Beam Energy Dependence of the Linear and Mode-Coupled Flow Harmonics Using the a Multi-Phase Transport Model
Abstract
1. Introduction
2. Method
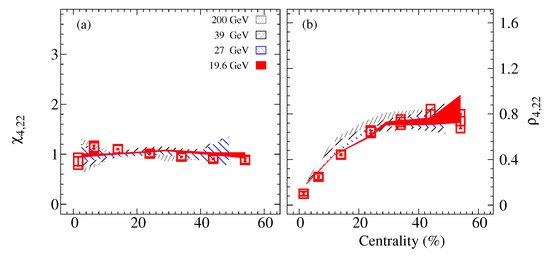
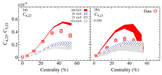
3. Results and Discussion
4. Conclusions
Funding
Data Availability Statement
Conflicts of Interest
References
- Shuryak, E.V. Quark-Gluon Plasma and Hadronic Production of Leptons, Photons and Psions. Phys. Lett. B 1978, 78, 150. [Google Scholar] [CrossRef]
- Shuryak, E.V. Quantum Chromodynamics and the Theory of Superdense Matter. Phys. Rep. 1980, 61, 71–158. [Google Scholar] [CrossRef]
- Muller, B.; Schukraft, J.; Wyslouch, B. First Results from Pb+Pb collisions at the LHC. Ann. Rev. Nucl. Part. Sci. 2012, 62, 361–386. [Google Scholar] [CrossRef]
- Shuryak, E. Why does the quark gluon plasma at RHIC behave as a nearly ideal fluid? Prog. Part. Nucl. Phys. 2004, 53, 273–303. [Google Scholar] [CrossRef]
- Romatschke, P.; Romatschke, U. Viscosity Information from Relativistic Nuclear Collisions: How Perfect is the Fluid Observed at RHIC? Phys. Rev. Lett. 2007, 99, 172301. [Google Scholar] [CrossRef] [PubMed]
- Luzum, M.; Romatschke, P. Conformal Relativistic Viscous Hydrodynamics: Applications to RHIC results at = 200-GeV. Phys. Rev. 2008, C78, 034915. [Google Scholar]
- Bozek, P. Bulk and shear viscosities of matter created in relativistic heavy-ion collisions. Phys. Rev. C 2010, 81, 034909. [Google Scholar] [CrossRef]
- Acharya, S. et al. [ALICE Collaboration] Investigations of Anisotropic Flow Using Multiparticle Azimuthal Correlations in pp, p-Pb, Xe-Xe, and Pb-Pb Collisions at the LHC. Phys. Rev. Lett. 2019, 123, 142301. [Google Scholar] [CrossRef]
- Acharya, S. et al. [ALICE Collaboration] Higher harmonic non-linear flow modes of charged hadrons in Pb-Pb collisions at = 5.02 TeV. JHEP 2020, 5, 85. [Google Scholar] [CrossRef]
- Adam, J. et al. [STAR Collaboration] Investigation of the linear and mode-coupled flow harmonics in Au+Au collisions at = 200 GeV. Phys. Lett. 2020, B809, 135728. [Google Scholar] [CrossRef]
- Heinz, U.W.; Kolb, P.F. Early thermalization at RHIC. Nucl. Phys. 2002, A702, 269–280. [Google Scholar] [CrossRef]
- Hirano, T.; Heinz, U.W.; Kharzeev, D.; Lacey, R.; Nara, Y. Hadronic dissipative effects on elliptic flow in ultrarelativistic heavy-ion collisions. Phys. Lett. 2006, B636, 299–304. [Google Scholar] [CrossRef]
- Huovinen, P.; Kolb, P.F.; Heinz, U.W.; Ruuskanen, P.V.; Voloshin, S.A. Radial and elliptic flow at RHIC: Further predictions. Phys. Lett. 2001, B503, 58–64. [Google Scholar] [CrossRef]
- Hirano, T.; Tsuda, K. Collective flow and two pion correlations from a relativistic hydrodynamic model with early chemical freeze out. Phys. Rev. 2002, C66, 054905. [Google Scholar] [CrossRef]
- Luzum, M. Flow fluctuations and long-range correlations: Elliptic flow and beyond. J. Phys. 2011, G38, 124026. [Google Scholar] [CrossRef]
- Song, H.; Bass, S.A.; Heinz, U.; Hirano, T.; Shen, C. 200 A GeV Au+Au collisions serve a nearly perfect quark-gluon liquid. Phys. Rev. Lett. 2011, 106, 192301, Erratum: Phys. Rev. Lett. 2012, 109, 139904. [Google Scholar] [CrossRef] [PubMed]
- Qian, J.; Heinz, U.W.; Liu, J. Mode-coupling effects in anisotropic flow in heavy-ion collisions. Phys. Rev. 2016, C93, 064901. [Google Scholar] [CrossRef]
- Magdy, N. Beam energy dependence of the anisotropic flow coefficients vn. PoS 2018, CPOD2017, 005. [Google Scholar]
- Magdy, N. Viscous Damping of Anisotropic Flow in 7.7 − 200 GeV Au+Au Collisions. J. Phys. Conf. Ser. 2017, 779, 012060. [Google Scholar] [CrossRef]
- Schenke, B.; Jeon, S.; Gale, C. Anisotropic flow in = 2.76 TeV Pb+Pb collisions at the LHC. Phys. Lett. 2011, B702, 59–63. [Google Scholar] [CrossRef]
- Teaney, D.; Yan, L. Non linearities in the harmonic spectrum of heavy ion collisions with ideal and viscous hydrodynamics. Phys. Rev. 2012, C86, 044908. [Google Scholar] [CrossRef]
- Gardim, F.G.; Grassi, F.; Luzum, M.; Ollitrault, J.Y. Anisotropic flow in event-by-event ideal hydrodynamic simulations of = 200 GeV Au+Au collisions. Phys. Rev. Lett. 2012, 109, 202302. [Google Scholar] [CrossRef] [PubMed]
- Lacey, R.A.; Reynolds, D.; Taranenko, A.; Ajitanand, N.N.; Alexander, J.M.; Liu, F.H.; Gu, Y.; Mwai, A. Acoustic scaling of anisotropic flow in shape-engineered events: Implications for extraction of the specific shear viscosity of the quark gluon plasma. J. Phys. 2016, G43, 10LT01. [Google Scholar] [CrossRef]
- Alver, B.H.; Gombeaud, C.; Luzum, M.; Ollitrault, J.Y. Triangular flow in hydrodynamics and transport theory. Phys. Rev. 2010, C82, 034913. [Google Scholar] [CrossRef]
- Petersen, H.; Qin, G.Y.; Bass, S.A.; Muller, B. Triangular flow in event-by-event ideal hydrodynamics in Au+Au collisions at = 200 A GeV. Phys. Rev. 2010, C82, 041901. [Google Scholar] [CrossRef]
- Lacey, R.A.; Wei, R.; Ajitanand, N.N.; Taranenko, A. Initial eccentricity fluctuations and their relation to higher-order flow harmonics. Phys. Rev. 2011, C83, 044902. [Google Scholar] [CrossRef]
- Teaney, D.; Yan, L. Triangularity and Dipole Asymmetry in Heavy Ion Collisions. Phys. Rev. 2011, C83, 064904. [Google Scholar] [CrossRef]
- Qiu, Z.; Heinz, U.W. Event-by-event shape and flow fluctuations of relativistic heavy-ion collision fireballs. Phys. Rev. 2011, C84, 024911. [Google Scholar] [CrossRef]
- Bhalerao, R.S.; Ollitrault, J.Y.; Pal, S. Characterizing flow fluctuations with moments. Phys. Lett. 2015, B742, 94–98. [Google Scholar] [CrossRef]
- Yan, L.; Ollitrault, J.Y. ν4,ν5,ν6,ν7: Nonlinear hydrodynamic response versus LHC data. Phys. Lett. 2015, B744, 82–87. [Google Scholar] [CrossRef]
- Poskanzer, A.M.; Voloshin, S.A. Methods for analyzing anisotropic flow in relativistic nuclear collisions. Phys. Rev. 1998, C58, 1671–1678. [Google Scholar] [CrossRef]
- Adam, J. et al. [STAR Collaboration] Correlation Measurements Between Flow Harmonics in Au+Au Collisions at RHIC. Phys. Lett. 2018, B783, 459–465. [Google Scholar] [CrossRef]
- Adam, J. et al. [ALICE collaboration] Correlated event-by-event fluctuations of flow harmonics in Pb-Pb collisions at = 2.76 TeV. Phys. Rev. Lett. 2016, 117, 182301. [Google Scholar] [CrossRef]
- Adamczyk, L. et al. [STAR Collaboration] Harmonic decomposition of three-particle azimuthal correlations at energies available at the BNL Relativistic Heavy Ion Collider. Phys. Rev. 2018, C98, 034918. [Google Scholar] [CrossRef]
- Adare, A. et al. [PHENIX Collaboration] Measurements of Higher-Order Flow Harmonics in Au+Au Collisions at = 200 GeV. Phys. Rev. Lett. 2011, 107, 252301. [Google Scholar] [CrossRef]
- Aad, G. et al. [ATLAS Collaboration] Measurement of event-plane correlations in = 2.76 TeV lead-lead collisions with the ATLAS detector. Phys. Rev. 2014, C90, 024905. [Google Scholar] [CrossRef]
- Aguilar-Saavedra, J.A. et al. [ATLAS Collaboration] Measurement of the correlation between flow harmonics of different order in lead-lead collisions at = 2.76 TeV with the ATLAS detector. Phys. Rev. 2015, C92, 034903. [Google Scholar] [CrossRef]
- Magdy, N. Collision system and beam energy dependence of anisotropic flow fluctuations. Nucl. Phys. 2019, A982, 255–258. [Google Scholar] [CrossRef]
- Alver, B.; Back, B.B.; Baker, M.; Ballintijn, M.; Barton, D.S.; Betts, R.R.; Bindel, R.; Busza, W.; Chetluru, V.; Garcia, E.; et al. Importance of correlations and fluctuations on the initial source eccentricity in high-energy nucleus-nucleus collisions. Phys. Rev. 2008, C77, 014906. [Google Scholar] [CrossRef]
- Alver, B. et al. [PHOBOS Collaboration] Non-flow correlations and elliptic flow fluctuations in gold-gold collisions at = 200 GeV. Phys. Rev. 2010, C81, 034915. [Google Scholar] [CrossRef]
- Ollitrault, J.Y.; Poskanzer, A.M.; Voloshin, S.A. Effect of flow fluctuations and nonflow on elliptic flow methods. Phys. Rev. 2009, C80, 014904. [Google Scholar] [CrossRef]
- Adam, J. et al. [STAR Collaboration] Azimuthal Harmonics in Small and Large Collision Systems at RHIC Top Energies. Phys. Rev. Lett. 2019, 122, 172301. [Google Scholar] [CrossRef] [PubMed]
- Heinz, U.; Snellings, R. Collective flow and viscosity in relativistic heavy-ion collisions. Ann. Rev. Nucl. Part. Sci. 2013, 63, 123–151. [Google Scholar] [CrossRef]
- Magdy, N. Beam-energy dependence of the azimuthal anisotropic flow from RHIC. arXiv 2019, arXiv:nucl-ex/1909.09640. [Google Scholar]
- Adamczyk, L. et al. [STAR Collaboration] Azimuthal anisotropy in Cu+Au collisions at = 200 GeV. Phys. Rev. 2018, C98, 014915. [Google Scholar] [CrossRef]
- Alver, B.; Roland, G. Collision geometry fluctuations and triangular flow in heavy-ion collisions. Phys. Rev. 2010, C81, 054905, Erratum: Phys. Rev. C 2010, 82, 039903. [Google Scholar] [CrossRef]
- Chatrchyan, S.; Khachatryan, V.; Sirunyan, A.M.; Tumasyan, A.; Adam, W.; Bergauer, T.; Dragicevic, M.; Eroe, J.; Fabjan, C.; Friedl, M.; et al. Measurement of higher-order harmonic azimuthal anisotropy in PbPb collisions at = 2.76 TeV. Phys. Rev. 2014, C89, 044906. [Google Scholar] [CrossRef]
- Gardim, F.G.; Grassi, F.; Luzum, M.; Ollitrault, J.Y. Mapping the hydrodynamic response to the initial geometry in heavy-ion collisions. Phys. Rev. C 2012, 85, 024908. [Google Scholar] [CrossRef]
- Bilandzic, A.; Christensen, C.H.; Gulbrandsen, K.; Hansen, A.; Zhou, Y. Generic framework for anisotropic flow analyses with multiparticle azimuthal correlations. Phys. Rev. 2014, C89, 064904. [Google Scholar] [CrossRef]
- Zhou, Y. Review of anisotropic flow correlations in ultrarelativistic heavy-ion collisions. Adv. High Energy Phys. 2016, 2016, 9365637. [Google Scholar] [CrossRef]
- Qiu, Z.; Heinz, U. Hydrodynamic event-plane correlations in Pb+Pb collisions at = 2.76 ATeV. Phys. Lett. 2012, B717, 261–265. [Google Scholar] [CrossRef]
- Teaney, D.; Yan, L. Event-plane correlations and hydrodynamic simulations of heavy ion collisions. Phys. Rev. 2014, C90, 024902. [Google Scholar] [CrossRef]
- Niemi, H.; Eskola, K.J.; Paatelainen, R. Event-by-event fluctuations in a perturbative QCD + saturation + hydrodynamics model: Determining QCD matter shear viscosity in ultrarelativistic heavy-ion collisions. Phys. Rev. 2016, C93, 024907. [Google Scholar] [CrossRef]
- Zhou, Y.; Xiao, K.; Feng, Z.; Liu, F.; Snellings, R. Anisotropic distributions in a multiphase transport model. Phys. Rev. 2016, C93, 034909. [Google Scholar] [CrossRef]
- Sirunyan, A.M. et al. [CMS Collaboration] Mixed higher-order anisotropic flow and nonlinear response coefficients of charged particles in PbPb collisions at = 2.76 and 5.02 TeV. Eur. Phys. J. C 2020, 80, 534. [Google Scholar] [CrossRef]
- Lin, Z.W.; Ko, C.M.; Li, B.A.; Zhang, B.; Pal, S. A Multi-phase transport model for relativistic heavy ion collisions. Phys. Rev. 2005, C72, 064901. [Google Scholar] [CrossRef]
- Ma, G.L.; Lin, Z.W. Predictions for = 5.02 TeV Pb+Pb Collisions from a Multi-Phase Transport Model. Phys. Rev. 2016, C93, 054911. [Google Scholar] [CrossRef]
- Ma, G.L. Decomposition of the jet fragmentation function in high-energy heavy-ion collisions. Phys. Rev. 2013, C88, 021902. [Google Scholar] [CrossRef]
- Ma, G.L. Medium modifications of jet shapes in Pb+Pb collisions at = 2.76 TeV within a multiphase transport model. Phys. Rev. 2014, C89, 024902. [Google Scholar] [CrossRef]
- Bzdak, A.; Ma, G.L. Elliptic and triangular flow in p+Pb and peripheral Pb+Pb collisions from parton scatterings. Phys. Rev. Lett. 2014, 113, 252301. [Google Scholar] [CrossRef]
- Nie, M.W.; Huo, P.; Jia, J.; Ma, G.L. Multiparticle azimuthal cumulants in p+Pb collisions from a multiphase transport model. Phys. Rev. 2018, C98, 034903. [Google Scholar] [CrossRef]
- Magdy, N.; Nie, M.W.; Huang, L.; Ma, G.L.; Lacey, R.A. An extended (ΔS2) correlator for detecting and characterizing the Chiral Magnetic Wave. Phys. Lett. B 2020, 811, 135986. [Google Scholar] [CrossRef]
- Magdy, N. Characterizing the initial and final state effects of relativistic nuclear collisions. Phys. Rev. C 2022, 107, 024905. [Google Scholar] [CrossRef]
- Magdy, N. Measuring differential flow angle fluctuations in relativistic nuclear collisions. Phys. Rev. C 2022, 106, 044911. [Google Scholar] [CrossRef]
- Magdy, N. Impact of nuclear deformation on collective flow observables in relativistic U+U collisions. arXiv 2022, arXiv:2206.05332. [Google Scholar]
- Zhang, B. ZPC 1.0.1: A Parton cascade for ultrarelativistic heavy ion collisions. Comput. Phys. Commun. 1998, 109, 193–206. [Google Scholar] [CrossRef]
- Wang, X.N.; Gyulassy, M. HIJING: A Monte Carlo model for multiple jet production in p p, p A and A A collisions. Phys. Rev. 1991, D44, 3501–3516. [Google Scholar] [CrossRef]
- Gyulassy, M.; Wang, X.N. HIJING 1.0: A Monte Carlo program for parton and particle production in high-energy hadronic and nuclear collisions. Comput. Phys. Commun. 1994, 83, 307. [Google Scholar] [CrossRef]
- Li, B.A.; Ko, C.M. Formation of superdense hadronic matter in high-energy heavy ion collisions. Phys. Rev. 1995, C52, 2037–2063. [Google Scholar] [CrossRef]
- Xu, J.; Ko, C.M. Pb-Pb collisions at = 2.76 TeV in a multiphase transport model. Phys. Rev. C 2011, 83, 034904. [Google Scholar] [CrossRef]
- Nasim, M. Systematic study of symmetric cumulants at = 200 GeV in Au+Au collision using transport approach. Phys. Rev. C 2017, 95, 034905. [Google Scholar] [CrossRef]
- Solanki, D.; Sorensen, P.; Basu, S.; Raniwala, R.; Nayak, T.K. Beam energy dependence of Elliptic and Triangular flow with the AMPT model. Phys. Lett. B 2013, 720, 352–357. [Google Scholar] [CrossRef]
- Bilandzic, A.; Snellings, R.; Voloshin, S. Flow analysis with cumulants: Direct calculations. Phys. Rev. 2011, C83, 044913. [Google Scholar] [CrossRef]
- Jia, J.; Zhou, M.; Trzupek, A. Revealing long-range multiparticle collectivity in small collision systems via subevent cumulants. Phys. Rev. 2017, C96, 034906. [Google Scholar] [CrossRef]
- Gajdošová, K. Investigations of anisotropic collectivity using multi-particle correlations in pp, p–Pb and Pb–Pb collisions. Nucl. Phys. 2017, A967, 437–440. [Google Scholar] [CrossRef]
- Magdy, N.; Evdokimov, O.; Lacey, R.A. A method to test the coupling strength of the linear and nonlinear contributions to higher-order flow harmonics via Event Shape Engineering. J. Phys. G 2020, 48, 025101. [Google Scholar] [CrossRef]
- Bhalerao, R.S.; Ollitrault, J.Y.; Pal, S. Event-plane correlators. Phys. Rev. 2013, C88, 024909. [Google Scholar] [CrossRef]
- Adams, J. et al. [STAR Collaboration] Azimuthal anisotropy in Au+Au collisions at = 200-GeV. Phys. Rev. C 2005, 72, 014904. [Google Scholar] [CrossRef]
- Adamczyk, L. et al. [STAR Collaboration] Beam Energy Dependence of the Third Harmonic of Azimuthal Correlations in Au+Au Collisions at RHIC. Phys. Rev. Lett. 2016, 116, 112302. [Google Scholar] [CrossRef]
- Aboona, B.E. et al. [STAR Collaboration] Beam energy dependence of the linear and mode-coupled flow harmonics in Au+Au collisions. Phys. Lett. B 2023, 137755, 0370–2693. [Google Scholar] [CrossRef]





Disclaimer/Publisher’s Note: The statements, opinions and data contained in all publications are solely those of the individual author(s) and contributor(s) and not of MDPI and/or the editor(s). MDPI and/or the editor(s) disclaim responsibility for any injury to people or property resulting from any ideas, methods, instructions or products referred to in the content. |
© 2023 by the author. Licensee MDPI, Basel, Switzerland. This article is an open access article distributed under the terms and conditions of the Creative Commons Attribution (CC BY) license (https://creativecommons.org/licenses/by/4.0/).
Share and Cite
Magdy, N. Beam Energy Dependence of the Linear and Mode-Coupled Flow Harmonics Using the a Multi-Phase Transport Model. Universe 2023, 9, 107. https://doi.org/10.3390/universe9020107
Magdy N. Beam Energy Dependence of the Linear and Mode-Coupled Flow Harmonics Using the a Multi-Phase Transport Model. Universe. 2023; 9(2):107. https://doi.org/10.3390/universe9020107
Chicago/Turabian StyleMagdy, Niseem. 2023. "Beam Energy Dependence of the Linear and Mode-Coupled Flow Harmonics Using the a Multi-Phase Transport Model" Universe 9, no. 2: 107. https://doi.org/10.3390/universe9020107
APA StyleMagdy, N. (2023). Beam Energy Dependence of the Linear and Mode-Coupled Flow Harmonics Using the a Multi-Phase Transport Model. Universe, 9(2), 107. https://doi.org/10.3390/universe9020107
