The Achievements of the RockStar Group (Perugia) on Astrophysical Modelling and Pallasite Geochemistry
Abstract
1. Introduction
2. Roadmap of the RockStar Group
3. Using Geochemical Data to Constraint Astrophysical Modeling
4. The Meteorite Collection at the Department of Physics and Geology in Perugia and the Discovery of a Unique Sample
5. The Mineo Pallasite: A Unique Sample
6. New Determinations on the Mineo Pallasite
6.1. Methods
6.1.1. EPMA
6.1.2. LA-ICP-MS
6.2. Results and Discussion
7. Conclusions
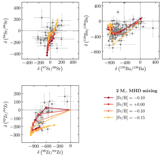
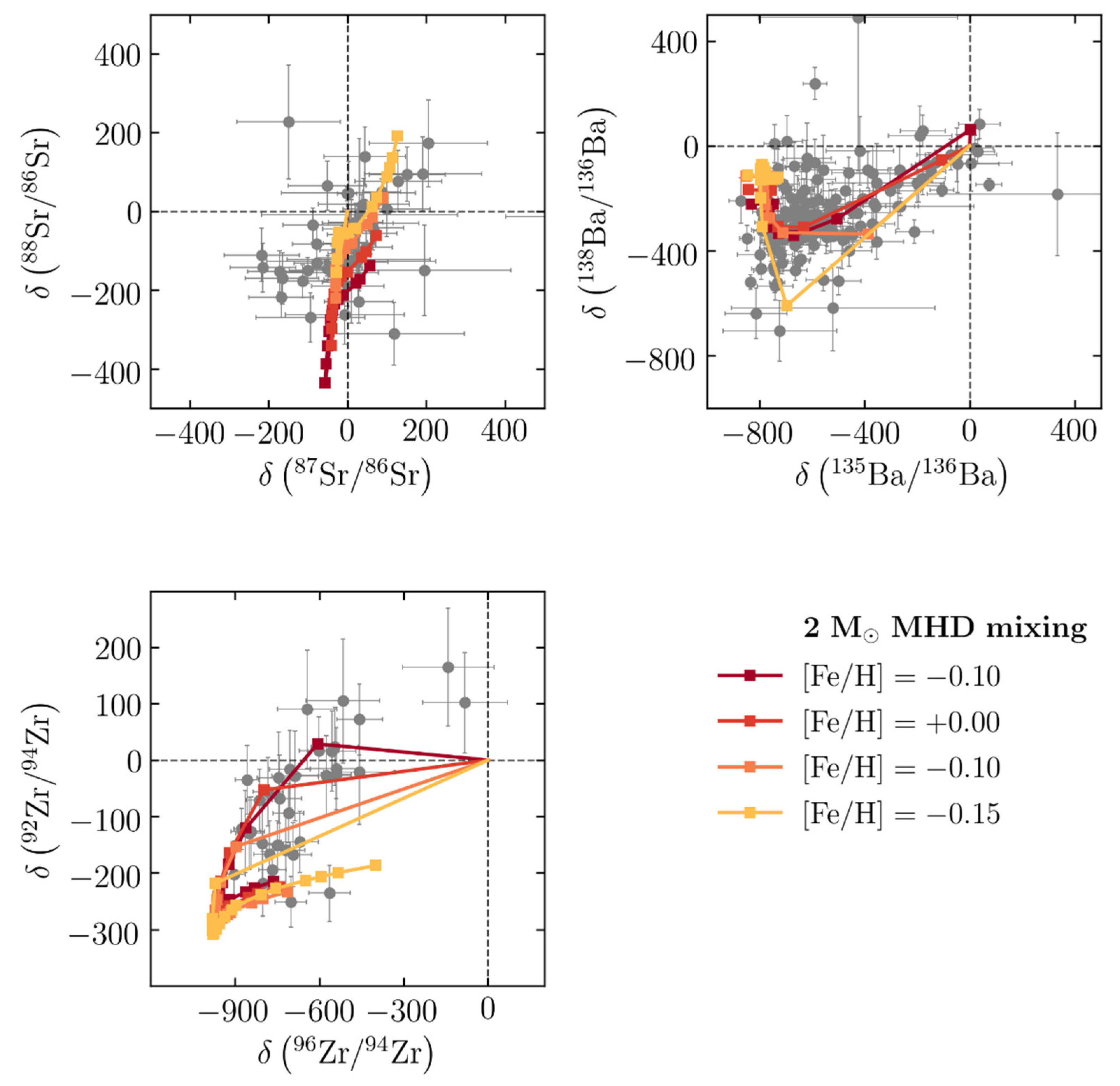
- Astrophysical modelling. In recent years, an extended study on the nature of the mixing processes in AGB stars was pursued by the astrophysics group of Perugia led by Maurizio Busso. Latest nucleosynthesis models considering the activation of the 13C neutron source in AGB stars as a by-product of magnetically-induced mixing episodes were shown to explain several observational constraints on s-processing. In particular, magnetic models for low-mass stars with close-to-solar metallicity can reproduce the peculiar isotopic ratios of trace heavy elements measured in presolar SiC coming from ancient AGB stars.
- Geochemical mapping of Mineo pallasites. The results from Zucchini et al. (2018) [41] allowed a preliminary classification of the Mineo meteorite to the PMG and showed a Fe compositional variability in olivines. In the present work, trace element distribution maps allowed to better constrain the geochemical variability showing that it can be attributed to different olivine grains/crystals and not to the chemical zonation within them. In fact, major element distribution maps highlight a relatively homogeneous distribution of Fe and Mg within olivine crystals and a more complex pattern along olivine rims, with zones enriched and depleted in Mg and Si, which show an inverse correlation to Fe and Ni. These characteristics confirm that Mineo belongs to the PMG and support the hypothesis of “early giant impact” formation theorized by Yang et al. 2010 [43]. Furthermore, trace element maps highlight also an oscillatory zoning pattern of Cr, but this behavior is not explained by a single model of olivine formation and further studies are needed in order to shed a light in the petrological evolution of pallasite olivines.
- The meteorite collection. The specimens hosted by the Meteorite collection of the Department of Physics and Geology of Perugia University (Italy) have been classified according to the hierarchy introduced by Weisberg et al. (2006) [35].
Author Contributions
Funding
Acknowledgments
Conflicts of Interest
Appendix A
| Meteorite Specimens | Traditional Classification | Modern Classification [35] | ||||||||
|---|---|---|---|---|---|---|---|---|---|---|
| Name | Category | Category | Class | Clan | Group | Petrologic Type | Weight (g) | Fall | Find | References |
| Albareto | chondrite | Chondrites | Ordinary | H-L-LL | L/LL | 4 | 7.47 | 1776 | [60] | |
| Allende | chondrite | Chondrites | Carbonaceous | CV-CK | CV | 3 | 44.87 | 1969 | [61] | |
| Allende | chondrite | Chondrites | Carbonaceous | CV-CK | CV | 3 | 93.97 | 1969 | [61] | |
| Armel | chondrite | Chondrites | Ordinary | H-L-LL | L | 5 | 50.9 | - | 1967 | [62] |
| Ashmore | chondrite | Chondrites | Ordinary | H-L-LL | H | 5 | 104.1 | - | 1969 | [63] |
| Bledsoe | chondrite | Chondrites | Ordinary | H-L-LL | H | 4 | 55.1 | - | 1970 | [64] |
| Bondoc | mesosiderite | Achondrites | MES | 30.2 | - | 1956 | [65] | |||
| Bondoc | mesosiderite | Achondrites | MES | 46.4 | - | 1956 | [65] | |||
| Boxhole | octahedrite | Achondrites | IIIAB | 61.9 | - | 1937 | [66] | |||
| Boxhole | octahedrite | Achondrites | IIIAB | 49.2 | - | 1937 | [66] | |||
| Brenham | pallasite | Achondrites | MG PAL | 193 | - | 1882 | [67] | |||
| Calliham | chondrite | Chondrites | Ordinary | H-L-LL | L | 6 | 48.6 | - | 1958 | [68] |
| Canyon diablo | octahedrite | Primitive Achondrites | WIN-IAB-IIICD | IAB | 118 | - | 1891 | [69] | ||
| Canyon diablo | octahedrite | Primitive Achondrites | WIN-IAB-IIICD | IAB | 104 | - | 1891 | [69] | ||
| Canyon diablo | octahedrite | Primitive Achondrites | WIN-IAB-IIICD | IAB | 135 | - | 1891 | [69] | ||
| Clovis (no 2) | chondrite | Chondrites | Ordinary | H-L-LL | L | 6 | 37.9 | - | 1963 | [70] |
| Densmore (1879) | chondrite | Chondrites | Ordinary | H-L-LL | L | 6 | 96.4 | - | 1879 | [71] |
| Dimmitt | chondrite | Chondrites | Ordinary | H-L-LL | H | 3.7 | 48 | - | 1942 | [72] |
| Edmonson (a) | chondrite | Chondrites | Ordinary | H-L-LL | L | 6 | 35.5 | - | 1955 | [73] |
| Ergheo | chondrite | Chondrites | Ordinary | H-L-LL | L | 5 | - | 1889 | [74] | |
| Etter | chondrite | Chondrites | Ordinary | H-L-LL | L | 5 | 48.4 | - | 1965 | [66] |
| Gibeon | octahedrite | Achondrites | IVA | 82.2 | - | 1836 | [75] | |||
| Gruver | chondrite | Chondrites | Ordinary | H-L-LL | H | 4 | 63.8 | - | 1934 | [76] |
| Henbury | octahedrite | Achondrites | IIIAB | 503 | - | 1931 | [77] | |||
| Hoba | ataxite | Achondrites | IVB | 16.2 | - | 1920 | [78] | |||
| Lakewood | chondrite | Chondrites | Ordinary | H-L-LL | L | 6 | 35 | - | 1955 | [79] |
| Landes | octahedrite | Primitive Achondrites | WIN-IAB-IIICD | IAB | 81.49 | - | 1930 | [64] | ||
| Little River (b) | chondrite | Chondrites | Ordinary | H-L-LL | H | 4/5 | 36.3 | - | 1965 | [80] |
| Messina | chondrite | Chondrites | Ordinary | H-L-LL | L | 5 | 16 | 16/07/1955 | [81] | |
| Mineo | pallasite | Achondrites | MG PAL | 42 | 03/05/1826 | [41] | ||||
| Odessa | octahedrite | Primitive Achondrites | WIN-IAB-IIICD | IAB | 452.52 | - | [82] | |||
| Otasawian | octahedrite | doubtful Iron | 634 | - | 1907 | [83] | ||||
| Otasawian | octahedrite | doubtful Iron | 803 | - | 1907 | [83] | ||||
| Patti | octahedrite | 12 | 1922 | [84] | ||||||
| Picacho | octahedrite | IIIAB | 175.4 | - | 1952 | [85] | ||||
| Plains | chondrite | Chondrites | Ordinary | H-L-LL | H | 5 | 34.3 | - | 1964 | [62] |
| Plains | chondrite | Chondrites | Ordinary | H-L-LL | H | 5 | 228.3 | - | 1964 | [62] |
| Plainview (1917) | chondrite | Chondrites | Ordinary | H-L-LL | H | 5 | 86.9 | - | 1917 | [76] |
| Potter | chondrite | Chondrites | Ordinary | H-L-LL | L | 6 | 124.6 | - | 1941 | [76] |
| Pultusk | chondrite | Chondrites | Ordinary | H-L-LL | H | 5 | 12 | - | 1868 | [76] |
| Roy (1933) | chondrite | Chondrites | Ordinary | H-L-LL | L | 5 | 55.8 | - | 1933 | [86] |
| Salla | chondrite | Chondrites | Ordinary | H-L-LL | L | 6 | 20.47 | - | 1963 | [87] |
| Shaw | chondrite | Chondrites | Ordinary | H-L-LL | L | 6/7 | 50.655 | - | 1937 | [88] |
| Siena | chondrite | Chondrites | Ordinary | H-L-LL | LL | 5 | 110.55 | - | 1794 | [89] |
| Toluca | octahedrite | Primitive Achondrites | WIN-IAB-IIICD | IAB | 142 | - | 1776 | [90] | ||
| Turtle River | octahedrite | Achondrites | IIIAB | 133.38 | - | 1953 | [62] | |||
| Two buttes | chondrite | Chondrites | Ordinary | H-L-LL | H | - | - | - | ||
| Vigarano | chondrite | Chondrites | Carbonaceous | CV-CK | CV | 3 | 10.3 | - | 1910 | [38] |
| Wellman (c) | chondrite | Chondrites | Ordinary | H-L-LL | H | 4 | 76.3 | - | 1964 | [91] |
Stony meteorites. Iron meteorites. Story-iron meteorites. | ||||||||||
| 1 | [Fe/H] ≡ log(Fe/H)star – log(Fe/H)Sun, where Fe/H is the ratio of the number (or mass) abundance of iron to that of hydrogen. |
References
- Arnould, M.; Goriely, S. The p-process of stellar nucleosynthesis: Astrophysics and nuclear physics status. Phys. Rep. 2003, 384, 1–84. [Google Scholar] [CrossRef]
- Côté, B.; Eichler, M.; López, A.Y.; Vassh, N.; Mumpower, M.R.; Világos, B.; Soós, B.; Arcones, A.; Sprouse, T.M.; Surman, R.; et al. 129I and 247Cm in meteorites constrain the last astrophysical source of solar r-process elements. Science 2021, 371, 945–948. [Google Scholar] [CrossRef] [PubMed]
- Palmerini, S.; Trippella, O.; Busso, M.; Vescovi, D.; Petrelli, M.; Zucchini, A.; Frondini, F. s-Processing from MHD-induced mixing and isotopic abundances in presolar SiC grains. Geochim. Cosmochim. Acta 2018, 221, 21–36. [Google Scholar] [CrossRef]
- Vescovi, D.; Busso, M.; Palmerini, S.; Trippella, O.; Cristallo, S.; Piersanti, S.; Chieffi, A.; Limongi, M.; Hoppe, P.; Kratz, K.L. On the origin of Early Solar System Radioactivities: Problems with the Asymptotic Giant Branch and Massive Star Scenarios. Astrophys. J. 2018, 863, 115. [Google Scholar] [CrossRef]
- Busso, M. The Early Solar System. Astrophys. Space Sci. 2018, 453, 379–425. [Google Scholar] [CrossRef]
- Tommasini, S.; Bindi, L.; Petrelli, M.; Asimow, P.D.; Steinhardt, P.J. Trace Element Conundrum of Natural Quasicrystals. ACS Earth Sp. Chem. 2021, 5, 676–689. [Google Scholar] [CrossRef]
- Lenaz, D.; Schmitz, B. Crystal structure refinement of chromites from two achondrites, their T-f(O2) conditions, and implications. Meteor. Planet. Sci. 2017, 52, 1763–1775. [Google Scholar] [CrossRef]
- Lenaz, D.; Lughi, V.; Perugini, D.; Petrelli, M.; Turco, G.; Schmitz, B. MgAl2O4 spinels from Allende and NWA 763 carbonaceous chondrites: Structural refinement, cooling history, and trace element contents. Meteor. Planet. Sci. 2019, 54, 3089–3100. [Google Scholar] [CrossRef]
- Gemelli, M.; Di Rocco, T.; Folco, L.; D’Orazio, M. Parentage Identification of Differentiated Achondritic Meteorites by Hand-held Energy Dispersive X-Ray Fluorescence Spectrometry. Geostand. Geoanalytical Res. 2017, 41, 613–632. [Google Scholar] [CrossRef]
- Gemelli, M.; D’Orazio, M.; Folco, L. Chemical analysis of iron meteorites using a hand-held X-ray fuorescence spectrometer. Geostand. Geoanalytical Res. 2015, 39, 55–69. [Google Scholar] [CrossRef]
- Zinner, E. Stellar nucleosynthesis and the isotopic composition of presolar grains from primitive meteorites. Annu. Rev. Earth Planet. Sci. 1998, 26, 147–188. [Google Scholar] [CrossRef]
- Lugaro, M.; Davis, A.M.; Gallino, R.; Pellin, M.J.; Straniero, O.; Kappeler, F. Isotopic Compositions of Strontium, Zirconium, Molybdenum, and Barium in Single Presolar SiC Grains and Asymptotic Giant Branch Stars. Astrophys. J. Lett. 2003, 593, 486–508. [Google Scholar] [CrossRef]
- Hoppe, P.; Amari, S.; Zinner, E.; Ireland, T.; Lewis, R.S. Carbon, nitrogen, magnesium, silicon, and titanium isotopic compositions of single interstellar silicon grains from the Murchison carbonaceous chondrite. Astrophys. J. 1994, 430, 870–890. [Google Scholar] [CrossRef]
- Nittler, L.; Alexander, C.M.O.; Gallino, R.; Hoppe, P.; Nguyen, A.N.; Stadermann, F.J.; Zinner, E.K. Aluminium-, Calcium- and Titanium-rich Oxide Stardust in Ordinary Chondrite Meteorites. Astrophys. J. 2008, 682, 1450–1478. [Google Scholar] [CrossRef]
- Stephan, T.; Trappitsch, R.; Hoppe, P.; Davis, A.M.; Pellin, M.; Pardo, O.S. Molybdenum Isotopes in Presolar Silicon Carbide Grains: Details of s-process Nucleosynthesis in Parent Stars and Implications for r- and p-processes. Astrophys. J. 2019, 877, 101–116. [Google Scholar] [CrossRef]
- Nguyen, A.N.; Nittler, L.R.; Stadermann, F.J.; Stroud, R.M.; Alexander, C.M.O. Coordinated analyses of presolar grains in the Allan Hills 77307 and Queen Elizabeth Range 99177 Meteorites. Astrophys. J. 2010, 719, 166–189. [Google Scholar] [CrossRef]
- Liu, N.; Barosch, J.; Nittler, L.R.; Alexander, C.M.O.; Wang, J.; Cristallo, S.; Busso, M.; Palmerini, S. New Multielement Isotopic Compositions of Prelosar SiC Grains: Implications for Their Stellar Origins. Astrophys. J. 2021, 920, L26. [Google Scholar] [CrossRef]
- Hynes, K.M.; Gyngard, F. The presolar grain database. In Proceedings of the 40th Lunar Planetary Science Conference, Woodlands, TX, USA, 23–27 March 2009. [Google Scholar]
- Stephan, T.; Bose, M.; Boujibar, A.; Davis, A.M.; Dory, C.J.; Gyngard, F.; Hoppe, P.; Hynes, K.M.; Liu, N.; Nittler, L.R.; et al. The Presolar Grain Database Reloaded–Silicon Carbide. In Proceedings of the 51st Lunar and Planetary Science Conference, Woodlands, TX, USA, 10–16 March 2020. [Google Scholar]
- Nicolussi, G.; Davis, A.M.; Pellin, M.J.; Lewis, R.S.; Clayton, R.N.; Amari, S. s-Process Zirconium in Presolar Silicon Carbide Grains. Science 1997, 277, 1281–1284. [Google Scholar] [CrossRef]
- Trappitsch, R.; Stephan, T.; Savina, M.R.; Davis, A.M.; Pellin, M.J.; Rost, D.; Gyngard, F.; Gallino, R.; Bisterzo, S.; Cristallo, S.; et al. Simultaneous iron and nickel isotopic analyses of presolar silicon carbide grains. Geochim. Cosmochim. Acta 2018, 221, 87–108. [Google Scholar] [CrossRef]
- Busso, M.; Galliro, R.; Wasserburg, G.J. Nucleosynthesis in Asymptotic Giant Branch Stars: Relevance for Galactic Enrichment and Solar System Formation. Annu. Rev. Astron. Astrophys. 1999, 37, 239–309. [Google Scholar] [CrossRef]
- Zinner, E. Presolar grains. In Meteorites and Cosmochemical Processes, 2nd ed.; Davis Andrew, M., Ed.; Elsevier: Amsterdam, The Netherlands, 2014; Volume 1, pp. 181–213. [Google Scholar]
- Liu, N.; Savina, M.R.; Gallino, R.; Davis, A.M.; Bisterzo, S.; Gyngard, F.; Kappeler, F.; Cristallo, S.; Dauphas, N.; Pellin, M.J.; et al. Correlated strontium and barium isotopic compositions of acid-cleaned single mainstream silicon carbides from Murchison. Astrophys. J. 2015, 803, 12. [Google Scholar] [CrossRef]
- Liu, N.; Gallino, R.; Cristallo, S.; Bisterzo, S.; Davis, A.M.; Trappitsh, R.; Nittler, L.R. New Constrains on the Major Neutron Source in Low-mass AGB Stars. Astrophys. J. 2018, 865, 112. [Google Scholar] [CrossRef]
- Vescovi, D.; Cristallo, S.; Busso, M.; Liu, N. Magnetic-buoyancy-induced Mixing in AGB Stars: Presolar SiC Grains. Astrophys. J. 2020, 897, L25. [Google Scholar] [CrossRef]
- Busso, M.; Vescovi, D.; Palmerini, S.; Cristallo, S.; Delogu, V.A. s-processing in AGB Stars Revisited. III. Neutron Captures from MHD Mixing at Different Metallicities and Observational Constraints. Astrophys. J. 2021, 908, 55. [Google Scholar] [CrossRef]
- Palmerini, S.; Busso, M.; Vescovi, D.; Naselli, E.; Pidatella, A.; Mucciola, R.; Cristallo, S.; Mascali, D.; Mengoni, A.; Simonucci, S. Presolar Grain Isotopic Ratios as Costrains to Nuclear and Stellar Parameters of Asymptotic Giant Branch Star Nucleosynthetis. Astrophys. J. 2021, 921, 7. [Google Scholar] [CrossRef]
- Busso, M.; Wasserburg, G.J.; Nollett, K.M.; Calandra, A. Can Extra Mixing in RGB and AGB Stars Be Attributed to Magnetic Mechanisms? Astrophys. J. 2007, 671, 802–810. [Google Scholar] [CrossRef]
- Nucci, M.C.; Busso, M. Magnetohydrodynamics and Deep Mixing in Evolved Stars. Two- and Three-dimensional Analytical Models for Asymptotic Giant Branch. Astrophys. J. 2014, 787, 141. [Google Scholar] [CrossRef]
- Hoppe, P.; Annen, P.; Strebel, R.; Eberhardt, P.; Gallino, R.; Lugaro, M.; Amari, S.; Lewis, R.S. Meteoritic Silicon Carbide Grains with Unusual Si-Isotopic Compositions: Evidence for an Origin in Low-Mass, Low Metallicity Asymptotic Giant Branch Stars. Astrophys. J. 1997, 487, L101–L104. [Google Scholar] [CrossRef]
- Lewis, K.M.; Lugaro, M.; Gibson, B.K.; Pilkington, K. Decoding the message from meteoritic stardust silicon carbide grains. Astrophys. J. Lett. 2013, 768, L19. [Google Scholar] [CrossRef]
- Gail, H.-P.; Zhukovska, S.V.; Hoppe, P.; Trieloff, M. Stardust from Asymptotic Giant Branch Stars. Astrophys. J. 2009, 698, 1136–1154. [Google Scholar] [CrossRef]
- Cristallo, S.; Nanni, A.; Cescutti, G.; Minchev, I.; Liu, N.; Vescovi, D.; Gobrecht, D.; Piersanti, L. Mass and metallicity distribution of parent AGB stars of presolar SiC. Astron. Astrophys. 2020, 644, A8. [Google Scholar] [CrossRef]
- Weisberg, M.K.; McCoy, T.J.; Krot, A.N. Systematics and Evaluation of Meteorite Classification. In Meteorites and Early Solar System II; Lauretta, D.S., McSween, H.Y., Jr., Eds.; University of Arizona Press: Tucson, AZ, USA, 2006; pp. 19–52. [Google Scholar]
- Baldanza, B.; Cocco, G.; Levi-Donati, G.R. Meteoriti; Tipografia Porziuncola: Santa Maria degli Angeli, Italy, 1969. [Google Scholar]
- Grossman, L. Refractory Inclusions in the Allende Meteorite. Ann. Rev. Earth Planet. Sci. 1980, 8, 559–608. [Google Scholar] [CrossRef]
- Trevisani, E. History of the Vigarano meteorite (Emilia-Romagna, Italy) and recovery of an important part of the main mass. Rendiconti Lincei. 2011, 22, 315–326. [Google Scholar] [CrossRef]
- Baldanza, B. Italian meteorites. Mineral. Mag. 1965, 35, 214–232. [Google Scholar] [CrossRef]
- Nagata, N. Meteorite magnetism and the early solar system magnetic field. Phys. Earth Planet. Inter. 1979, 20, 324–341. [Google Scholar] [CrossRef]
- Zucchini, A.; Petrelli, M.; Frondini, F.; Petrone, C.M.; Sassi, P.; Di Michele, A.; Palmerini, S.; Trippella, O.; Busso, M. Chemical and mineralogical characterization of the Mineo (Sicily, Italy) pallasite: A unique sample. Meteorit. Planet. Sci. 2018, 53, 268–283. [Google Scholar] [CrossRef]
- Buseck, P.R. Pallasite meteorites—mineralogy, petrology and geochemistry. Geochim. Cosmochim. Acta 1977, 41, 711–740. [Google Scholar] [CrossRef]
- Yang, J.; Goldstein, J.I.; Scott, E.R.D. Main-group pallasites: Thermal history, relationship to IIIAB irons, and origin. Geochim. Cosmochim. Acta 2010, 74, 4471–4492. [Google Scholar] [CrossRef]
- Johnson, B.C.; Sori, M.M.; Evans, A.J. Ferrovolcanism on metal worlds and the origin of pallasites. Nat. Astron. 2019, 4, 41–44. [Google Scholar] [CrossRef]
- Grady, M.M. Catalog of Meteorites, 5th ed.; Cambridge University Press: Cambridge, UK, 2000. [Google Scholar]
- Mullane, E.; Alard, O.; Gounelle, M.; Russell, S. Laser ablation ICP-MS study of IIIAB irons and pallasites: Constraints on the behaviour of highly siderophile elements during and after planetesimal core formation. Chem. Geol. 2004, 208, 5–28. [Google Scholar] [CrossRef]
- Scott, E.R.D. Pallasites-Metal composition, classification and relationship with iron meteorites. Geochim. Cosmochim. Acta 1977, 41, 693–710. [Google Scholar] [CrossRef]
- Mittlefehldt, D.W. Geochemistry and origin of pallasite olivines. In Proceedings of the 30th Lunar and Planetary Science Conference, Houston, TX, USA, 15–19 March 1999. Abstract Number 1828. [Google Scholar]
- Mittlefehldt, D.W.; Herrin, J.S. Trace element compositions of pallasite olivine grains and pallasite origin. Meteorit. Planet. Sci. 2010, 73, 5386. [Google Scholar]
- Wasson, J.T.; Choi, B.-G. Main-group pallasites: Chemical composition, relationship to IIIAB irons, and origin. Geochim. Cosmochim. Acta 2003, 67, 3079–3096. [Google Scholar] [CrossRef]
- Mittlefehldt, D.W.; McCoy, T.J.; Goodrich, C.A.; Kracher, A. Non-chondritic meteorites from asteroidal bodies. In Planetary Materials; Papike, J.J., Ed.; Reviews in Mineralogy: Washington, DC, USA, 1998; Volume 36, pp. 4–195. [Google Scholar]
- Ubide, T.; McKenna, C.A.; Chew, D.M.; Kamber, B.S. High-resolution LA-ICP-MS trace element mapping of igneous minerals: In search of magma histories. Chem. Geol. 2015, 409, 157–168. [Google Scholar] [CrossRef]
- Gao, S.; Xiaomin, L.; Yuan, H.; Hattendorf, B.; Gunther, D.; Chen, L.; Hu, S. Determination of forty two major and trace elements in USGS and NIST SRM glasses buy laser ablation-inductively coupled plasma-mass spectrometry. Geost. Newsl. 2002, 26, 181–196. [Google Scholar] [CrossRef]
- Paul, B.; Paton, C.; Norris, A.; Woodhead, J.; Hellstrom, J.; Hergt, J.; Greig, A. CellSpace: A module for creating spatially registered laser ablation images within the Iolite freeware environment. J. Anal. At. Spectrom. 2012, 27, 700–706. [Google Scholar] [CrossRef]
- Desrousseaux, A.; Doukhan, J.C.; Leroux, H.; Van Duysen, J.C. An analytical electron microprobe investigation of some pallasites. Phys. Earth Planet. Inter. 1997, 103, 101–115. [Google Scholar] [CrossRef]
- Van Roosbroek, N.; Debaille, V.; Pittarello, L.; Goderis, S.; Humayun, M.; Hecht, L.; Jourdan, F.; Spicuzza, M.J.; Vahanecke, F.; Claeys, P. The formation of IIE iron meteorites investigated by the chondrule-bearing Mont Dieu meteorite. Meteorit. Planet. Sci. 2015, 50, 1173–1196. [Google Scholar] [CrossRef]
- Chernonozhikin, S.M.; McKibbin, S.J.; Goderis, S.; Van Malderen, S.J.M.; Claeys, P.; Vanhaecke, F. New constrains on the formation of main group pallasites derived from in situ trace element analysis and 2D mapping of olivine and phosphate. Chem. Geol. 2021, 562, 119996. [Google Scholar] [CrossRef]
- Papike, J.J.; Kerner, J.M.; Shearer, C.K. Comparative planetary mineralogy: Valence state partitioning of Cr, Fe, Ti, and V among crystallographic sites in olivine, pyroxene, and spinel from planetary basalts. Am. Mineral. 2005, 90, 277–290. [Google Scholar] [CrossRef]
- McKibbin, S.; O’Neill, H.S.C.; Mallmann, G.; Halfpenny, A. LA-ICP-MS mapping of olivine from Brahin and Brenham meteorites: Complex elemental distributions in the pallasite olivine precursor. Geochim. Cosmochim. Acta 2013, 119, 1–17. [Google Scholar] [CrossRef]
- Marvin, U.B. Ernst Florens Friedrich Chladni (1756–1827) and the origins of modern meteorite research. Meteorit. Planet. Sci. 1996, 31, 545–588. [Google Scholar] [CrossRef]
- Marvin, U.B.; Wood, J.A.; Dickey, J.S., Jr. Ca-Al rich phases in the Allende meteorite. Earth Planet. Sci. Lett. 1960, 7, 346–350. [Google Scholar] [CrossRef]
- Krinov, E.L. Meteoritical Bullettin, No. 49. Meteoritics 1970, 5, 173–176. [Google Scholar]
- Clarke, R.S., Jr. Meteoritical Bullettin, No. 51. Meteoritics 1972, 7, 215–232. [Google Scholar] [CrossRef]
- Clarke, R.S., Jr. Meteoritical Bullettin, No. 52. Meteoritics 1974, 9, 101–121. [Google Scholar]
- Nininger, H.H. Meteorite with unique features. Science 1963, 139, 345–347. [Google Scholar] [CrossRef] [PubMed]
- Clarke, R.S., Jr. Meteoritical Bullettin, No. 53. Meteoritics 1975, 10, 133–158. [Google Scholar]
- Smith, J.V.; Steele, I.M.; Leitch, A. Mineral chemistry of the shergottites, naklites, chassigny, brachina, pallasites and urelites. J. Geophys. Res. 1983, 88, B229–B236. [Google Scholar] [CrossRef]
- Krinov, E.L. Meteoritical Bullettin, No. 30. Meteoritics 1964.
- Clarke, R.S., Jr. Meteoritical Bullettin, No. 54. Meteoritics 1974, 11, 69–93. [Google Scholar]
- Krinov, E.L. Meteoritical bullettin, No. 32. Meteoritics 1964, 1–5. [Google Scholar]
- Schneider, D.M.; Benoit, P.H.; Sears, D.W.G.; Jull, A.J.T. The Kansas University meteorite. Meteorit. Planet. Sci. 1997, 32, A149–A150. [Google Scholar] [CrossRef]
- Van Schmus, W.R.; Wood, J.A. A chemical-petrologic classification for the chondritic meteorites. Geochim. Cosmochim. Acta 1967, 31, 747–754. [Google Scholar] [CrossRef]
- Graham, A.L. The Meteoritical Bullettin, No 61. Meteoritics 1983, 18, 77–83. [Google Scholar]
- Baldanza, B.; Levi-Donati, G.R. Evidence of shock-metamorphic effects in the Ergheo meteorite. Mineral. Mag. 1971, 38, 197–204. [Google Scholar] [CrossRef]
- Wasson, J.T. The chemical classification of iron meteorites: I. A study of iron meteorites with low concentrations of gallium and germanium. Geochim. Cosmochim. Acta 1967, 31, 161–180. [Google Scholar] [CrossRef]
- Mason, B. Olivine composition in chondrites. Geochim. Cosmochim. Acta 1963, 27, 1011–1023. [Google Scholar] [CrossRef]
- Alderman, A.R. The meteorite craters at Henbury, Central Australia. Mineral. Mag. 1932, 23, 19–32. [Google Scholar] [CrossRef]
- Murdin, P. Encyclopedia of Astronomy & Astrophysics; CRC Press: Boca Raton, FL, USA, 2000. [Google Scholar]
- Levi, F.A. X-Ray Non distructive Examination of stony meteorites. Meteoritics 1981, 16, 348. [Google Scholar]
- Kiesl, W.; Herr, W. Determination of the trace elements, Ru, Pd, Re, Os, Ir, Au, As, Se and Sb in stony meteorites. Chem. Erde 1977, 36, 324–331. [Google Scholar]
- Baldanza, B.; Labruto, G. Di una meteorite litoide caduta a Messina nel luglio 1955 (Nota preliminare). Rend. Della Soc. Mineral. Ital. 1956, 12, 47–48. [Google Scholar]
- Krinov, E.L. Meteoritical bullettin, No. 37. Meteoritics 1966, 1–2. [Google Scholar]
- Baldanza, B.; Pialli, G. Dynamically deformed structures in some meteorites. Meteor. Res. 1968, 806–825. [Google Scholar]
- D’Orazio, M.; Folco, L.; Perchiazzi, N. The Bagnore iron meteorite (Tuscany, Italy): History, mineralogy, and chemical classification. Meteor. Planet. Sci. 2004, 39, A133–A138. [Google Scholar] [CrossRef]
- Rasmussen, K.L. Cooling rates of IIIAB iron meteorites. Icarus 1989, 80, 315–325. [Google Scholar] [CrossRef]
- Nininger, H.H. The great meteor of March 24, 1933. Pop. Astron. 1934, 42, 292–306. [Google Scholar]
- Krinov, E.L. Meteoritical Bullettin, No. 31. Meteoritics 1964.
- Fredriksson, K.; Mason, B. The Shaw meteorite. Geochim. Cosmochim. Acta 1967, 31, 1705–1709. [Google Scholar] [CrossRef]
- Baldanza, B.; Levi-Donati, G.R.; Wiik, H.B. The Siena meteorite: Mineralogy and chemistry. Mineral. Mag. 1969, 37, 34–44. [Google Scholar] [CrossRef]
- Scott, E.R.D.; Wasson, J.T. Chemical classification of iron meteorites-VIII. Groups IC.IIE, IIF and 97 other irons. Geochim. Cosmochim. Acta 1976, 40, 103–108. [Google Scholar] [CrossRef]
- Sears, D.W.; Mills, A.A. Thermoluminescence and the terrestrial age of meteorites. Meteoritics 1974, 9, 47–67. [Google Scholar] [CrossRef]






Publisher’s Note: MDPI stays neutral with regard to jurisdictional claims in published maps and institutional affiliations. |
© 2022 by the authors. Licensee MDPI, Basel, Switzerland. This article is an open access article distributed under the terms and conditions of the Creative Commons Attribution (CC BY) license (https://creativecommons.org/licenses/by/4.0/).
Share and Cite
Ricci, L.; Petrelli, M.; Frondini, F.; Zucchini, A.; Comodi, P.; Bisciotti, A.; Vescovi, D.; Trippella, O. The Achievements of the RockStar Group (Perugia) on Astrophysical Modelling and Pallasite Geochemistry. Universe 2022, 8, 156. https://doi.org/10.3390/universe8030156
Ricci L, Petrelli M, Frondini F, Zucchini A, Comodi P, Bisciotti A, Vescovi D, Trippella O. The Achievements of the RockStar Group (Perugia) on Astrophysical Modelling and Pallasite Geochemistry. Universe. 2022; 8(3):156. https://doi.org/10.3390/universe8030156
Chicago/Turabian StyleRicci, Lisa, Maurizio Petrelli, Francesco Frondini, Azzurra Zucchini, Paola Comodi, Andrea Bisciotti, Diego Vescovi, and Oscar Trippella. 2022. "The Achievements of the RockStar Group (Perugia) on Astrophysical Modelling and Pallasite Geochemistry" Universe 8, no. 3: 156. https://doi.org/10.3390/universe8030156
APA StyleRicci, L., Petrelli, M., Frondini, F., Zucchini, A., Comodi, P., Bisciotti, A., Vescovi, D., & Trippella, O. (2022). The Achievements of the RockStar Group (Perugia) on Astrophysical Modelling and Pallasite Geochemistry. Universe, 8(3), 156. https://doi.org/10.3390/universe8030156




