Holographic p-Wave Superconductor with Excited States in 4D Einstein–Gauss–Bonnet Gravity
Abstract
1. Introduction
2. Description of the p-Wave Model
3. Condensate and Phase Transition
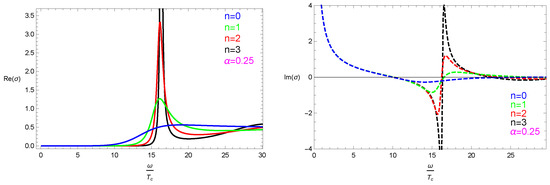
4. Conductivity
5. Conclusions
Author Contributions
Funding
Data Availability Statement
Conflicts of Interest
References
- Bousso, R. The holographic principle. Rev. Mod. Phys. 2002, 74, 825. [Google Scholar] [CrossRef]
- Maldacena, J. The large-N limit of superconformal field theories and supergravity. Int. J. Theor. Phys. 1999, 38, 1113. [Google Scholar] [CrossRef]
- Witten, E. Anti-de Sitter space and holography. Adv. Theor. Math. Phys. 1998, 2, 253. [Google Scholar] [CrossRef]
- Gubser, S.S.; Klebanov, I.R.; Polyakov, A.M. Gauge theory correlators from non-critical string theory. Phys. Lett. B 1998, 428, 105. [Google Scholar] [CrossRef]
- Hartnoll, S.A. Lectures on holographic methods for condensed matter physics. Class. Quant. Grav. 2009, 26, 224002. [Google Scholar] [CrossRef]
- Herzog, C.P. Lectures on Holographic Superfluidity and Superconductivity. J. Phys. A 2009, 42, 343001. [Google Scholar] [CrossRef]
- Horowitz, G.T. Introduction to Holographic Superconductors. Lect. Notes Phys. 2011, 828, 313. [Google Scholar]
- Cai, R.G.; Li, L.; Li, L.F.; Yang, R.Q. Introduction to Holographic Superconductor Models. Sci. China Phys. Mech. Astron. 2015, 58, 060401. [Google Scholar] [CrossRef]
- Hartnoll, S.A.; Herzog, C.P.; Horowitz, G.T. Building a Holographic Superconductor. Phys. Rev. Lett. 2008, 101, 031601. [Google Scholar] [CrossRef]
- Gubser, S.S. Breaking an Abelian gauge symmetry near a black hole horizon. Phys. Rev. D 2008, 78, 065034. [Google Scholar] [CrossRef]
- Gubser, S.S.; Pufu, S.S. The gravity dual of a p-wave superconductor. J. High Energy Phys. 2008, 11, 33. [Google Scholar] [CrossRef]
- Chen, J.W.; Kao, Y.J.; Maity, D.; Wen, W.Y.; Yeh, C.P. Towards a holographic model of d-wave superconductors. Phys. Rev. D 2010, 81, 106008. [Google Scholar] [CrossRef]
- Benini, F.; Herzog, C.P.; Rahman, R.; Yarom, A. Gauge gravity duality for d-wave superconductors: Prospects and challenges. J. High Energy Phys. 2010, 11, 137. [Google Scholar] [CrossRef]
- Cai, R.G.; He, S.; Li, L.; Li, L.F. A holographic study on vector condensate induced by a magnetic field. J. High Energy Phys. 2013, 12, 36. [Google Scholar] [CrossRef]
- Cai, R.G.; Li, L.; Li, L.F. A holographic p-wave superconductor model. J. High Energy Phys. 2014, 1, 32. [Google Scholar] [CrossRef]
- Wang, Y.Q.; Hu, T.T.; Liu, Y.X.; Yang, J.; Zhao, L. Excited states of holographic superconductors. J. High Energy Phys. 2020, 6, 13. [Google Scholar] [CrossRef]
- Wang, Y.Q.; Li, H.B.; Liu, Y.X.; Zhong, Y. Excited states of holographic superconductors with backreaction. Eur. Phys. J. C 2021, 81, 628. [Google Scholar] [CrossRef]
- Li, R.; Wang, J.; Wang, Y.Q.; Zhang, H.B. Nonequilibrium dynamical transition process between excited states of holographic superconductors. J. High Energy Phys. 2020, 11, 59. [Google Scholar] [CrossRef]
- Qiao, X.Y.; Wang, D.; OuYang, L.; Wang, M.J.; Pan, Q.Y.; Jing, J.L. An analytic study on the excited states of holographic superconductors. Phys. Lett. B 2020, 811, 135864. [Google Scholar] [CrossRef]
- Xiang, Q.; Zhao, L.; Wang, Y.Q. Excited states of holographic superconductors from massive gravity. Commun. Theor. Phys. 2022, 74, 115401. [Google Scholar] [CrossRef]
- Zhang, S.H.; Zhao, Z.X.; Pan, Q.Y.; Jing, J.L. Excited states of holographic superconductors with hyperscaling violation. Nucl. Phys. B 2022, 976, 115701. [Google Scholar] [CrossRef]
- Nguyen, T.T.; Phat, T.H. Asymptotic critical behavior of holographic phase transition at finite topological charge–the spectrum of excited states becomes continuous at T = 0. J. High Energy Phys. 2022, 6, 4. [Google Scholar] [CrossRef]
- Xiang, Q.; Zhao, L.; Wang, Y.Q. Spontaneously Translational Symmetry Breaking in the Excited States of Holographic Superconductor. arXiv 2022, arXiv:2207.10593. [Google Scholar]
- Ouyang, L.; Wang, D.; Qiao, X.Y.; Wang, M.J.; Pan, Q.Y.; Jing, J.L. Holographic Insulator/Superconductor Phase Transitions with Excited States. Sci. China Phys. Mech. Astron. 2021, 64, 240411. [Google Scholar] [CrossRef]
- Glavan, D.; Lin, C.S. Einstein–Gauss–Bonnet Gravity in Four-Dimensional Spacetime. Phys. Rev. Lett. 2020, 124, 081301. [Google Scholar] [CrossRef]
- Gürses, M.; Şişman, T.Ç.; Tekin, B. Is there a novel Einstein–Gauss–Bonnet theory in four dimensions? Eur. Phys. J. C 2020, 80, 647. [Google Scholar] [CrossRef]
- Ai, W.Y. A note on the novel 4D Einstein–Gauss–Bonnet gravity. Commun. Theor. Phys. 2020, 72, 095402. [Google Scholar] [CrossRef]
- Mahapatra, S. A note on the total action of 4D Gauss–Bonnet theory. Eur. Phys. J. C 2020, 80, 992. [Google Scholar] [CrossRef]
- Shu, F.W. Vacua in novel 4D Einstein–Gauss–Bonnet Gravity: Pathology and instability? Phys. Lett. B 2020, 811, 135907. [Google Scholar] [CrossRef]
- Tian, S.X.; Zhu, Z.H. Non-full equivalence of the four-dimensional Einstein–Gauss–Bonnet gravity and Horndeksi gravity for Bianchi type I metric. arXiv 2020, arXiv:2004.09954. [Google Scholar]
- Arrechea, J.; Delhom, A.; Jiménez-Cano, A. Inconsistencies in four-dimensional Einstein–Gauss–Bonnet gravity. Chin. Phys. C 2021, 45, 013107. [Google Scholar] [CrossRef]
- Gürses, M.; Şişman, T.Ç.; Tekin, B. Comment on “Einstein–Gauss–Bonnet Gravity in Four-Dimensional Spacetime”. Phys. Rev. Lett. 2020, 125, 149001. [Google Scholar] [CrossRef] [PubMed]
- Lu, H.; Pang, Y. Horndeski Gravity as D→4 Limit of Gauss–Bonnet. Phys. Lett. B 2020, 809, 135717. [Google Scholar] [CrossRef]
- Hennigar, R.A.; Kubiznak, D.; Mann, R.B.; Pollack, C. On Taking the D→4 limit of Gauss–Bonnet Gravity: Theory and Solutions. J. High Energy Phys. 2020, 7, 27. [Google Scholar] [CrossRef]
- Aoki, K.; Gorji, M.A.; Mukohyama, S. A consistent theory of D→4 Einstein–Gauss–Bonnet gravity. Phys. Lett. B 2020, 810, 135843. [Google Scholar] [CrossRef]
- Aoki, K.; Gorji, M.A.; Mukohyama, S. Cosmology and gravitational waves in consistent D→4 Einstein–Gauss–Bonnet gravity. J. Cosmol. Astropart. Phys. 2020, 9, 14. [Google Scholar] [CrossRef]
- Aoki, K.; Gorji, M.A.; Mizuno, S.; Mukohyama, S. Inflationary gravitational waves in consistent D→4 Einstein–Gauss–Bonnet gravity. J. Cosmol. Astropart. Phys. 2021, 1, 54. [Google Scholar] [CrossRef]
- Fernandes, P.G.S.; Carrilho, P.; Clifton, T.; Mulryne, D.J. The 4D Einstein–Gauss–Bonnet theory of gravity: A review. Class. Quantum Grav. 2022, 39, 063001. [Google Scholar] [CrossRef]
- Konoplya, R.A.; Zhidenko, A. Black holes in the four-dimensional Einstein–Lovelock gravity. Phys. Rev. D 2020, 101, 084038. [Google Scholar] [CrossRef]
- Fernandes, P.G.S. Charged Black Holes in AdS Spaces in 4D Einstein Gauss–Bonnet Gravity. Phys. Lett. B 2020, 805, 135468. [Google Scholar] [CrossRef]
- Konoplya, R.A.; Zhidenko, A. 4D Einstein–Lovelock black holes: Hierarchy of orders in curvature. Phys. Lett. B 2020, 807, 135607. [Google Scholar] [CrossRef]
- Cai, R.G. Gauss–Bonnet black holes in AdS spaces. Phys. Rev. D 2002, 65, 084014. [Google Scholar] [CrossRef]
- Crisostomo, J.; Troncoso, R.; Zanelli, J. Black hole scan. Phys. Rev. D 2000, 62, 084013. [Google Scholar] [CrossRef]
- Gregory, R.; Kanno, S.; Soda, J. Holographic superconductors with higher curvature corrections. J. High Energy Phys. 2009, 10, 10. [Google Scholar] [CrossRef]
- Pan, Q.Y.; Wang, B.; Papantonopoulos, E.; Oliveria, J.; Pavan, A.B. Holographic superconductors with various condensates in Einstein–Gauss–Bonnet gravity. Phys. Rev. D 2010, 81, 106007. [Google Scholar] [CrossRef]
- Brihaye, Y.; Hartmann, B. Holographic superconductors in 3+1 dimensions away from the probe limit. Phys. Rev. D 2010, 81, 126008. [Google Scholar] [CrossRef]
- Pan, J.; Qiao, X.Y.; Wang, D.; Pan, Q.Y.; Nie, Z.Y.; Jing, J.L. Holographic superconductors in 4D Einstein–Gauss–Bonnet gravity with backreactions. Phys. Lett. B 2021, 823, 136755. [Google Scholar] [CrossRef]
- Bao, Y.; Guo, H.; Kuang, X.M. Excited states of holographic superconductor with scalar field coupled to Gauss–Bonnet invariance. Phys. Lett. B 2021, 822, 136646. [Google Scholar] [CrossRef]
- Qiao, X.Y.; OuYang, L.; Wang, D.; Pan, Q.Y.; Jing, J.L. Holographic superconductors in 4D Einstein–Gauss–Bonnet gravity. J. High Energy Phys. 2020, 12, 192. [Google Scholar] [CrossRef]
- Horowitz, G.T.; Roberts, M.M. Holographic superconductors with various condensates. Phys. Rev. D 2008, 78, 126008. [Google Scholar] [CrossRef]




| n | ||||
|---|---|---|---|---|
| 0 | 5.163 5.047 | 5.465 | 5.896 6.073 | 7.629 8.887 |
| 1 | 9.896 9.790 | 10.569 | 11.527 11.688 | 15.389 16.524 |
| 2 | 14.682 14.581 | 15.723 | 17.203 17.356 | 23.251 24.321 |
| 3 | 19.486 19.389 | 20.894 | 22.897 23.045 | 31.149 32.178 |
| 4 | 24.298 24.203 | 26.074 | 28.601 28.745 | 39.064 40.064 |
| 5 | 29.115 29.021 | 31.258 | 34.309 34.451 | 46.987 47.967 |
| 6 | 33.934 33.842 | 36.445 | 40.021 40.161 | 54.916 55.880 |
| 7 | 38.755 38.664 | 41.635 | 45.735 45.873 | 62.848 63.800 |
| 8 | 43.578 43.488 | 46.825 | 51.451 51.588 | 70.783 71.725 |
| 9 | 48.401 48.312 | 52.016 | 57.168 57.304 | 78.720 79.653 |
| 10 | 53.225 53.136 | 57.208 | 62.886 63.021 | 86.658 87.584 |
| 11 | 58.050 57.961 | 62.401 | 68.604 68.738 | 94.597 95.517 |
| 12 | 62.875 62.787 | 67.594 | 74.323 74.457 | 102.537 103.452 |
| 13 | 67.700 67.612 | 72.788 | 80.042 80.175 | 110.478 111.388 |
| 14 | 72.526 72.438 | 77.982 | 85.762 85.895 | 118.419 119.325 |
| 15 | 77.351 77.264 | 83.176 | 91.482 91.615 | 126.361 127.263 |
| 16 | 82.177 82.090 | 88.370 | 97.203 97.334 | 134.303 135.202 |
| 17 | 87.003 86.916 | 93.565 | 102.923 103.054 | 142.246 143.142 |
| 18 | 91.829 91.743 | 98.759 | 108.644 108.774 | 150.188 151.081 |
| 19 | 96.656 96.569 | 103.954 | 114.365 114.495 | 158.131 159.022 |
| 20 | 101.482 101.396 | 109.149 | 120.086 120.216 | 166.074 166.963 |
Disclaimer/Publisher’s Note: The statements, opinions and data contained in all publications are solely those of the individual author(s) and contributor(s) and not of MDPI and/or the editor(s). MDPI and/or the editor(s) disclaim responsibility for any injury to people or property resulting from any ideas, methods, instructions or products referred to in the content. |
© 2023 by the authors. Licensee MDPI, Basel, Switzerland. This article is an open access article distributed under the terms and conditions of the Creative Commons Attribution (CC BY) license (https://creativecommons.org/licenses/by/4.0/).
Share and Cite
Wang, D.; Du, X.; Pan, Q.; Jing, J. Holographic p-Wave Superconductor with Excited States in 4D Einstein–Gauss–Bonnet Gravity. Universe 2023, 9, 104. https://doi.org/10.3390/universe9020104
Wang D, Du X, Pan Q, Jing J. Holographic p-Wave Superconductor with Excited States in 4D Einstein–Gauss–Bonnet Gravity. Universe. 2023; 9(2):104. https://doi.org/10.3390/universe9020104
Chicago/Turabian StyleWang, Dong, Xinyi Du, Qiyuan Pan, and Jiliang Jing. 2023. "Holographic p-Wave Superconductor with Excited States in 4D Einstein–Gauss–Bonnet Gravity" Universe 9, no. 2: 104. https://doi.org/10.3390/universe9020104
APA StyleWang, D., Du, X., Pan, Q., & Jing, J. (2023). Holographic p-Wave Superconductor with Excited States in 4D Einstein–Gauss–Bonnet Gravity. Universe, 9(2), 104. https://doi.org/10.3390/universe9020104

