500. [Google Scholar] [CrossRef]
- Mason, R.P.; Josephy, P.D. An electron spin resonance investigation of the iron-catalyzed reaction of metronidazole with cysteine. J. Inorg. Biochem. 1985, 24, 161–165. [Google Scholar] [CrossRef]
- Bertinaria, M.; Galli, U.; Sorba, G.; Fruttero, R.; Gasco, A.; Brenciaglia, M.I.; Scaltrito, M.M.; Dubini, F. Synthesis and anti-helicobacter pylori properties of NO-donor/metronidazole hybrids and related compounds. Drug Dev. Res. 2003, 60, 225–239. [Google Scholar] [CrossRef]
- Sannella, A.; Gradoni, L.; Persichini, T.; Ongini, E.; Venturini, G.; Colasanti, M. Intracellular release of nitric oxide by NCX 972, an NO-releasing metronidazole, enhances in vitro killing of entamoeba histolytica. Antimicrob. Agents Chemother. 2003, 47, 2303–2306. [Google Scholar] [CrossRef] [PubMed]
- Upadhyay, A.; Chandrakar, P.; Gupta, S.; Parmar, N.; Singh, S.K.; Rashid, M.; Kushwaha, P.; Wahajuddin, M.; Sashidhara, K.V.; Kar, S. Synthesis, biological evaluation, structure-activity relationship, and mechanism of action studies of quinoline-metronidazole derivatives against experimental visceral leishmaniasis. J. Med. Chem. 2019, 62, 5655–5671. [Google Scholar] [CrossRef] [PubMed]
- Somaratne, V.N.; Ranawaka, R.R.; Jayaruwan, H.M.; Wipuladasa, D.M.; de Silva, S.H.P. Randomized, double-blind study on intralesional metronidazole versus intralesional sodium stibogluconate in Leishmania Donovani cutaneous leishmaniasis. J. Dermatol. Treat. 2019, 30, 87–91. [Google Scholar] [CrossRef]
- Gangneux, J.P.; Dullin, M.; Sulahian, A.; Garin, Y.J.F.; Derouin, F. Experimental Evaluation of second-line oral treatments of visceral leishmaniasis caused by Leishmania Infantum. Antimicrob. Agents Chemother. 1999, 43, 172–174. [Google Scholar] [CrossRef][Green Version]
- Bianciardi, P.; Fasanella, A.; Manzillo, V.F.; Trotta, T.; Pagano, A.; Sorino, S.; Gradoni, L.; Oliva, G. The efficacy of enrofloxacin, alone or combined with metronidazole, in the therapy of canine leishmaniasis. Parasitol. Res. 2004, 93, 486–492. [Google Scholar] [CrossRef]
- Löfmark, S.; Edlund, C.; Nord, C.E. Metronidazole Is still the drug of choice for treatment of anaerobic infections. Clin. Infect. Dis. 2010, 50, S16–S23. [Google Scholar] [CrossRef] [PubMed]
- Nakayama, H.; Loiseau, P.M.; Bories, C.; Torres De Ortiz, S.; Schinini, A.; Serna, E.; Rojas De Arias, A.; Fakhfakh, M.A.; Franck, X.; Figadère, B.; et al. Efficacy of Orally Administered 2-Substituted Quinolines in Experimental Murine Cutaneous and Visceral leishmaniases. Antimicrob. Agents Chemother. 2005, 49, 4950–4956. [Google Scholar] [CrossRef] [PubMed]
- Yousuf, M.; Mukherjee, D.; Dey, S.; Pal, C.; Adhikari, S. Antileishmanial ferrocenylquinoline derivatives: Synthesis and biological evaluation against leishmania donovani. Eur. J. Med. Chem. 2016, 124, 468–479. [Google Scholar] [CrossRef] [PubMed]
- Miyamoto, Y.; Kalisiak, J.; Korthals, K.; Lauwaet, T.; Cheung, D.Y.; Lozano, R.; Cobo, E.R.; Upcroft, P.; Upcroft, J.A.; Berg, D.E.; et al. Expanded therapeutic potential in activity space of next-generation 5-nitroimidazole antimicrobials with broad structural diversity. Proc. Natl. Acad. Sci. USA 2013, 110, 17564–17569. [Google Scholar] [CrossRef] [PubMed]
- Fung, H.B.; Doan, T.L. Tinidazole: A Nitroimidazole Antiprotozoal Agent. Clin. Ther. 2005, 27, 1859–1884. [Google Scholar] [CrossRef]
- Manes, G.; Balzano, A. Tinidazole: From protozoa to helicobacter Pylori—The Past, present and future of a nitroimidazole with peculiarities. Expert Rev. Anti. Infect. 2004, 2, 695–705. [Google Scholar] [CrossRef] [PubMed]
- Levina, V.I.; Trukhacheva, L.A.; Pyatakova, N.V.; Arzamastsev, A.P.; Severina, I.S.; Grigor’ev, N.B.; Granik, V.G. Investigation of the no-donor activity of the antimicrobial drug tinidazole. Pharm. Chem. J. 2004, 38, 15–18. [Google Scholar] [CrossRef]
- Radi, A.; El-Laban, S.; El-Kourashy, A.-G. Electrochemical reduction of secnidazole and its determination in tablets. Electroanalysis 1997, 9, 625–628. [Google Scholar] [CrossRef]
- Zhang, Y.; Zhao, L.; Yang, Y.; Sun, P. Degradation of the antibiotic ornidazole in aqueous solution by using nanoscale zero-valent iron particles: Kinetics, mechanism, and degradation pathway. RSC Adv. 2018, 8, 35062–35072. [Google Scholar] [CrossRef]
- Buisson, A.; Chevaux, J.B.; Bommelaer, G.; Peyrin-Biroulet, L. Diagnosis, prevention and treatment of postoperative Crohn’s disease recurrence. Dig. Liver Dis. 2012, 44, 453–460. [Google Scholar] [CrossRef]
- Kurt, Ö.; Girginkardeşler, N.; Balcioǧlu, I.C.; Özbilgin, A.; Ok, Ü.Z. A comparison of metronidazole and single-dose ornidazole for the treatment of dientamoebiasis. Clin. Microbiol. Infect. 2008, 14, 601–604. [Google Scholar] [CrossRef] [PubMed]
- López Fonseca, J.M.; Gómez Rivera, M.C.; García Monteagudo, J.C. Electrochemistry of ornidazole. Anal. Lett. 1993, 26, 109–124. [Google Scholar] [CrossRef]
- Nandy, P.; Singha, S.; Banyal, N.; Kumar, S.; Mukhopadhyay, K.; Das, S. A ZnII complex of ornidazole with decreased nitro radical anions that is still highly active on: Entamoeba histolytica. RSC Adv. 2020, 10, 23286–23296. [Google Scholar] [CrossRef]
- Deeks, E.D. Fexinidazole: First global approval. Drugs 2019, 79, 215–220. [Google Scholar] [CrossRef] [PubMed]
- Kaiser, M.; Bray, M.A.; Cal, M.; Trunz, B.B.; Torreele, E.; Brun, R. Antitrypanosomal activity of fexinidazole, a new oral nitroimidazole drug candidate for treatment of sleeping sickness. Antimicrob. Agents Chemother. 2011, 55, 5602–5608. [Google Scholar] [CrossRef]
- Voak, A.A.; Gobalakrishnapillai, V.; Seifert, K.; Balczo, E.; Hu, L.; Hall, B.S.; Wilkinson, S.R. An essential type i nitroreductase from leishmania major can be used to activate leishmanicidal prodrugs. J. Biol. Chem. 2013, 288, 28466–28476. [Google Scholar] [CrossRef]
- Wyllie, S.; Patterson, S.; Stojanovski, L.; Simeons, F.R.C.; Norval, S.; Kime, R.; Read, K.D.; Fairlamb, A.H. The Anti-trypanosome drug fexinidazole shows potential for treating visceral leishmaniasis. Sci. Transl. Med. 2012, 4, 1–8. [Google Scholar] [CrossRef] [PubMed]
- Beaman, A.G.; Tautz, W.; Gabriel, T.; Duschinsky, R. The Synthesis of azomycin. J. Am. Chem. Soc. 1965, 87, 389–390. [Google Scholar] [CrossRef]
- McClelland, R.A.; Panicucci, R.; Rauth, A.M. Products of the reductions of 2-nitroimidazoles. J. Am. Chem. Soc. 1987, 109, 4308–4314. [Google Scholar] [CrossRef]
- Flockhart, I.R.; Large, P.; Troup, D.; Malcolm, S.L.; Marten, T.R. Pharmacokinetic and metabolic studies of the hypoxic cell radiosensitizer misonidazole. Xenobiotica 1977, 8, 97–105. [Google Scholar] [CrossRef] [PubMed]
- Whillans, A.D.W.; Whitmore, G.F.; May, N. The radiation reduction of misonidazole. Radiat. Res. 1981, 86, 311–324. [Google Scholar] [CrossRef] [PubMed]
- Varghese, A.J.; Whitmore, G.F. Detection of a reactive metabolite of misonidazole in human urine. Int. J. Radiat. Oncol. Biol. Phys. 1984, 10, 1361–1363. [Google Scholar] [CrossRef]
- Knox, R.J.; Knight, R.C.; Edwards, D.I. Studies on the action of nitroimidazole drugs: The products of nitroimidazole reduction. Biochem. Pharm. 1983, 32, 2149–2156. [Google Scholar] [CrossRef]
- Müller Kratz, J.; Garcia Bournissen, F.; Forsyth, C.J.; Sosa-Estani, S. Clinical and pharmacological profile of benznidazole for treatment of chagas disease. Expert Rev. Clin. Pharm. 2018, 11, 943–957. [Google Scholar] [CrossRef]
- Hall, B.S.; Wilkinson, S.R. Activation of benznidazole by trypanosomal type I nitroreductases results in glyoxal formation. Antimicrob. Agents Chemother. 2012, 56, 115–123. [Google Scholar] [CrossRef] [PubMed]
- Moreno, S.N.J.; Docampo, R.; Mason, R.P.; Leon, W.; Stoppani, A.O.M. Different behaviors of benznidazole as free radical generator with mammalian and trypanosoma cruzi microsomal preparations. Arch. Biochem. Biophys. 1982, 218, 585–591. [Google Scholar] [CrossRef]
- FDA Approves New Drug for Treatment-Resistant Forms of Tuberculosis That Affects the Lungs. Available online: https://www.fda.gov/news-events/press-announcements/fda-approves-new-drug-treatment-resistant-forms-tuberculosis-affects-lungs (accessed on 10 October 2020).
- Stover, C.K.; Warrener, P.; VanDevanter, D.R.; Sherman, D.R.; Arain, T.M.; Langhorne, M.H.; Anderson, S.W.; Towell, J.A.; Yuan, Y.; McMurray, D.N.; et al. A Small-molecule nitroimidazopyran drug candidate for the treatment of tuberculosis. Nature 2000, 405, 962–966. [Google Scholar] [CrossRef]
- Singh, R.; Manjunatha, U.; Boshoff, H.I.M.; Young, H.H.; Niyomrattanakit, P.; Ledwidge, R.; Dowd, C.S.; Ill, Y.L.; Kim, P.; Zhang, L.; et al. PA-824 kills nonreplicating mycobacterium tuberculosis by intracellular NO release. Science 2008, 322, 1392–1395. [Google Scholar] [CrossRef]
- Buchieri, M.V.; Cimino, M.; Rebollo-Ramirez, S.; Beauvineau, C.; Cascioferro, A.; Favre-Rochex, S.; Helynck, O.; Naud-Martin, D.; Larrouy-Maumus, G.; Munier-Lehmann, H.; et al. nitazoxanide analogs require nitroreduction for antimicrobial activity in mycobacterium smegmatis. J. Med. Chem. 2017, 60, 7425–7433. [Google Scholar] [CrossRef]
- Thompson, A.M.; Bonnet, M.; Lee, H.H.; Franzblau, S.G.; Wan, B.; Wong, G.S.; Cooper, C.B.; Denny, W.A. Antitubercular nitroimidazoles revisited: Synthesis and activity of the authentic 3-nitro isomer of pretomanid. ACS Med. Chem. Lett. 2017, 8, 1275–1280. [Google Scholar] [CrossRef] [PubMed]
- Lakshminarayana, S.B.; Boshoff, H.I.M.; Cherian, J.; Ravindran, S.; Goh, A.; Jiricek, J.; Nanjundappa, M.; Nayyar, A.; Gurumurthy, M.; Singh, R.; et al. Pharmacokinetics-Pharmacodynamics analysis of bicyclic 4-nitroimidazole analogs in a murine model of tuberculosis. PLoS ONE 2014, 9, e105222. [Google Scholar] [CrossRef] [PubMed]
- Kim, P.; Zhang, L.; Manjunatha, U.H.; Singh, R.; Patel, S.; Jiricek, J.; Keller, T.H.; Boshoff, H.I.; Barry, C.E.; Dowd, C.S. Structure-activity relationships of antitubercular nitroimidazoles. 1. Structural features associated with aerobic and anaerobic activities of 4-And 5-Nitroimidazoles. J. Med. Chem. 2009, 52, 1317–1328. [Google Scholar] [CrossRef]
- Thompson, A.M.; Blaser, A.; Anderson, R.F.; Shinde, S.S.; Franzblau, S.G.; Ma, Z.; Denny, W.A.; Palmer, B.D. Synthesis, reduction potentials, and antitubercular activity of ring A/B analogues of the bioreductive drug (6S)-2-nitro-6-{[4-(Trifluoromethoxy) Benzyl] Oxy}-6,7-Dihydro-5H-Imidazo[2,1-b] [1,3] Oxazine (PA-824). J. Med. Chem. 2009, 52, 637–645. [Google Scholar] [CrossRef]
- Manjunatha, U.; Boshoff, H.I.; Barry, C.E. The mechanism of action of PA-824: Novel insights from transcriptional profiling. Commun. Integr. Biol. 2009, 2, 215–218. [Google Scholar] [CrossRef]
- Gurumurthy, M.; Mukherjee, T.; Dowd, C.S.; Singh, R.; Pornwaratt, N.; Tay, J.A.; Nayyar, A.; Lee, Y.S.; Cherian, J.; Boshoff, H.I.; et al. Substrate specificity of the deazaflavin-dependent nitroreductase (Ddn) from mycobacterium tuberculosis responsible for the bioreductive activation of bicyclic nitroimidazoles. FEBS J. 2012, 279, 113–125. [Google Scholar] [CrossRef] [PubMed]
- Dogra, M.; Palmer, B.D.; Bashiri, G.; Tingle, M.D.; Shinde, S.S.; Anderson, R.F.; O’Toole, R.; Baker, E.N.; Denny, W.A.; Helsby, N.A. Comparative bioactivation of the novel anti-tuberculosis agent PA-824 in mycobacteria and a subcellular fraction of human liver. Br. J. Pharm. 2011, 162, 226–236. [Google Scholar] [CrossRef]
- Anderson, R.F.; Shinde, S.S.; Maroz, A.; Boyd, M.; Palmer, B.D.; Denny, W.A. Intermediates in the Reduction of the antituberculosis drug PA-824, (6S)-2-Nitro-6-{[4-(Trifluoromethoxy) Benzyl] Oxy}-6,7-Dihydro-5H-Imidazo[2,1-b] [1,3] Oxazine, in aqueous solution. Org. Biomol. Chem. 2008, 6, 1973–1980. [Google Scholar] [CrossRef]
- Bollo, S.; Núñez-Vergara, L.J.; Squella, J.A. Cyclic Voltammetric determination of free radical species from nitroimidazopyran: A new antituberculosis agent. J. Electroanal. Chem. 2004, 562, 9–14. [Google Scholar] [CrossRef]
- Bollo, S.; Núñez-Vergara, L.J.; Kang, S.; Zhang, L.; Boshoff, H.I.; Barry, C.E.; Squella, J.A.; Dowd, C.S. The effect of 5-substitution on the electrochemical behavior and antitubercular activity of PA-824. Bioorganic Med. Chem. Lett. 2011, 21, 812–817. [Google Scholar] [CrossRef] [PubMed][Green Version]
- Jarrad, A.M.; Ang, C.W.; Debnath, A.; Hahn, H.J.; Woods, K.; Tan, L.; Sykes, M.L.; Jones, A.J.; Pelingon, R.; Butler, M.S.; et al. Design, synthesis, and biological evaluation of 2-nitroimidazopyrazin-one/-es with antitubercular and antiparasitic activity. J. Med. Chem. 2018, 61, 11349–11371. [Google Scholar] [CrossRef]
- Patterson, S.; Wyllie, S.; Stojanovski, L.; Perry, M.R.; Simeons, F.R.C.; Norval, S.; Osuna-Cabello, M.; De Rycker, M.; Read, K.D.; Fairlamb, A.H. The R enantiomer of the antitubercular drug PA-824 as a potential oral treatment for visceral leishmaniasis. Antimicrob. Agents Chemother. 2013, 57, 4699–4706. [Google Scholar] [CrossRef]
- Wyllie, S.; Roberts, A.J.; Norval, S.; Patterson, S.; Foth, B.J.; Berriman, M.; Read, K.D.; Fairlamb, A.H. Activation of bicyclic nitro-drugs by a novel nitroreductase (NTR2) in Leishmania. PLoS Pathog. 2016, 12, 1–22. [Google Scholar] [CrossRef]
- Liu, Y.; Matsumoto, M.; Ishida, H.; Ohguro, K.; Yoshitake, M.; Gupta, R.; Geiter, L.; Hafkin, J. Delamanid: From discovery to its use for pulmonary multidrug-resistant tuberculosis (MDR-TB). Tuberculosis 2018, 111, 20–30. [Google Scholar] [CrossRef]
- Matsumoto, M.; Hashizume, H.; Tomishige, T.; Kawasaki, M.; Tsubouchi, H.; Sasaki, H.; Shimokawa, Y.; Komatsu, M. OPC-67683, a Nitro-dihydro-imidazooxazole derivative with promising action against tuberculosis in vitro and in mice. PLoS Med. 2006, 3, 2131–2144. [Google Scholar] [CrossRef] [PubMed]
- Xavier, A.S.; Lakshmanan, M. Delamanid: A new armor in combating drug-resistant tuberculosis. J. Pharm. Pharm. 2014, 5, 222–224. [Google Scholar] [CrossRef]
- Patterson, S.; Wyllie, S.; Norval, S.; Stojanovski, L.; Simeons, F.R.C.; Auer, J.L.; Osuna-Cabello, M.; Read, K.D.; Fairlamb, A.H. The anti-tubercular drug delamanid as a potential oral treatment for visceral leishmaniasis. Elife 2016, 5, 1–21. [Google Scholar] [CrossRef]
- Gupta, S.; Yardley, V.; Vishwakarma, P.; Shivahare, R.; Sharma, B.; Launay, D.; Martin, D.; Puri, S.K. Nitroimidazo-Oxazole compound DNDI-VL-2098: An orally effective preclinical drug candidate for the treatment of visceral leishmaniasis. J. Antimicrob. Chemother. 2015, 70, 518–527. [Google Scholar] [CrossRef]
- Thompson, A.M.; O’Connor, P.D.; Blaser, A.; Yardley, V.; Maes, L.; Gupta, S.; Launay, D.; Martin, D.; Franzblau, S.G.; Wan, B.; et al. Repositioning antitubercular 6-nitro-2,3-dihydroimidazo[2,1-b] [1,3] Oxazoles for neglected tropical diseases: Structure-activity studies on a preclinical candidate for visceral leishmaniasis. J. Med. Chem. 2016, 59, 2530–2550. [Google Scholar] [CrossRef]
- Thompson, A.M.; O’Connor, P.D.; Marshall, A.J.; Blaser, A.; Yardley, V.; Maes, L.; Gupta, S.; Launay, D.; Braillard, S.; Chatelain, E.; et al. Development of (6 R)-2-Nitro-6-[4-(Trifluoromethoxy) Phenoxy]-6,7-Dihydro-5H-imidazo[2,1-b] [1,3] oxazine (DNDI-8219): A new lead for visceral leishmaniasis. J. Med. Chem. 2018, 61, 2329–2352. [Google Scholar] [CrossRef] [PubMed]
- Kmentova, I.; Sutherland, H.S.; Palmer, B.D.; Blaser, A.; Franzblau, S.G.; Wan, B.; Wang, Y.; Ma, Z.; Denny, W.A.; Thompson, A.M. Synthesis and structure-activity relationships of Aza- and diazabiphenyl analogues of the antitubercular drug (6 S)-2-Nitro-6-{[4-(Trifluoromethoxy) Benzyl] Oxy}-6,7-Dihydro-5H-imidazo[2,1-b] [1,3] Oxazine (PA-824). J. Med. Chem. 2010, 53, 8421–8439. [Google Scholar] [CrossRef]
- Ntshangase, S.; Shobo, A.; Kruger, H.G.; Asperger, A.; Niemeyer, D.; Arvidsson, P.I.; Govender, T.; Baijnath, S. The downfall of TBA-354–a Possible Explanation for Its Neurotoxicity via Mass Spectrometric Imaging. Xenobiotica 2018, 48, 938–944. [Google Scholar] [CrossRef] [PubMed]
- Upton, A.M.; Cho, S.; Yang, T.J.; Kim, A.Y.; Wang, Y.; Lu, Y.; Wang, B.; Xu, J.; Mdluli, K.; Ma, Z.; et al. In vitro and in vivo activities of the nitroimidazole TBA-354 against mycobacterium tuberculosis. Antimicrob. Agents Chemother. 2015, 59, 136–144. [Google Scholar] [CrossRef] [PubMed]
- Grigor, N.B.; Chechekin, G.V.; Arzamaztsev, A.P.; Levina, V.I.; Granik, V.G. Nitrogen oxide generation during reduction of nitrofuran antibacterial drugs. Chem. Heterocycl. Compd. 1999, 35, 788–791. [Google Scholar] [CrossRef]
- Bern, C.; Montgomery, S.P.; Herwaldt, B.L.; Rassi, A.; Marin-Neto, J.A.; Dantas, R.O.; Maguire, J.H.; Acquatella, H.; Morillo, C.; Kirchhoff, L.V.; et al. Evaluation and treatment of chagas disease in the United States: A systematic review. J. Am. Med. Assoc. 2007, 298, 2171–2181. [Google Scholar] [CrossRef]
- Hall, B.S.; Bot, C.; Wilkinson, S.R. Nifurtimox activation by trypanosomal Type I nitroreductases generates cytotoxic nitrile metabolites. J. Biol. Chem. 2011, 286, 13088–13095. [Google Scholar] [CrossRef]
- Arredondo-Garcı, L.; Amabile-Cuevas, C.F. Nitrofurantoin, phenazopyridine, and the superoxide-response regulon SoxRS of Escherichia coli. J. Infect. Chemother. 2013, 19, 1135–1140. [Google Scholar] [CrossRef]
- McOsker, C.C.; Fitzpatrick, P.M. Nitrofurantoin: Mechanism of action and implications for resistance development in common uropathogens. J. Antimicrob. Chemother. 1994, 33, 22–30. [Google Scholar] [CrossRef]
- Ramakrishna Rao, D.N.; Mason, R.P. Generation of nitro radical anions of some 5-nitrofurane, 2- and 5-nitroimidazoles by norepinephrine, dopamine, and serotonin. A possible mechanism for neurotoxicity caused by nitroheterocyclic drugs. J. Biol. Chem. 1987, 262, 11731–11736. [Google Scholar]
- Youngman, R.J.; Osswald, W.F.; Elstner, E.F. Mechanisms of oxygen activation by nitrofurantoin and relevance to its toxicity. Biochem. Pharm. 1982, 31, 3723–3729. [Google Scholar] [CrossRef]
- Vumma, R.; Bang, C.S.; Kruse, R.; Johansson, K.; Persson, K. Antibacterial effects of nitric oxide on uropathogenic escherichia coli during bladder epithelial cell colonization-a comparison with nitrofurantoin. J. Antibiot. 2016, 69, 183–186. [Google Scholar] [CrossRef] [PubMed]
- Ferreira, L.P.; Parra, G.G.; Codognato, D.C.K.; Amado, A.M.; Da Silva, R.S. Light induced cytotoxicity of nitrofurantoin toward murine melanoma. Photochem. Photobiol. Sci. 2017, 16, 1071–1078. [Google Scholar] [CrossRef]
- Hartkoorn, R.C.; Ryabova, O.B.; Chiarelli, L.R.; Riccardi, G.V.; Makarov, V.; Makarov, S.T. Mechanism of Action of 5-nitrothiophenes against mycobacterium tuberculosis. Antimicrob. Agents Chemother. 2014, 58, 2944–2947. [Google Scholar] [CrossRef][Green Version]
- Chiarelli, L.R.; Salina, E.G.; Mori, G.; Azhikina, T.; Riabova, O.; Lepioshkin, A.; Grigorov, A.; Forbak, M.; Madacki, J.; Orena, B.S.; et al. New insights into the mechanism of action of the thienopyrimidine antitubercular prodrug TP053. ACS Infect. Dis. 2020, 6, 313–323. [Google Scholar] [CrossRef]
- Tiwari, R.; Moraski, G.C.; Krchňák, V.; Miller, P.A.; Colon-Martinez, M.; Herrero, E.; Oliver, A.G.; Miller, M.J. Thiolates chemically induce redox activation of btz043 and related potent nitroaromatic anti-tuberculosis agents. J. Am. Chem. Soc. 2013, 135, 3539–3549. [Google Scholar] [CrossRef] [PubMed]
- Makarov, V.; Manina, G.; Mikusova, K.; Möllmann, U.; Ryabova, O.; Saint-Joanis, B.; Dhar, N.; Pasca, M.R.; Buroni, S.; Lucarelli, A.P.; et al. Benzothiazinones kill mycobacterium tuberculosis by blocking arabinan synthesis. Science 2009, 324, 801–804. [Google Scholar] [CrossRef]
- Trefzer, C.; Rengifo-Gonzalez, M.; Hinner, M.J.; Schneider, P.; Makarov, V.; Cole, S.T.; Johnsson, K. Benzothiazinones: Prodrugs That covalently modify the decaprenylphosphoryl- β-D-ribose 2′-epimerase DprE1 of mycobacterium tuberculosis. J. Am. Chem. Soc. 2010, 132, 13663–13665. [Google Scholar] [CrossRef] [PubMed]
- Karoli, T.; Becker, B.; Zuegg, J.; Möllmann, U.; Ramu, S.; Huang, J.X.; Cooper, M.A. Identification of antitubercular benzothiazinone compounds by ligand-based design. J. Med. Chem. 2012, 55, 7940–7944. [Google Scholar] [CrossRef]

















Publisher’s Note: MDPI stays neutral with regard to jurisdictional claims in published maps and institutional affiliations. |
© 2021 by the authors. Licensee MDPI, Basel, Switzerland. This article is an open access article distributed under the terms and conditions of the Creative Commons Attribution (CC BY) license (http://creativecommons.org/licenses/by/4.0/).
Share and Cite
Rice, A.M.; Long, Y.; King, S.B. Nitroaromatic Antibiotics as Nitrogen Oxide Sources. Biomolecules 2021, 11, 267. https://doi.org/10.3390/biom11020267
Rice AM, Long Y, King SB. Nitroaromatic Antibiotics as Nitrogen Oxide Sources. Biomolecules. 2021; 11(2):267. https://doi.org/10.3390/biom11020267
Chicago/Turabian StyleRice, Allison M., Yueming Long, and S. Bruce King. 2021. "Nitroaromatic Antibiotics as Nitrogen Oxide Sources" Biomolecules 11, no. 2: 267. https://doi.org/10.3390/biom11020267
APA StyleRice, A. M., Long, Y., & King, S. B. (2021). Nitroaromatic Antibiotics as Nitrogen Oxide Sources. Biomolecules, 11(2), 267. https://doi.org/10.3390/biom11020267

