Analytical and Statistical Modelling of a Fast Ion Source Formed by Injection of a Neutral Beam into Magnetically Confined Plasma
Abstract
1. Introduction
2. Analytical Approach
2.1. Phenomenological Derivation
2.2. Mathematical Derivation
3. Statistical Approach
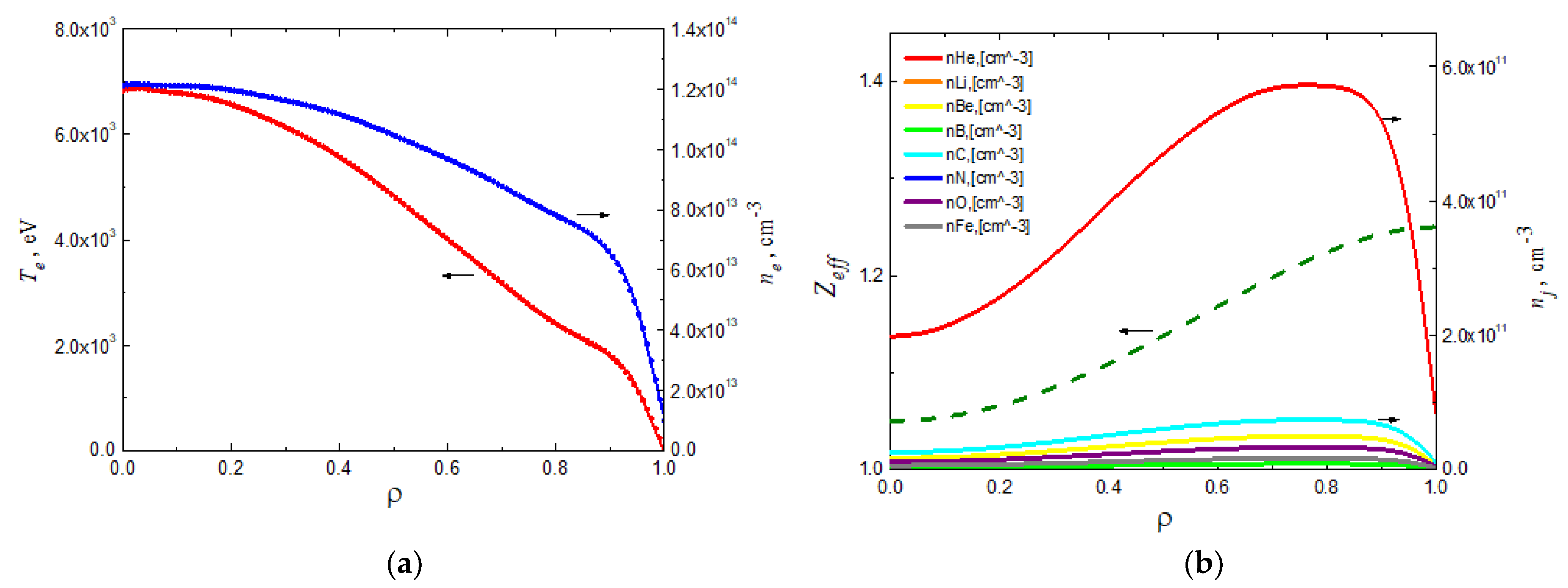
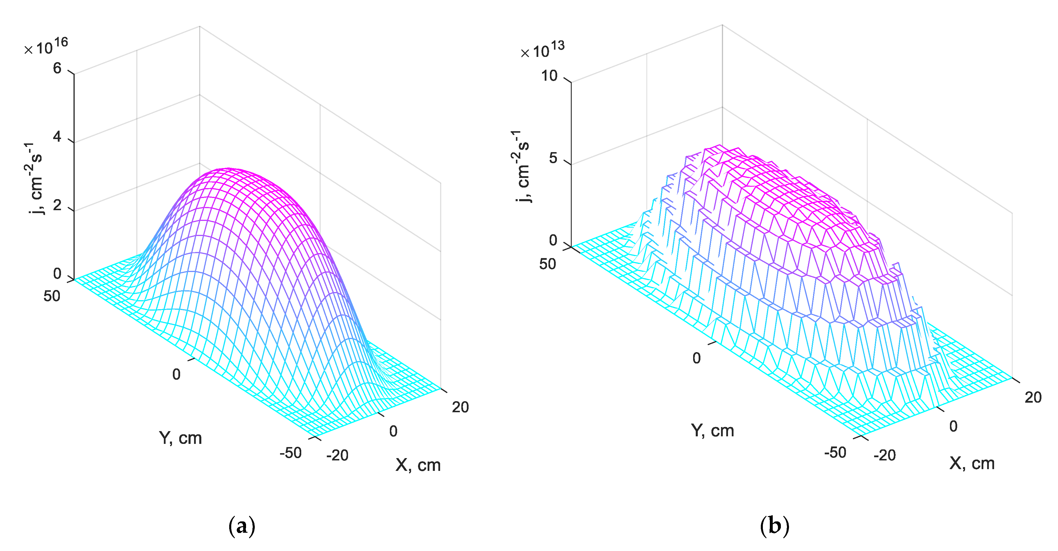
4. Calculations of Spatial and Angular Distributions of the Fast Ion Source
5. Conclusions
Funding
Informed Consent Statement
Data Availability Statement
Acknowledgments
Conflicts of Interest
References
- Artsimovich, L.A. The prospects of investigations of the problem of controlled nuclear fusion. Sov. Phys. Uspekhi 1967, 10, 117–126. [Google Scholar] [CrossRef]
- Ohkawa, T. New methods of driving plasma current in fusion devices. Nucl. Fusion 1970, 10, 185–188. [Google Scholar] [CrossRef]
- Hopf, C.; Starnella, G.; Harder, N.D.; Fantz, U. Neutral beam injection for fusion reactors: Technological constraints versus functional requirements. Nucl. Fusion 2021, 61, 106032. [Google Scholar] [CrossRef]
- Hemsworth, R.S.; Boilson, D.; Blatchford, P.; Palma, M.D.; Chitarin, G.; de Esch, H.P.L.; Geli, F.; Dremel, M.; Graceffa, J.; Marcuzzi, D.; et al. Overview of the design of the ITER heating neutral beam injectors. New J. Phys. 2017, 19, 025005. [Google Scholar] [CrossRef]
- Belchenko, Y.I.; Burdakov, A.V.; Davydenko, V.I.; Gorbovskii, A.I.; Etmelev, I.S.; Ivanov, A.A.; Sanin, A.L.; Sotnikov, O.Z. Possible Scheme of Atomic Beam Injector for Plasma Heating and Current Drive at the TRT Tokamak. Plasma Phys. Rep. 2021, 47, 1151–1157. [Google Scholar] [CrossRef]
- Ivanov, A.A.; Abdrashitov, G.F.; Anashin, V.V.; Belchenko, Y.I.; Burdakov, A.V.; Davydenko, V.I.; Deichuli, P.P.; Dimov, G.I.; Dranichnikov, A.N.; Kapitonov, V.A.; et al. Development of a negative ion-based neutral beam injector in Novosibirsk. Rev. Sci. Instrum. 2014, 85, 02B102. [Google Scholar] [CrossRef]
- Krasilnikov, A.V.; Konovalov, S.V.; Bondarchuk, E.N.; Mazul’, I.V.; Rodin, I.Y.; Mineev, A.B.; Kuz’Min, E.G.; Kavin, A.A.; Karpov, D.A.; Leonov, V.M.; et al. Tokamak with Reactor Technologies (TRT): Concept, Missions, Key Distinctive Features and Expected Characteristics. Plasma Phys. Rep. 2021, 47, 1092–1106. [Google Scholar] [CrossRef]
- Sonato, P.; Agostinetti, P.; Bolzonella, T.; Cismondi, F.; Fantz, U.; Fassina, A.; Franke, T.; Furno, I.; Hopf, C.; Jenkins, I.; et al. Conceptual design of the DEMO neutral beam injectors: Main developments and R&D achievements. Nucl. Fusion 2017, 57, 056026. [Google Scholar] [CrossRef]
- Dlougach, E.; Shlenskii, M.; Kuteev, B. Neutral Beams for Neutron Generation in Fusion Neutron Sources. Atoms 2022, 10, 143. [Google Scholar] [CrossRef]
- Ananyev, S.S.; Dlougach, E.D.; Krylov, A.I.; Kuteev, B.V.; Panasenkov, A.A. Concept of Plasma Heating and Current Drive Neutral Beam System for Fusion Neutron Source DEMO-FNS. Phys. At. Nucl. 2019, 82, 981–990. [Google Scholar] [CrossRef]
- Park, H.K.; Barnes, C.; Budny, R.; McCune, D.; Taylor, G.; Zalrnstorff, M. Comparison of measured electron density rise and calculated neutral beam particle deposition in the TFTR tokamak. Nucl. Fusion 1992, 32, 1042. [Google Scholar] [CrossRef]
- Park, H.K.; Bell, M.; Tang, W.; Taylor, G.; Yamada, M.; Budny, R.; McCunet, D.; Wielalnd, R. Role of neutral-beam fuelling profile in energy confinement and neutron emission on TFTR. Nucl. Fusion 1994, 34, 1271. [Google Scholar] [CrossRef]
- Wu, B.; Wang, J.; Li, J.; Walng, J.; Hu, C. Neutral beam injection simulation of EAST. Fusion Eng. Des. 2011, 86, 947–950. [Google Scholar] [CrossRef]
- Ni, Q.; Fan, T.; Zhang, X.; Zhang, C.; Ren, Q.; Hu, C. Predictive Calculation of Neutral Beam Heating Plasmas in EAST Tokamak by NUBEAM Code for Certain Parameter Ranges. Plasma Sci. Technol. 2010, 12, 661–667. [Google Scholar] [CrossRef]
- Na, B.; Kang, J.; Lee, M.; Jung, L.; Hahn, S.; Yoo, J.; Jeong, J.; Ko, J.; Sung, C. Experimental and numerical evaluation of the neutral beam deposition profile in KSTAR. Fusion Eng. Des. 2022, 185, 113320. [Google Scholar] [CrossRef]
- Štancar, Ž.; Gorelenkova, M.; Conroy, S.; Sauvan, P.; Buchanan, J.; Weisen, H.; Snoj, L.; Contributors, J.E.T. Multiphysics approach to plasma neutron source modelling at the JET tokamak. Nucl. Fusion 2019, 59, 096020. [Google Scholar] [CrossRef]
- Goldston, R.J.; McCune, D.; Towner, H.; Davis, S.; Hawryluk, R.; Schmidt, G. New techniques for calculating heat and particle source rates due to neutral beam injection in axisymmetric tokamaks. J. Comput. Phys. 1981, 43, 61–78. [Google Scholar] [CrossRef]
- Pankin, A.; McCune, D.; Andre, R.; Bateman, G.; Kritz, A. The tokamak Monte Carlo fast ion module NUBEAM in the National Transport Code Collaboration library. Comput. Phys. Commun. 2004, 159, 157–184. [Google Scholar] [CrossRef]
- Aleynikov, P.B.; Dlougach, E.D. Monte Carlo Simulations of the Neutral Beam Injection in ITER. Prob. At. Sci. Technol. Ser. Thermonucl. Fusion 2012, 35, 31–44. [Google Scholar] [CrossRef]
- Dlougach, E.; Panasenkov, A.; Kuteev, B.; Serikov, A. Neutral Beam Coupling with Plasma in a Compact Fusion Neutron Source. Appl. Sci. 2022, 12, 8404. [Google Scholar] [CrossRef]
- Vincenzi, P.; Bolzonella, T.; Murakami, S.; Osakabe, M.; Seki, R.; Yokoyama, M. Upgrades and application of FIT3D NBI–plasma interaction code in view of LHD deuterium campaigns. Plasma Phys. Control. Fusion 2016, 58, 125008. [Google Scholar] [CrossRef]
- Lazerson, S.A.; Ford, O.P.; Nuehrenberg, C.; Äkäslompolo, S.J.; Poloskei, P.Z.; Machielsen, M.; McNeely, P.; Vano, L.; Rust, N.; Bozhenkov, S.A.; et al. Validation of the BEAMS3D neutral beam deposition model on Wendelstein 7-X. Nucl. Fusion 2020, 60, 076020. [Google Scholar] [CrossRef]
- Murakami, S.; Nakajima, N.; Okamoto, M. Finite β Effects on the ICRF and NBI Heating in the Large Helical Device. Fusion Sci. Technol. 1995, 27, 256–259. [Google Scholar] [CrossRef]
- McMillan, M.; Lazerson, S.A. BEAMS3D Neutral Beam Injection Model. Plasma Phys. Control. Fusion 2014, 56, 095019. [Google Scholar] [CrossRef]
- Otsuka, M.; Nagami, M.; Matsuda, T. Birth: A neutral beam deposition code for non-circular tokamak plasmas. J. Comput. Phys. 1983, 52, 219–236. [Google Scholar] [CrossRef]
- Feng, Y.; Wolle, B.; Hübner, K. New, simplified technique for calculating particle source rates due to neutral beam injection into tokamaks. Comput. Phys. Commun. 1995, 88, 161–172. [Google Scholar] [CrossRef]
- Koch, R. Fast Particle Heating. Fusion Sci. Technol. 2010, 57, 185–195. [Google Scholar] [CrossRef]
- Schneider, M.; Eriksson, L.-G.; Jenkins, I.; Artaud, J.; Basiuk, V.; Imbeaux, F.; Oikawa, T.; Contributors, J.-E.; Contributors, I.-T. Simulation of the neutral beam deposition within integrated tokamak modelling frameworks. Nucl. Fusion 2011, 51, 063019. [Google Scholar] [CrossRef]
- Asunta, O.; Govenius, J.; Budny, R.; Gorelenkova, M.; Tardini, G.; Kurki-Suonio, T.; Salmi, A.; Sipilä, S. Modelling neutral beams in fusion devices: Beamlet-based model for fast particle simulations. Comput. Phys. Commun. 2015, 188, 33–46. [Google Scholar] [CrossRef]
- Weiland, M.; Bilato, R.; Dux, R.; Geiger, B.; Lebschy, A.; Felici, F.; Fischer, R.; Rittich, D.; Van Zeeland, M.A. RABBIT: Real-time simulation of the NBI fast-ion distribution. Nucl. Fusion 2018, 58, 082032. [Google Scholar] [CrossRef]
- Dlougach, E.; Kuteev, B. Impact of Neutral Beam and Plasma Shaping on the Current Drive Efficiency and Fast Ion Losses in a Compact Tokamak FNS-ST. IEEE Trans. Plasma Sci. 2022, 50, 4047–4053. [Google Scholar] [CrossRef]
- Janev, R.K.; Boley, C.D.; Post, D.E. Penetration of energetic neutral beams into fusion plasmas. Nucl. Fusion 1989, 29, 2125–2140. [Google Scholar] [CrossRef]
- Suzuki, S.; Shirai, T.; Nemoto, M.; Tobita, K.; Kubo, H.; Sugie, T.; Sakasai, A.; Kusama, Y. Attenuation of high-energy neutral hydrogen beams in high-density plasmas. Plasma Phys. Control. Fusion 1998, 40, 2097–2111. [Google Scholar] [CrossRef]
- Kuteev, B.V.; Azizov, E.; Alexeev, P.; Ignatiev, V.; Subbotin, S.; Tsibulskiy, V. Development of DEMO-FNS tokamak for fusion and hybrid technologies. Nucl. Fusion 2015, 55, 073035. [Google Scholar] [CrossRef]
- Soloviev, L.S. Hydromagnetic stability of closed plasma configurations. In Reviews of Plasma Physics; Leontovich, M.A., Ed.; Consultants Bureau: New York, NY, USA, 1975; Volume 6, pp. 239–331. [Google Scholar]
- Khayrutdinov, R.R.; Lukash, V.E. Studies of plasma equilibrium and transport in a tokamak fusion device with the inverse-variable technique. J. Comput. Phys. 1993, 109, 193–201. [Google Scholar] [CrossRef]
- Goncharov, P.R.; Kuteev, B.; Ozaki, T.; Sudo, S. Analytical and semianalytical solutions to the kinetic equation with Coulomb collision term and a monoenergetic source function. Phys. Plasmas 2010, 17, 112313. [Google Scholar] [CrossRef]
- Lao, L.L.; Hirshman, S.P.; Wieland, R.M. Variational moment solutions to the Grad–Shafranov equation. Phys. Fluids 1981, 24, 1431–1441. [Google Scholar] [CrossRef]












Disclaimer/Publisher’s Note: The statements, opinions and data contained in all publications are solely those of the individual author(s) and contributor(s) and not of MDPI and/or the editor(s). MDPI and/or the editor(s) disclaim responsibility for any injury to people or property resulting from any ideas, methods, instructions or products referred to in the content. |
© 2023 by the author. Licensee MDPI, Basel, Switzerland. This article is an open access article distributed under the terms and conditions of the Creative Commons Attribution (CC BY) license (https://creativecommons.org/licenses/by/4.0/).
Share and Cite
Goncharov, P. Analytical and Statistical Modelling of a Fast Ion Source Formed by Injection of a Neutral Beam into Magnetically Confined Plasma. Atoms 2023, 11, 24. https://doi.org/10.3390/atoms11020024
Goncharov P. Analytical and Statistical Modelling of a Fast Ion Source Formed by Injection of a Neutral Beam into Magnetically Confined Plasma. Atoms. 2023; 11(2):24. https://doi.org/10.3390/atoms11020024
Chicago/Turabian StyleGoncharov, Pavel. 2023. "Analytical and Statistical Modelling of a Fast Ion Source Formed by Injection of a Neutral Beam into Magnetically Confined Plasma" Atoms 11, no. 2: 24. https://doi.org/10.3390/atoms11020024
APA StyleGoncharov, P. (2023). Analytical and Statistical Modelling of a Fast Ion Source Formed by Injection of a Neutral Beam into Magnetically Confined Plasma. Atoms, 11(2), 24. https://doi.org/10.3390/atoms11020024
