Electron Impact Ionization of Metastable States of Diatomic Molecules
Abstract
:1. Introduction
2. BEB Approach
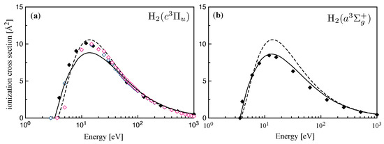
3. Results and Discussion
4. Conclusions
Author Contributions
Funding
Conflicts of Interest
References
- Pietanza, L.D.; Guaitella, O.; Aquilanti, V.; Armenise, I.; Bogaerts, A.; Capitelli, M.; Colonna, G.; Guerra, V.; Engeln, R.; Kustova, E.; et al. Advances in non-equilibrium CO2 plasma kinetics: A theoretical and experimental review. Eur. Phys. J. D 2021, 75, 237. [Google Scholar] [CrossRef]
- Starikovskaia, S.; Lacoste, D.A.; Colonna, G. Non-equilibrium plasma for ignition and combustion enhancement. Eur. Phys. J. D 2021, 75, 231. [Google Scholar] [CrossRef]
- Šimek, M.; Homola, T. Plasma-assisted agriculture: History, presence, and prospects—A review. Eur. Phys. J. D 2021, 75, 210. [Google Scholar] [CrossRef]
- Fridman, A.A.; Friedman, G.G. Plasma Medicine; John Wiley & Sons: Chichester, UK, 2013. [Google Scholar]
- Colonna, G.; Pintassilgo, C.D.; Pegoraro, F.; Cristofolini, A.; Popoli, A.; Neretti, G.; Gicquel, A.; Duigou, O.; Bieber, T.; Hassouni, K.; et al. Theoretical and experimental aspects of non-equilibrium plasmas in different regimes: Fundamentals and selected applications. Eur. Phys. J. D 2021, 75, 183. [Google Scholar] [CrossRef]
- Capitelli, M.; Celiberto, R.; Colonna, G.; Esposito, F.; Gorse, C.; Hassouni, K.; Laricchiuta, A.; Longo, S. Fundamental Aspects of Plasma Chemical Physics: Kinetics; Springer Series on Atomic, Optical, and Plasma Physics; Springer: New York, NY, USA, 2016; Volume 85. [Google Scholar]
- Colonna, G. On the relevance of superelastic collisions in argon and nitrogen discharges. Plasma Sources Sci. Technol. 2020, 29, 065008. [Google Scholar] [CrossRef]
- Ricard, A.; Oh, S.G.; Guerra, V. Line-ratio determination of atomic oxygen and N2(A3) metastable absolute densities in an RF nitrogen late afterglow. Plasma Sources Sci. Technol. 2013, 22, 035009. [Google Scholar] [CrossRef]
- Colonna, G.; Capitelli, M. The influence of atomic and molecular metastable states in high-enthalpy nozzle expansion nitrogen flows. J. Phys. D Appl. Phys. 2001, 34, 1812. [Google Scholar] [CrossRef]
- Pietanza, L.D.; Colonna, G.; Capitelli, M. Non-equilibrium plasma kinetics of reacting CO: An improved state to state approach. Plasma Sources Sci. Technol. 2017, 26, 125007. [Google Scholar] [CrossRef]
- Starik, A.M.; Kozlov, V.E.; Titova, N.S. On the influence of singlet oxygen molecules on the speed of flame propagation in methane-air mixture. Combust. Flame 2010, 157, 313–327. [Google Scholar] [CrossRef]
- Wünderlich, D.; Scarlett, L.H.; Briefi, S.; Fantz, U.; Zammit, M.C.; Fursa, D.V.; Bray, I. Application of molecular convergent close-coupling cross sections in a collisional radiative model for the triplet system of molecular hydrogen. J. Phys. D Appl. Phys. 2021, 54, 115201. [Google Scholar] [CrossRef]
- Celiberto, R.; Armenise, I.; Cacciatore, M.; Capitelli, M.; Esposito, F.; Gamallo, P.; Janev, R.; Laganà, A.; Laporta, V.; Laricchiuta, A.; et al. Atomic and molecular data for spacecraft re-entry plasmas. Plasma Sources Sci. Technol. 2016, 25, 033004. [Google Scholar] [CrossRef]
- Wünderlich, D. Vibrationally resolved ionization cross sections for the ground state and electronically excited states of the hydrogen molecule and its isotopomeres. At. Data Nucl. Data Tables 2021, 140, 101424. [Google Scholar] [CrossRef]
- Celiberto, R.; Janev, R.K.; Laricchiuta, A.; Capitelli, M.; Wadehra, J.M.; Atems, D.E. Cross section data for electron-impact inelastic processes of vibrationally excited molecules of hydrogen and its isotopes. At. Data Nucl. Data Tables 2001, 77, 161–213. [Google Scholar] [CrossRef]
- Celiberto, R.; Capitelli, M.; Cacciatore, M. Electron impact direct dissociative-ionization cross sections from vibrationally excited H2 molecules and translational energy distribution functions of protons. Chem. Phys. 1990, 140, 209–215. [Google Scholar] [CrossRef]
- Cacciatore, M.; Capitelli, M.; Gorse, C. Non-equilibrium dissociation and ionization of nitrogen in electrical discharges: The role of electronic collisions from vibrationally excited molecules. Chem. Phys. 1982, 66, 141–151. [Google Scholar] [CrossRef]
- Bauer, E.; Bartky, C.D. Calculation of inelastic electron-molecule collision cross sections by classical methods. J. Chem. Phys. 1965, 43, 2466–2476. [Google Scholar] [CrossRef]
- Gryziński, M. Classical Theory of Atomic Collisions. I. Theory of Inelastic Collisions. Phys. Rev. 1965, 138, A336–A358. [Google Scholar] [CrossRef]
- Kosarim, A.V.; Smirnov, B.M.; Capitelli, M.; Celiberto, R.; Petrella, G.; Laricchiuta, A. Ionization of excited nitrogen molecules by electron impact. Chem. Phys. Lett. 2005, 414, 215–221. [Google Scholar] [CrossRef]
- Kosarim, A.V.; Smirnov, B.M.; Capitelli, M.; Laricchiuta, A.; Paniccia, F. Electron impact ionization cross sections of vibrationally and electronically excited oxygen molecules. Chem. Phys. Lett. 2006, 422, 513–517. [Google Scholar] [CrossRef]
- Laricchiuta, A.; Capitelli, M.; Celiberto, R.; Colonna, G. Dissociation and Ionization cross Sections and Rate Coefficients of Air Molecules by Electron Impact: The Role of Vibrational Energy; AIAA Paper 2006-2898; American Institute of Aeronautics and Astronautics: Reston, VA, USA, 2006. [Google Scholar]
- Joshipura, K.N.; Gangopadhyay, S.S.; Kothari, H.N.; Shelat, F.A. Total electron scattering and ionization of N, N2 and metastable excited ): Theoretical cross sections. Phys. Lett. A 2009, 373, 2876–2881. [Google Scholar] [CrossRef]
- Scarlett, L.H.; Savage, J.S.; Fursa, D.V.; Bray, I.; Zammit, M.C.; Schneider, B.I. Convergent close-coupling calculations of electrons scattering on electronically excited molecular hydrogen. Phys. Rev. A 2021, 103, 032802. [Google Scholar] [CrossRef]
- Kim, Y.K.; Rudd, M.E. Binary-encounter-dipole model for electron-impact ionization. Phys. Rev. A 1994, 50, 3954. [Google Scholar] [CrossRef] [PubMed] [Green Version]
- Hwang, W.; Kim, Y.K.; Rudd, M.E. New model for electron-impact ionization cross sections of molecules. J. Chem. Phys. 1996, 104, 2956–2966. [Google Scholar] [CrossRef] [Green Version]
- Huber, S.E.; Mauracher, A.; Süß, D.; Sukuba, I.; Urban, J.; Borodin, D.; Probst, M. Total and partial electron impact ionization cross sections of fusion-relevant diatomic molecules. J. Chem. Phys. 2019, 150, 024306. [Google Scholar] [CrossRef] [PubMed]
- Kim, Y.K.; Desclaux, J.P. Ionization of carbon, nitrogen, and oxygen by electron impact. Phys. Rev. A 2002, 66, 012708. [Google Scholar] [CrossRef] [Green Version]
- Laricchiuta, A.; Pietanza, L.D.; Capitelli, M.; Colonna, G. Electron-CO excitation and ionization cross sections for plasma modeling. Plasma Phys. Control. Fusion 2018, 61, 014009. [Google Scholar] [CrossRef]
- Tanaka, H.; Brunger, M.J.; Campbell, L.; Kato, H.; Hoshino, M.; Rau, A.R.P. Scaled plane-wave Born cross sections for atoms and molecules. Rev. Mod. Phys. 2016, 88, 025004. [Google Scholar] [CrossRef]
- Schmidt, M.W.; Baldridge, K.K.; Boatz, J.A.; Elbert, S.T.; Gordon, M.S.; Jensen, J.H.; Koseki, S.; Matsunaga, N.; Nguyen, K.A.; Su, S.; et al. General atomic and molecular electronic structure system. J. Comput. Chem. 1993, 14, 1347–1363. [Google Scholar] [CrossRef]
- Gordon, M.S.; Schmidt, M.W. Theory and Applications of Computational Chemistry: The First Forty Years; Dykstra, C.E., Frenking, G., Kim, K.S., Scuseria, G.E., Eds.; Elsevier: Amsterdam, The Netherlands, 2011; pp. 1167–1189. [Google Scholar]
- Armentrout, P.B.; Tarr, S.M.; Dori, A.; Freund, R.S. Electron impact ionization cross section of metastable N2(A3). J. Chem. Phys. 1981, 75, 2786–2794. [Google Scholar] [CrossRef]
- Freund, R.S.; Wetzel, R.C.; Shul, R.J. Measurements of electron-impact-ionization cross sections of N2, CO, CO2, CS, S2, CS2, and metastable N2. Phys. Rev. A 1990, 41, 5861. [Google Scholar] [CrossRef] [PubMed]
- Wünderlich, D. Vibrationally resolved ionization cross sections for the ground state and electronically excited states of the hydrogen molecule. Chem. Phys. 2011, 390, 75–82. [Google Scholar] [CrossRef] [Green Version]
- Joshipura, K.N.; Kothari, H.N.; Shelat, F.A.; Bhowmik, P.; Mason, N.J. Electron scattering with metastable molecules: Ionization and other total cross sections. J. Phys. At. Mol. Opt. Phys. 2010, 43, 135207. [Google Scholar] [CrossRef]
- Branchett, S.E.; Tennyson, J.; Morgan, L.A. Electronic excitation of molecular hydrogen using the r-matrix method. J. Phys. B At. Mol. Opt. Phys. 1990, 23, 4625. [Google Scholar] [CrossRef]
- Herzberg, G. Molecular Spectra and Molecular Structure. 1. Spectra of Diatomic Molecules; Van Nostrand: New York, NY, USA, 1950. [Google Scholar]
- Morrison, R.C. The extended Koopmans’ theorem and its exactness. J. Chem. Phys. 1992, 96, 3718–3722. [Google Scholar] [CrossRef]
- MCCC. Molecular Convergent Close-Coupling Database. 2021. Available online: https://www.mccc-db.org/ (accessed on 19 December 2021).



| B [eV] | N | U [eV] | ||
|---|---|---|---|---|
| 22.59329 | 1 | Ag | 15.53490 | |
| 3.31702 | 1 | B2u | 5.66877 | |
| 25.5348 | 1 | Ag | 17.2390 | |
| 3.6245 | 1 | Ag | 2.7310 |
Publisher’s Note: MDPI stays neutral with regard to jurisdictional claims in published maps and institutional affiliations. |
© 2021 by the authors. Licensee MDPI, Basel, Switzerland. This article is an open access article distributed under the terms and conditions of the Creative Commons Attribution (CC BY) license (https://creativecommons.org/licenses/by/4.0/).
Share and Cite
Laricchiuta, A.; Celiberto, R.; Colonna, G. Electron Impact Ionization of Metastable States of Diatomic Molecules. Atoms 2022, 10, 2. https://doi.org/10.3390/atoms10010002
Laricchiuta A, Celiberto R, Colonna G. Electron Impact Ionization of Metastable States of Diatomic Molecules. Atoms. 2022; 10(1):2. https://doi.org/10.3390/atoms10010002
Chicago/Turabian StyleLaricchiuta, Annarita, Roberto Celiberto, and Gianpiero Colonna. 2022. "Electron Impact Ionization of Metastable States of Diatomic Molecules" Atoms 10, no. 1: 2. https://doi.org/10.3390/atoms10010002
APA StyleLaricchiuta, A., Celiberto, R., & Colonna, G. (2022). Electron Impact Ionization of Metastable States of Diatomic Molecules. Atoms, 10(1), 2. https://doi.org/10.3390/atoms10010002

