Study of a Minimally Deformed Anisotropic Solution for Compact Objects with Massive Scalar Field in Brans–Dicke Gravity Admitting the Karmarkar Condition
Abstract
1. Introduction
2. BD Theory under Gravitational Decoupling Formalism
3. Basic Stellar Equations and the Minimal Geometric Deformation (MGD) Approach in BD Gravity Theory
3.1. Basic Stellar Equations in BD Gravity Theory
3.2. Gravitational Decoupling by the Minimal-Geometric-Deformation (MGD) Approach
4. Procedure for a Space-Time to Be Embedding Class-One
5. Exterior Space-Time: Junction Conditions
6. Minimally Deformed Anisotropic Solution: Mimic Constraint Approach
- (A)
- Mimic requirement on the radial pressure component of the anisotropic sector, viz., (),
- (B)
- Mimic requirement on the density of the anisotropic sector, viz., ().
6.1. Mimic Requirement on Radial Pressure Component for Anisotropy
6.2. Mimic Requirement on Matter Density for Anisotropy
7. Physical Properties of the Anisotropic Stellar Structure in the Massive BD Gravity Theory
7.1. Thermodynamic Observable
- Non-physical and geometrical singularities in all interior points of the stellar structure exist.
- All the physical quantities, viz., the matter density , radial pressure and transverse pressure should have their most extreme values at the core of the stellar structure, which involves that they are monotonously decreasing functions with increasing radius towards the frontier of the spherical object.
- Concerning the anisotropy parameter , it should be zero at the core i.e., . This is because, at the core of the stellar structure, the radial pressure is equal to the transverse pressure (). Then again, its values must be positive towards the boundary of the spherical object (in the case of repulsive anisotropic force).
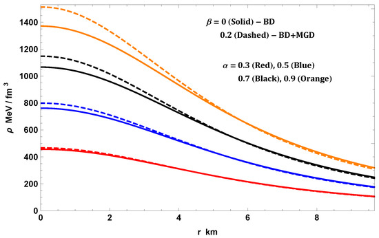
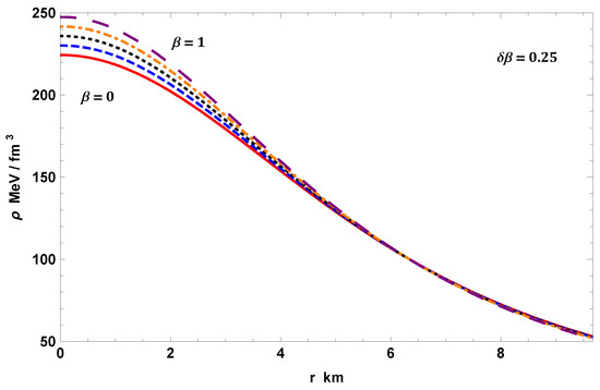
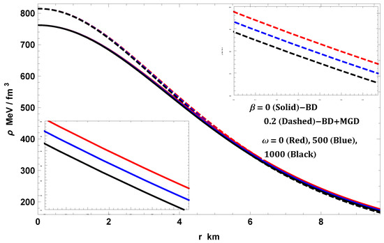
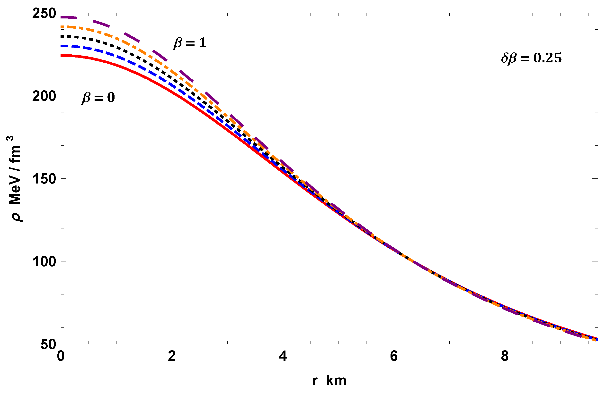
- Figure 1, Figure 2 and Figure 3 show the variation of the matter density with respect to the radial coordinate for all chosen values of the parameters , and , respectively, by setting , km, , , km, and km. We can see from these plots that the matter density has its most extreme values at the center of the stellar structure and decreases monotonically towards the surface with an increasing radius, r. Additionally, it is positive everywhere inside the stellar configuration. Interestingly, the effect of the three parameters, , and , on the density energy, , has been further demonstrated for both BD and BD+MGD scenarios, where any increase in and shifts the energy density, , to higher equilibrium values throughout the stellar interior for all and , while any increase in shifts the energy density to lower equilibrium values throughout the stellar interior for all .
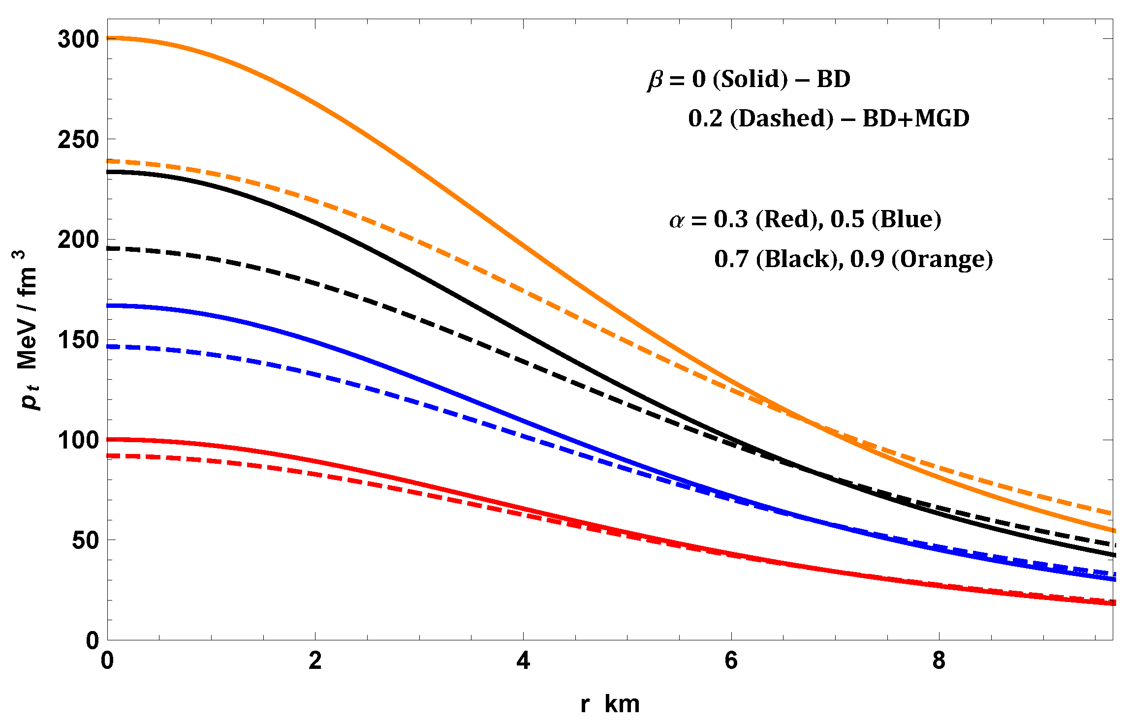
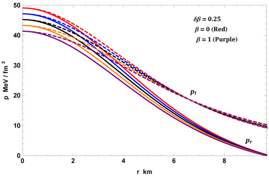
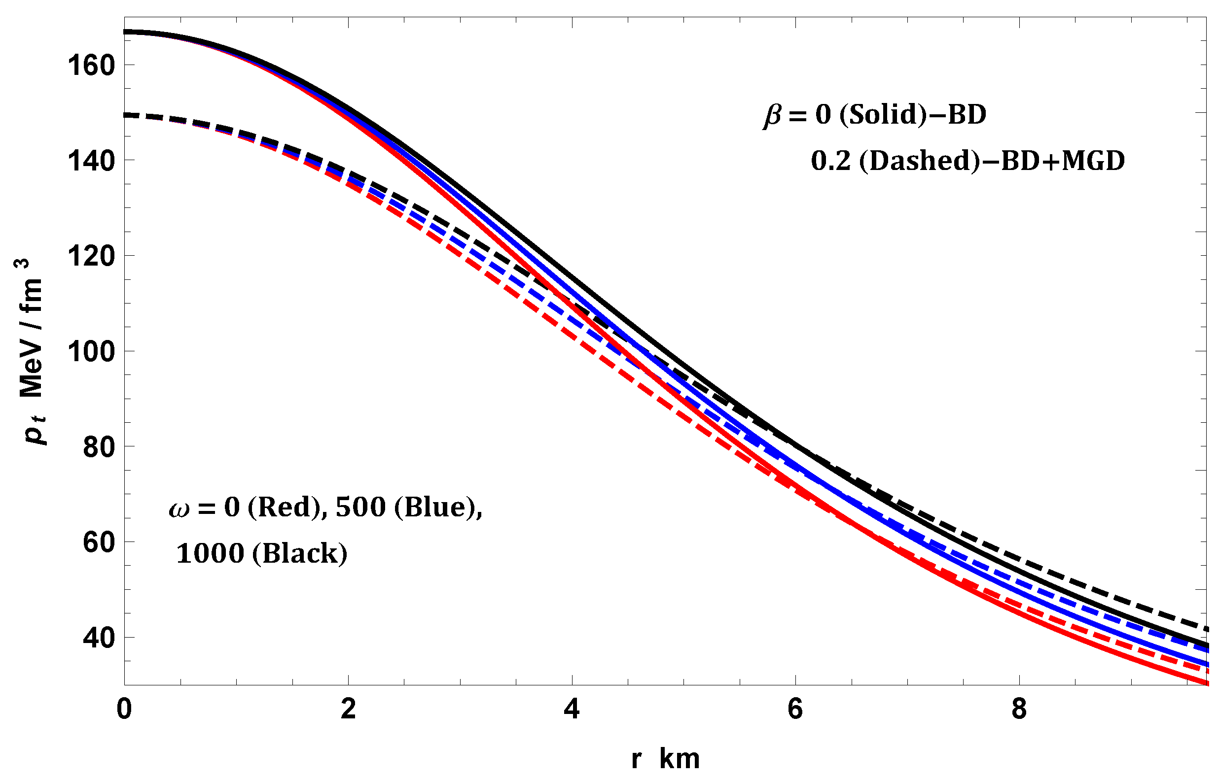
- Figure 4, Figure 5, Figure 6, Figure 7 and Figure 8 display the variation of the radial and transverse pressures for the same parameters used in Figure 1, Figure 2 and Figure 3. From the five graphs, we can see that these physical amounts have their most extreme values at the core of the stellar object and are monotonic decreasing functions with increasing radial coordinates, r. Moreover, the radial pressure disappears at the surface of the stellar object, and the transverse one dominates at all points. It should be noted that the equilibrium values for and increase when increases from to , as illustrated in Figure 4 and Figure 7. In contrast, when we increase from to , the radially and tangentially outward pressures are reduced for both the BD and BD+MGD scenarios (see Figure 5). An emerging characteristic in Figure 6 and Figure 8 is that the parameter reduces the radially outward pressure and enhances the tangential surface stresses, as the parameter increases.
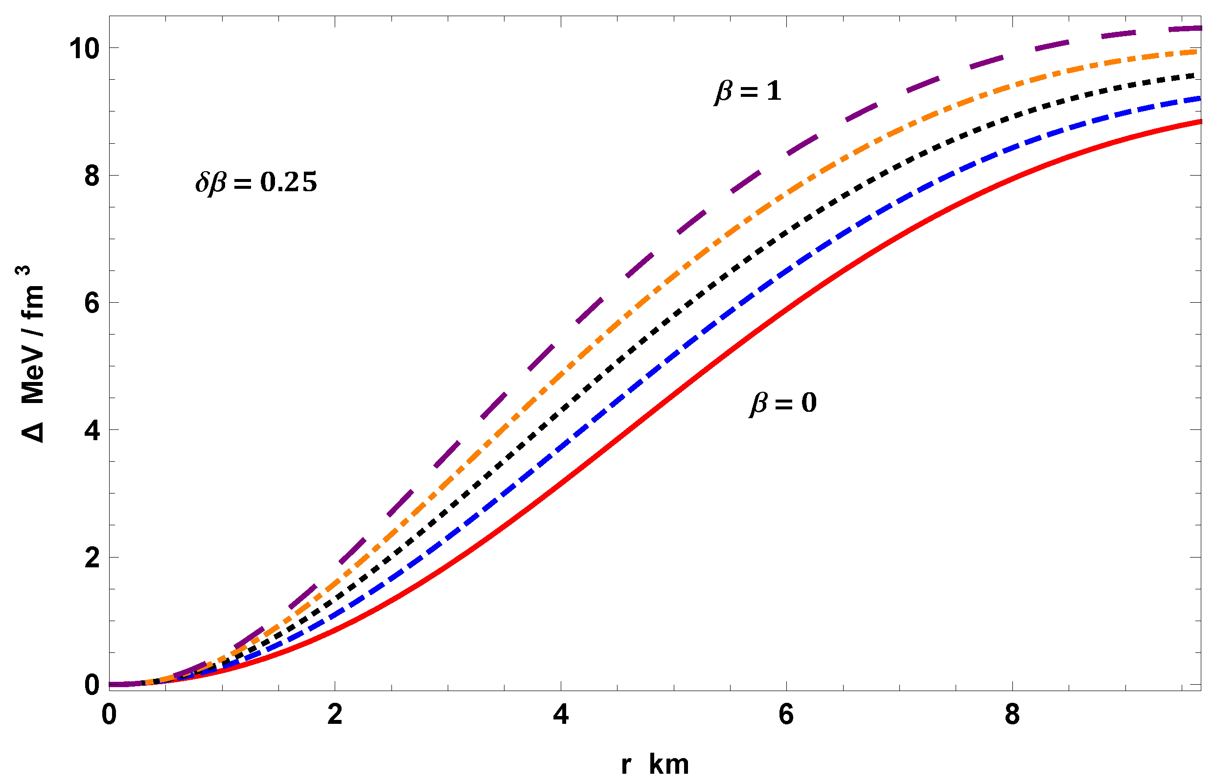
- Figure 9, Figure 10 and Figure 11 exhibit the variation of anisotropy parameters for all the parameters taken into account in Figure 1, Figure 2 and Figure 3, whatever the interior of the stellar structure. Its comportment is positive at all points inside the stellar structure, disappearing at the core i.e., , in impact at the core of the star and has a monotonic increasing function with increasing radial coordinate, r. As we clarified above, , which implies that ; this presents that the system encounters a repulsive force (outwards). This last item counteracts the gravitational gradient progressing the stability and equilibrium state as well as one having more compact and massive stellar configurations. It is interesting evidence that the three parameters, , and , for both the BD and BD+MGD scenarios enhance the turbulence throughout the stellar interior, as increases for , and , respectively (see Figure 9, Figure 10 and Figure 11 for more details).
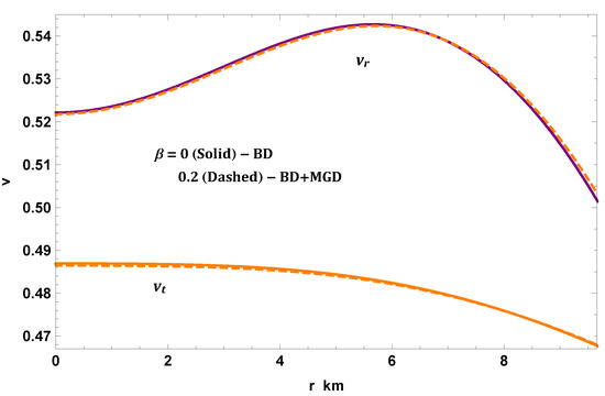
7.2. Causality and Stability Condition
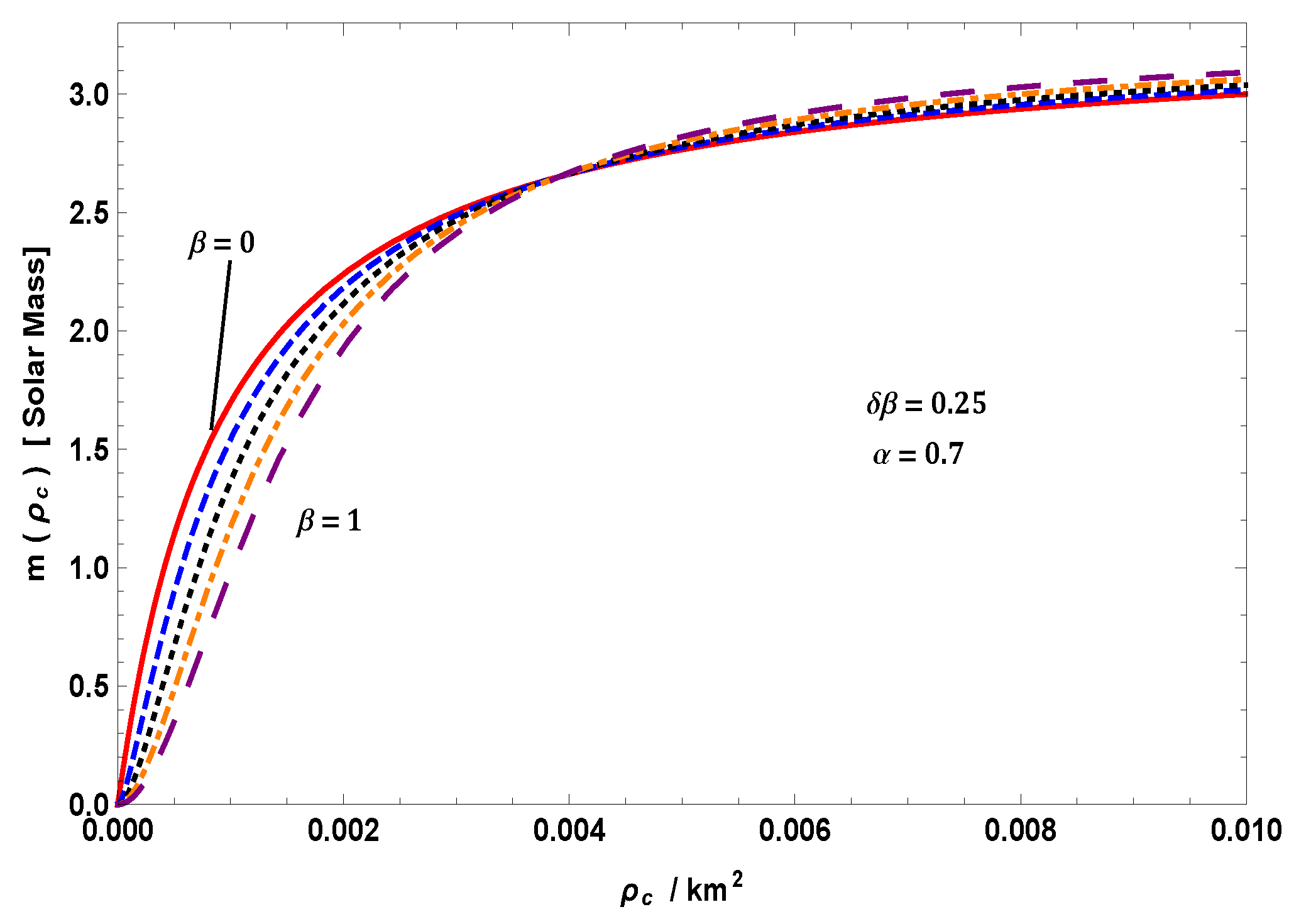
7.3. and Diagrams with Observational Data
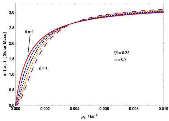
- Regarding the first case, Figure 15 highlights that, as the values of increase, the maximal mass M and the corresponding radial coordinate R increase accordingly. Hence, this increase in the maximum mass on curves confirms the existence of gravitational decoupling (i.e., non-disappearing anisotropic term), which is expected. The most extreme mass in the curves is about , and in this manner, more massive compact stellar structures can be fitted. It also provides a direct correlation between the parameter, , and the maximum mass, M, and its radius, R, where any increase in shifts the stable compact stellar structure to a lower M at a lower confining radius for each . For instance, the highest maximum mass, M, is around , and its radius, R, is km with , while the lowest maximum mass, M, is , and its radius, R, is km with .
- Regarding the second case, Figure 16 shows that the most extreme value of mass progressively decrements for the incrementing values of BD-parameter . In this regard, our anisotropic astrophysical stellar system becomes more massive and transforms into more compact stellar structures. We also demonstrate the impact of the parameter on the mass and its radius by considering values of , such that . We find that the maximum mass and its radius decrease as increases, for example, where the highest maximum mass, M, is and its radius, R, is km for ; the lowest maximum mass, M, is and its radius, R, is greater than km for .
7.4. Mass–Central Density Relationship
8. Conclusions
- The first subsystem (standard Einstein’s system) corresponds to the field equations given in (24)–(26) with five unknown parameters, , and portrays the seed solution in BD gravity with respect to the stress-energy tensor .
- The second subsystem (quasi-Einstein system) corresponds to the field equations expressed in (32)–(34) and examines the solution of a new -sector, which comprises mostly four unknown parameters, .
- We have observed in Figure 1, Figure 2, Figure 3, Figure 4, Figure 5, Figure 6, Figure 7 and Figure 8 that all the thermodynamic observables, in particular, matter density, radial and transverse pressures with respect to the radial coordinate r have maximum values at the center and show limited, positive and monotonic decreasing comportment gradually toward the minimum values at the boundary of the celestial bodies, while the radial pressure becomes zero at the surface, which affirms the physical suitability and agreeability of the envisaged solutions. From these plots, we affirm additionally that our celestial bodies are completely free from any physical or mathematical singularities for all various parametric values of , and .
- The graphs corresponding to the comportment of anisotropy parameter versus radial coordinate r are illustrated in Figure 9, Figure 10 and Figure 11. We see that the vanished anisotropy parameter at the origin obtains positively defined increases to reach its maximum value at the surface of the stellar structure. Moreover, the fact that i.e., implies that the stellar system encounters a repulsive force that counteracts the gravitational gradient, progressing the stability and equilibrium state, as well as one that has more compact and massive celestial bodies.
- The anisotropic stellar model is also consistent with the causality condition which is affirmed as the components of sound velocity lie within their prescribed bounds for all chosen values of the parameters , and , leading to a stable and viable compact stellar object under massive BD gravity via the MGD approach, as shown in Figure 12, Figure 13 and Figure 14.
- Our investigation of the curves is very important for compact stellar objects and shows the maximal bound for the celestial bodies. In Figure 15 and Figure 16, we present the behavior of the total mass M (in Solar mass ) with respect to the total radius R for the chosen specific values of parameters and , by fixing to . In the current massive BD gravity model via the MGD approach, we find from Figure 15 that, due to , as increased, the maximum mass M increased with increasing radius R, which provides us with more massive compact stellar structures. On the other hand, as observed from Figure 16, due to , as increased, the maximum mass M decreased with increasing radius R, which provides us also a stellar system that is more compact and massive. On the other hand, we highlight the effect of and , by fixing to , on the behavior of the maximum moment of inertia I against the total mass M, as illustrated in Figure 17 and Figure 18. From these graphs, we can conclude that the stiffness of the EoS is better through increasing the sensitivity of curves in both cases corresponding to the increase of the parameters, and , which implies that the is always increasing from the zero up to a value, and thereafter decreases quickly. Finally, our generating and diagrams are well fitted with observational data, viz., LMC X-4, LMC X-4, Her X-1, 4U 1820-30, 4U 1608-52, SAX J1808.4-3658 and many other compact stellar structures that can be fitted. It is clear how both parameters and presented by massive BD gravity via the MGD approach incorporating the anisotropic profile of the matter distribution has a great influence on many physical parameters of the compact stellar structures. Furthermore, the predicted radii for different compact objects are mentioned in Table 1 for different and . It is observed that, for lower values of , higher mass objects are ruled out. On the other hand, when increases, compactness decreases, whereas compactness increases as increases.
- It is well recognized that, for spherically symmetric static astrophysical systems, the Harrison–Zeldovich–Novikov static stability criterion plays a crucial role under radial pulsation, which must be satisfied to ensure stability. From Figure 19 and Figure 20, we observe that this static stability criterion is well satisfied under a radial perturbation, and we can also notice that the stellar structures become more massive as increases. Moreover, the stellar solution regains its stability with an increase in all chosen values of different parameters, viz., , and in both scenarios BD and BD+MGD.
Author Contributions
Funding
Data Availability Statement
Conflicts of Interest
| 1 | We denote , where is the total mass for the seed system. |
References
- Schwarz, K. Static Solutions of Einstein’s Field Equations for Spheres of Fluid. Kl. Math. Phys. 1916, 24, 424. [Google Scholar]
- Tolman, R.C. Static Solutions of Einstein’s Field Equations for Spheres of Fluid. Phys. Rev. 1939, 55, 364. [Google Scholar] [CrossRef]
- Lemaitre, G. Annales de la Société scientifique de Bruxelles. Ann. Soc. Sci. Brux. 1933, A53, 51. [Google Scholar]
- Ruderman, R. Pulsars: Structure and Dynamics. Ann. Rev. Astron. Astrophys. 1972, 10, 427. [Google Scholar] [CrossRef]
- Bowers, R.L.; Liang, E.P.T. Anisotropic spheres in general relativity. Astrophys. J. 1974, 188, 657. [Google Scholar] [CrossRef]
- Herrera, L.; Santos, N.O. Local anisotropy in self-gravitating systems. Phys. Rep. 1997, 286, 53. [Google Scholar] [CrossRef]
- Harko, T.; Mak, M.K. Anisotropic relativistic stellar models. Ann. Phys. 2002, 11, 3. [Google Scholar] [CrossRef]
- Mak, M.K.; Harko, T. Anisotropic stars in general relativity. Proc. R Soc. Lond. Ser. A 2003, 459, 393. [Google Scholar] [CrossRef]
- Ivanov, B.V. Maximum bounds on the surface redshift of anisotropic stars. Phys. Rev. D 2002, 65, 104011. [Google Scholar] [CrossRef]
- Rahaman, F.; Ray, S.; Jafry, A.K.; Chakraborty, K. Singularity-free solutions for anisotropic charged fluids with Chaplygin equation of state. Phys. Rev. D 2010, 82, 104055. [Google Scholar] [CrossRef]
- Maurya, S.K.; Banerjee, A.; Hansraj, S. Role of pressure anisotropy on relativistic compact stars. Phys. Rev. D 2018, 97, 44022. [Google Scholar] [CrossRef]
- Maurya, S.K.; Banerjee, A.; Channuie, P. Relativistic compact stars with charged anisotropic matter. Chinese Phys. C 2018, 42, 55101. [Google Scholar] [CrossRef]
- Maurya, S.K.; Errehymy, A.; Deb, D.; Tello-Ortiz, F.; Daoud, M. Study of anisotropic strange stars in f(R,T) gravity: An embedding approach under the simplest linear functional of the matter-geometry coupling. Phys. Rev. D 2019, 100, 44014. [Google Scholar] [CrossRef]
- Maurya, S.K.; Banerjee, A.; Jasim, M.K.; Kumar, J.; Prasad, A.K.; Pradhan, A. Anisotropic compact stars in the Buchdahl model: A comprehensive study. Phys. Rev. D 2019, 99, 44029. [Google Scholar] [CrossRef]
- Tello-Ortiz, F.; Maurya, S.K.; Errehymy, A.; Singh, K.N.; Daoud, M. Anisotropic relativistic fluid spheres: An embedding class I approach. Eur. Phys. J. C 2019, 79, 885. [Google Scholar] [CrossRef]
- Deb, D.; Ketov, S.V.; Maurya, S.K.; Khlopov, M.; Moraes, P.H.R.S.; Ray, S. Exploring physical features of anisotropic strange stars beyond standard maximum mass limit in f(R, T) gravity. Mon. Not. R. Astron. Soc. 2019, 485, 5652. [Google Scholar] [CrossRef]
- Singh, K.N.; Maurya, S.K.; Errehymy, A.; Rahaman, F.; Daoud, M. Physical properties of class I compact star model for linear and Starobinsky-f(R,T) functions. Phys. Dark Univ. 2020, 30, 100620. [Google Scholar] [CrossRef]
- Rahaman, M.; Singh, K.N.; Errehymy, A.; Rahaman, F.; Daoud, M. Anisotropic Karmarkar stars in f(R, T)-gravity. Eur. Phys. J. C 2020, 80, 272. [Google Scholar] [CrossRef]
- Singh, K.N.; Errehymy, A.; Rahaman, F.; Daoud, M. Exploring physical properties of compact stars in f(R,T)-gravity: An embedding approach. Chinese Phys. C 2020, 44, 105106. [Google Scholar] [CrossRef]
- Ovalle, J. Searching exact solutions for compact stars in braneworld: A conjecture. Modern Phys. Lett. A 2008, 23, 3247. [Google Scholar] [CrossRef]
- Ovalle, J.; Linares, F. Nonminimal derivative coupling of a scalar field to gravity: Cosmological and black hole solutions. Phys. Rev. D 2013, 88, 104026. [Google Scholar] [CrossRef]
- Ovalle, J.; Casadio, R.; da Rocha, R.; Sotomayor, A. Anisotropic solutions by gravitational decoupling. Eur. Phys. J. C 2018, 78, 122. [Google Scholar] [CrossRef]
- Torres, V.; Contreras, E. Anisotropic neutron stars by gravitational decoupling. Eur. Phys. J. C 2019, 70, 829. [Google Scholar] [CrossRef]
- Ovalle, J. Decoupling gravitational sources in general relativity: From perfect to anisotropic fluids. Phys. Rev. D 2017, 95, 104019. [Google Scholar] [CrossRef]
- Casadio, R.; Nicolini, P.; da Rocha, R. Generalised uncertainty principle Hawking fermions from minimally geometric deformed black holes. Class. Quantum Grav. 2018, 35, 185001. [Google Scholar] [CrossRef]
- Hensh, R.; Stuchl’ik, Z. Anisotropic Tolman VII solution by gravitational decoupling. Eur. Phys. J. C 2019, 79, 834. [Google Scholar] [CrossRef]
- Sharif, M.; Saba, S. Gravitational decoupled anisotropic solutions in gravity. Eur. Phys. J. C 2018, 78, 921. [Google Scholar] [CrossRef]
- Estrada, M. A way of decoupling gravitational sources in pure Lovelock gravity. Eur. Phys. J. C 2019, 79, 918. [Google Scholar] [CrossRef]
- Maurya, S.K.; Tello-Ortiz, F. Charged anisotropic compact star in f (R, T) gravity: A minimal geometric deformation gravitational decoupling approach. Phys. Dark Univ. 2020, 27, 100442. [Google Scholar] [CrossRef]
- Maurya, S.K.; Errehymy, A.; Singh, K.N.; Tello-Ortiz, F.; Daoud, M. Gravitational decoupling minimal geometric deformation model in modified f (R, T) gravity theory. Phys. Dark Univ. 2020, 30, 100640. [Google Scholar] [CrossRef]
- Maurya, S.; Tello-Ortiz, F. Decoupling gravitational sources by MGD approach in Rastall gravity. Phys. Dark Univ. 2020, 29, 100577. [Google Scholar] [CrossRef]
- Cavalcanti, R.T.; Goncalves da Silva, A.; da Rocha, R. Strong deflection limit lensing effects in the minimal geometric deformation and Casadio–Fabbri–Mazzacurati solutions. Class. Quant. Gravit. 2016, 33, 215007. [Google Scholar] [CrossRef]
- Casadio, R.; da Rocha, R. Stability of the graviton Bose–Einstein condensate in the brane- world. Phys. Lett. B 2016, 763, 434. [Google Scholar] [CrossRef]
- da Rocha, R. Dark SU(N) glueball stars on fluid branes. Phys. Fire Up. D 2017, 95, 124017. [Google Scholar] [CrossRef]
- Casadio, R.; Ovalle, J.; da Rocha, R. The minimal geometric deformation approach extended. Class. Quant. Gravit. 2015, 32, 215020. [Google Scholar] [CrossRef]
- Ovalle, J. Decoupling gravitational sources in general relativity: The extended case. Phys. Lett. B 2019, 788, 213. [Google Scholar] [CrossRef]
- Sharif, M.; Ama-Tul-Mughani, Q. Anisotropic spherical solutions through extended gravitational decoupling approach. Ann. Phys. 2020, 415, 168122. [Google Scholar] [CrossRef]
- Sharif, M. Ama-Tul-Mughani, Q. Extended gravitational decoupled charged anisotropic solutions. Chin. J. Phys. 2020, 65, 207. [Google Scholar] [CrossRef]
- Ovalle, J.; Casadio, R.; da Rocha, R.; Sotomayor, A.; Stuchlik, Z. Black holes by gravitational decoupling. Eur. Phys. J. C 2018, 78, 960. [Google Scholar] [CrossRef]
- Contreras, E. Minimal Geometric Deformation: The inverse problem. Eur. Phys. J. C 2018, 78, 678. [Google Scholar] [CrossRef]
- Contreras, E.; Bargueno, P. Minimal geometric deformation in asymptotically (A-) dS space- times and the isotropic sector for a polytropic black hole. Eur. Phys. J. C 2018, 78, 985. [Google Scholar] [CrossRef]
- Rincon, A.; Gabbanelli, L.; Contreras, E.; Tello-Ortiz, F. Minimal geometric deformation in a Reissner–Nordström background. Eur. Phys. J. C 2019, 79, 873. [Google Scholar] [CrossRef]
- Zubair, M.; Azmat, H.; Amin, M. Charged anisotropic fluid sphere in comparison with its uncharged analogue through extended geometric deformation. Chin. J. Phys. 2022, 77, 898–914. [Google Scholar] [CrossRef]
- Maurya, S.K.; Singh, K.N.; Govender, M.; Hansraj, S. Gravitationally decoupled strange star model beyond the standard maximum mass limit in Einstein–Gauss–Bonnet gravity. Astrophys. J. 2022, 925, 208. [Google Scholar] [CrossRef]
- Briscese, F.; Elizalde, E.; Nojiri, S.; Odintsov, S.D. Phantom scalar dark energy as modified gravity: Understanding the origin of the Big Rip singularity. Phys. Lett. B 2007, 646, 105. [Google Scholar] [CrossRef]
- Nutku, Y. The post-Newtonian equations of hydrodynamics in the Brans–Dicke theory. Astrophys. J. 1969, 155, 999. [Google Scholar] [CrossRef]
- Kwon, O.J.; Kim Y., D.; Myung Y., S.; Cho B., H.; Park Y., J. Stability of the Schwarzschild black hole in Brans–Dicke theory. Phys. Rev. D 1986, 34, 333. [Google Scholar] [CrossRef]
- Shibata, M.; Nakao, K.; Nakamura, T. Scalar-type gravitational wave emission from gravitational collapse in Brans–Dicke theory: Detectability by a laser interferometer. Phys. Rev. D 1994, 50, 7304. [Google Scholar] [CrossRef]
- Harada, T.; Chiba, T.; Nakao, K.; Nakamura, T. Scalar gravitational wave from Oppenheimer- Snyder collapse in scalar-tensor theories of gravity. Phys. Rev. D 1997, 55, 2024. [Google Scholar] [CrossRef]
- Sharif, M.; Yousaf, Z. Stability of the charged spherical dissipative collapse in f(R) gravity. Mon. Not. R. Astron. Soc. 2013, 432, 264. [Google Scholar] [CrossRef]
- Dirac, P.A.M. A new basis for cosmology. Proc. R. Soc. A 1938, 165, 199. [Google Scholar] [CrossRef]
- Brans, C.H.; Dicke, R.H. principle and a relativistic theory of gravitation. Phys. Rev. 1961, 124, 925. [Google Scholar] [CrossRef]
- Faraoni, V. Cosmology in Scalar-Tensor Gravity; Springer: Berlin/Heidelberg, Germany, 2004. [Google Scholar]
- Bertotti, B.I.L.; Tortora, P. A test of general relativity using radio links with the Cassini spacecraft. Nature 2003, 425, 374. [Google Scholar] [CrossRef] [PubMed]
- Felice, A.D.; Mangano, G.; Serpico, P.; Trodden, M. Gauge-invariant formulation of second- order cosmological perturbations. Phys. Rev. D 2006, 74, 103005. [Google Scholar]
- Acquaviva, V.; Baccigalupi, C.; Leach, S.M.; Liddle, A.R.; Perrotta, F. Structure formation constraints on the Jordan-Brans–Dicke theory. Phys. Rev. D 2005, 71, 104025. [Google Scholar] [CrossRef]
- Liddle, A.R.; Mazumdar, A.; Barrow, J.D. Assisted inflation. Phys. Rev. D 1998, 58, 27302. [Google Scholar] [CrossRef]
- Chen, X.; Kamionkowski, M. Cosmic microwave background temperature and polarization anisotropy in Brans–Dicke cosmology. Phys. Rev. D 1999, 60, 104036. [Google Scholar] [CrossRef]
- Nagata, R.; Chiba, T.; Sugiyama, N. Chameleon cosmology. Phys. Rev. D 2004, 69, 83512. [Google Scholar] [CrossRef]
- Umiltà, C.; Ballardini, M.; Finelli, F.; Paoletti, D. CMB and BAO constraints for an induced gravity dark energy model with a quartic potential. J. Cosmol. Astropart. Phys. 2015, 17, 17. [Google Scholar] [CrossRef]
- Ballardini, M.; Finelli, F.; Umiltà, C.; Paoletti, D. Cosmological constraints on induced gravity dark energy models. J. Cosmol. Astropart. Phys. 2016, 1605, 67. [Google Scholar] [CrossRef]
- Rossi, M.; Ballardini, M.; Braglia, M.; Finelli, F.; Paoletti, D.; Starobinsky, A.A.; Umiltà, C. Cosmological constraints on post-Newtonian parameters in effectively massless scalar-tensor theories of gravity. Phys. Rev. D 2019, 100, 103524. [Google Scholar] [CrossRef]
- Koyama, K. Testing Brans–Dicke gravity with screening by scalar gravitational wave memory. Phys. Rev. D 2020, 102, 21502. [Google Scholar] [CrossRef]
- Sharif, M.; Majid, A. Anisotropic compact stars in self-interacting Brans–Dicke gravity. Astrophys. Space Sci. 2020, 365, 42. [Google Scholar] [CrossRef]
- Sharif, M.; Majid, A. Anisotropic strange stars through embedding technique in massive Brans–Dicke gravity. Eur. Phys. J. Plus 2020, 135, 558. [Google Scholar] [CrossRef]
- Sharif, M.; Majid, A. Extended gravitational decoupled solutions in self-interacting Brans–Dicke theory. Phys. Dark Univ. 2020, 30, 100610. [Google Scholar] [CrossRef]
- Sharif, M.; Majid, A. Isotropization and complexity of decoupled solutions in self- interacting Brans–Dicke gravity. Eur. Phys. J. Plus 2022, 137, 114. [Google Scholar] [CrossRef]
- Ramazanoglu, F.M.; Pretorius, F. Spontaneous scalarization with massive fields. Phys. Rev. D 2016, 93, 64005. [Google Scholar] [CrossRef]
- Yazadjiev, S.S.; Doneva, D.D.; Popchev, D. Slowly rotating neutron stars in scalar-tensor theories with a massive scalar field. Phys. Rev. D 2016, 93, 84038. [Google Scholar] [CrossRef]
- Doneva, D.D.; Yazadjiev, S.S. Rapidly rotating neutron stars with a massive scalar field—structure and universal relations. J. Cosmol. Astropart. Phys. 2016, 11, 19. [Google Scholar] [CrossRef]
- Staykov, K.V.; Popchev, D.; Doneva, D.D.; Yazadjiev, S.S. Static and slowly rotating neutron stars in scalar–tensor theory with self-interacting massive scalar field. Eur. Phys. J. C 2018, 78, 586. [Google Scholar] [CrossRef]
- Popchev, D.; Staykov, K.V.; Doneva, D.D.; Yazadjiev, S.S. Moment of inertia–mass universal relations for neutron stars in scalar- tensor theory with self-interacting massive scalar field. Eur. Phys. J. C 2019, 79, 178. [Google Scholar] [CrossRef]
- Bruckman, W.F.; Kazes, E. Properties of the solutions of cold ultradense configurations in the Brans–Dicke theory. Phys. Rev. D 1977, 16, 261. [Google Scholar] [CrossRef]
- Eisenhart, L.P. Riemannian Geometry; Princeton University Press: Princeton, NJ, USA, 1925; p. 97. [Google Scholar]
- Kasner, E. Finite Representation of the Solar Gravitational Field in Flat Space of Six Dimensions. Am. J. Math. 1921, 43, 130. [Google Scholar] [CrossRef]
- Gupta, Y.K.; Goel, M.P. Class two analogue of TY Thomas theorem and different types of embeddings of static spherically symmetric space-times. Gen. Rel. Grav. 1975, 6, 499. [Google Scholar] [CrossRef]
- Karmarkar, K.R. Gravitational metrics of spherical symmetry and class one. Proc. Indian Acad. Sci. 1948, 27, 56. [Google Scholar] [CrossRef]
- Pandey, S.N.; Sharma, S.P. Insufficiency of Karmarkar. condition. Gen. Relativ. Gravit. 1981, 14, 113. [Google Scholar] [CrossRef]
- O′Brien, S.; Synge, J.L. Jump Conditions at Discontinuities in General Relativity. Commun. Dublin Inst. Adv. Stud. A 1952, 9, 1–20. [Google Scholar]
- de Felice, F.; Yu, Y.; Fang, Z. Relativistic charged spheres. Mon. Not. R. Astron. Soc. 1995, 277, L17. [Google Scholar]
- Morales, E.; Tello-Ortiz, F. Compact anisotropic models in general relativity by gravitational decoupling. Eur. Phys. J. C 2018, 78, 841. [Google Scholar] [CrossRef]
- Morales, E.; Tello-Ortiz, F. Charged anisotropic compact objects by gravitational decoupling. Eur. Phys. J. C 2018, 78, 618. [Google Scholar] [CrossRef]
- Abreu, H.; Hernandez, H.; Nunez, L.A. Sound speeds, cracking and the stability of self- gravitating anisotropic compact objects. Class. Quant. Grav. 2007, 24, 4631. [Google Scholar] [CrossRef]
- Bejger, M.; Haensel, P. Moments of inertia for neutron and strange stars: Limits derived for the Crab pulsar. A. & A. 2002, 396, 917. [Google Scholar]
- Chandrasekhar, S. Dynamical instability of gaseous masses approaching the Schwarzschild limit in general relativity. Phys. Rev. Lett. 1964, 12, 114. [Google Scholar] [CrossRef]
- Harrison, B.K.; Thorne, K.S.; Wakano, M.; Wheeler, J.A. Gravitational Theory and Gravitational Collapse; University of Chicago Press: Chicago, IL, USA, 1966. [Google Scholar]
- Zeldovich, Y.B.; Novikov, I.D. Relativistic Astrophysics: Stars and Relativity; University of Chicago Press: Chicago, IL, USA, 1971. [Google Scholar]
- Abubekerov, M.K.; Antokhina, E.A.; Cherepashchuk, A.M.; Shimanskii, V.V. The mass of the compact object in the X-ray binary her X-1/HZ her. Astron. Rep. 2008, 52, 379. [Google Scholar] [CrossRef]
- Elebert, P.; Reynolds, M.T.; Callanan, P.J.; Hurley, D.J.; Ramsay, G.; Lewis, F.; Russell, D.M.; Nord, B.; Kane, S.R.; DePoy, D.L.; et al. Optical spectroscopy and photometry of SAX J1808.4-3658 in outburst. Mon. Not. R. Astron. Soc. 2009, 395, 884. [Google Scholar] [CrossRef]
- Rawls, M.L.; Orosz, J.A.; McClintock, J.E.; Torres, M.A.P.; Bailyn, C.D.; Buxton, M.M. Refined Neutron Star Mass Determinations for Six Eclipsing X-Ray Pulsar Binaries. ApJ 2011, 730, 25. [Google Scholar] [CrossRef]
- Güver, T.; Wroblewski, P.; Camarota, L.; Ózel, F. The Distance, Mass, and Radius of the Neutron Star in 4U 1608-52. Astrophys. J. 2010, 712, 964. [Google Scholar] [CrossRef]
- Güver, T.; Wroblewski, P.; Camarota, L.; Ózel, F. The Mass and Radius of the Neutron Star in 4U 1820-30. Astrophys. J. 2010, 719, 1807. [Google Scholar] [CrossRef]




















| Predicted Radii (km) | ||||||||
|---|---|---|---|---|---|---|---|---|
| Strange Stars | Observed Mass | |||||||
| 0.3 | 0.5 | 0.7 | 0.9 | 0 | 500 | 1000 | ||
| Her X-1 | 0.85 ± 0.15 [88] | 5.58 | 6.83 | 7.76 | 8.52 | 8.11 | 8.096 | 8.066 |
| SAX J1808.4-3658 | 0.9 ± 0.3 [89] | 5.63 | 6.91 | 7.86 | 8.64 | 8.24 | 8.21 | 8.18 |
| SMC X-1 | 1.04 ± 0.09 [90] | 5.82 | 7.39 | 8.50 | 9.41 | 8.95 | 8.89 | 8.83 |
| LMC X-4 | 1.29 ± 0.05 [90] | 5.75 | 7.12 | 8.10 | 8.96 | 8.54 | 8.48 | 8.45 |
| 4U 1820-30 | 1.58 ± 0.06 [91] | - | 7.51 | 8.77 | 9.77 | 9.27 | 9.19 | 9.11 |
| 4U 1608-52 | 1.74 ± 0.14 [92] | - | 7.49 | 8.56 | 9.92 | 8.27 | 8.21 | 8.175 |
Disclaimer/Publisher’s Note: The statements, opinions and data contained in all publications are solely those of the individual author(s) and contributor(s) and not of MDPI and/or the editor(s). MDPI and/or the editor(s) disclaim responsibility for any injury to people or property resulting from any ideas, methods, instructions or products referred to in the content. |
© 2023 by the authors. Licensee MDPI, Basel, Switzerland. This article is an open access article distributed under the terms and conditions of the Creative Commons Attribution (CC BY) license (https://creativecommons.org/licenses/by/4.0/).
Share and Cite
Jasim, M.K.; Singh, K.N.; Errehymy, A.; Maurya, S.K.; Mandke, M.V. Study of a Minimally Deformed Anisotropic Solution for Compact Objects with Massive Scalar Field in Brans–Dicke Gravity Admitting the Karmarkar Condition. Universe 2023, 9, 208. https://doi.org/10.3390/universe9050208
Jasim MK, Singh KN, Errehymy A, Maurya SK, Mandke MV. Study of a Minimally Deformed Anisotropic Solution for Compact Objects with Massive Scalar Field in Brans–Dicke Gravity Admitting the Karmarkar Condition. Universe. 2023; 9(5):208. https://doi.org/10.3390/universe9050208
Chicago/Turabian StyleJasim, M. K., Ksh. Newton Singh, Abdelghani Errehymy, S. K. Maurya, and M. V. Mandke. 2023. "Study of a Minimally Deformed Anisotropic Solution for Compact Objects with Massive Scalar Field in Brans–Dicke Gravity Admitting the Karmarkar Condition" Universe 9, no. 5: 208. https://doi.org/10.3390/universe9050208
APA StyleJasim, M. K., Singh, K. N., Errehymy, A., Maurya, S. K., & Mandke, M. V. (2023). Study of a Minimally Deformed Anisotropic Solution for Compact Objects with Massive Scalar Field in Brans–Dicke Gravity Admitting the Karmarkar Condition. Universe, 9(5), 208. https://doi.org/10.3390/universe9050208

