Abstract
In modified gravity theories, gravitational wave propagations are presented in nonstandard ways. We consider a friction term different from GR and constrain the modified gravitational waves propagation from observations. The modified gravitational waves produce anisotropies and polarization, which generate measurable tensor power spectra. We explore the impact of the friction term on the power spectrum of B-modes and the impact on the constraints on the other parameters (e.g., r or ) when is allowed to vary in the Monte Carlo analyses from Planck+BK18 datasets. If we assume the result of the scalar perturbations is unchanged, the inflation consistency relation alters with the friction term. In the CDM+r+ model, the tensor-to-scalar ratio and the amplitude of the tensor spectrum are obviously influenced.
1. Introduction
In recent decades, general relativity (GR) has become an integral and indispensable part of modern physics. While GR describes the dynamics of space-time and governs the behaviors of our universe extremely successfully, the rapid development of observations inspires us to explore new physics beyond GR. Modified gravity theories provide plausible possibilities, which are worth pursuing and could give a better understanding of observations. In modified gravity theories, the evolution equations of gravitational waves are presented in nonstandard ways [1,2,3,4,5,6,7,8,9,10,11,12,13]. The friction term is a fundamental issue in the propagation of gravitational waves. When the gravitational waves propagate with a friction term different from GR, this scenario generates a variety of modified gravity theories [1,2,3,4,5,6,7,8]. Probing the friction term is an important way to explore modified gravity and underlying new physics. Hence, we need to investigate the possible deviations from GR and search for corresponding observable effects at cosmological scales.
The friction term in gravitational-wave propagation is time-dependent variation and represents a damping effect. Modified gravity models provide the motivation for the deviations of the friction term, such as the Horndeski theories [14,15,16,17], the nonlocal infrared modification of gravity [18,19] or the quantum chromodynamic (QCD) phase transition [20,21]. Recently, there have been some works that discuss and constrain the friction terms from the LIGO-Virgo Collaboration [5,22,23]. Furthermore, some papers assume a model-independent friction term and search for corresponding signatures. Instead of testing individual modified gravity models, they parametrize and investigate the departures from GR. Parametrization has been used widely in physics, such as the CDM model, which can highlight the direction of modified gravity by the deviations of parameters. The tensor-mode parametrization for modified gravity has been proposed in [3], which discusses a general form of the modified tensor-mode propagation, including several physical effects. The inflation consistency relation is modified with the friction term, but they do not consider this when updating the constraints on friction.
In this paper, we consider the same friction term as [3] and constrain the modified gravitational-wave propagation from observations. When we consider the modified friction term, the behavior of gravitational waves changes. The modified gravitational waves produce anisotropies and polarization, which generate measurable tensor power spectra. Here, we explore the impact of the friction term on the power spectrum of B-modes and the impact of the constraints on the other parameters (e.g., r or ) when is allowed to vary in the Monte Carlo analyses from Planck observations [24] and BICEP/Keck observations through the 2018 observing season (BK18) [25]. Owing to the modified inflation consistency relation, the tensor-to-scalar ratio and the amplitude of the tensor spectrum are obviously influenced.
The modified gravity may have an impact on both tensor and scalar perturbations. If all of the modified terms are considered together, it is hard to figure out the effects of the friction term. Here, we parametrize the friction term only and investigate corresponding observable effects.
2. The Modified Gravitational Waves Propagation
In the conformal Newtonian gauge, the metric about the Friedmann–Robert–Walker background is taken as
where is the scale factor, is the conformal time, is the scalar perturbation and is the gravitational wave perturbation. In GR, the gravitational waves satisfy the following wave equation
where the prime denotes the derivative with respect to conformal time, and the source term is ignored. Tensor perturbations produce anisotropies and polarization, which could generate measurable tensor angular power spectra. The temperature and polarization perturbations satisfy the Boltzmann equations [26]
where
the variables and describe the temperature and polarization perturbations generated by gravitational waves, the superscript denotes contributions from tensor perturbations, is the angle between photon direction and wave vector, is the differential optical depth for Thomson scattering. The multipole moments of temperature and polarization are defined as , where is the Legendre polynomial of order l. The polarization perturbations can be decomposed into E-mode and B-mode. The B-mode components mainly come from tensor perturbations on the small multipoles and contain information about gravitational waves. The polarization power spectra from tensor perturbations are given by [26]
where is the primordial power spectrum of gravitational waves, X stands for E or B. The two-point correlations of polarization patterns at different points in the sky are presented by Equation (6). The tensor perturbations could generate a measurable BB tensor angular power spectrum.
The power spectrum from tensor perturbations is parameterized as
where is the tensor amplitude at the pivot scale Mpc, is the tensor spectral index. In literature, the tensor-to-scalar ratio r is used to quantify the tensor amplitude compared to the scalar amplitude at the pivot scale, namely
For the canonical single-field slow-roll inflation model, is related to r by , which is called the inflation consistency relation in general relativity [27,28].
In this paper, we suggest the following form of the modified propagation equation for tensor perturbations
where is a constant parameter. If the background is exactly exponentially expanding with respect to the cosmic time as , the tensor mode is given by [3]
where is the leading-order solution, H is the constant expansion rate during inflation, and G is the Newtonian constant. The case corresponds to the propagation in GR [29]. The power spectrum of gravitational waves is defined as
Comparing with Equation (7), we can identify the tensor spectral index as
For the slow-roll inflation, H is not a constant and is measured by the slow-roll parameter . The tensor spectrum index becomes
If we assume the result of the scalar perturbations is unchanged, the tensor-to-scalar ratio r is still related to the slow-roll parameter as . The inflation consistency relation in the modified gravity becomes
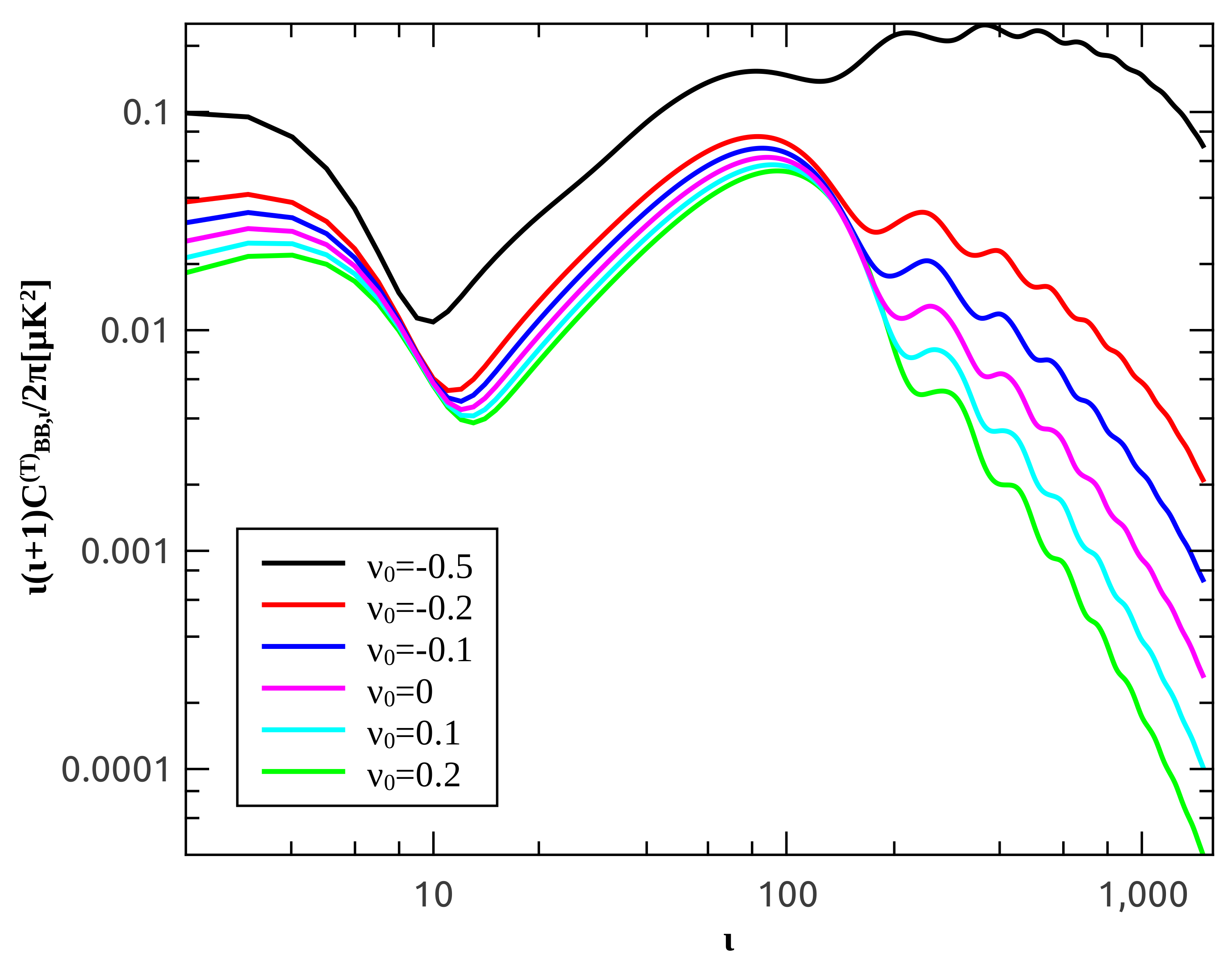
In order to obtain the tensor angular power spectra for the modified gravitational waves propagation, we modify CAMB [30] by taking into account Equation (9). Our numerical results are presented in Figure 1. We show that the modified gravitational-wave propagation has impacts on the BB tensor angular power spectrum. The negative enhances the BB tensor angular power spectrum, while the positive reduces the BB tensor angular power spectrum.
Figure 1.
The plot of BB angular power spectrum from tensor perturbations for , , , , and , respectively.
3. The Constraints on Friction Term from Planck+BK18 Datasets
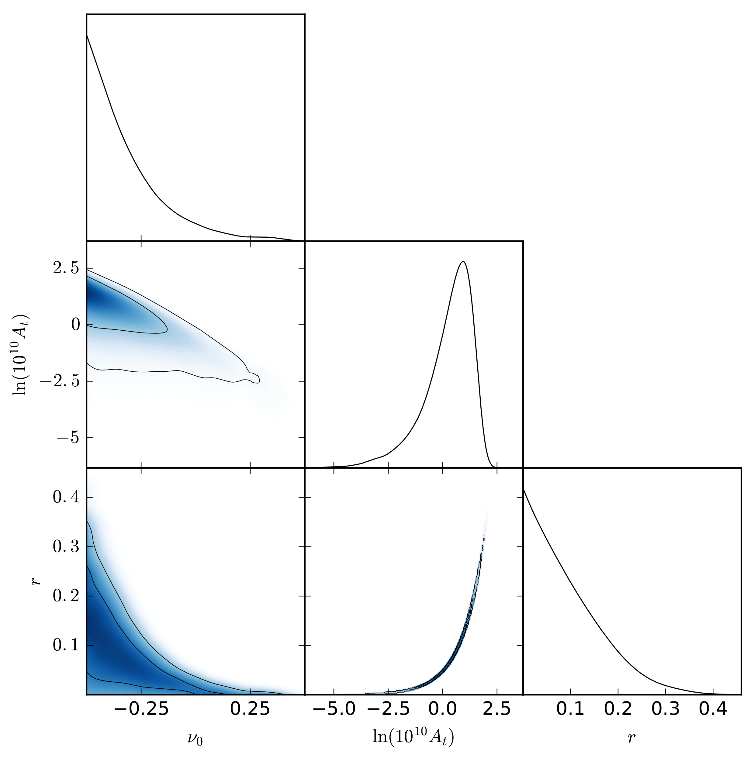
In the standard CDM model, the six parameters are the baryon density parameter , the cold dark matter density , the angular size of the horizon at the last scattering surface , the optical depth , the scalar amplitude and the scalar spectral index . We extend this model by adding the tensor-to-scalar ratio r and the friction factor , and consider these eight parameters as fully free parameters, i.e., , . We use the publicly available codes Cosmomc [31] to constrain parameters, which adds the modified gravitational waves propagation in Equation (9) and the modified inflation consistency relation in Equation (14). The numerical results are presented in Figure 2.
Figure 2.
The contour plots and the likelihood distributions for parameters r, and in the CDM+r+ model at the and CL from Planck+BK18 datasets.
In the CDM+r+ model, the constraints on the tensor-to-scalar ratio r and the friction factor are
from Planck+BK18 datasets (Planck: TTTEEE+lowE+lensing). These results show that the friction factor refers to the negative region, and negative enhances the upper limits on the tensor-to-scalar ratio. We cut out the small parameter space because a smaller leads to a larger tensor-to-scalar ratio.
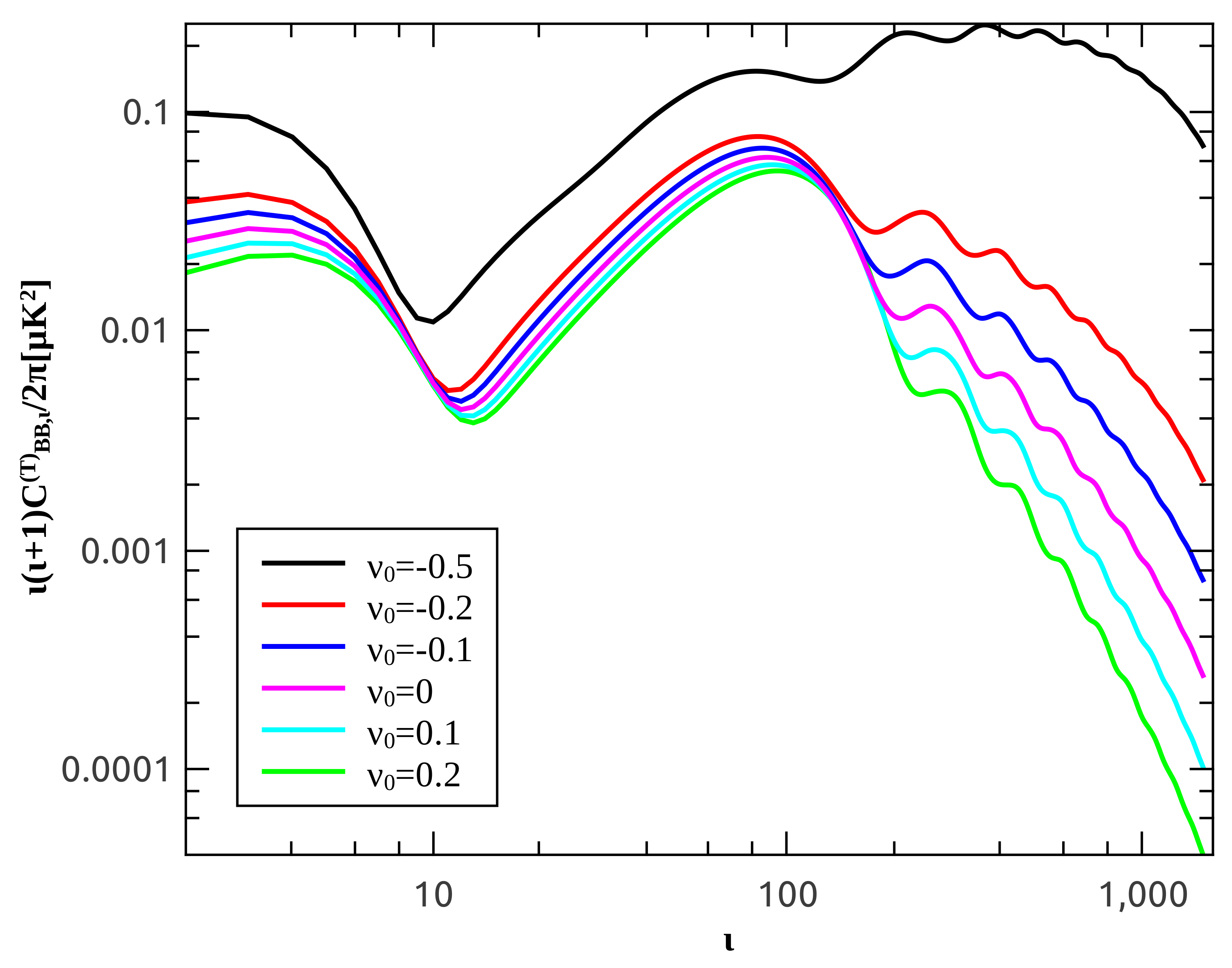
Then, we fix the friction factor and consider several cases to test the variation on tensor parameters. As we assume the result of the scalar perturbations is unchanged, we fix the standard CDM parameters based on Planck observations: , , , , and . The numerical results are presented in Figure 3. In the CDM+r+ model, the constraints on the tensor-to-scalar ratio r and the tensor amplitude are
from BK18 for . The constraints on the tensor-to-scalar ratio r and the tensor amplitude are
from BK18 for . The constraints on the tensor-to-scalar ratio r and the tensor amplitude are
from BK18 for . The constraints on the tensor-to-scalar ratio r and the tensor amplitude are
from BK18 for . The constraints on the tensor-to-scalar ratio r and the tensor amplitude are
from BK18 for . The constraints on the tensor-to-scalar ratio r and the tensor amplitude are
from BK18 for . We show that the modified gravitational waves propagation and the inflation consistency relation in the modified gravity have impacts on the tensor-to-scalar ratio r and the tensor amplitude. The negative enhances the upper limits on the tensor-to-scalar ratio r, while the positive reduces the upper limits. The related behaviors of the tensor-to-scalar ratio r and the friction factor are in agreement with the variations in Figure 2.
Figure 3.
The contour plot and the likelihood distributions for parameters r and in the CDM+r+ model at the and CL from BK18 with the modified gravitational waves propagation for , , , , and , respectively.
4. Summary
In this paper, we consider a friction term different from GR and constrain the modified gravitational-wave propagation from observations. We consider the impact of the friction term on the power spectrum of B-modes and the impact of the constraints on the other parameters (e.g., r or ) when is allowed to vary in the Monte Carlo analyses from the Planck+BK18 datasets. In the CDM+r+ model, the tensor-to-scalar ratio and the amplitude of the tensor spectrum are obviously influenced.
Funding
This work is supported by the Natural Science Foundation of Shandong Province (grant No. ZR2021QA073) and the Research Start-up Fund of QUST (grant No. 1203043003587).
Conflicts of Interest
The authors declare no conflict of interest.
References
- Amendola, L.; Ballesteros, G.; Pettorino, V. Effects of modified gravity on B-mode polarization. Phys. Rev. D 2014, 90, 043009. [Google Scholar] [CrossRef] [Green Version]
- Xu, L. Gravitational Waves: A Test for Modified Gravity. Phys. Rev. D 2015, 91, 103520. [Google Scholar] [CrossRef] [Green Version]
- Lin, W.; Ishak, M. Testing gravity theories using tensor perturbations. Phys. Rev. D 2016, 94, 123011. [Google Scholar] [CrossRef] [Green Version]
- Pettorino, V.; Amendola, L. Friction in Gravitational Waves: A test for early-time modified gravity. Phys. Lett. B 2015, 742, 353–357. [Google Scholar] [CrossRef] [Green Version]
- Ezquiaga, J.M.; Hu, W.; Lagos, M.; Lin, M.X. Gravitational wave propagation beyond general relativity: Waveform distortions and echoes. arXiv 2021, arXiv:2108.10872. [Google Scholar] [CrossRef]
- Belgacem, E.; Foffa, S.; Maggiore, M.; Yang, T. Gaussian processes reconstruction of modified gravitational wave propagation. Phys. Rev. D 2020, 101, 063505. [Google Scholar] [CrossRef] [Green Version]
- Boubekeur, L.; Giusarma, E.; Mena, O.; Ramírez, H. Current status of modified gravity. Phys. Rev. D 2014, 90, 103512. [Google Scholar] [CrossRef] [Green Version]
- Bian, L.; Cai, R.G.; Cao, S.; Cao, Z.; Gao, H.; Guo, Z.K.; Lee, K.; Li, D.; Liu, J.; Lu, Y.; et al. The Gravitational-Wave Physics II: Progress. arXiv 2021, arXiv:2106.10235. [Google Scholar] [CrossRef]
- Brax, P.; Cespedes, S.; Davis, A.C. Signatures of graviton masses on the CMB. JCAP 2018, 3, 008. [Google Scholar] [CrossRef] [Green Version]
- Raveri, M.; Baccigalupi, C.; Silvestri, A.; Zhou, S.Y. Measuring the speed of cosmological gravitational waves. Phys. Rev. D 2015, 91, 061501. [Google Scholar] [CrossRef] [Green Version]
- Cai, Y.F.; Lin, C.; Wang, B.; Yan, S.F. Sound speed resonance of the stochastic gravitational wave background. Phys. Rev. Lett. 2021, 126, 071303. [Google Scholar] [CrossRef]
- Dubovsky, S.; Flauger, R.; Starobinsky, A.; Tkachev, I. Signatures of a Graviton Mass in the Cosmic Microwave Background. Phys. Rev. D 2010, 81, 023523. [Google Scholar] [CrossRef] [Green Version]
- Li, J.; Huang, Q.G. Signatures of Modified Dispersion Relation of Graviton in the Cosmic Microwave Background. JCAP 2018, 2, 020. [Google Scholar] [CrossRef] [Green Version]
- Kobayashi, T. Horndeski theory and beyond: A review. Rept. Prog. Phys. 2019, 82, 086901. [Google Scholar] [CrossRef] [PubMed] [Green Version]
- Felice, A.D.; Tsujikawa, S. Conditions for the cosmological viability of the most general scalar-tensor theories and their applications to extended Galileon dark energy models. JCAP 2012, 2, 007. [Google Scholar] [CrossRef]
- Saltas, I.D.; Sawicki, I.; Amendola, L.; Kunz, M. Anisotropic Stress as a Signature of Nonstandard Propagation of Gravitational Waves. Phys. Rev. Lett. 2014, 113, 191101. [Google Scholar] [CrossRef] [Green Version]
- Bellini, E.; Sawicki, I. Maximal freedom at minimum cost: Linear large-scale structure in general modifications of gravity. JCAP 2014, 7, 050. [Google Scholar] [CrossRef]
- Belgacem, E.; Dirian, Y.; Foffa, S.; Maggiore, M. Modified gravitational-wave propagation and standard sirens. Phys. Rev. D 2018, 98, 023510. [Google Scholar] [CrossRef] [Green Version]
- Belgacem, E.; Dirian, Y.; Foffa, S.; Maggiore, M. Gravitational-wave luminosity distance in modified gravity theories. Phys. Rev. D 2018, 97, 104066. [Google Scholar] [CrossRef] [Green Version]
- Byrnes, C.T.; Hindmarsh, M.; Young, S.; Hawkins, M.R.S. Primordial black holes with an accurate QCD equation of state. JCAP 2018, 8, 041. [Google Scholar] [CrossRef] [Green Version]
- Hajkarim, F.; Schaffner-Bielich, J. Thermal History of the Early Universe and Primordial Gravitational Waves from Induced Scalar Perturbations. Phys. Rev. D 2020, 101, 043522. [Google Scholar] [CrossRef] [Green Version]
- Zhao, W.; Zhu, T.; Qiao, J.; Wang, A. Waveform of gravitational waves in the general parity-violating gravities. Phys. Rev. D 2020, 101, 024002. [Google Scholar] [CrossRef] [Green Version]
- Mancarella, M.; Genoud-Prachex, E.; Maggiore, M. Cosmology and modified gravitational wave propagation from binary black hole population models. Phys. Rev. D 2022, 105, 064030. [Google Scholar] [CrossRef]
- Aghanim, N.; Akrami, Y.; Ashdown, M.; Aumont, J.; Baccigalupi, C.; Ballardini, M.; Banday, A.J.; Barreiro, R.B.; Bartolo, N.; Basak, S.; et al. Planck 2018 results. VI. Cosmological parameters. Astron. Astrophys. 2020, 641, A6. [Google Scholar]
- Ade, P.A.R.; Ahmed, Z.; Amiri, M.; Barkats, D.; Thakur, R.B.; Beck, D.; Bischoff, C.; Bock, J.J.; Boenish, H.; Bullock, E.; et al. Improved Constraints on Primordial Gravitational Waves using Planck, WMAP, and BICEP/Keck Observations through the 2018 Observing Season. Phys. Rev. Lett. 2021, 127, 151301. [Google Scholar] [CrossRef] [PubMed]
- Zaldarriaga, M.; Seljak, U. An all sky analysis of polarization in the microwave background. Phys. Rev. D 1997, 55, 1830–1840. [Google Scholar] [CrossRef] [Green Version]
- Liddle, A.R.; Lyth, D.H. COBE, gravitational waves, inflation and extended inflation. Phys. Lett. B 1992, 291, 391–398. [Google Scholar] [CrossRef]
- Copeland, E.J.; Kolb, E.W.; Liddle, A.R.; Lidsey, J.E. Observing the inflaton potential. Phys. Rev. Lett. 1993, 71, 219–222. [Google Scholar] [CrossRef] [Green Version]
- Riotto, A. Inflation and the theory of cosmological perturbations. ICTP Lect. Notes Ser. 2003, 14, 317–413. [Google Scholar]
- Hojjati, A.; Pogosian, L.; Zhao, G.B. Testing gravity with CAMB and CosmoMC. JCAP 2011, 08, 005. [Google Scholar] [CrossRef] [Green Version]
- Lewis, A.; Bridle, S. Cosmological parameters from CMB and other data: A Monte Carlo approach. Phys. Rev. D 2002, 66, 103511. [Google Scholar] [CrossRef] [Green Version]
Publisher’s Note: MDPI stays neutral with regard to jurisdictional claims in published maps and institutional affiliations. |
© 2022 by the author. Licensee MDPI, Basel, Switzerland. This article is an open access article distributed under the terms and conditions of the Creative Commons Attribution (CC BY) license (https://creativecommons.org/licenses/by/4.0/).


