Quasinormal Modes of a Charged Black Hole with Scalar Hair
Abstract
1. Introduction
2. The Charged Black Hole
3. Perturbation Equations
3.1. Scalar Field
3.2. Electromagnetic Field
3.3. Gravitational Field
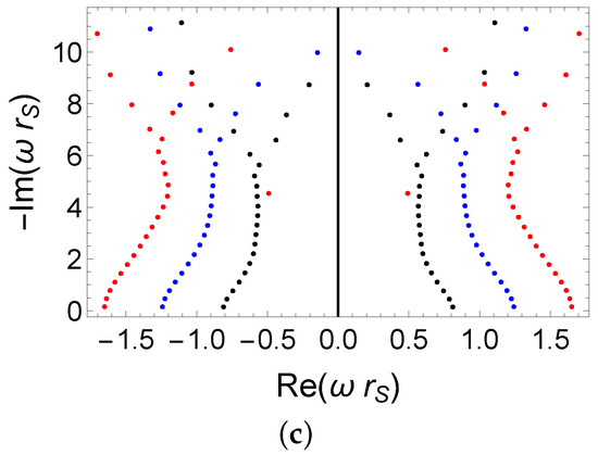
4. Computing QNMs
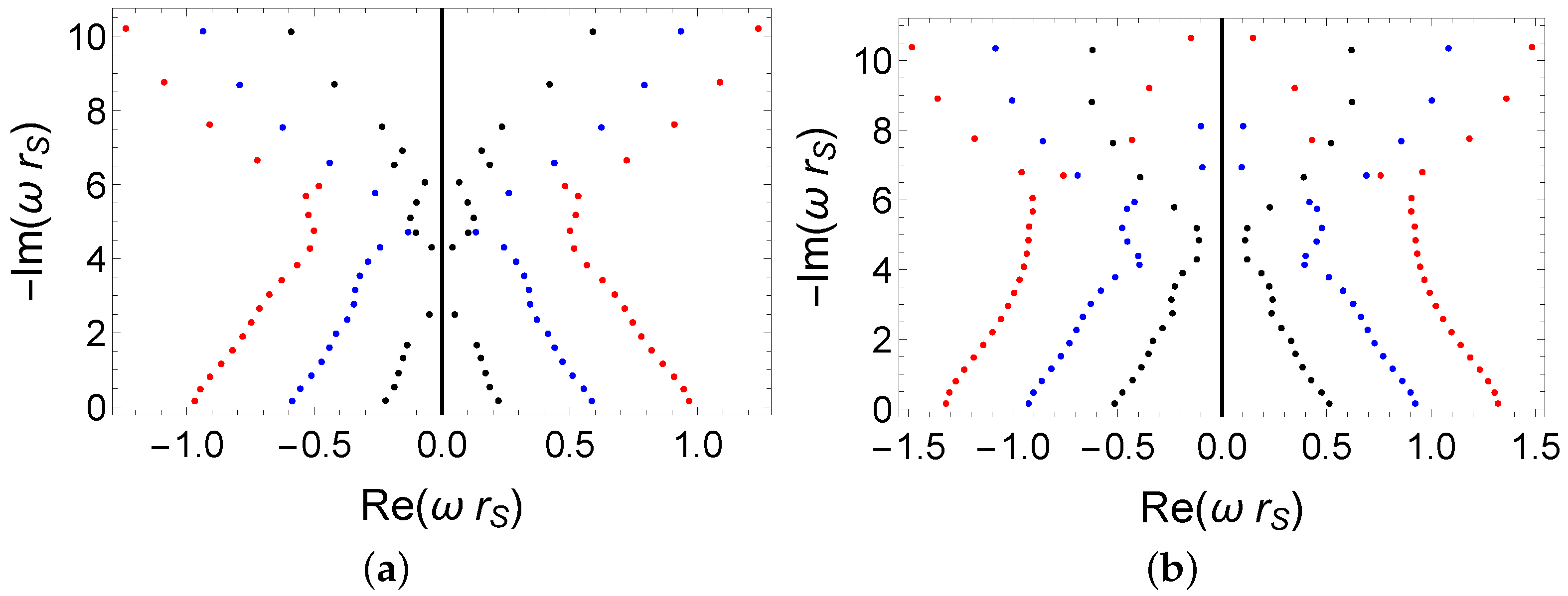
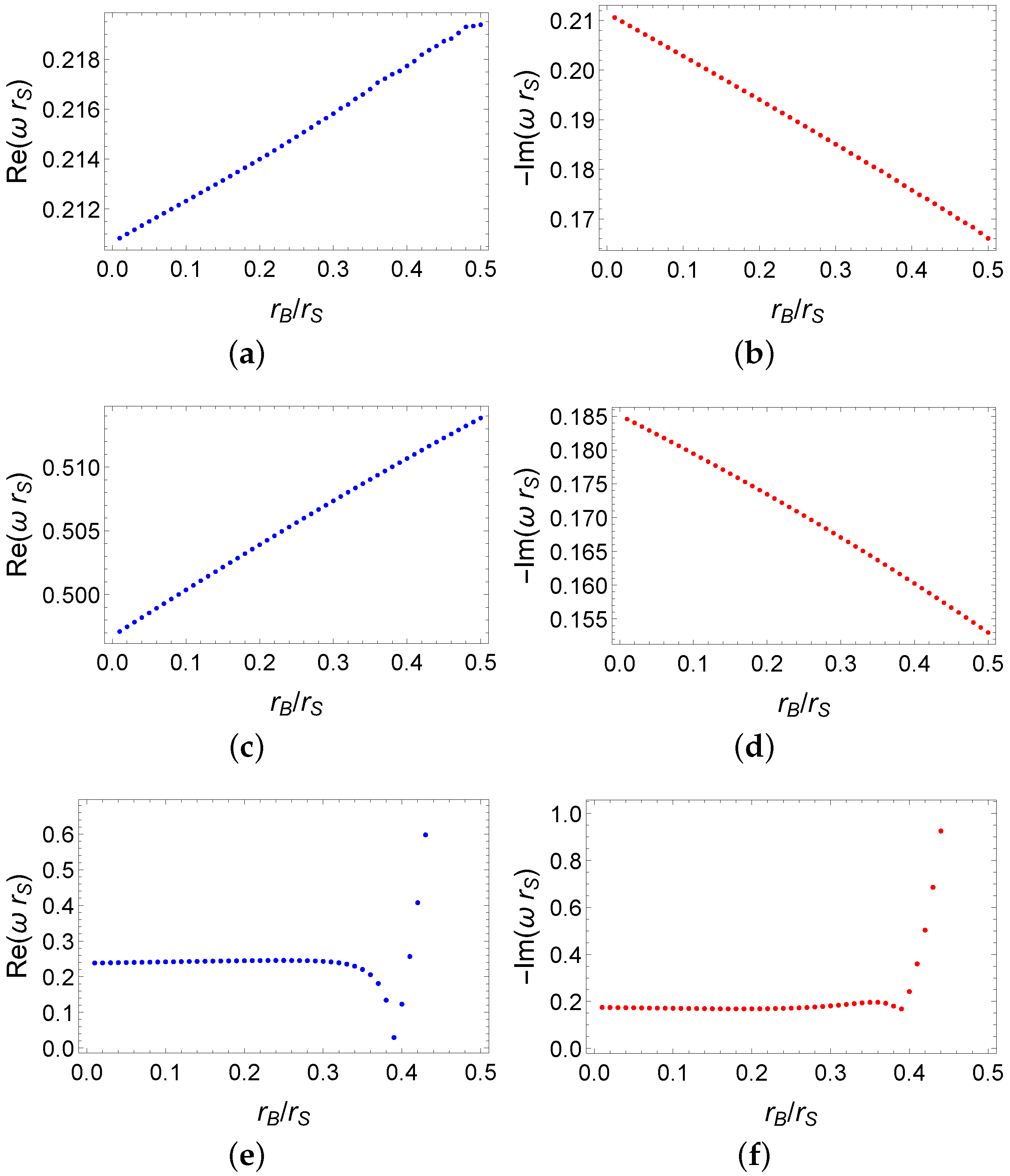
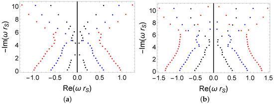
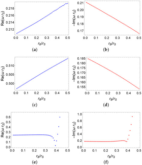
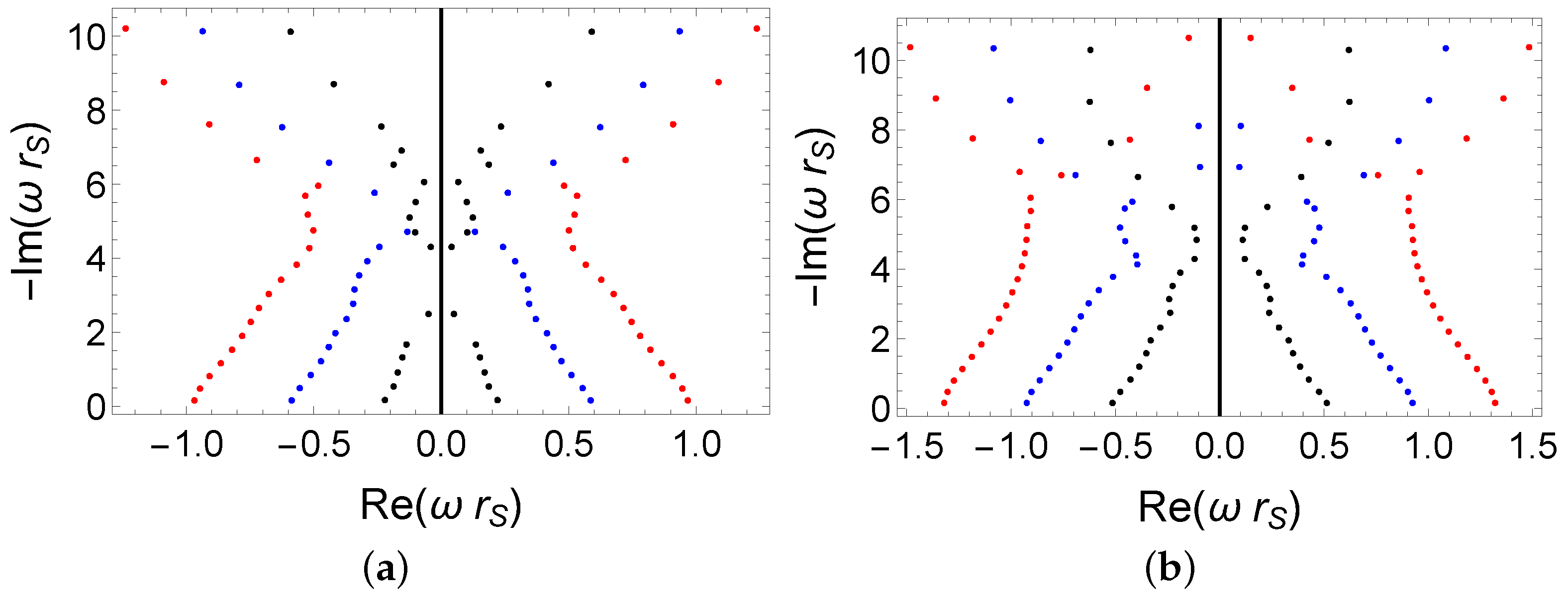
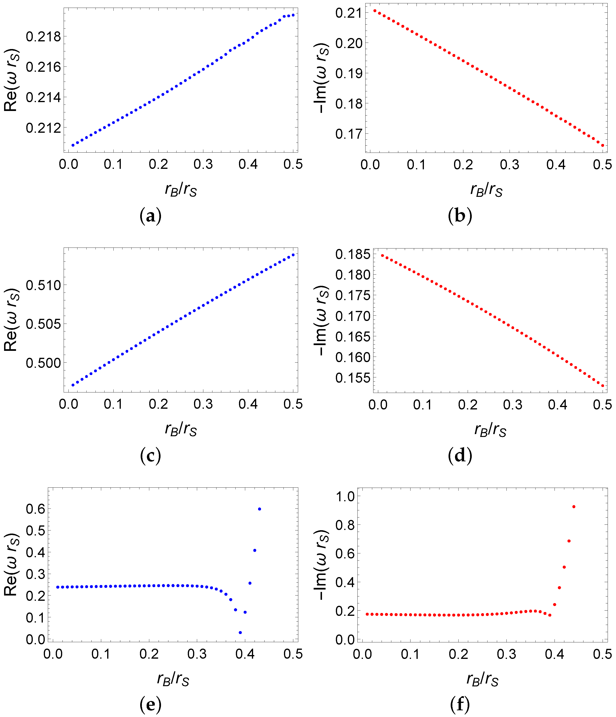
4.1. Solving Frequency
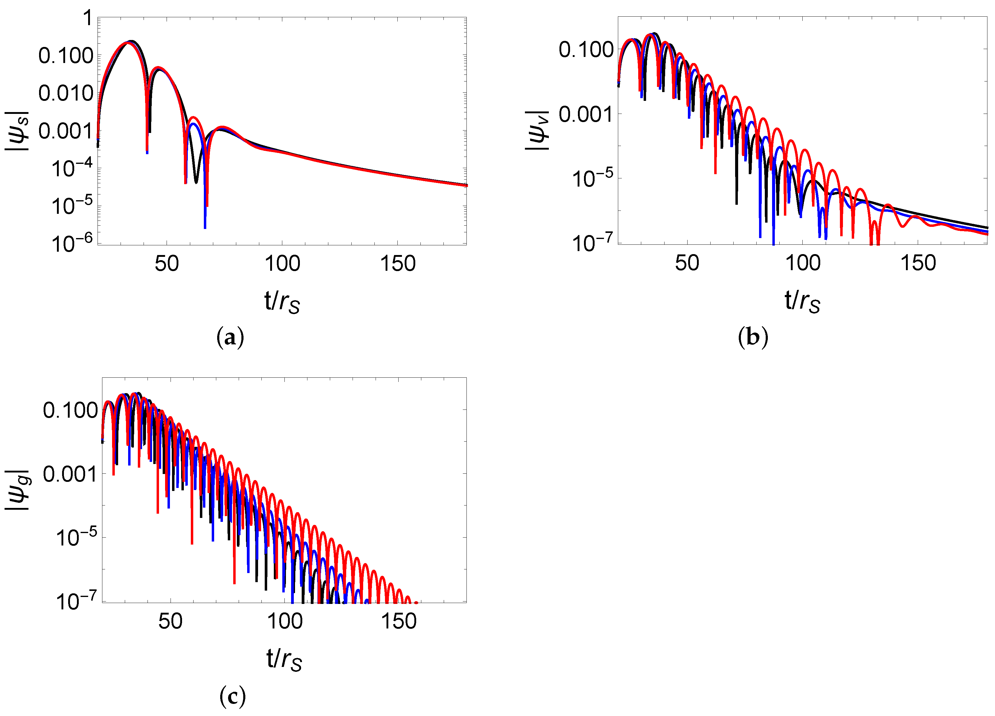
4.2. Time Evolution
5. Conclusions
Author Contributions
Funding
Data Availability Statement
Acknowledgments
Conflicts of Interest
References
- LIGO Collaboration and Virgo Collaboration. Observation of gravitational waves from a binary black hole merger. Phys. Rev. Lett. B 2016, 116, 061102. [Google Scholar] [CrossRef] [PubMed]
- EHT Collaboration. First M87 event horizon telescope results. I. The shadow of the supermassive black hole. Astrophys. J. Lett. 2019, 875, L1. [Google Scholar] [CrossRef]
- EHT Collaboration. First M87 event horizon telescope results. II. Array and instrumentation. Astrophys. J. Lett. 2019, 875, L2. [Google Scholar] [CrossRef]
- EHT Collaboration. First M87 event horizon telescope results. III. Data processing and calibration. Astrophys. J. Lett. 2019, 875, L3. [Google Scholar] [CrossRef]
- EHT Collaboration. First M87 event horizon telescope results. IV. Imaging the central supermassive black hole. Astrophys. J. Lett. 2019, 875, L4. [Google Scholar] [CrossRef]
- EHT Collaboration. First M87 event horizon telescope results. V. Physical origin of the asymmetric ring. Astrophys. J. Lett. 2019, 875, L5. [Google Scholar] [CrossRef]
- EHT Collaboration. First M87 event horizon telescope results. VI. The shadow and mass of the central black hole. Astrophys. J. Lett. 2019, 875, L6. [Google Scholar] [CrossRef]
- EHT Collaboration. First Sagittarius A* Event Horizon Telescope Results. I. The Shadow of the Supermassive Black Hole in the Center of the Milky Way. Astrophys. J. Lett. 2022, 930, L12. [Google Scholar] [CrossRef]
- EHT Collaboration. First Sagittarius A* Event Horizon Telescope Results. II. EHT and Multiwavelength Observations, Data Processing, and Calibration. Astrophys. J. Lett. 2022, 930, L13. [Google Scholar] [CrossRef]
- EHT Collaboration. First Sagittarius A* Event Horizon Telescope Results. III. Imaging of the Galactic Center Supermassive Black Hole. Astrophys. J. Lett. 2022, 930, L14. [Google Scholar] [CrossRef]
- EHT Collaboration. First Sagittarius A* Event Horizon Telescope Results. IV. Variability, Morphology, and Black Hole Mass. Astrophys. J. Lett. 2022, 930, L15. [Google Scholar] [CrossRef]
- EHT Collaboration. First Sagittarius A* Event Horizon Telescope Results. V. Testing Astrophysical Models of the Galactic Center Black Hole. Astrophys. J. Lett. 2022, 930, L16. [Google Scholar] [CrossRef]
- EHT Collaboration. First Sagittarius A* Event Horizon Telescope Results. VI. Testing the Black Hole Metric. Astrophys. J. Lett. 2022, 930, L17. [Google Scholar] [CrossRef]
- Berti, E.; Barausse, E.; Cardoso, V.; Gualtieri, L.; Pani, P.; Sperhake, U.; Stein, L.C.; Wex, N.; Yagi, K.; Baker, T. Testing general relativity with present and future astrophysical observations. Class. Quantum Grav. 2015, 32, 243001. [Google Scholar] [CrossRef]
- Cardoso, V.; Franzin, E.; Pani, P. Is the gravitational-wave ringdown a probe of the event horizon? Phys. Rev. Lett. 2016, 116, 171101. [Google Scholar] [CrossRef]
- Mazur, P.O.; Mottola, E. Gravitational condensate stars: An alternative to black holes. arXiv 2001, arXiv:abs/gr-qc/0109035. [Google Scholar] [CrossRef]
- Schunck, F.E.; Mielke, E.W. Topical review: General relativistic boson stars. Class. Quant. Grav. 2003, 20, R301. [Google Scholar] [CrossRef]
- Solodukhin, S.N. Restoring unitarity in BTZ black hole. Phys. Rev. D 2005, 71, 064006. [Google Scholar] [CrossRef]
- Dai, D.-C.; Stojkovic, D. Observing a Wormhole. Phys. Rev. D 2019, 100, 083513. [Google Scholar] [CrossRef]
- Simonetti, J.H.; Kavic, M.J.; Minic, D.; Stojkovic, D.; Da, D.-C. Sensitive searches for wormholes. Phys. Rev. D 2021, 104, L081502. [Google Scholar] [CrossRef]
- Bambi, C.; Stojkovic, D. Astrophysical Wormholes. Universe 2021, 7, 136. [Google Scholar] [CrossRef]
- Cardoso, V.; Pani, P. Testing the nature of dark compact objects: A status report. Living Rev. Relativ. 2019, 22, 4. [Google Scholar] [CrossRef]
- Gibbons, G.W.; Warner, N.P. Global structure of five-dimensional BPS fuzzballs, Class. Quant. Grav. 2014, 31, 025016. [Google Scholar] [CrossRef]
- Bena, I.; Eperon, F.; Heidmann, P.; Warner, N.P. The great escape: Tunneling out of microstate geometries. JHEP 2021, 4, 112. [Google Scholar] [CrossRef]
- Bena, I.; Mayerson, D.R. A new window into black holes. Phys. Rev. Lett. 2020, 125, 221602. [Google Scholar] [CrossRef]
- Bena, I.; Mayerson, D.R. Black holes lessons from multipole ratios. JHEP 2021, 3, 114. [Google Scholar] [CrossRef]
- Bah, I.; Heidmann, P. Topological stars and black holes. Phys. Rev. Lett. 2021, 126, 151101. [Google Scholar] [CrossRef]
- Bah, I.; Heidmann, P. Topological stars, black holes and generalized charged weyl solutions. arXiv 2020, arXiv:abs/2012.13407. [Google Scholar] [CrossRef]
- Bah, I.; Dey, A.; Heidmann, P. Stability of topological solitons, and black string to bubble transition. JHEP 2022, 4, 168. [Google Scholar] [CrossRef]
- Lim, Y.-K. Motion of charged particles around a magnetic black hole/topological star with a compact extra dimension. Phys. Rev. D 2021, 103, 084044. [Google Scholar] [CrossRef]
- Berti, E.; Cardoso, V.; Gonzalez, J.A.; Sperhake, U. Mining information from binary black hole mergers: A Comparison of estimation methods for complex exponentials in noise. Phys. Rev. D 2007, 75, 124017. [Google Scholar] [CrossRef]
- Nollert, H.P.; Price, R.H. Quantifying excitations of quasinormal mode systems. J. Math. Phys. 1999, 40, 980. [Google Scholar] [CrossRef]
- Berti, E.; Cardoso, V.; Will, C.M. On gravitational-wave spectroscopy of massive black holes with the space interferometer LISA. Phys. Rev. D 2006, 73, 064030. [Google Scholar] [CrossRef]
- Berti, E.; Cardoso, J.; Cardoso, V.; Cavaglia, M. Matched-filtering and parameter estimation of ringdown waveforms. Phys. Rev. D 2007, 76, 104044. [Google Scholar] [CrossRef]
- Isi, M.; Giesler, M.; Farr, W.M.; Scheel, M.A.; Teukolsky, S.A. Testing the no-hair theorem with GW150914. Phys. Rev. Lett. 2019, 123, 111102. [Google Scholar] [CrossRef]
- Cardoso, V.; Pani, P. Tests for the existence of black holes through gravitational wave echoes. Nat. Astron. 2017, 1, 586. [Google Scholar] [CrossRef]
- Wang, B.; Lin, C.-Y.; Molina, C. Quasinormal behavior of massless scalar field perturbation in Reissner-Nordstrom anti-de Sitter spacetimes. Phys. Rev. D 2004, 70, 064025. [Google Scholar] [CrossRef]
- Blázquez-Salcedo, J.L.; Macedo, C.F.B.; Cardoso, V.; Ferrari, V.; Gualtieri, L. Perturbed black holes in Einstein-dilaton-Gauss-Bonnet gravity: Stability, ringdown, and gravitational-wave emission. Phys. Rev. D 2016, 94, 104024. [Google Scholar] [CrossRef]
- Franciolini, G.; Hui, L.; Penco, R.; Santoni, L.; Trincherini, E. Effective Field Theory of Black Hole Quasinormal Modes in Scalar-Tensor Theories. JHEP 2019, 2, 127. [Google Scholar] [CrossRef]
- Aragón, A.; González, P.A.; Papantonopoulos, E.; Ferrari, V.; Vásquez, Y. Quasinormal modes and their anomalous behavior for black holes in f(R) gravity. Eur. Phys. J. C 2021, 81, 407. [Google Scholar] [CrossRef]
- Liu, H.; Liu, P.; Liu, Y.-Q.; Wang, B.; Wu, J.-P. Echoes from phantom wormholes. Phys. Rev. D 2021, 103, 024006. [Google Scholar] [CrossRef]
- Karakasis, T.; Papantonopoulos, E.; Vlachos, C. f(R) gravity wormholes sourced by a phantom scalar field. Phys. Rev. D 2022, 105, 024006. [Google Scholar] [CrossRef]
- Cano, P.A.; Fransen, K.; Hertog, T.; Maenaut, S. Gravitational ringing of rotating black holes in higher-derivative gravity. Phys. Rev. D 2022, 105, 024064. [Google Scholar] [CrossRef]
- González, P.A.; Papantonopoulos, E.; Saavedra, J.; Vásquez, Y. Quasinormal modes for massive charged scalar fields in Reissner-Nordström dS black holes: Anomalous decay rate. arXiv 2022, arXiv:abs/2204.01570. [Google Scholar] [CrossRef]
- Zhao, Y.; Xin, R.; Ilyas, A.; Saridakis, E.N.; Cai, Y.-F. Quasinormal modes of black holes in f(T) gravity. arXiv 2022, arXiv:abs/2204.11169. [Google Scholar] [CrossRef]
- Jaramillo, J.; Macedo, R.P.; Sheikh, L.A. Pseudospectrum and Black Hole Quasinormal Mode Instability. Phys. Rev. X 2021, 11, 031003. [Google Scholar] [CrossRef]
- Cheung, M.H.; Destounis, K.; Macedo, R.P.; Berti, E.; Cardoso, V. Destabilizing the Fundamental Mode of Black Holes: The Elephant and the Flea. Phys. Rev. Lett. 2022, 128, 111103. [Google Scholar] [CrossRef] [PubMed]
- Ishibashi, A.; Kodama, H. Stability of higher dimensional Schwarzschild black holes. Prog. Theor. Phys. 2003, 110, 901. [Google Scholar] [CrossRef]
- Chowdhury, A.; Devi, S.; Chakrabarti, S. Naked singularity in 4D Einstein-Gauss-Bonnet novel gravity: Echoes and (in)-stability. arXiv 2022, arXiv:abs/2202.13698. [Google Scholar] [CrossRef]
- Kristensen, K.; Ge, R.-C.; Hughes, S. Normalization of quasinormal modes in leaky optical cavities and plasmonic resonators. Phys. Rev. A 2015, 92, 053810. [Google Scholar] [CrossRef]
- Seahra, S.S. Ringing the Randall-Sundrum braneworld: Metastable gravity wave bound states. Phys. Rev. D 2005, 72, 066002. [Google Scholar] [CrossRef]
- Seahra, S.S. Metastable massive gravitons from an infinite extra dimension. Int. J. Mod. Phys. D 2005, 14, 2279. [Google Scholar] [CrossRef]
- Tan, Q.; Guo, W.-D.; Liu, Y.-X. Sound from extra dimension: Quasinormal modes of thick brane. arXiv 2022, arXiv:abs/2205.05255. [Google Scholar] [CrossRef]
- Cai, Y.-F.; Cheng, G.; Liu, J.; Wang, M.; Zhang, H. Features and stability analysis of non-Schwarzschild black hole in quadratic gravity. JHEP 2016, 1, 108. [Google Scholar] [CrossRef]
- Cardoso, V.; Kimura, M.; Maselli, A.; Berti, E.; Macedo, C.F.B. Parametrized black hole quasinormal ringdown: Decoupled equations for nonrotating black holes. Phys. Rev. D 2019, 99, 104077. [Google Scholar] [CrossRef]
- McManus, R.; Berti, E.; Macedo, C.F.B.; Kimura, M.; Maselli, A.; Cardoso, V. Parametrized black hole quasinormal ringdown. II. Coupled equations and quadratic corrections for nonrotating black holes. Phys. Rev. D 2019, 100, 044061. [Google Scholar] [CrossRef]
- Cardoso, V.; Guo, W.-D.; Macedo, C.F.B.; Pani, P. The tune of the Universe: The role of plasma in tests of strong-field gravity. Mon. Not. Roy. Astron. Soc. 2021, 503, 563. [Google Scholar] [CrossRef]
- Hatsuda, Y. Quasinormal modes of Kerr-de Sitter black holes via the Heun function. Class. Quant. Grav. 2020, 38, 025015. [Google Scholar] [CrossRef]
- Noda, S.; Motohashi, H. Spectroscopy of Kerr-AdS5 spacetime with the Heun function: Quasinormal modes, greybody factor, and evaporation. Phys. Rev. D 2022, 106, 064025. [Google Scholar] [CrossRef]
- Guo, G.; Wang, P.; Wu, H.; Yang, H. Quasinormal Modes of Black Holes with Multiple Photon Spheres. arXiv 2021, arXiv:abs/2112.14133. [Google Scholar] [CrossRef]
- Guo, W.-D.; Wei, S.-W.; Liu, Y.-X. Shadow of a charged black hole with scalar hair. arXiv 2021, arXiv:abs/2203.1347. [Google Scholar]
- Echeverria, F. GravitationalWave Measurements of the Mass and Angular Momentum of a Black Hole. Phys. Rev. D 1989, 40, 3194. [Google Scholar] [CrossRef]
- Stotyn, S.; Mann, R.B. Magnetic charge can locally stabilize kaluza-klein bubbles. Phys. Lett. B 2011, 705, 269. [Google Scholar] [CrossRef]
- Gregory, R.; Laflamme, R. Black strings and p-branes are unstable. Phys. Rev. Lett. 1993, 70, 2837. [Google Scholar] [CrossRef]
- Ghosh, D.; Thalapillil, A.; Ullah, F. Astrophysical hints for magnetic black holes. Phys. Rev. D 2021, 103, 023006. [Google Scholar] [CrossRef]
- Diamond, M.D.; Kaplan, D.E. Constraints on relic magnetic black holes. JHEP 2022, 3, 157. [Google Scholar] [CrossRef]
- Karas, V.; Stuchlik, Z. Magnetized black holes: Interplay between charge and rotation. Universe 2023, 9, 267. [Google Scholar] [CrossRef]
- Wheeler, J.A. Geometrodynamics; Academic Press: New York, NY, USA, 1973. [Google Scholar]
- Ruffini, A.R. Black Holes: Les Astres Occlus; Gordon and Breach Science Publishers: New York, NY, USA, 1973. [Google Scholar]
- Ruffini, A.R. Angular Momentum in Quantum Mechanics; Princeton University Press: Princeton, NJ, USA, 1996. [Google Scholar]
- Regge, T.; Wheeler, J.A. Stability of a Schwarzschild Singularity. Phys. Rev. 1957, 108, 1063. [Google Scholar] [CrossRef]
- Chandrasekhar, S. The Mathematical Theory of Black Holes; Oxford University Press: New York, NY, USA, 1983. [Google Scholar]
- Ciftci, H.; Hall, R.L.; Saad, N. Perturbation theory in a framework of iteration methods. Phys. Lett. A 2005, 340, 388. [Google Scholar] [CrossRef]
- Cho, H.-T.; Cornell, A.S.; Doukas, J.; Huang, T.-R.; Naylor, W. A New Approach to Black Hole Quasi-normal Modes: A Review of the Asymptotic Iteration Method. Adv. Math. Phys. 2012, 2012, 281705. [Google Scholar] [CrossRef]





| l | n | AIM | WKB | ||
|---|---|---|---|---|---|
| Re() | Im() | Re() | Im() | ||
| 0 | 0 | 0.220856 | −0.166592 | 0.219664 | −0.166443 |
| 1 | 0.186884 | −0.534457 | 0.193004 | −0.537457 | |
| 1 | 0 | 0.586476 | −0.158533 | 0.586679 | −0.158525 |
| 1 | 0.554754 | −0.488295 | 0.556358 | −0.487138 | |
| 2 | 0 | 0.967669 | −0.157641 | 0.967666 | −0.157648 |
| 1 | 0.946096 | −0.478040 | 0.946082 | −0.478076 | |
| l | n | AIM | WKB | ||
|---|---|---|---|---|---|
| Re() | Im() | Re() | Im() | ||
| 1 | 0 | 0.513377 | −0.152855 | 0.513302 | −0.153142 |
| 1 | 0.476438 | −0.474101 | 0.476701 | −0.537457 | |
| 2 | 0 | 0.924716 | −0.155637 | 0.924714 | −0.155649 |
| 1 | 0.901934 | −0.472399 | 0.901941 | −0.472447 | |
| 3 | 0 | 1.32049 | −0.156374 | 1.32049 | −0.156375 |
| 1 | 1.30408 | −0.471908 | 1.30408 | −0.471914 | |
| l | n | AIM | WKB | ||
|---|---|---|---|---|---|
| Re() | Im() | Re() | Im() | ||
| 2 | 0 | 0.810272 | −0.147554 | 0.810467 | −0.147398 |
| 1 | 0.785979 | −0.449209 | 0.787063 | −0.447841 | |
| 3 | 0 | 1.24218 | −0.152877 | 1.24220 | −0.152875 |
| 1 | 1.22506 | −0.461665 | 1.22529 | −0.461580 | |
| 4 | 0 | 1.65149 | −0.154694 | 1.65149 | −0.154694 |
| 1 | 1.63833 | −0.465851 | 1.63831 | −0.465856 | |
Disclaimer/Publisher’s Note: The statements, opinions and data contained in all publications are solely those of the individual author(s) and contributor(s) and not of MDPI and/or the editor(s). MDPI and/or the editor(s) disclaim responsibility for any injury to people or property resulting from any ideas, methods, instructions or products referred to in the content. |
© 2023 by the authors. Licensee MDPI, Basel, Switzerland. This article is an open access article distributed under the terms and conditions of the Creative Commons Attribution (CC BY) license (https://creativecommons.org/licenses/by/4.0/).
Share and Cite
Guo, W.-D.; Tan, Q. Quasinormal Modes of a Charged Black Hole with Scalar Hair. Universe 2023, 9, 320. https://doi.org/10.3390/universe9070320
Guo W-D, Tan Q. Quasinormal Modes of a Charged Black Hole with Scalar Hair. Universe. 2023; 9(7):320. https://doi.org/10.3390/universe9070320
Chicago/Turabian StyleGuo, Wen-Di, and Qin Tan. 2023. "Quasinormal Modes of a Charged Black Hole with Scalar Hair" Universe 9, no. 7: 320. https://doi.org/10.3390/universe9070320
APA StyleGuo, W.-D., & Tan, Q. (2023). Quasinormal Modes of a Charged Black Hole with Scalar Hair. Universe, 9(7), 320. https://doi.org/10.3390/universe9070320

